Abstract
In district cooling systems, substituting the conventional cooling medium with ice slurry represents an ideal approach to achieve economical operation. During pipeline transportation, ice slurry exhibits heterogeneous flow characteristics distinct from those of pure fluids. Consequently, investigating the flow field characteristics of non-homogeneous ice slurry, quantitatively analyzing the rheological variations and flow resistance laws due to the uneven distribution of ice particles, and standardizing the comprehension and depiction of flow patterns within ice slurry pipes hold significant theoretical importance and practical value. This study analyzes the heterogeneous isothermal flow characteristics of ice slurry in a straight pipe by employing particle dynamics and the Euler–Euler dual-fluid model. Taking into account the impact of ice particles’ non-uniform distribution on the rheological properties of ice slurry, a particle concentration diffusion equation is incorporated to develop an isothermal flow resistance model for ice slurry. The flow behavior of ice slurry with initial average ice particle fractions (IPFs) ranging from 0% to 20% in DN20 horizontal straight and elbow pipes is examined. The findings reveal that the degree of heterogeneous flow in ice slurry is inversely proportional to the initial velocity and directly proportional to the initial concentration of ice particles. When the flow velocity is close to 0.5 m/s, the flow resistance of ice particles exhibits a linear positive correlation with changes in flow velocity, whereas the flow resistance of the fluid-carrying phase displays a linear negative correlation. As the flow rate increases to 1 m/s, the contribution of each phase to the total flow resistance becomes independent of the initial velocity parameter. Additionally, the drag fraction of the ice particle phase is positively associated with the initial concentration of ice particles. Furthermore, the phenomenon of “secondary flow” arises when ice slurry flows through an elbow, enhancing the mixing of ice particles with the carrier fluid. The extent of this mixing intensifies with a decrease in the turning radius and an increase in the initial velocity.
1. Introduction
Ice slurry is not only a high-density cooling medium, but also a cheap refrigerating medium, which plays an important role in cold chain transportation. At the same time, it is not only a safe 0 °C cold source, but also an efficient heat exchange medium. As early as 2009, ice slurry as a secondary refrigerant has been applied in China, but in the field of regional cooling, due to more complex systems and pipe networks, more demanding requirements, and few applications. The prospects and trends of replacing traditional air conditioning cold sources with ice slurry are very promising.
In district cooling systems, ice storage is usually achieved through different ice making methods and systems [1]. With a growing emphasis on sustainability, research on district cooling systems utilizing ice slurries is gaining traction. Studies have demonstrated potential benefits in terms of energy efficiency and environmental impact [2,3]. There is a need for comprehensive studies on integrating ice slurry-based cooling systems into existing urban infrastructure, including energy grids and building complexes [4,5]. Economic viability and environmental impact assessments of district cooling systems with ice slurries are essential for their widespread adoption and require ongoing research [6,7]. For example, ice can be made using low-load electricity at night and stored in insulated ice storage tanks, and then ice particles are transported through a network and melted into frozen water during the day when needed to release cold water for the user [8]. However, in the district cooling system with chilled water as the cooling medium, the temperature difference between supply and return water is usually 5 °C, which is only one-sixth to one-seventh of the central heating system. In high-load operations, the temperature of the carrier coolant increases due to the running of the pump and the friction between the fluid and the pipeline, so that the carrier coolant loses a certain cooling capacity. Therefore, in order to improve the conveying density of the district cooling system [9], adopting a new ice storage mode in the energy station, that is, preparing and storing the ice slurry containing fine ice particles and then directly using the ice slurry medium instead of traditional frozen water, is one of the ideal ways to realize the economic operation of the district cooling system.
The latent heat transport of ice slurry, as an important part of the system, still faces many problems. In general, the heterogeneous flow process of ice slurry is affected by a variety of external factors and the physical properties of the ice slurry fluid itself, such as the geometric structure of the pipeline [10], the average flow rate, the concentration [11] and shape scale of the ice particles [12], the type of additive [13], the concentration of the liquid carrier [14], etc. At the same time, it also affects the distribution of some typical characteristic parameters in the flow process, such as rheology energy and flow resistance. In addition, it is difficult to achieve adiabatic transport of ice slurry in practical applications, and the heat exchange will promote the phase transition of ice particles and increase the complexity of the mixed fluid flow. Fluid velocity, temperature gradient, particle size, and concentration, among other factors, all exert influences on the operation of district cooling systems. An increase in fluid velocity results in greater drag forces acting on particles, thereby altering their trajectories and deposition rates. Within district cooling systems, higher fluid velocities may expedite the transportation of particles. Temperature gradients significantly impact the movement and aggregation behaviors of particles. In district cooling systems, the presence of temperature gradients can induce particle migration between cold and hot regions, subsequently affecting the system’s thermal equilibrium and cooling efficacy. Particle size plays a vital role in determining the settling velocity and diffusion characteristics of particles. Smaller particles tend to remain suspended in the fluid, whereas larger particles are more prone to deposition. In district cooling systems, the distribution of particle sizes influences the system’s cleanliness and maintenance costs. An increase in particle concentration leads to intensified interactions among particles, thereby affecting their motion behavior and deposition patterns. Within district cooling systems, high concentrations of particles may cause pipe blockages and diminish their heat exchange efficiency.
At present, the main methods used to make ice slurry are scraping, supercooling, vacuums, direct contact, and so on. Satoh et al. [15] studied the effect of a low temperature on the freezing of pure water droplets in a low-pressure process, theoretically analyzed the phenomenon of pre-crystallization supercooling, and provided certain theoretical guidance for the preparation of ice slurry by the vacuum method. Wijeysunderra [16] used a special refrigerant (density: 1730 kg/m3; thermal conductivity: 0.6 W/(m·K)) to successfully prepare and remove ice slurry by the direct contact method. Li et al. [17] proposed a new ice slurry production system using internal waste heat treatment. The system consists of two main processes: evaporative supercooling and liquid dehumidification. Compared with the traditional system, the new system can reduce the power burden and improve the power efficiency. Fumoto et al. [18] took sodium chloride solution as the test solution to conduct an experimental study on its crystallization process. By studying the relationship between the pressure, temperature, and concentration of sodium chloride in the crystallization process, it is concluded that the sodium chloride solution can maintain supercooling under a high pressure. The pressure has an effect on the crystallization and solidification of the solution, and the lower the concentration, the more significant the effect. The greater the supercooling index, the faster the ice slurry generator produces ice slurry. Castaing et al. [19] proved the feasibility of using supercooled water to produce ice pulp. In order to help understand the dynamic behavior of heat exchangers when supercooled water is generated, a numerical model is established. Compared with the test result, it shows relative levels of accuracy when considering the transient behavior of the heat exchanger during cooling and when crystallization occurs inside the heat exchanger. Bédécarrats et al. [20] used the supercooled water method to extract ice slurry and experimentally studied the influences of the degree of supercooling, flow rate, and refrigerant temperature on ice slurry. The results showed that it was difficult to accurately control the phenomenon of supercooling.
In simulation studies of ice slurry flow characteristics, the research scope is more extensive, focusing on straight pipes, elbow pipes, fluid machinery, heat exchangers, and so on. Bédécarrats et al. [20] modeled the evaporator and studied the influence of changing the supercooling capacity, flow rate, and refrigerant evaporation temperature on the crystallization of the supercooled solution. The test results show that the degree of supercooling must be greater than 2 °C to ensure that the solution does not crystallize in the evaporator. When the evaporation temperature is −3.5 °C, the supercooling degree of the solution is 1.6 °C, and the flow Reynolds number is 3400. The evaporation temperature must be precisely controlled, and the supercooled water will avoid crystallization in the evaporator under this condition. Arellano et al. [21] established a CFD-PBM (population balance model) coupling model to study the specific process of ice crystallization on the surface of a strip-plate heat exchanger. In this model, the energy equation and the nucleation, growth, and fragmentation of ice crystals are considered, and supercooling is considered as a high-weight factor affecting the nucleation and growth of ice crystals. Based on the basic characteristics of ice slurry from the 1990s, Kumakino [22] has further studied the physical phenomena of ice slurry flow in recent years. The literature [23] uses CFD software FLUENT 14.5 to integrate the movements of solid particles and liquids and calculate the amount of exercise and energy equations. At the same time, the general heat exchanger is studied more closely. Xu et al. [24] established a CFD-PBM coupling model to study the distribution law of ice particles in the ice-slurry-mixed fluid and the velocity change law of the mixed fluid, focusing on the transport process and rheological properties of the ice slurry in the horizontal straight pipe under the non-uniform flow state. Ma et al. [25] used a CFD-PBM coupling model to study the flow characteristics of ice slurry in horizontal elbow pipes. The dynamics of ice growth, accumulation, and fracture are also considered. The results show that the pressure, velocity, size, and uniformity of the ice slurry flowing through the elbow are affected by different angles of the elbow. Suzuki et al. [26] used the hot-dip boundary-lattice Boltzmann method to simulate solid–liquid and solid–solid interactions in ice slurry flow. A simplified model of ice slurry flow and heat load in a heat pipe is established. The results show that with the increase in the ice filling coefficient, the decrease in particle size, and the decrease in Reynolds number, the Nusselt number on the channel wall increases. The results show that the Nusselt number on the channel wall of the adhesive model is smaller than that on the channel wall of the repulsive model. Kalaiselvam et al. [27] studied the heat transfer and pressure drop characteristics of ice slurry with an IPF = 14% in a 16% ethanol aqueous solution in a tubular fin heat exchanger through a numerical simulation, and the results showed that the temperature drop of the ice slurry HVAC system was 7.4% higher than that of a conventional chilled water system. Recent studies have emphasized the complex rheological properties of ice slurries, which vary with temperature, concentration, and particle size distribution. Understanding these behaviors is crucial for optimizing system design and operation [28]. Efforts to map out the different flow regimes of ice slurries under various conditions have been ongoing, but more data are needed to develop accurate predictive models [29].
