Factors Influencing Radiation Sound Fields in Logging While Drilling Using an Acoustic Dipole Source
Abstract
1. Introduction
2. Theory and Method
3. Results and Analysis
3.1. Asymptotic Solution Method Verification
3.2. Radiation Pattern of an LWD Dipole Acoustic Source
3.3. Radiated Wave Energy Flux of an LWD Dipole Acoustic Source
3.4. Influence of Drilling Mud and Drill Collar on Radiant Energy Flux
4. Imaging Result of Dipole Shear Wave Remote Detection While Drilling
5. Conclusions
- (1)
- The comparison of a horizontally polarized shear wave (SH-wave) simulated by the asymptotic solution with that calculated by the exact solution shows that the far-field asymptotic solution is accurate and reliable when the distance between the field point and the source is much larger than the wavelength. The far-field asymptotic solution provides a convenient and accurate analytical method for calculating the reflected sound field.
- (2)
- By comparing the radiation patterns and energy fluxes of the compressive wave (P-wave) and horizontally (SH) and vertically (SV) polarized shear waves, it can be seen that the maximum radiant energy flux of the SH-wave is about 7 times that of the P- or SV-wave. Therefore, the SH-wave plays a dominant role in the radiation far field of an LWD dipole source and is most suitable for the remote detection and imaging of the reflector outside the borehole.
- (3)
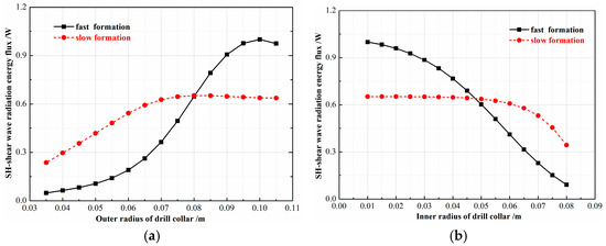
- The theoretical and simulated results show that the optimal acoustic source excitation frequency is about 2.5 kHz, and the optimal inner and outer radii of the drill collar are 0.02 m and 0.1 m, respectively.
- (4)
- As an important influencing factor, the effect of mud on the radiation performance of an LWD dipole source is as follows: the SH-wave radiation energy flux changes sharply with mud velocity and reaches a peak value around 1400 m/s in fast formation, while it changes gently in slow formation. Furthermore, the heavy drilling mud is not conducive to remote detection while drilling logging.
- (5)
- Using the far-field asymptotic solution, the SH-reflected wave field at 150 m depth is simulated, taking five minutes. On this basis, we use the SH-reflected wave data to image the reflectors in the depth range of 150 m, and the whole process takes about ten minutes. The imaging result demonstrates the feasibility of remote detection in logging while drilling using an acoustic dipole source.
Author Contributions
Funding
Data Availability Statement
Acknowledgments
Conflicts of Interest
Abbreviations
| Afin | Amplitude coefficient of reflected P-wave in the inner mud |
| Aco | Amplitude coefficient of reflected P-wave in the drill collar |
| Afou | Amplitude coefficient of reflected P-wave in the outer mud |
| b | Vector of 12 × 1 elements |
| B | Amplitude coefficient of P-wave in the formation |
| Bco | Amplitude coefficient of radiated P-wave in the drill collar |
