Spatial Distribution and Migration of Heavy Metals in Dry and Windy Area Polluted by Their Production in the North China
Abstract
1. Introduction
2. Materials and Methods
2.1. Study Area
2.2. Data Collection and Processing
2.2.1. Soil Sampling and Analysis
2.2.2. Atmospheric Deposition Sampling and Analysis
2.2.3. Water Sampling and Analysis
2.2.4. Data Analysis
3. Results
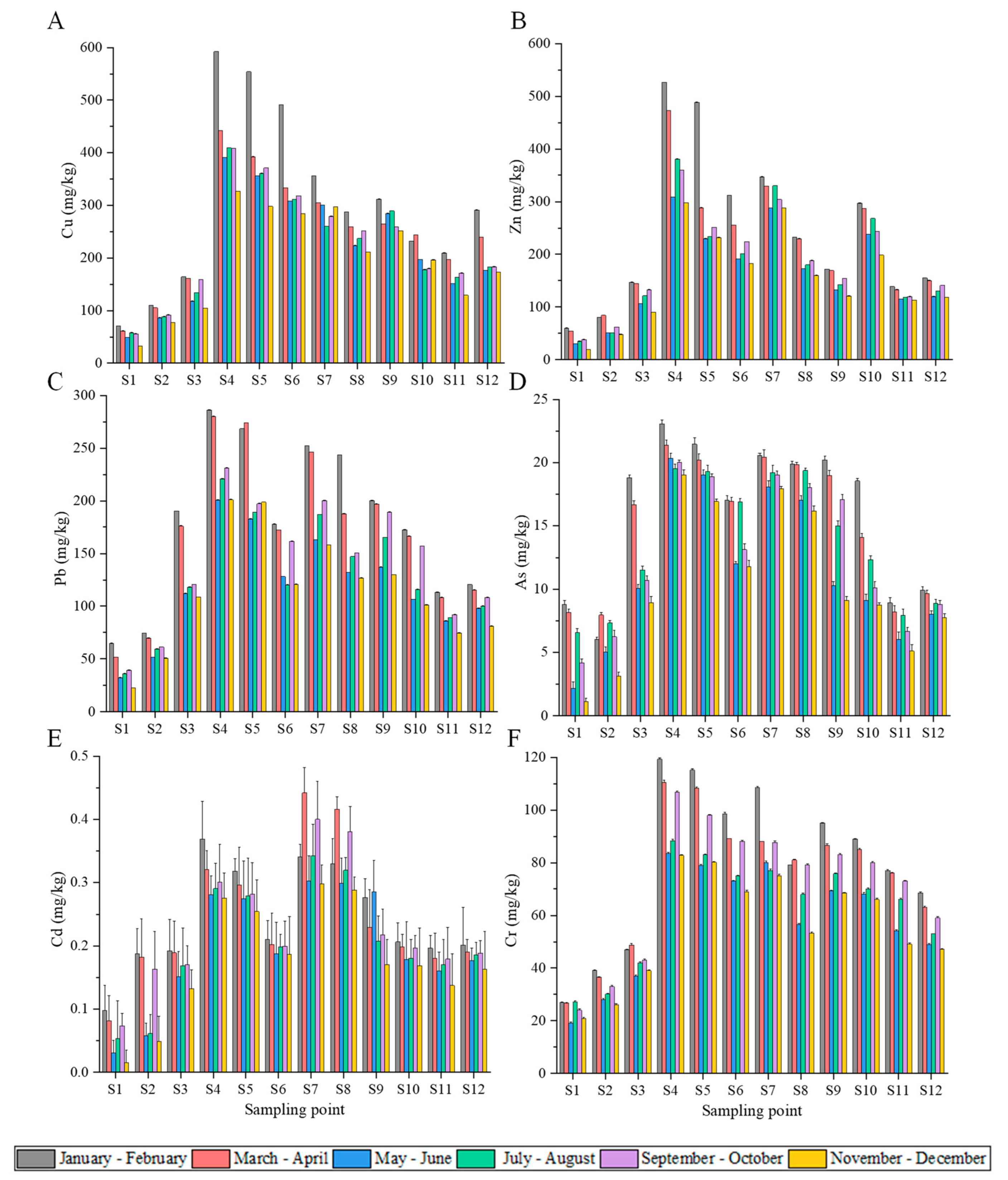
3.1. Spatial Distribution of Heavy Metals
3.2. Atmospheric Deposition of Heavy Metals
3.2.1. Concentrations of Heavy Metals in Atmospheric Deposition
3.2.2. Heavy Metal Fluxes in Atmospheric Deposition
3.3. Heavy Metals in the River
3.4. Principal Component Analysis of Heavy Metals
4. Discussion
4.1. Heavy Metal Distribution Patterns
4.2. Contribution of Atmospheric Deposition to Heavy Metal Distribution
4.3. Contribution of Surface Runoff Transport to Heavy Metal Distribution
5. Conclusions
Author Contributions
Funding
Data Availability Statement
Conflicts of Interest
References
- Briffa, J.; Sinagra, E.; Blundell, R. Heavy metal pollution in the environment and their toxicological effects on humans. Heliyon 2020, 6, e04691. [Google Scholar] [CrossRef] [PubMed]
- Yang, S.; Danek, T.; Cheng, X.; Huang, Q. Risk assessment of heavy metal pollution in soils of Gejiu Tin ore and other metal deposits of Yunnan Province. IOP Conf. Ser. Earth Environ. Sci. 2017, 95, 042078. [Google Scholar] [CrossRef]
- Zhang, Y.; Wang, Z. Research on Characteristics and Sustainable Development of mineral resources in China. IOP Conf. Ser. Earth Environ. Sci. 2019, 300, 022155. [Google Scholar] [CrossRef]
- Ministry of Environmental Protection of the People’s Republic of China. Report on the national general survey of soil contamination. China Environ. Prot. Ind. 2014, 36, 10–11. [Google Scholar]
- Cao, J.; Xie, C.; Hou, Z. Ecological evaluation of heavy metal pollution in the soil of Pb-Zn mines. Ecotoxicology 2022, 31, 259–270. [Google Scholar] [CrossRef] [PubMed]
- Abraham, M.R.; Susan, T.B. Water contamination with heavy metals and trace elements from Kilembe copper mine and tailing sites in western Uganda; implications for domestic water quality. Chemosphere 2017, 169, 281–287. [Google Scholar] [CrossRef] [PubMed]
- Steffan, J.J.; Brevik, E.C.; Burgess, L.C.; Cerdà, A. The effect of soil on human health: An overview. Eur. J. Soil Sci. 2018, 69, 159–171. [Google Scholar] [CrossRef]