In the experimental study of the flow characteristics of ice slurry, Stamatiou [30] studied the resistance characteristics of ice slurry fluid in a vertical square pipe and measured the concentration distribution of ice particles along the cross-section of the pipe by means of concentration sampling. Shire [31] conducted an experimental study on the pressure drop characteristics of ice slurry flowing through a variable-diameter horizontal pipeline. When the flow rate is high, the pressure drop obviously decreases after the ice slurry flows through the orifice plate. This phenomenon is thought to be due to the reduction in ice particles and the blockage of turbulence in the ice slurry. At the same time, the visualization of ice slurry at the orifice plate shows that there is almost no random mixing of ice slurry in the ice slurry flow with the change in pipe diameter. Mika [32] studied the loss coefficient of ice slurry during the flow process in a copper pipe that was gradually shrunk through experiments. The shrinkage rates were 0.500, 0.615, 0.650, 0.769, 0.800, and 0.813, and the IPF values were 20%, 25%, and 30%. The experimental results show that the shrinkage loss coefficient of ice slurry in turbulent flow is the same as that of Newtonian fluid. Kumano et al. [33] conducted an experimental study on the flow and heat transfer of ice slurry after storage. For laminar flow, the friction coefficient and heat transfer coefficient of ice slurry in the pipeline are inversely proportional to the duration of storage time. The ice slurry stored for more than 12 h has great levels of adhesion when flowing in the pipeline, which is easy to jam, blocking the flow. For turbulent flow, the friction coefficient and heat transfer coefficient of the ice slurry in the pipeline are similar to that of a glycol solution and do not change with the change in storage time. Wang et al. [34] used fluorocarbon coating to continuously manufacture ice slurry without adding any additives in order to prevent or delay ice clogging. The results show that the fluorocarbon-coated supercooled heat exchanger can be successfully applied to improve the efficiency of making ice, so as to achieve the purpose of saving energy. Kumano et al. [35] experimentally studied the flow characteristics in the low-Reynolds-number region accompanied by heterogeneous flow in ice water, which is a mixture of tiny ice crystals and aqueous solutions, due to the influence of buoyancy, etc. The Reynolds number, ice percent factor, and flow direction were used as parameters to observe the flow behavior and measure the pressure loss. The results show that when the flow is horizontal, the flow is homogeneous under the condition of a high ice content and a high Reynolds number, and with the decrease in ice content and Reynolds number, the flow migrates to the intermittent flow in which the ice particles condense and flow intermittently. On the other hand, in the upward and downward directions, the flow is homogeneous and intermittent. In addition, even if the flow state changes, the pressure loss does not change significantly, and the pressure loss increases with the increase in ice content. Asaoka et al. [36] studied the IPF inhomogeneity during the flow of ice slurry, and the results showed that the ice slurry was uneven after a long flow period. Based on the current study, the change in IPF is estimated to be a maximum of 2.6 wt%. Kitanovski and Poredoš [37] analyzed the flow of fully suspended ice slurry in a horizontal pipe using a model that avoided the definition of the fluid type of ice slurry. For the ice particle diameters taken, the distribution of ice concentration under different mean velocities and pipe diameters is shown. The results show that ice slurry can be treated as a Newtonian fluid at a higher average velocity and a lower average concentration. As the ice concentration increases and the flow rate decreases, the viscosity is not only related to the ice concentration, but also to the average flow rate and pipe diameter. The ice slurry then behaves as a non-Newtonian fluid. Zhao et al. [38] proposed urea as an additive to reduce ice adhesion in solution. Ice particles are easily washed by liquid flow and automatically generate ice slurry. The thermal transformation properties, solidification morphology, and adhesion properties of urea aqueous solution were studied. The results showed that the latent heat of the urea solution was higher than that of other candidate solutions. In the solid–liquid phase, there is a microliquid film at the interface of the solidified matrix. This phenomenon explains the low adhesion strength of ice in aqueous solution. Kuchmacz and Niezgoda-Elasko [39] experimentally studied the up–down flow characteristics of ethanol-based ice slurry in vertical slit channels. The interaction between the two relative flow resistance levels was observed in the laminar flow range of a low-load liquid concentration and ice slurry flow. The drag value of the downward flow is 6–10% higher than that of the upward flow in the laminar flow region and 1–8% higher in the turbulent flow region. Rayhan et al. [40] conducted an experimental study on the flow of ice slurry in horizontally placed circular pipes. The results show that when the mass fraction of ice particles is less than 10%, it is a Newtonian fluid, and when the mass fraction is higher than 15%, it is a non-Newtonian fluid. In order to maximize the use of ice slurry as cold storage energy, the mass fraction of ice in the laminar flow must be kept below 20%.
In summary, the current research on the flow direction of ice slurry in pipes primarily concentrates on its flow resistance characteristics and heterogeneous flow phenomena. However, studies exploring the dynamic characteristics of ice slurry in pipes, as well as the mechanism model and quantitative description of the radial ice particle fraction (IPF) distribution, remain scarce. This research gap was the motivation for our study, which aims to address the lack of understanding regarding the behavior of ice slurry in regional cooling systems. To this end, based on particle dynamics theory, the Euler–Euler model, and Comsol simulation software 5.6, this paper numerically simulates the flow characteristics of ice slurry in pipes. The ice particle size considered in this study is 0.8 mm. We analyze the influence of the ice particle concentration and initial velocity of ice slurry on the pressure drop and IPF in both straight and elbow pipes. Furthermore, we establish a radial distribution correlation formula for ice slurry in pipes and preliminarily analyze its applied model.
2. Methodology
2.1. Model Assumptions
In order to simplify the calculation, the following assumptions are made about the isothermal flow process of ice slurry:
- (1)
- Assume that the ice particles in the ice slurry are spherical particles with the same size;
- (2)
- The ice particles are regarded as independent particles in the flow process, ignoring the mutual agglomeration and fragmentation of the ice particles;
- (3)
- Heat and mass transfer in the flow process are ignored and it is regarded as adiabatic.
In order to further understand the specific distribution of ice particles in flow, Kitanovski and Poredos [37] pointed out that the concentration distribution of ice particles can be solved using the Schmidt–Rouse concentration diffusion equation of solid–liquid two-phase flow, but this method cannot give the flow field law corresponding to the solved concentration distribution.
2.2. Control Equation
Based on the Euler–Euler model of two-phase flow based on particle dynamics theory, the influence of different interfacial forces on momentum transfer in isothermal non-phase transition flow was analyzed, and an Euler–Euler model was established to describe the inhomogeneous isothermal flow of ice slurry. Since the working conditions involved were mainly distributed in the turbulent region, the effects of ice fragmentation and agglomeration can be ignored. The Euler–Euler model for two-phase flows without phase transition processes is described mathematically as follows:
- (1)
- Continuity equation
- (2)
- Momentum equation
- (3)
- Turbulence equation
The mixed-phase k-ε model is a generalization of the k-ε equation for single-phase flow. In the mixed-phase k-ε model, a solid–liquid mixture composed of particle phase and liquid phase was selected as the research object. The turbulence of particle phase and liquid phase in solid–liquid mixed phase is considered comprehensively. The kinetic energy and dissipation rate equations are as follows:
where C1ε = 1.44; C2ε = 1.92; σk = 1; and σt = 1.3.
2.3. Boundary Conditions
In terms of setting the boundary conditions for solving the model, the pipe inlet is set as a velocity and temperature boundary, the pipe outlet is set as a pressure outlet boundary, the outer wall of the pipe is set as a heat source boundary, the pipe wall is set with the corresponding heat transfer coefficient, and the inner wall of the pipe is set as a no-slip heat exchange boundary. Regarding the depiction of turbulent characteristics in the heat transfer process, the low-Reynolds-number k-ω turbulence model is adopted.