| Bfout | Amplitude coefficient of radiated P-wave in the outer mud |
| Cco | Amplitude coefficient of reflected SH-wave in the drill collar |
| D | Amplitude coefficient of SH-wave in the formation |
| Dco | Amplitude coefficient of radiated SH-wave in the drill collar |
| Eco | Amplitude coefficient of reflected SV-wave in the drill collar |
| F | Amplitude coefficient of SV-wave in the formation |
| f | Radial wavenumber of fluid compressive wave, m−1 |
| fp0 | Steepest descent solution for axial wavenumber of fluid compressive wave, m−1 |
| fs0 | Steepest descent solution for axial wavenumber of fluid shear wave, m−1 |
| Fco | Amplitude coefficient of radiated SV-wave in the drill collar |
| H | Matrix of 12 × 12 elements |
| k | Axial wavenumber of solid compressive wave, m−1 |
| K1 | Modified Bessel function |
| kf | Wavenumber of fluid compressive wave, m−1 |
| kp0 | Steepest descent solution for axial wavenumber of solid compressive wave, m−1 |
| ks0 | Steepest descent solution for axial wavenumber of solid shear wave, m−1 |
| L | Distance the reflected wave travels, m |
| O | Vector of 12 × 1 elements |
| p | Radial wavenumber of solid compressive wave, m−1 |
| r | Radial distance, m |
| r0 | Radius of dipole source, m |
| r1 | Inner radius of drill collar, m |
| r2 | Outer radius of drill collar, m |
| r3 | Radius of the borehole, m |
| R | Distance the radiated wave travels, m |
| s | Radial wavenumber of solid shear wave, m−1 |
| S | Source power, W |
| ur | Radial displacement in the formation, m |
| uf | Radial displacement in the outer mud, m |
| urs | Radial displacement of the source, m |
| uR | Displacement of P-wave, m |
| uΦ | Displacement of SH-wave, m |
| uθ | Displacement of SV-wave, m |
| vR | Polarization velocity of a particle of P-wave, m/s |
| vΦ | Polarization velocity of a particle of SH-wave, m/s |
| vθ | Polarization velocity of a particle of SV-wave, m/s |
| WP | Radiation flux of P-wave, W |
| WSH | Radiation flux of SH-wave, W |
| WSV | Radiation flux of SV-wave, W |
| z | Axial distance, m |
| α | Formation compressive wave velocity, m/s |
| β | Formation shear wave velocity, m/s |
| θ | Slant angle in the vertical plane, ° |
| ρ | Formation density, kg/m3 |
| σrr | Normal stress in the formation, Pa |
| σrz | Tangential stress of z-direction in the formation, Pa |
| σrΦ | Tangential stress of Φ-direction in the formation, Pa |
| σrrf | Normal stress in the outer mud, Pa |
| σRR | Normal stress of R-direction in far field, Pa |
| σRΦ | Tangential stress of Φ-direction in far field, Pa |
| σRθ | Tangential stress of θ-direction in far field, Pa |
| ϕ | Azimuth angle in the horizontal plane, ° |
| χ | Displacement potential of SH-wave, m |
| ψ | Displacement potential of P-wave, m |
| Г | Displacement potential of SV-wave, m |
| ω | Circular frequency, rad/s |
| Qβ | Shear-wave quality factor, dB−1 |