- Deng, D.; Wu, Y.; Sun, Y.; Ren, B.; Song, L. Pollution characteristics and spatial distribution of heavy metals in coal-bearing sandstone soil: A case study of coal mine area in Southwest China. Int. J. Environ. Res. Public Health 2022, 19, 6493. [Google Scholar] [CrossRef]
- Fan, S.; Wang, X.; Lei, J.; Ran, Q.; Ren, Y.; Zhou, J. Spatial distribution and source identification of heavy metals in a typical Pb/Zn smelter in an arid area of northwest China. Hum. Ecol. Risk Assess. 2019, 25, 1661–1687. [Google Scholar] [CrossRef]
- Gao, Y.; Liu, H.; Liu, G. The spatial distribution and accumulation characteristics of heavy metals in steppe soils around three mining areas in Xilinhot in Inner Mongolia, China. Environ. Sci. Pollut. Res. 2017, 24, 25416–25430. [Google Scholar] [CrossRef]
- Hu, Z.; Wang, C.; Li, K.; Zhu, X. Distribution characteristics and pollution assessment of soil heavy metals over a typical nonferrous metal mine area in Chifeng, Inner Mongolia, China. Environ. Earth Sci. 2018, 77, 1–10. [Google Scholar] [CrossRef]
- Chen, T.; Lei, C.; Yan, B.; Li, L.L.; Xu, D.M.; Ying, G.G. Spatial distribution and environmental implications of heavy metals in typical lead (Pb)-zinc (Zn) mine tailings impoundments in Guangdong province, South China. Environ. Sci. Pollut. Res. 2018, 25, 36702–36711. [Google Scholar] [CrossRef] [PubMed]
- Fu, L.; Zhang, Z.; Zhang, Q.; Zhang, H. Spatial distribution, risk assessment, and source identification of pollutants around gold tailings ponds: A case study in Pinggu District, Beijing, China. Environ. Monit. Assess. 2021, 193, 1–18. [Google Scholar] [CrossRef] [PubMed]
- Chen, Y.; Liu, G.; Zhou, C.; Zhou, H.; Wei, Y.; Liu, Y. The influence of gold mining wastes on the migration-transformation behavior and health risks of arsenic in the surrounding soil of mined-area. Front. Earth Sci. 2023, 10, 1068763. [Google Scholar] [CrossRef]
- Wang, Z.; Luo, Y.; Zheng, C.; An, C.; Mi, Z. Spatial distribution, source identification, and risk assessment of heavy metals in the soils from a mining region: A case study of Bayan Obo in northwestern China. Hum. Ecol. Risk Assess. 2020, 27, 1276–1295. [Google Scholar] [CrossRef]
- Li, P.; Lin, C.; Cheng, H.; Duan, X. Contamination and health risks of soil heavy metals around a lead/zinc smelter in southwestern China. Ecotoxicol. Environ. Saf. 2015, 113, 391–399. [Google Scholar] [CrossRef] [PubMed]
- Anaman, R.; Peng, C.; Jiang, Z.; Liu, X.; Zhou, Z.; Guo, Z.; Xiao, X. Identifying sources and transport routes of heavy metals in soil with different land uses around a smelting site by GIS based PCA and PMF. Sci. Total Environ. 2022, 823, 153759. [Google Scholar] [CrossRef]