- (1)
- Viscosity equation
In order to determine the constitutive equation of liquid phase and particle phase, it is necessary to obtain the viscosity of liquid phase and particle phase. As the basic physical property parameter of fluid, liquid-phase viscosity can be directly obtained, but due to the influence of flow process, the viscosity of particle phase no longer belongs to the category of basic physical property parameters of fluid. The particle dynamics theoretical model proposed by Gidaspow [41] used the transport equation of particle pulsation velocity (particle temperature) to characterize the interaction between particles and obtained the shear viscosity of the particle pseudo-fluid by solving the particle temperature equation. The concrete form of the particle temperature equation is as follows:
where kθS is the diffusion coefficient of particle temperature, kg/(m·s); θS is the particle temperature, m2/s2, which represents the pulsation intensity of the particles; and γθs is the energy collision dissipation rate during particle pulsation, kg/(m·s3). The mathematical description is as follows:
In order to reduce the complexity of solving the equation, the convergence and divergence of the numerical solutions of the Euler–Euler model were increased, and the particle temperature equation was simplified; that was, the influence of convective diffusion on the particle temperature distribution is not considered. Hypothesis: The production and dissipation of particle temperature field energy always meet local equilibrium. At the same time, considering that the particle temperature propagation process was a steady-state process, the specific simplified relationship is as follows:
According to Equation (14), the calculation methods of particle shear viscosity μs, particle phase viscosity λs, and particle phase normal stress ρs were as follows:
ess is the recovery coefficient used to correct the inelastic collision between particles, which is between 0 and 1. g0,ss is the radial distribution function used to correct the interparticle collision discipline and is shown as follows:
- (2)
- Interphase force equation
In the Euler–Euler model of two-phase flow without phase transition, the coupling relationship between the two phases was established by the relative phase force. According to the stress characteristics of ice particles in the process of ice slurry flow, the possible phase-shifting forces between ice particles and carrying fluid include drag force (DF), lift force (LF), and turbulent diffusion force (TDF).
KSL is the momentum exchange coefficient between the solid and liquid phases, and the calculation method itself changes with the change in ice content; Clife is the lift coefficient; μt,m is the turbulent viscosity; and σD is the Prandtl diffusion coefficient. With the change in ice content, KSL is calculated as follows:
When αs < 0.2
When αs ≥ 0.2
where ds is the particle diameter, m; and ReS represents Reynolds number of particle. Combined with Formulas (19)~(21), the total momentum transfer between the particle phase and the liquid phase due to the interphase force can be obtained as follows (μt,m = 0, when laminar flow):
2.4. Particle Tracking Model
In the flow of ice slurry, the ice particles interact with the carrier fluid and show different flows. The laws of motion are calculated according to the Newtonian, Lagrangian, or Hamiltonian models of classical mechanics [42]. By defining the boundary conditions of particles on the wall of a geometric model, particles can freeze, adhere, rebound, disappear, or diffuse [43]. According to the defined grid and custom expressions, particles are released at the boundary or domain as needed to simulate the interaction of particles with the physical field and between particles.
Taking a single particle as an example, when it is released from one place into a uniform u flowing fluid, according to Newton’s second law, the following can be obtained:
where mice is the mass of the particle, kg; q is the position vector of the particle, m; and Ft is the net force acting on the particle, N. For a flow field with gravity, Ft is the resultant force of gravity Fg and drag FD.
where ρice is the density of particles, kg/m3; ρ is the density of the carrying fluid in the flow field, kg/m3; μ is the dynamic viscosity of a carrier fluid in a flow field, Pa·s; ds is the particle size, m; and u and v are the velocity of the fluid and the particle in the flow field, m/s. When the particle size and relative Reynolds number are small, Stokes’ law of drag is more suitable for the expression of drag force [44]:
Suppose that the size of the ice particle did not change (dp and mp were both constant), the particle was a sphere, and its mass was as follows:
The simplified expression of the particle motion equation was obtained by combining Equations (26), (27), and (29) as follows:
3. Numerical Procedure
In this paper, Comsol Multiphysics was used for numerical simulation. The ice slurry isothermal flow model established in this paper mainly used PDE (partial differential equation) module and CFD module. Through the above module, the internal phase distribution of the mixed fluid and the solution of the velocity field and pressure field of the fluid in the process of ice slurry flow were realized.
3.1. Geometrical Modeling
In order to unify the basic physical conditions of ice slurry flow in pipes of different shapes, SolidWorks 2016 was used to establish a geometric model of a horizontal straight pipe with a length of 1500 mm and pipe diameter of DN20 (Figure 1).
Figure 1.
Geometric model: (a) Horizontal straight pipe; (b) 90° elbow pipe.
3.2. Simulation Process
3.2.1. Simulation Steps of Isothermal Flow of Ice Slurry in Pipe
- (1)
- Open COMSOL Multiphysics 5.6 and select PDE and CFD modules;
- (2)
- Import the 3D solid model into COMSOL;
- (3)
- The model was meshed by using the automatic meshing option in COMSOL software 5.6;
- (4)
- Define the constant and variable expressions required by the conjugate model and set the boundary conditions and initial conditions for each block;
- (5)
- Adopt non-steady-state calculation and set the time step and calculation time;
- (6)
- The post-processing function was used to analyze the results.
3.2.2. Steps for Simulating the Trajectory of Ice Particles
In terms of particle setting, it was necessary to provide the mass, density, and geometric size of the particle, as well as the release time, release mode, and release position. In terms of interactions between particles and interactions between particles and physical fields, it was necessary to set the effect and degree of particle–particle interaction and the effect and degree of particle collision with the inner wall.
The geometric model of 90° bend pipe is established using SolidWorks. Different from the simulation of flow characteristics, the inlet section was reserved with sufficient length to ensure that particles interact with the flow field after being released at the inlet so as to fully develop the flow and improve the accuracy of the model. The bend diameter is 20 mm, and the bend radius is 60 mm.
The simulated condition was an ice slurry with an initial velocity of 0.5 m/s and an initial ice content of 20%. The particle size was defined as 0.8 mm, the density was that of 0 ℃ ice, and the release was uniform at the entrance, and the release speed was calculated according to the 20% ice particle concentration. Assuming that the inner wall was smooth and adiabatic, the contact between the particles and the inner wall was set as reflection, and the size and shape of the particles were set so that they would not become rigid bodies. The interaction between particles was collision and partial adhesion.
The specific process is as follows:
- (1)
- Open COMSOL Multiphysics 5.6 and select the CFD module and particle tracking module;
- (2)
- Import the 3D solid model into COMSOL;
- (3)
- The automatic grid division option in the software is used to divide the model into grids, and the grids are encrypted in turn. The boundary layer is set to 5 layers to improve the accuracy of simulation calculation;
- (4)
- Define the constants and variable expressions required by the conjugate model and set the boundary conditions and initial conditions of each block;
- (5)
- Set the steady-state calculation and take the steady-state result as the dependent variable of the unsteady-state calculation;
- (6)
- The post-process function was used to analyze the results.
3.3. Grid Independence Verification
Grid generation is an important part in the preprocessing of finite element method. The quality of the grid plays an important role in future simulation results. In this paper, the physical field in COMSOL Multiphysics was used to control the grid, the grid was automatically divided, the elbows were locally densified, and the boundary layer was set to 6 layers, while other parts of the grid were relatively rough (Figure 2).

Figure 2.
Geometric model grid division diagram: (a) Horizontal straight pipe; (b) 90° elbow pipe.
The purpose of grid independence verification is to eliminate the influence of grid number on simulation results. Two kinds of DN20 straight pipe lengths of 1.5 m and 10 m were built and used in this paper. The grid independence verification of the geometric model with 1.5 m pipe length is shown in Table 1. The pressure drop of ice slurry flow is analyzed, and 6 geometric models and 4 different elements are analyzed. As can be seen from Table 2, taking the 1.5 m three-dimensional pipe geometry model as an example, when the number of grids increases to 34,518, further increasing the number of elements has little impact on the pressure drop. Therefore, in order to save calculation time and ensure the accuracy of the results, 34,518 calculation units were selected in the geometric model.
Table 1.
Selection of calculation elements for each geometric model. Working conditions: T0 = 0 °C, Tair = 20 °C, u0 = 1.5 m/s, IPF = 15%, DN20.
Table 2.
Comparison of the pressure difference of the numerical simulation results of each grid of the 1.5 m 3D physical model.
3.4. Model Validation
In order to verify the reasonable accuracy of the model, the research results of this paper were compared with the experimental data on pressure drops in the literature [1] and velocity in the literature [45]. As can be seen from Figure 3, the pressure drop and velocity calculated by the model adopted in this paper are basically consistent with the pressure drop trend in the literature at different flow rates and r/D, respectively, with an error rate within ±10%.
Figure 3.
Model validation: (a) pressure drop [1]; (b) velocity [45].
4. Results and Discussion
4.1. Flow Characteristics of Heterogeneous Ice Slurry in Straight Pipe
Radial IPF
On the basis of the above simulation conditions, physical models under different conditions were simulated. Figure 4 shows the distribution of the radial IPF in the positive direction of the Z-axis after the flow is fully developed under different working conditions.
Figure 4.
Radial distribution of IPF under different working conditions.
As can be seen from Figure 4, according to the conservation of mass, the overall concentration of ice particles does not change. After the flow is fully developed in each working condition, the distribution trend of the radial ice particles differs significantly, especially under the working condition of 0.5 m/s. It can also be seen from the figure that the ice particles are mainly concentrated in the middle and upper part of the pipe, and the ice content near the upper pipe wall fluctuates due to the influence of the boundary layer. Moreover, the overall distribution law and distribution trend of the particles are mainly determined by the initial flow velocity.