| Abbreviations | |
| LWD | Logging while drilling |
| P | Compressive wave |
| RC | Borehole reception response |
| RD | Source radiation pattern |
| RF | Reflection coefficient |
| SH | Horizontally polarized shear wave |
| SV | Vertically polarized shear wave |
Appendix A
| H11 = −I1(fr1)/r1 − fI2(fr1); H12 = I1(pcor1)/r1 + pcoI2(pcor1); H13 = K1(pcor1)/r1 − pcoK2(pcor1); H14 = I1(scor1)/r1; H15 = K1(scor1)/r1; H16 = ik[I1(scor1)/r1 + scoI2(scor1)]; H17 = ik[K1(scor1)/r1 − scoK2(scor1)]; H21 = ρfω2I1(fr1); H22 = ρco(2k2βco2 − ω2)I1(pcor1) − 2ρcoβco2pcoI2(pcor1)/r1; H23 = ρco(2k2βco2 − ω2)K1(pcor1) + 2ρcoβco2pcoK2(pcor1)/r1; H24 = 2ρcoβco2scoI2(scor1)/r1; H25 = −2ρcoβco2scoK2(scor1)/r1; H26 = 2ikρcoβco2[sco2I1(scor1) − scoI2(scor1)/r1]; H27 = 2ikρcoβco2[sco2K1(scor1) + scoK2(scor1)/r1]; H32 = −2ρcoβco2pcoI2(pcor1)/r1; H33 = 2ρcoβco2pcoK2(pcor1)/r1; H34 = −ρcoβco2[sco2I1(scor1) − 2scoI2(scor1)/r1]; H35 = −ρcoβco2[sco2K1(scor1) + 2scoK2(scor1)/r1]; H36 = −2ikρcoβco2scoI2(scor1)/r1; H37 = 2ikρcoβco2scoK2(scor1)/r1; H42 = 2ikρcoβco2[I1(pcor1)/r1 + pcoI2(pcor1)]; H43 = 2ikρcoβco2[K1(pcor1)/r1 − pcoK2(pcor1)]; H44 = ikρcoβco2I1(scor1)/r1; H45 = ikρcoβco2K1(scor1)/r1; H46 = ρcoβco2(k2 + sco2)[ − scoI2(scor1) − I1(scor1)/r1]; H47 = ρcoβco2(k2 + sco2)[scoK2(scor1) − K1(scor1)/r1]; |
| H52 = I1(pcor2)/r2 + pcoI2(pcor2); H53 = K1(pcor2)/r2 − pcoK2(pcor2); H54 = I1(scor2)/r2; H55 = K1(scor2)/r2; H56 = ik[I1(scor2)/r2 + scoI2(scor2)]; H57 = ik[K1(scor2)/r2 − scoK2(scor2)]; H58 = −I1(fr2)/r2 − fI2(fr2); H59 = −K1(fr2)/r2 + fK2(fr2); H62 = ρco(2k2βco2 − ω2)I1(pcor2) − 2ρcoβco2pcoI2(pcor2)/r2; H63 = ρco(2k2βco2 − ω2)K1(pcor2) + 2ρcoβco2pcoK2(pcor2)/r2; H64 = 2ρcoβco2scoI2(scor2)/r2; H65 = −2ρcoβco2scoK2(scor2)/r2; H66 = 2ikρcoβco2[sco2I1(scor2) − scoI2(scor2)/r2]; H67 = 2ikρcoβco2[sco2K1(scor2) + scoK2(scor2)/r2]; H68 = ρfω2I1(fr2); H69 = ρfω2K1(fr2); H72 = −2ρcoβco2pcoI2(pcor2)/r2; H73 = 2ρcoβco2pcoK2(pcor2)/r2; H74 = −ρcoβco2[sco2I1(scor2) − 2scoI2(scor2)/r2]; H75 = −ρcoβco2[sco2K1(scor2) + 2scoK2(scor2)/r2]; H76 = −2ikρcoβco2scoI2(scor2)/r2; H77 = 2ikρcoβco2scoK2(scor2)/r2; H82 = 2ikρcoβco2[I1(pcor2)/r2 + pcoI2(pcor2)]; H83 = 2ikρcoβco2[K1(pcor2)/r2 − pcoK2(pcor2)]; H84 = ikρcoβco2I1(scor2)/r2; H85 = ikρcoβco2K1(scor2)/r2; H86 = ρcoβco2(k2 + sco2)[ − scoI2(scor2) − I1(scor2)/r2]; H87 = ρcoβco2(k2 + sco2)[scoK2(scor2) − K1(scor2)/r2]; H98 = −I1(fr3)/r3 − fI2(fr3); H99 = −K1(fr3)/r3 + fK2(fr3); H9,10 = K1(pfmr3)/r3 − pfmK2(pfmr3); H9,11 = K1(sfmr3)/r3; H9,12 = ik[K1(sfmr3)/r3 − sfmK2(sfmr3)]; H10,8 = ρfω2I1(fr3); H10,9 = ρfω2K1(fr3); H10,10 = ρfm(2k2βfm2 − ω2)K1(pfmr3) + 2ρfmβfm2pfmK2(pfmr3)/r3; H10,11 = −2ρfmβfm2sfmK2(sfmr3)/r3; H10,12 = 2ikρfmβfm2[sfm2K1(sfmr3) + sfmK2(sfmr3)/r3]; H11,10 = 2ρfmβfm2pfmK2(pfmr3)/r3; H11,11 = −ρfmβfm2[sfm2K1(sfmr3) + 2sfmK2(sfmr3)/r3]; H11,12 = 2ikρfmβfm2sfmK2(sfmr3)/r3; H12,10 = 2ikρfmβfm2[K1(pfmr3)/r3 − pfmK2(pfmr3)]; H12,11 = ikρfmβfm2K1(sfmr3)/r3; H12,12 = ρfmβfm2(k2 + sfm2)[sfmK2(sfmr3) − K1(sfmr3)/r3]; b5 = ε1[K1(fr2)/r2 − fK2(fr2)]I1(fr2); |