- Fang, H.; Gui, H.; Yu, H.; Li, J.; Wang, M.; Jiang, Y. Characteristics and source identification of heavy metals in abandoned coal-mining soil: A case study of Zhuxianzhuang coal mine in Huaibei coalfield (Anhui, China). Hum. Ecol. Risk Assess. 2021, 27, 708–723. [Google Scholar] [CrossRef]
- Jiang, F.; Ren, B.; Hursthouse, A.S.; Zhou, Y. Trace metal pollution in topsoil surrounding the Xiangtan manganese mine area (South-Central China): Source identification, spatial distribution and assessment of potential ecological risks. Int. J. Environ. Res. Public Health 2018, 15, 2412. [Google Scholar] [CrossRef]
- Li, K.; Gu, Y.; Li, M.; Zhao, L.; Ding, J.; Lun, Z.; Tian, W. Spatial analysis, source identification and risk assessment of heavy metals in a coal mining area in Henan, central China. Int. Biodeterior. Biodegrad. 2018, 128, 148–154. [Google Scholar] [CrossRef]
- Liang, J.; Feng, C.; Zeng, G.; Gao, X.; Zhong, M.; Li, X.; Fang, Y. Spatial distribution and source identification of heavy metals in surface soils in a typical coal mine city, Lianyuan, China. Environ. Pollut. 2017, 225, 681–690. [Google Scholar] [CrossRef] [PubMed]
- Lü, J.; Jiao, W.B.; Qiu, H.Y.; Chen, B.; Huang, X.X.; Kang, B. Origin and spatial distribution of heavy metals and carcinogenic risk assessment in mining areas at You’xi county southeast China. Geoderma 2018, 310, 99–106. [Google Scholar] [CrossRef]
- Maghrebi, M.; Noori, R.; Bhattarai, R.; Mundher Yaseen, Z.; Tang, Q.; Al-Ansari, N.; Madani, K. Iran’s agriculture in the Anthropocene. Earth’s Future 2020, 8, e2020EF001547. [Google Scholar] [CrossRef]
- GBT 15265-1994; State Environmental Protection Agency; State Bureau of Technical Supervision. Ambient air-Determination of dustfall-Gravimetric method. National standard of the People’s Republic of China: Beijing, China, 1994.
- Qiao, P.; Wang, S.; Li, J.; Zhao, Q.; Wei, Y.; Lei, M.; Zhang, Z. Process, influencing factors, and simulation of the lateral transport of heavy metals in surface runoff in a mining area driven by rainfall: A review. Sci. Total Environ. 2023, 857, 159119. [Google Scholar] [CrossRef] [PubMed]
- GB 3838-2002; State Environmental Protection Administration; General Administration of Quality Supervision, Inspection and Quarantine of the People‘s Republic of China. Environmental Quality Standards for Surface Water. National standard of the People’s Republic of China, Beijing, China, 2002.