- (1)
- Influence of initial velocity on radial IPF
Figure 5a shows the change in the IPF with the radial height during the flow of ice slurry in the pipe at different velocities when the initial IPF is 10%. As can be seen from Figure 5a, when the radial height of ice slurries with different initial velocities was about 12 mm, obvious changes occurred, and the degree of change was negatively correlated with the velocity; that is, the smaller the velocity, the more obvious the change in IPF. Among them, the trend of the change in IPF under the 1.5 m/s and 2.0 m/s working conditions is basically the same.
Figure 5.
Effect of initial velocity on radial IPF: (a) Initial IPF is 10%; (b) Initial IPF is 15%; (c) Initial IPF is 20%.
Figure 5b shows the changes in the IPF with the radial height during the flow of ice slurry in pipes at different velocities when the initial IPF is 15%. As can be seen from Figure 5b, when the radial height of the ice slurries with different initial velocities was about 11 mm, obvious changes occurred, and the degree of change was negatively correlated with the velocity. At this time, compared with Figure 5a, the trend of the variation in radial IPF at a speed of 1.0 m/s is close to that at 1.5 m/s and 2.0 m/s. Among them, the trend of the variation in IPF at 1.5 m/s and 2.0 m/s is still basically the same.
Figure 5c shows the changes in the IPF with the radial height during the flow of ice slurries in pipes at different velocities when the initial IPF is 20%. As can be seen from Figure 5c, when the radial height of ice slurries with different initial velocities is about 10 mm, obvious changes occur, and the degree of change is negatively correlated with the velocity. There is a certain difference in the initial IPFs of 10% and 15%: their variation at 1.5 m/s is small, and they vary greatly at 2.0 m/s.
From the above analysis, it can be seen that regardless of the initial velocity and IPF, the change in radial IPF basically occurred between 10 mm and 12 mm, and below 10 mm, the concentration of ice slurry in the pipe is lower than the initial IPF. With the increase in the initial velocity, the abrupt position of the radial IPF advances. Therefore, it can be concluded that when the initial velocity is larger, greater disturbances will ensue, resulting in the acceleration of the upward floatation of ice particles and the increase in the radial IPF.
- (2)
- Effect of initial IPF on radial IPF
Figure 6 shows the influence of the initial IPF on the radial IPF. It can be seen from the figure that the IPF at the same radial height increases with the increase in the initial IPF no matter what the initial velocity is. In addition, when the initial velocity is 0.5 m/s, the trajectory of the radial IPF change is obviously different from that of other working conditions. Among them, the trajectory of the radial IPF change is basically the same when the initial velocity is 1.5 m/s and 2.0 m/s. It can be concluded that the initial IPF has a great influence on the radial IPF, and the higher the initial IPF, the more likely the ice particles are to agglomerate and float. At present, the method of mechanical agitation is generally adopted to solve the uneven distribution of the radial IPF and reduce the agglomeration of ice particles.
Figure 6.
Influence of initial IPF on radial IPF: (a) Initial velocity is 0.5 m/s; (b) Initial velocity is 1.0 m/s; (c) Initial velocity is 1.5 m/s; (d) Initial velocity is 2.0 m/s.
- (3)
- Fitting correlation of radial IPF
In order to further study the relationship between the IPF and the radial height of ice slurry at different flow rates, the Levenberg–Marquardt optimization algorithm and LognormalCDF, Rationa, and Poly models were adopted according to actual data to establish the correlation formula between the IPF and the radial height of ice slurry, as shown in Table 3. Figure 7 shows the schematic diagram of simulated and fitted IPF values of ice slurry under different working conditions with a confidence interval of 95%. As can be seen from the figure, the simulation results are all within 95% confidence intervals. However, there are some differences in the mathematical models used in different working conditions. When the velocity of the ice slurry is 0.5 m/s, the IPF distribution is closer to the lognormal cumulative distribution function, and the fitting accuracy is higher. When the lognormal cumulative distribution function is used in other working conditions, it cannot converge. Therefore, under the working conditions of 1.0 m/s, 1.5 m/s, and 2.0 m/s, other mathematical models were used. The test found that the Rationa model could be used for 1.0 m/s (10% and 20%), and only when the polynomial model was used in the other working conditions could the fitted values converge and the accuracy requirements be met.
Table 3.
Fitting correlation of IPF and radial height for each case.
Figure 7.
Relationship between simulated and fitted IPF values (confidence interval: 95%): (a) 0.5 m/s (initial IPFs are 10%, 15%, and 20%); (b) 1.0 m/s (initial IPFs are 10%, 15%, and 20%); (c) 1.5 m/s (initial IPFs are 10%, 15%, and 20%); (d) 2.0 m/s (initial IPFs are 10%, 15%, and 20%).
4.2. Velocity Distribution of Ice Slurry in Straight Pipe
The radial velocity variation curve in the ice slurry pipe with different initial ice contents and different initial velocities is shown in Figure 8. It can be seen from the figure that the variation trend of the radial velocity of ice slurry in the pipe is basically the same under different working conditions. In the middle and lower parts of the pipe, the flow velocity of the ice slurry meets Newton’s law of internal friction. Affected by the boundary layer, the flow velocity gradually increases with the increase in the radial height and reaches the maximum value in the center of the pipeline. However, when the radial height reaches 12 mm, it can be clearly seen from the curve that the change in ice slurry velocity no longer meets Newton’s law of internal friction; that is, it shows the characteristics of non-Newtonian fluids. This phenomenon was consistent with the above-mentioned observation that the concentration of ice slurry changes greatly at 12 mm and higher. In addition, it can also be seen from the figure that no matter what kind of initial velocity is used, different IPFs have little influence on the radial velocity of the ice slurry, and the velocity changes are basically the same.
Figure 8.
Radial velocity at different initial velocities.
Since the radial velocity distribution of the ice slurry flowing in the pipe was basically the same under different IPF conditions, we take the radial velocity distribution with an initial IPF of 20% and an initial velocity of 0.5 m/s as an example to further explain the factors affecting the velocity distribution. Combined with Figure 8, it can be clearly seen from Figure 9 that the velocity gradient distribution is gradually denser from bottom to top. As ice particles gather towards the upper part of the pipe under the influence of a lower density, the concentration of ice particles rises sharply to form a flowing bed. At 0.5 m/s, this process is uniform and smooth, and the faster ice particles collide with other ice particles, which makes the faster ice slurry have a steeper velocity gradient on the upper part of the pipe. Therefore, the speed increase in the simulated condition has little correlation with the ice content and the initial speed.
Figure 9.
Velocity gradient distribution of 0.5 m/S (IPF is 20%).
4.3. Pressure Drop of Ice Slurry Flow in the Straight Pipe
Figure 10a shows the pressure distribution along the X-axis under different working conditions. As shown in the figure, the pressure drop (ΔP) increases with the increase in the initial flow rate, and the greater the slope of the pressure change, the greater the pressure drop. This is because as the initial flow rate increases, the resistance in the flow process increases, and the interference of the ice particles on the upper part of the pipeline on the fluid flow becomes more obvious, resulting in increased kinetic energy loss and thus increased pressure loss. At the same time, the trend of the pressure drop is also linearly positively correlated with the initial ice particle concentration (IPF), and the presence of ice particles will interfere with the normal flow of the fluid and increase the instability of the flow. Especially under a high flow rate and high concentration, the impact of ice particles on the fluid is more significant, leading to increased pressure loss. In the laminar flow state at low flow rates, the pressure loss of the fluid is very small, and even the terminal pressure at an initial speed of 0.5 m/s is higher than the pressure under high-flow turbulent conditions. This is because the fluid flow in the laminar state is more orderly and the frictional resistance is smaller, while the fluid flow in the turbulent state is more chaotic and the frictional resistance is larger. Under simulated conditions, the maximum pressure drop occurs at an initial speed of 0.5 m/s and an initial IPF of 20%, reaching 1246.38 Pa; the minimum pressure drop occurs at an initial speed of 0.5 m/s and an initial IPF of 10% at 176.95 Pa. In the laminar flow state at low flow rates, the pressure loss of the fluid is extremely small, and even the terminal pressure at an initial speed of 0.5 m/s is higher than the pressure under high-flow turbulent conditions.
Figure 10.
Flow pressure drop of ice slurry in pipe: (a) Pressure distribution in the X-axis direction under different working conditions; (b) Pressure drop at different flow rates.
Figure 10b shows the pressure drop associated with ice slurry flow through a pipe at diverse flow rates. The graph indicates a progressive augmentation of the pressure drop that is concurrent with an increase in the flow rate, with the IPF exerting a pronounced effect on this parameter. Such an observation can be attributed to the intensification of frictional forces between the fluid and the conduit walls as the flow rate escalates, culminating in an elevated pressure drop.