| where the elements of matrix H and vector b that are not listed are 0. pco = (k2 − ω2/αco2)1/2 and pfm = (k2 − ω2/αfm2)1/2 are the radial wave numbers of compressive waves, while sco = (k2 − ω2/βco2)1/2 and sfm = (k2 − ω2/βfm2)1/2 are the radial wave numbers of shear waves of the drill collar and formation, respectively. ρf, ρco, and ρfm are, respectively, the densities of the mud, drill collar, and formation. αf, αco, and αfm are, respectively, the compressive wave velocities of the mud, drill collar, and formation. βco and βfm are, respectively, the shear wave velocities of the drill collar and formation. |
References
- Zhou, X.H.; Wang, Q.B.; Feng, C.; Ye, T.; Liu, X.J.; Hao, Y.W.; Zhou, L. Formation conditions and geological significance of large Archean buried hill reservoirs in Bohai sea. Earth Sci. 2022, 47, 1534–1548. [Google Scholar]
- Fan, T.E.; Niu, T.; Fan, H.J.; Wang, S.; Xiao, D.K.; Luo, J.H. Geological model and development strategy of Archean buried hill reservoir in BZ19-6 condensate field. China Offshore Oil Gas 2021, 33, 85–92. [Google Scholar]
- Xue, Y.A.; Xu, P.; Tang, G.M. Discovery and exploration implications of super-large high-yield oil and gas accumulation zone in the southwest belt of Bozhong sag. China Offshore Oil Gas 2023, 35, 1–11. [Google Scholar]
- Niu, C.M.; Wang, F.L.; Ye, T.; Wang, G.Y.; Cui, P.Y. Oil and Gas migration models and quantitative evaluation on migration and accumulation capacity of buried hills in Bohai sea area. China Offshore Oil Gas 2021, 33, 1–14. [Google Scholar]
- Zhao, T.; Che, X.H.; Qiao, W.X.; Cheng, L. Borehole azimuthal acoustic imaging using 3D spatial scanning: Application in acoustic detection of nearby wells. Geophysics 2023, 88, D131–D145. [Google Scholar] [CrossRef]
- Kong, F.T.; Xu, H.C.; Gu, X.H.; Luo, C.M.; Li, S.Q. Denoising method of the borehole acoustic reflection image using convolutional neural network. Geoenergy Sci. Eng. 2023, 226, 211761. [Google Scholar] [CrossRef]
- Zhang, M.S.; Liu, P.; Fan, H.J.; Li, Z.; Zhao, H.; Jiang, J.W. Response characteristics of acoustic reflection imaging logging of fractures and formation interfaces outside horizontal wells in tight reservoirs. Chin. J. Geophys. (Chin.) 2024, 67, 2439–2454. [Google Scholar]
- Dong, J.L.; Xu, X.K.; Zhang, J.Y.; Zhai, Y.; Cao, Y.S.; Zhang, W.F. Overview and development of acoustic far detection technology. Prog. Geophys. (Chin.) 2020, 35, 566–572. [Google Scholar]
- Su, Y.D.; Rao, B.; Kong, L.W.; Li, S.Q.; Tan, B.H.; Zhuang, C.X.; Tang, X.M. Azimuthal reflected P-wave imaging: Theory, experiment and field application. Chin. J. Geophys. (Chin.) 2024, 67, 630–640. [Google Scholar]
- Hei, C.; Hu, W.; Zou, X. Numerical Simulation of Acoustic Field Ahead of Drill-Bit in Formation Generated by Multipole Source During Logging While Drilling. IEEE Geosci. Remote Sens. Lett. 2024, 21, 3433456. [Google Scholar] [CrossRef]