- Rahman, A.; Jahanara, I.; Jolly, Y.N. Assessment of physicochemical properties of water and their seasonal variation in an urban river in Bangladesh. Water Sci. Eng. 2021, 14, 139–148. [Google Scholar] [CrossRef]
- Vanderschueren, R.; Doevenspeck, J.; Helsen, F.; Mounicou, S.; Santner, J.; Delcour, J.A.; Smolders, E. Cadmium migration from nib to testa during cacao fermentation is driven by nib acidification. LWT Food Sci. Technol. 2022, 157, 113077. [Google Scholar] [CrossRef]
- Wang, J.; Huang, Y.; Beiyuan, J.; Wei, X.; Qi, J.; Wang, L.; Xiao, T. Thallium and potentially toxic elements distribution in pine needles, tree rings and soils around a pyrite mine and indication for environmental pollution. Sci. Total Environ. 2022, 828, 154346. [Google Scholar] [CrossRef] [PubMed]
- Yan, X.; Yang, B.; He, E.; Peijnenburg, W.J.; Zhao, L.; Xu, X.; Cao, X.; Romero-Freire, A.; Qiu, H. Fate and transport of chromium in industrial sites: Dynamic simulation on soil profile. Sci. Total Environ. 2023, 858, 159799. [Google Scholar] [CrossRef]
- Wang, Q.; Cai, J.; Gao, F.; Li, Z.; Zhang, M. Pollution level, ecological risk assessment and vertical distribution pattern analysis of heavy metals in the tailings dam of an abandon Lead–Zinc mine. Sustainability 2023, 15, 11987. [Google Scholar] [CrossRef]
- Wang, Z.; Hong, C.; Xing, Y.; Wang, K.; Li, Y.; Feng, L.; Ma, S. Spatial distribution and sources of heavy metals in natural pasture soil around copper-molybdenum mine in northeast China. Ecotoxicol. Environ. Saf. 2018, 154, 329–336. [Google Scholar] [CrossRef]
- Wei, H.B.; Luo, M.; Xiang, L.; Zha, L.S.; Yang, H.L. Analysis on the Distribution Characteristics and Influence Mechanism of Migration and Transformation of Heavy Metals in Mining Wasteland. Acta Sci. Circumstantiae 2023, 44, 3573–3584. [Google Scholar]
- Wen, J.; Wu, C.; Bi, X.; Zhang, S.; Ouyang, H.; Ye, J.; Yu, Q. Soil pH change induced by smelting activities affects secondary carbonate production and long-term Cd activity in subsoils. Appl. Geochem. 2023, 152, 105663. [Google Scholar] [CrossRef]
- Xie, Q.; Ren, B.; Hursthouse, A.; Shi, X. Effects of mining activities on the distribution, controlling factors, and sources of metals in soils from the Xikuangshan South Mine, Hunan Province. Integr. Environ. Assess. Manag. 2022, 18, 748–756. [Google Scholar] [CrossRef] [PubMed]
- Zhang, Z.; Guo, G.; Zhao, H.; Wu, D. Partitioning, leachability, and speciation of chromium in the size-fractions of soil contaminated by chromate production. Chemosphere 2021, 263, 128308. [Google Scholar] [CrossRef] [PubMed]
- Islam, M.S.; Islam, M.T.; Antu, U.B.; Saikat, M.S.M.; Ismail, Z.; Shahid, S.; Islam, A.T.; Ali, M.M.; Bakky, A.A.; Ahmed, S.; et al. Contamination and ecological risk assessment of Cr, As, Cd and Pb in water and sediment of the southeastern Bay of Bengal coast in a developing country. Mar. Pollut. Bull. 2023, 197, 115720. [Google Scholar] [CrossRef]