The underlying rationale for this phenomenon is rooted in the increase in the IPF, which subsequently leads to a rise in the viscosity of the ice slurry. This increase in viscosity, in turn, escalates the coefficient of frictional resistance, thereby contributing to a more substantial pressure drop. Specifically, the augmentation of the ice particle fraction modifies the rheological properties of the fluid, enhancing its coefficient of frictional resistance. In accordance with Poiseuille’s law, this coefficient is directly proportional to the fluid’s viscosity, implying that an increase in the IPF will inevitably result in a higher pressure drop.
4.4. Particle Tracking Simulation Results
Figure 11 showed the particle flow state of the ice slurry with an initial velocity of 0.5 m/s and an initial IPF of 20% in a 90° elbow pipe. In this figure, the ice particles are scaled for easy observation, while some of the same flow trajectories of the ice particles are omitted. After some post-processing of the simulation results, the movement trajectories of ice particles when they flow through the bend pipe in the ice slurry can be observed.
Figure 11.
Particle trajectory of ice slurry in an elbow pipe.
As shown in the figure, the speed of ice particles in the position close to the inner wall of the pipe is significantly slower under the influence of the boundary layer, and the local speed of the ice particles is close to zero due to the accumulation of ice particles at the top of the pipe. As more ice particles gather on the outside of the bend, under the influence of pressure, some ice particles near the inner wall of the outside of the bend begin to move along the inner wall to the bend center to form a spiral motion track and maintain a similar flow state after exiting the bend. The flow state is relatively stable in the center of the fluid as a whole. After exiting the bend, the middle and upper part of the pipe maintain a high speed temporarily. The flow steadily develops and begins to resemble the flow of a straight pipe; that is, the concentration of ice particles in the middle and lower part is very low and the flow rate is fast. The reasons for this phenomenon are analyzed as follows:
When ice particles move in the flow field, they are subjected to the resistance of the carrying fluid, which will affect their speed and trajectory. The fluid motion itself can also be perturbed by particles, especially in the case of a high concentration of suspended ice particles, in which the momentum and energy exchange of the ice particles can have a significant effect on the flow field.
As the ice particles gather, the resistance of the surrounding fluid increases further. This results in an increase in the total drag on the collective movement of the agglomerated ice particles, which can slow them down or change their direction of motion. The velocity distribution and vortex structure in the flow field also affect the agglomeration and dispersion of particles. In particular, the turbulent structure in the flow field can lead to aggregation between particles, which can lead to increased uncertainty in particle trajectories, while also potentially increasing the number of collisions and interactions between particles. Under different flow field conditions, the distribution pattern and transport rate of ice particles are different. The agglomeration of particles can change the structure and velocity distribution of the surrounding flow field. This deformation of the flow field may lead to changes in the motion trajectories of the aggregated particles, as the hydro-mechanical environment to which they are subjected has changed.
In addition, the agglomeration of ice particles may form local fluid vortex structures, especially when the ice slurry flows through the bend. This vortex effect affects the particle’s trajectory so that it moves along a particular rotational path rather than along the original fluid direction. In the vortex region, the motion of the particles is affected by the induced force of the vortex, which changes its motion path.
Another reason is inertia. Particles moving in a fluid have a certain mass and inertia, and when they are subjected to the acceleration or deceleration of the fluid, it causes their motion trajectory to change. As ice particles aggregate to form larger aggregates, their inertial effects increase. This means that the response speed of the particle aggregate in the flow field is low, which may lead to the change in its motion trajectory. As a particle moves through a flow field, its own inertia causes it to rotate around itself. This inertial rotation effect makes the particle’s motion trajectory not only linear, but also possibly accompanied by spin motion, especially in fast fluid flow. The mass and inertia of the whole aggregate will increase, which leads to a slower motion response of the aggregate particle system, and the degree of trajectory curving may also increase.
4.5. Analysis of Simulation Results of Ice Slurry Flow in the Elbow Pipe
From the perspective of ice slurry applications, in the process of the flow transport of ice slurry, the influence of pipe bending on the entire flow is more intuitive, and because of the special physical properties of ice particles, the interaction between particles at the bend and between particles and the flow field, as well as the frequent changes in the pressure field at the bend, the flow state is more likely to change. The parallel flow at the bend is more complicated, and in the actual flow process, there will be ice blockages in some cases, which means that research on the ice slurry flow at the bend has a certain practical significance.
This section mainly studies the flow state of ice slurry at the bend. Therefore, in order to ensure that the ice slurry flowing through the bend is a fully developed flow, the ice slurry inflow section of the geometric model is extended to 10 m. At the same time, the steady-state calculation is performed first, and then the transient calculation is performed. The transient calculation time is 10 min and the step length is 10 s so as to ensure that the ice slurry flowing through the bend can be improved. It is a fully developed flow.
4.5.1. Analysis of Simulation Results of Local IPF
Figure 12 shows the local ice slurry concentration distribution in each working condition when the ice slurry flows through the vertically placed bend pipe. The left side flows in horizontally and flows out vertically, and the gravity direction is vertically downward. It can be seen from the figure that the ice slurry has reached a stable flow state before flowing into the bend, and the overall ice slurry is obviously stratified. As can be seen from the figure, when the speed is the same, the larger the initial IPF is, the more obvious the bending layer is. The reason for this is that when the initial IPF is larger, the ice particles are more likely to aggregate and concentrate on top of the pipe, and the ice slurry is more affected by a lower density, which leads to the intensification of delamination. In addition, when the initial IPF is consistent and when the speed is higher, the location at which the highest IPF occurs is also advanced.

Figure 12.
Local IPF distribution of vertically placed elbow (horizontal inflow at left end, gravity in vertical downward direction): (a) Initial velocity of 0.5 m/s, initial of IPF 10%; (b) Initial velocity of 0.5 m/s, initial IPF of 20%; (c) Initial velocity of 1.0 m/s, of initial IPF 10%; (d) Initial velocity of 1.0 m/s, initial IPF of 20%; (e) Initial velocity of 1.5 m/s, initial IPF of 10%; (f) Initial velocity of 1.5 m/s, initial IPF of 20%; (g) Initial velocity of 2.0 m/s, initial IPF of 10%; (h) Initial velocity of 2.0 m/s, initial IPF of 20%.
Taking the simulation result of the initial ice content of 10% as an example to further analyze the cause of this phenomenon, with the increase in the initial flow velocity, the local maximum concentration of the ice slurry shows a small decrease, while the local maximum concentration of ice particles at a high concentration of 20% shows no obvious trend regarding changes, as shown in the figure. Ice particles move upward under the influence of gravity in the horizontal pipe. The thickness of the layer of highly concentrated ice particles produced by ice accumulation decreases with the increase in speed, which indicates that the increase in velocity prevents the upward movement of ice particles of a lower density from stratifying to a certain extent. The ice slurry fluid with a lower velocity has relatively thicker layers of ice particles, thus resulting in the ice slurry flowing into the bend pipe. A narrower passage will be left inside the bend for the lower part of the ice slurry with a low concentration; an increase in the initial ice content also leads to this result. The narrower passage also means that the ice slurry has a larger velocity gradient and pressure difference at the bend.
4.5.2. Analysis of Simulation Results of Velocity Distribution
Figure 13 shows the velocity cloud image of the ice slurry fluid flowing through the bend under various working conditions. On the whole, in addition to the obvious boundary layer at the pipe wall under the action of gravity, the ice slurry also floats up because of the low density of ice particles. The floating ice particles gather more in the upper part of the pipe and then form a velocity difference with the area with a low concentration of ice particles, resulting in obvious stratification. The direct result is that the upper part of the pipe has a thicker velocity change layer, which is obviously thicker than the lower boundary layer. When flowing through the bend, the flow direction of the ice particles in the middle and lower parts of the pipe is changed by the squeeze of the bend. At the same time, the inner wall of the outer bend is constantly impacted by the high-concentration ice slurry solution, and the thick and high-concentration layer formed by the original ice particles gathered in the upper part is compressed and thinned.

Figure 13.
Velocity distribution of vertical bending pipe (m/s): (a) Initial velocity of 0.5 m/s, initial IPF of 10%; (b) Initial velocity of 0.5 m/s, initial IPF of 20%; (c) Initial velocity of 1.0 m/s, initial IPF of 10%; (d) Initial velocity of 1.0 m/s, initial IPF of 20%; (e) Initial velocity of 1.5 m/s, initial IPF of 10%; (f) Initial velocity of 1.5 m/s, initial IPF of 20%; (g) Initial velocity of 2.0 m/s, initial IPF of 10%; (h) Initial velocity of 2.0 m/s, initial IPF of 20%.
Under the same initial concentration of ice particles, it can be observed from the figure that the layers formed by floating and rising ice particles gradually become thinner with the increase in flow velocity. Under the condition of a low flow velocity of 0.5 m/s, the thickness will also change greatly with the flow through the bend. With the increase in velocity, the gradient of the velocity change becomes more intense.
At each initial flow rate, the influence of different concentrations of initial ice particles on the velocity is different. The ice slurry fluid with a higher concentration of ice particles has a greater flow inertia due to having more ice particles, but the local flow rate is higher when it flows through the bend. With the increase in initial velocity, the overall velocity distribution is closer to the low concentration.