- Cao, J.J.; Tang, X.M.; Su, Y.D.; Wei, Z.T.; Zhuang, C.X. Radiation characteristics of the single-well imaging field in while-drilling logging using an acoustic dipole source. Chin. J. Geophys. 2016, 59, 3503–3513. [Google Scholar]
- Gu, X.H.; Tang, X.M.; Zhuang, C.X.; Jiang, C.; Li, S.Q. Simulation of dipole shear-wave reflection survey for multi-fracture system using liner slip interface theory. Prog. Geophys. (Chin.) 2020, 35, 955–962. [Google Scholar]
- Zhu, Z.Y. The logging mode optimization and remote detection performance of monopole acoustic logging while drilling. J. Appl. Acoust. 2022, 41, 310–317. [Google Scholar]
- Tan, B.H.; Tang, X.M.; Wei, Z.T.; Cao, J.J.; Su, Y.D. Dominant frequency bang and reflected wave field of LWD dipole shear wave remote detection. Acta Pet. Sin. 2016, 37, 1152–1159. [Google Scholar]
- Wang, R.J.; Qiao, W.X.; Che, X.H. A phased arc array acoustic LWD transmitter constructed by arcuate piezoelectric vibrators. Chin. J. Geophys. 2015, 58, 327–337. [Google Scholar]
- Xu, J.Q.; Hu, H.S.; Han, B. A fast algorithm for simulation and analysis of wavefields in acoustic single-well imaging of logging-while-drilling considering arbitrary types of sources. Geophysics 2024, 89, D99–D112. [Google Scholar] [CrossRef]
- Tang, X.M.; Gu, X.H.; Li, Y.H.; Su, Y.D. The interaction between borehole and elastic waves: Theory, method and application. Chin. J. Geophy. (Chin.) 2021, 64, 4227–4238. [Google Scholar]
- Xu, J.Q.; Hu, H.S. Study on the radiation and reception of the wave field in a single-well imaging system with an eccentric source. Chin. J. Geophys. (Chin.) 2020, 63, 3545–3561. [Google Scholar]
- Rao, B.; Su, Y.D.; Li, S.Q.; Tang, X.M. Effects of collar eccentricity on azimuthal response characteristics for acoustic reflection measurement while drilling. Geophysics 2023, 88, D325–D337. [Google Scholar] [CrossRef]
- Gu, X.H.; Tang, X.M.; Su, Y.D.; Li, S.Q. Elastic wave radiation and reception of a borehole dipole source in a vertically transverse isotropic formation. Geophysics 2023, 88, D177–D191. [Google Scholar] [CrossRef]
- Dwight, W.S. Acoustic Dipole Metalens for Far-Field Emission Enhancement. IEEE Sens. Lett. 2024, 8, 6007004. [Google Scholar]
- Liu, H.X.; Gu, X.H.; Li, H.R. Research of the dual dipole source of opposite polarity to suppress direct wave in single-well shear-wave imaging logging. Prog. Geophys. (Chin.) 2021, 36, 1560–1565. [Google Scholar]
- Gu, X.H.; Tang, X.M.; Su, Y.D. Borehole dipole-source radiation wavefield in transversely isotropic formation. Chin. J. Geophys. (Chin.) 2022, 65, 1494–1507. [Google Scholar]
- Li, Y.H.; Tang, X.M.; Su, Y.D. Borehole radiation and reception responses for azimuthal shear-wave reflection imaging with an off-centred dipole acoustic tool. J. Geophys. Eng. 2022, 19, 1180–1195. [Google Scholar] [CrossRef]