4.5.3. Analysis of Simulation Results of Pressure Distribution
In the study of the flow characteristics of ice slurry, the pressure drop during the flow of the ice slurry is always an important parameter. In an ice slurry conveying system, the smooth flow of ice slurry in the conveying system can be monitored by measuring the pressure drop. When an abnormal pressure drop occurs in the pipe section, check the pipe section to find out whether there is an ice blockage or signs of an ice blockage and deal with it in time to prevent long-term ice blockages from causing damage to the ice slurry conveying system. In the design of ice slurry pipelines, the pressure drop should be reduced as much as possible to reduce the loss along the way, and if there is a large pressure gradient in the local area, ice blockages or the irregular high-speed flow of ice particles can easily occur, leading to the erosion of the pipeline and components. The pressure variation in the ice slurry fluid mainly exists at the bend of the pipe, so the pressure distribution of the ice slurry fluid at the common bend of the pipe is analyzed and studied.
Figure 14 is a comparison of the pressure distribution of the ice slurry and pure water flowing through the bend without gravity. The reason why the simulation does not incorporate gravity is that the primary pressure change in the ice slurry flowing in the vertical bend pipe is caused by the height difference. Furthermore, the flow state of the ice slurry at the bend under the horizontal bend is similar to that without gravity, except for the change in the concentration of ice particles at the radial height. Therefore, the simulation does not consider gravity in order to observe the change in the position of ice particles in the carrier fluid and the influence of the flow inertia force on the carrier fluid when the movement direction changes.
Figure 14.
Local pressure distribution at the bend: (a) Initial velocity of 0.5 m/s, initial IPF of 0%; (b) Initial velocity of 0.5 m/s, initial IPF of 20%; (c) Initial velocity of 2.0 m/s, initial IPF of 0%; (d) Initial velocity of 2.0 m/s, initial IPF of 20%.
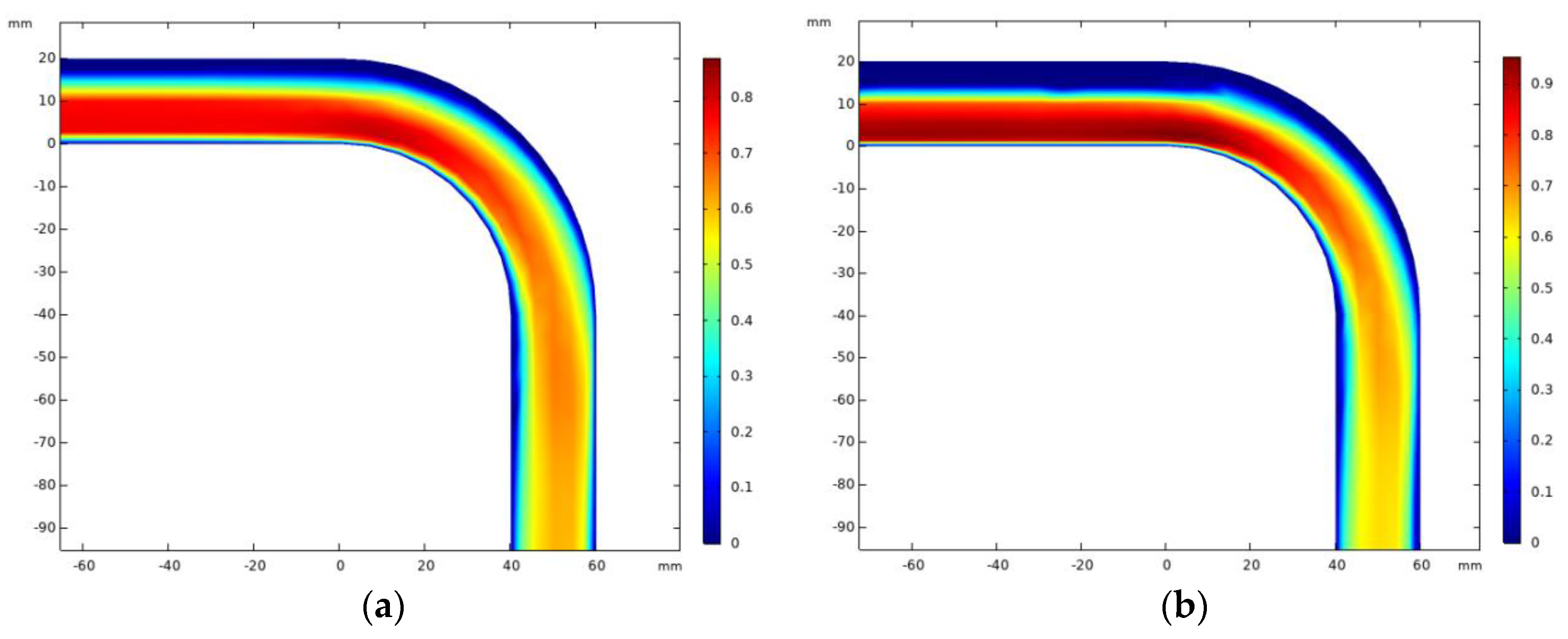
As can be seen from Figure 14, when the ice slurry fluid with an initial velocity of 0.5 m/s and ice particles with an initial concentration of 20% flow through the bend, the maximum pressure difference generated by the ice slurry fluid at the bend is 98.1 Pa, while the maximum pressure difference of pure water with the same initial velocity flowing through the bend is significantly larger. With the increase in the initial flow rate, this characteristic becomes more obvious. This also shows that in the pipeline flow of ice slurry, the flow of the vertical bend pipe has a lower pressure loss than that of pure water. According to the analysis in this paper, this characteristic is attributed to the greater flow inertia of the ice slurry fluid, and the ice particles hold a certain momentum in the carrier fluid and the density is lower than that of the carrier fluid. When entering the bend, it can be observed that the ice slurry fluid on the inner wall outside the bend is higher than that of pure water: The impact force (pressure on the pipe wall) caused by the outside wall of the bend blocking the fluid and changing the original direction of the movement affects a larger area, while the impact of pure water on the outside wall is more concentrated, which results in the gradient of the pressure change of the ice slurry at the bend (that is, the fluid carrying the ice particles) not being as steep as that of pure water and the pressure change being more moderate.
Figure 15 shows the pressure change of ice slurry flowing through the horizontal bend under certain working conditions. The pressure in the blue region is lower and the pressure in the yellow region is higher. The figure shows the pressure distribution under the two groups of working conditions. Under the condition that the initial concentration of ice particles is 10%, the initial flow rates are 0.5 m/s and 2 m/s. On the whole, the trends of pressure distribution are roughly the same. Because ice particles have floated up before entering the bend due to having a lower density, the flow velocity in the high-concentration area composed of floating ice particles is significantly lower than that in the lower-concentration area. Therefore, when entering the bend, the pressure in the upper part of the bend is lower than that in the lower part. Because of the flow characteristics of the bending pipe, the pressure on the outside of the bending pipe is much larger than that on the inside. Then, more pressure is concentrated on the outside and the lower side of the bending pipe, and the convergence is formed in these two directions. The relative upper part of the inside produces a lower pressure.
Figure 15.
Pressure distribution of horizontally placed elbow pipe: (a) Initial velocity of 0.5 m/s, initial IPF of 10%; (b) Initial velocity of 2.0 m/s, initial IPF of 10%.
From the above analysis, it can be concluded that under the higher initial flow rate of the ice slurry with the same concentration of ice particles, the phenomenon of ice particles floating up due to having a lower density will be weakened, and the thickness of the high-concentration ice slurry fluid in the upper part of the pipeline will be reduced. When the ice slurry fluid with a higher initial velocity flows through the horizontal bend at the same initial concentration, the pressure generated at the lower part of the bend is lower than the initial velocity and on the whole is closer to that of the pure liquid-phase fluid.
4.6. Analysis of Influence of Turning Radius on Ice Slurry Flow
In the pipeline transport of ice slurry, the pipe bending flow is an essential link. But bend pipes have several common forms with different turning radii. Thus, it is meaningful to discuss the flow characteristics of ice slurry fluid in bend pipes with different turning radii.
4.6.1. Simulation Analysis of Influence of Turning Radius on Velocity Field
Figure 16 shows the velocity distribution of ice slurry fluid flowing through three different kinds of pipe bends under this working condition. In a bend with a turning radius of 1d, the overall flow of the ice slurry fluid tends to be more unstable, forming a large velocity gradient inside the bend. The velocity distribution of the ice slurry fluid is significantly different from that before it enters the bend, and some unstable flow is generated when it exits the bend, resulting in a relatively violent velocity fluctuation at the bend and the bend outlet. A large low-speed area is formed in the inner side of the bend after the outflow, and there is a large vortex area in this area. After flowing for some distance, the flow state tends to be consistent with the fluid in Figure 16b,c. As the turning radius gradually increases, the speed gradient becomes less pronounced.
Figure 16.
Velocity field with different turning radii (initial velocity of 0.5 m/s, initial IPF of 10%): (a) D = d; (b) D = 2 d; (c) D = 3 d.
4.6.2. Simulation Analysis of Influence of Turning Radius on Local IPF Distribution
Taking the initial speed of 0.5 m/s as an example, the influence of the turning radius on the local concentration distribution is explained through a simulation. As can be seen from Figure 17, different initial IPFs have a more obvious influence on the distribution. The higher the initial IPF, the more obvious the stratification. This phenomenon is consistent with the discussion results in this paper and also proves that the simulation results of different turning radii are reliable. In addition, it can also be seen from the figure that when the initial concentration is the same, the IPF changes at the bends of different turning radii are greatly different. When D = 1 d, regardless of the initial IPF, the ice slurry concentration at the elbow is more uniform, and the ice slurry thickness at a low concentration is thicker. The analysis may be due to the fact that under the condition of D = 1 d, the turning radius is too small, and the inertial force generated at the elbow is more powerful. Although vortexes will also be generated, the vortex region has little influence on the ice slurry concentration. This phenomenon is more favorable in practical applications, but the influence of different turning radii on the pressure drop will be studied in a subsequent paper. Through the simulation results, it can be seen that when D = 1 d, the pressure drop will be larger. Therefore, although the smaller turning radius results in the relative uniformity of the ice slurry, it also makes the pressure drop larger, so its future application in an HVAC system will result in greater pump consumption.
Figure 17.
Concentration field of different turning radii: (a) D = 1 d, IPF = 10%; (b) D = 1 d, IPF = 20%; (c) D = 2 d, IPF = 10%; (d) D = 2 d, IPF = 20%; (e) D = 3 d, IPF = 10%; (f) D = 3 d, IPF = 20%.
4.6.3. Simulation Analysis of Influence of Turning Radius on Local Pressure Distribution
Figure 18 shows the cloud map of the flow pressure distribution at the bend with three different turning radii at the initial speed of 0.5 m/s and the initial ice slurry concentration of 10%. The maximum pressure and minimum pressure points at the bend and their corresponding pressure values are obtained. It can be seen that with the decrease in the turning radius, the pressure difference at the bend becomes larger and larger, and the maximum pressure point and the minimum pressure point both move downward with the decrease in the turning radius. However, the maximum pressure point can be seen as an extension in the horizontal direction of the ice slurry fluid in the state of horizontal flow, and the generation and value of this point depend on whether the flow rate is consistent with the changing flow mode of the bend. Because the flow condition at the minimum turning radius is quite different from other bends, the D = 1 d working condition is further simulated and analyzed. The operating conditions are set to the following: v = 0.5 m/s and 2.0 m/s, and the initial IPFs are 0%, 10%, and 20%.
Figure 18.
Pressure distribution at the bend (initial velocity of 0.5 m/s, initial IPF of 10%): (a) D = 1 d; (b) D = 2 d; (c) D = 3 d.
Figure 19 shows the central line pressure data curve of the section’s surface when the ice slurry fluid flows through the bend pipe under initial condition. For pure water, the increase in velocity brings about a significant change in the pressure gradient. In the case of ice slurry fluid with a low flow velocity and pure water with a low flow velocity, the flow pressure changes at the bend tend to be the same, and the ice slurry fluid containing ice particles has a larger pressure fluctuation. When the initial flow velocity increases, the initial concentration of ice slurry has no obvious effect on the pressure distribution at the bend at a higher flow velocity. However, different from the low-speed state, the pressure fluctuation of the ice slurry fluid at a higher flow velocity is lower than that of pure water.
Figure 19.
Section pressure at the bend at different initial speeds.
5. Conclusions
In this paper, the adiabatic isothermal flow of ice slurry is studied, and the Euler–Euler two-phase flow model was used to simulate the flow characteristics of ice slurry in a straight pipe. Then the model was used to simulate the flow of ice slurry in a horizontal straight pipe under different working conditions. The main conclusions are as follows:
(1) Based on the Euler–Euler differential model of two-phase flow, the mathematical model suitable for the isothermal flow of ice slurry pipelines is derived by coupling the PDE module with the Euler–Euler two-phase flow model of COMSOL, so as to more accurately simulate the flow of ice slurry in a straight pipe under adiabatic conditions.
(2) In the heterogeneous isothermal flow of ice slurry, its rheological properties are closely related to the velocity of the ice slurry, especially the concentration distribution of ice particles. The distribution of ice particles becomes stable when the ice slurry flows 1 m/s from the inlet. The ice slurry is a Newtonian fluid with a velocity of 0.5 m/s, and the ice particles are concentrated in the upper fifth of the DN20 pipe. When the average velocity of the ice slurry is large, the ice particles tend to be evenly distributed along the pipe section. With the decrease in the average flow velocity, the mixing effect between the ice particles and the carrier fluid is weakened, and the particle concentration at the top of the pipe increases sharply.
(3) In the process of the heterogeneous isothermal flow of ice slurry, when the flow rate is 0.5 m/s, the resistance share of ice particles in the mixed fluid will decrease with the increase in the flow rate, while the resistance share of the liquid phase changes in the opposite way. With the increase in flow velocity, the flow resistance of each phase no longer changes with the change in flow velocity. In addition, when the concentration of ice particles increases, the resistance share of ice particles also increases.
(4) In the simulation analysis of a 90° bend pipe, when the ice particles flow through the bend pipe with the ice slurry fluid, the ice particles have a higher movement inertia. They first arrive at the bend pipe, gather outside the bend pipe, and then contact the pipe wall. At the pipe wall, the ice particles change their movement direction along the bend pipe inside the bend pipe, forming a circular movement around the inner wall of the bend pipe, and generate a flow rotating along the flow direction at the boundary layer. The inner ice particles are driven through the bend. The pressure distribution is lower on the inside of the elbow and higher on the outside. With the increase in the inlet velocity of the ice slurry, the pressure difference between the inside and outside increases further. A larger turning radius results in a more stable flow.
Based on the aforementioned research findings, in the future, we will delve into the issue of concentration control during the ice slurry preparation process from the perspective of heat and mass transfer between ice particles and the base liquid. This investigation will be grounded in colloid theory, aiming to provide technical support for the application of ice slurries in district cooling systems.
Author Contributions
Conceptualization, W.H.; methodology, D.Y.; software, D.Y.; validation, D.Y.; formal analysis, D.Y.; writing—original draft preparation, D.Y.; writing—review and editing, W.H. All authors have read and agreed to the published version of the manuscript.
Funding
This research was funded by the Chinese National Natural Science Foundation (grant number: 52276148 and 51976027) and the Key Technology Research Project of Science and Technology Commission of Jinlin Province, China (grant number: 20230203120SF).
Data Availability Statement
The original contributions presented in the study are included in the article, further inquiries can be directed to the corresponding author.
Conflicts of Interest
The authors declare no conflicts of interest.