- Azizollah, K.; Soroush, A. Experimental and modeling analysis on the performance of 2-mercaptobenzimidazole corrosion inhibitor in hydrochloric acid solution during acidizing in the petroleum industry. J. Pet. Explor. Prod. Technol. 2023, 13, 2217–2235. [Google Scholar]
- Tang, X.M.; Zheng, C.H. Quantitative Borehole Acoustic Methods (in Chinese); Petroleum Industry Press: Beijing, China, 2004. [Google Scholar]
- Guo, D.R. Methods of Mathematical Physics (in Chinese); People’s Education Press: Beijing, China, 1978. [Google Scholar]
- White, J.E. Use of reciprocity theorem for computation of low-frequency radiation patterns. Geophysics 1960, 25, 613–624. [Google Scholar] [CrossRef]










| Media Parameter | P-Wave Velocity (m · s−1) | Shear Wave Velocity (m · s−1) | Density (kg · m−3) | Quality Factor Qp or Qs | Outer Radius (m) |
|---|---|---|---|---|---|
| Inner Mud | 1500 | — | 1000 | 50 | 0.027 |
| Drill collar | 5860 | 3130 | 7850 | 1000 | 0.090 |
| Outer Mud | 1500 | — | 1000 | 50 | 0.117 |
| Formation 1 | 5000 | 2800 | 2600 | 100 | ∞ |
| Formation 2 | 4500 | 2500 | 2570 | 100 | ∞ |
| Formation 3 | 4000 | 2200 | 2540 | 100 | ∞ |
| Formation 4 | 3500 | 1950 | 2510 | 100 | ∞ |
| Formation 5 | 3000 | 1650 | 2480 | 100 | ∞ |
| Formation 6 | 2500 | 1390 | 2450 | 100 | ∞ |
Disclaimer/Publisher’s Note: The statements, opinions and data contained in all publications are solely those of the individual author(s) and contributor(s) and not of MDPI and/or the editor(s). MDPI and/or the editor(s) disclaim responsibility for any injury to people or property resulting from any ideas, methods, instructions or products referred to in the content. |
© 2024 by the authors. Licensee MDPI, Basel, Switzerland. This article is an open access article distributed under the terms and conditions of the Creative Commons Attribution (CC BY) license (https://creativecommons.org/licenses/by/4.0/).
Share and Cite
Cao, J.; Qin, R.; Li, X.; Ye, X.; Hei, C.; Yin, Z.; Wang, P. Factors Influencing Radiation Sound Fields in Logging While Drilling Using an Acoustic Dipole Source. Processes 2024, 12, 2118. https://doi.org/10.3390/pr12102118
Cao J, Qin R, Li X, Ye X, Hei C, Yin Z, Wang P. Factors Influencing Radiation Sound Fields in Logging While Drilling Using an Acoustic Dipole Source. Processes. 2024; 12(10):2118. https://doi.org/10.3390/pr12102118
Chicago/Turabian StyleCao, Jingji, Ruibao Qin, Xiongyan Li, Xinyu Ye, Chuang Hei, Zhongxu Yin, and Peng Wang. 2024. "Factors Influencing Radiation Sound Fields in Logging While Drilling Using an Acoustic Dipole Source" Processes 12, no. 10: 2118. https://doi.org/10.3390/pr12102118
APA StyleCao, J., Qin, R., Li, X., Ye, X., Hei, C., Yin, Z., & Wang, P. (2024). Factors Influencing Radiation Sound Fields in Logging While Drilling Using an Acoustic Dipole Source. Processes, 12(10), 2118. https://doi.org/10.3390/pr12102118