References
- Onokoko, L.; Poirier, M.; Galanis, N.; Poncet, S. Experimental and numerical investigation of isothermal ice slurry flow. Int. J. Therm. Sci. 2018, 126, 82–95. [Google Scholar] [CrossRef]
- Kalogirou, S.A.; Bojic, D.; Lau, S.K. District cooling utilizing ice storage—A review. Appl. Energy 2020, 268, 114759. [Google Scholar]
- Park, C.W.; Kim, K.J.; Kim, S.J. Potential application of phase change materials for district cooling systems: A review. Build. Environ. 2021, 183, 107666. [Google Scholar]
- Omer, A.M. District cooling with ice storage—A review. Renew. Sust. Energy Rev. 2020, 125, 109883. [Google Scholar]
- Dincer, I. Sustainable development via integrated energy systems. Energy Convers. Manag. 2021, 226, 113485. [Google Scholar]
- Li, H.; Chen, Z.; Liu, X. Economic analysis of a district cooling system with ice storage. Energy Procedia 2020, 152, 623–629. [Google Scholar]
- Wang, X.; Li, Y.; Huang, X. Life cycle cost analysis of district cooling systems with ice slurry storage. J. Clean. Prod. 2021, 280, 124017. [Google Scholar]
- Yau, Y.H.; Lee, S.K. Feasibility study of an ice slurry-cooling coil for HVAC and R systems in a tropical building. Appl. Energy 2010, 87, 2699–2711. [Google Scholar] [CrossRef]
- Chen, T.; Wan, A.; Zuo, Q.; Tang, Z.; Shin, Y.; Fu, J.; Hu, L. Performance improvement of combined cycle power plant with combined ice slurry thermal energy storage cooling and adsorption cooling. J. Energy Storage 2023, 61, 106779. [Google Scholar] [CrossRef]
- Haruki, N.; Horibe, A. Flow and heat transfer characteristics of ice slurries in a helically-coiled pipe. Int. J. Refrig. 2013, 36, 1285–1293. [Google Scholar] [CrossRef]
- Liu, L.; Fang, Z.; Wang, M.; Qi, C.; Zhao YHuan, C. Experimental and numerical study on rheological properties of ice-containing cement paste backfill slurry. Powder Technol. 2020, 370, 206–214. [Google Scholar] [CrossRef]
- Wang, X.; Wang, Y.; Hao, D.; Zhao, H.; Hu, Z. Study on the Flow Velocity of Safe and Energy-Saving Transportation of Light-Particle Slurry. Appl. Sci. 2024, 14, 6313. [Google Scholar] [CrossRef]
- Gao, Y.; Luo, J.; Fang, F.; Xu, M.; Mohit, M.; Shaminm, T.; Sasmito, A.P. On the stability of nanofluid ice slurry produced via impinging stream method under thermal and phase-change cycles. Case Stud. Therm. Eng. 2023, 52, 103725. [Google Scholar] [CrossRef]
- Rawat, K.; Bhandari, P.; Bisht, V.S.; Alam, T.; Siddiqui, M.I.H. Numerical Investigation of Adiabatic Ice Slurry Flow through a Horizontal T–Shaped Pipe. Fluid Dyn. 2024, 59, 344–362. [Google Scholar] [CrossRef]
- Satoh, I.; Fushinobu, K.; Hashimoto, Y. Freezing of a water droplet due to evaporation—Heat transfer dominating the evaporation–freezing phenomena and the effect of boiling on freezing characteristics. Int. J. Refrig. 2002, 25, 226–234. [Google Scholar] [CrossRef]
- Wijeysundera, N.E.; Hawlader, M.N.A.; Andy, C.W.B.; Hossain, M.K. Ice-slurry production using direct contact heat transfer. Int. J. Refrig. 2004, 27, 511–519. [Google Scholar] [CrossRef]
- Li, X.; Zhang, X.; Cao, R.; Fu, X. A novel ice slurry producing system: Producing ice by utilizing inner waste heat. Energy Convers. Manag. 2009, 50, 2893–2904. [Google Scholar] [CrossRef]
- Fumoto, K.; Sato, T.; Kawanami, T.; Inamura, T.; Shirota, M. Ice slurry generator using freezing-point depression by pressurization—Case of low-concentration NaCl aqueous solution. Int. J. Refrig. 2013, 36, 795–800. [Google Scholar] [CrossRef]
- Castaing-Lasvignottes, J.; David, T.; Bédécarrats, J.P.; Strub, F. Dynamic modelling and experimental study of an ice generator heat exchanger using supercooled water. Energy Convers. Manag. 2006, 47, 3644–3651. [Google Scholar]
- Bédécarrats, J.P.; David, T.; Castaing-Lasvignottes, J. Ice slurry production using supercooling phenomenon. Int. J. Refrig. 2010, 33, 196–204. [Google Scholar] [CrossRef]
- Arellano, M.; Benkhelifa, H.; Alvarez, G.; Flick, D. Coupling population balance and residence time distribution for the ice crystallization modeling in a scraped surface heat exchanger. Chem Eng. Sci. 2013, 102, 502–513. [Google Scholar] [CrossRef]
- Kumano, H.; Tamura, F.; Sawada, S.; Asaoka, T. Study on flow and heat transfer characteristics of ice slurry in the transition region. Int. J. Refrig. 2013, 36, 801–808. [Google Scholar] [CrossRef]
- Zhang, P.; Shi, X. Thermo-fluidic characteristics of ice slurry in horizontal circular pipes. Int. J. Heat Mass Transf. 2015, 89, 950–963. [Google Scholar] [CrossRef]
- Xu, D.; Liu, Z.; Cai, L.; Tang, Y.; Yu, Y.; Xu, A. A CFD-PBM approach for modeling ice slurry flow in horizontal pipes. Chem. Eng. Sci. 2018, 176, 546–559. [Google Scholar] [CrossRef]
- Ma, K.; Liu, Z.; Tang, Y.; Liu, X.; Yang, Y.; Yang, S. Numerical investigation on ice slurry flow in horizontal elbow pipes. Therm. Sci. Eng. Prog. 2022, 27, 101083. [Google Scholar] [CrossRef]
- Suzuki, K.; Kawasaki, T.; Asaoka, T.; Yoshino, M. Numerical simulations of solid–liquid and solid–solid interactions in ice slurry flows by the thermal immersed boundary–lattice Boltzmann method. Int. J. Heat Mass Transf. 2020, 157, 119944. [Google Scholar] [CrossRef]
- Kalaiselvam, S.; Karthik, P.; Ranjit Prakash, S. Numerical investigation of heat transfer and pressure drop characteristics of tube–fin heat exchangers in ice slurry HVAC system. Appl. Therm. Eng. 2009, 29, 1831–1839. [Google Scholar] [CrossRef]
- Zhang, Y.; Li, J.; Wang, X. Experimental investigation on the flow characteristics of ice slurry in horizontal pipes. Int. J. Refrig. 2021, 125, 104855. [Google Scholar]
- Chen, S.; Xu, C.; Kang, Y. Flow patterns and pressure drop of ice slurry in a horizontal pipe. Int. J. Refrig. 2021, 30, 1–9. [Google Scholar]
- Stamatiou, E.; Kawaji, M. Thermal and flow behavior of ice slurries in a vertical rectangular channel. Part I: Local distribution measurements in adiabatic flow. Int. J. Heat Mass Transf. 2005, 48, 3527–3543. [Google Scholar] [CrossRef]
- Shire, G.S.F.; Quarini, G.L.; Rhys, T.D.L.; Evans, T.S. The anomalous pressure drop behaviour of ice slurries flowing through constrictions. Int. J. Multiph. Flow 2008, 34, 510–515. [Google Scholar] [CrossRef][Green Version]
- Mika, L. Energy losses of ice slurry in pipe sudden contractions. Exp. Therm. Fluid Sci. 2011, 35, 939–947. [Google Scholar] [CrossRef]
- Kumano, H.; Hirata, T.; Hagiwara, Y.; Tamura, F. Effects of storage on flow and heat transfer characteristics of ice slurry. Int. J. Refrig. 2012, 35, 122–129. [Google Scholar] [CrossRef]
- Wang, H.; He, G.; Feng, R. An effective method for preventing ice-blockage in dynamic generation system with supercooling water. Int. J. Refrig. 2014, 46, 114–122. [Google Scholar] [CrossRef]
- Kumano, H.; Kobayashi, T.; Makino, Y.; Morimoto, T.; Asaoka, T. Experimental study on flow characteristics of ice slurry through a T-junction Part I: Laminar flow. Int. J. Refrig. 2020, 116, 89–95. [Google Scholar] [CrossRef]
- Asaoka, T.; Tajima, A.; Kumano, H. Experimental investigation on inhomogeneity of ice packing factor in ice slurry flow. Int. J. Refrig. 2016, 70, 33–41. [Google Scholar] [CrossRef]
- Kitanovski, A.; Poredoš, A. Concentration distribution and viscosity of ice-slurry in heterogeneous flow. Int. J. Refrig. 2002, 25, 827–835. [Google Scholar] [CrossRef]
- Zhao, Y.; Li, Z.; Utaka, Y.; Chen, Z.; Ohkubo, H. Adhesion characteristics of ice in urea aqueous solution for efficient slurry formation in cold storage. Int. J. Refrig. 2019, 100, 335–342. [Google Scholar] [CrossRef]
- Kuchmacz, J.; Niezgoda-Żelasko, B. Ice slurry flow through a vertical slit channel. Int. J. Refrig. 2021, 128, 34–42. [Google Scholar] [CrossRef]
- Rayhan, F.A.; Pamitran, A.S. Effect of ice mass fraction on ice slurry flow for cold energy storage application. Energy Rep. 2020, 6, 790–794. [Google Scholar] [CrossRef]
- Gidaspow, D. Multiphase Flow and Fluidization, Continuum and Kinetic Theory Descriptions; Academic Press: New York, NY, USA, 1993; pp. 200–215. [Google Scholar]
- Wang, J.; Battaglia, F.; Wang, S.; Zhang, T.; Ma, Z. Flow and heat transfer characteristics of ice slurry in typical components of cooling systems: A review. Int. J. Heat Mass Transf. 2019, 141, 922–939. [Google Scholar] [CrossRef]
- Swaminathan, C.R.; Voller, V.R. On the enthral method. Int. J. Numer. Methods Heat Fluid Flow 1993, 3, 233–244. [Google Scholar] [CrossRef]
- Kumano, H.; Yamanada, Y.; Makino, Y.; Asaoka, T. Effect of initial aqueous solution concentration on rheological behavior of ice slurry. Int. J. Refrig. 2016, 68, 218–225. [Google Scholar] [CrossRef]
- Wang, J.; Wang, S.; Zhang, T.; Liang, Y. Numerical investigation of ice slurry isothermal flow in various pipes. Int. J. Refrig. 2013, 36, 70–80. [Google Scholar] [CrossRef]
Disclaimer/Publisher’s Note: The statements, opinions and data contained in all publications are solely those of the individual author(s) and contributor(s) and not of MDPI and/or the editor(s). MDPI and/or the editor(s) disclaim responsibility for any injury to people or property resulting from any ideas, methods, instructions or products referred to in the content. |
© 2024 by the authors. Licensee MDPI, Basel, Switzerland. This article is an open access article distributed under the terms and conditions of the Creative Commons Attribution (CC BY) license (https://creativecommons.org/licenses/by/4.0/).





