- Al-Asadi, S.A.R.; Al Hawash, A.B.; Alkhlifa, N.H.; Ghalib, H.B. Factors affecting the levels of toxic metals in the Shatt Al-Arab River, southern Iraq. Earth Syst. Environ. 2019, 3, 313–325. [Google Scholar] [CrossRef]
- Zhao, W.; Gu, C.; Ying, H.; Feng, X.; Zhu, M.; Wang, M.; Wang, X. Fraction distribution of heavy metals and its relationship with iron in polluted farmland soils around distinct mining areas. Appl. Geochem. 2021, 130, 104969. [Google Scholar] [CrossRef]






| Heavy Metal | Sampling Point | |||||||||||
|---|---|---|---|---|---|---|---|---|---|---|---|---|
| S1 | S2 | S3 | S4 | S5 | S6 | S7 | S8 | S9 | S10 | S11 | S12 | |
| Cu | 17.04 | 31.99 | 52.31 | 221.59 | 193.91 | 163.45 | 135.30 | 101.42 | 120.21 | 83.32 | 66.36 | 85.67 |
| Zn | 12.33 | 21.59 | 46.20 | 202.49 | 143.97 | 109.07 | 141.45 | 80.31 | 64.41 | 103.79 | 47.86 | 55.73 |
| As | 1.62 | 2.04 | 4.78 | 10.56 | 9.56 | 6.96 | 8.64 | 7.61 | 6.58 | 4.94 | 2.78 | 3.62 |
| Pb | 12.81 | 20.96 | 51.39 | 122.08 | 108.41 | 69.97 | 90.74 | 68.45 | 73.67 | 55.59 | 36.58 | 42.65 |
| Cd | 0.02 | 0.04 | 0.06 | 0.16 | 0.14 | 0.09 | 0.16 | 0.14 | 0.10 | 0.08 | 0.07 | 0.08 |
| Cr | 7.50 | 11.03 | 15.94 | 50.83 | 46.68 | 39.14 | 38.85 | 28.82 | 34.64 | 31.08 | 25.69 | 23.27 |
| Heavy Metal | Date | Sampling Point | |||||||||||
|---|---|---|---|---|---|---|---|---|---|---|---|---|---|
| S1 | S2 | S3 | S4 | S5 | S6 | S7 | S8 | S9 | S10 | S11 | S12 | ||
| Cu | November 2020–December 2020 | 1.6 | 4.2 | 6.0 | 25.5 | 22.5 | 20.5 | 22.3 | 14.0 | 17.6 | 13.4 | 8.0 | 11.3 |
| January 2021–February 2021 | 3.8 | 6.5 | 10.5 | 55.7 | 50.6 | 43.9 | 28.6 | 20.9 | 24.1 | 15.6 | 13.8 | 21.5 | |
| March 2021–April 2021 | 3.2 | 6.2 | 10.3 | 38.8 | 32.8 | 26.3 | 23.2 | 18.2 | 18.7 | 16.9 | 13.4 | 16.5 | |
| May 2021–June 2021 | 2.5 | 4.8 | 7.2 | 32.0 | 28.6 | 23.7 | 22.8 | 14.8 | 20.6 | 13.4 | 9.5 | 11.6 | |
| July 2021–August 2021 | 3.0 | 5.0 | 8.3 | 35.0 | 29.3 | 24.0 | 18.5 | 16.0 | 21.2 | 11.8 | 10.5 | 12.3 | |
| September 2021–October 2021 | 2.9 | 5.3 | 10.1 | 34.6 | 30.2 | 24.9 | 20.0 | 17.5 | 18.2 | 12.2 | 11.1 | 12.4 | |
| Zn | November 2020–December 2020 | 0.9 | 2.7 | 5.2 | 23.3 | 17.5 | 13.2 | 21.6 | 10.6 | 8.5 | 13.5 | 7.0 | 7.7 |
| January 2021–February 2021 | 3.2 | 4.7 | 9.4 | 49.5 | 44.6 | 27.9 | 27.9 | 16.9 | 13.3 | 20.0 | 9.2 | 11.5 | |
| March 2021–April 2021 | 2.9 | 4.9 | 9.2 | 41.5 | 24.1 | 20.2 | 25.1 | 16.1 | 12.0 | 19.9 | 9.1 | 10.3 | |
| May 2021–June 2021 | 15 | 2.9 | 6.5 | 25.3 | 18.4 | 14.8 | 21.8 | 11.4 | 9.6 | 16.2 | 7.3 | 7.9 | |
| July 2021–August 2021 | 1.8 | 2.9 | 7.5 | 32.6 | 18.9 | 15.5 | 23.4 | 12.2 | 10.4 | 17.7 | 7.57 | 8.78 | |
| September 2021– October 2021 | 2.0 | 3.6 | 8.4 | 30.5 | 20.4 | 17.6 | 21.7 | 13.2 | 10.8 | 16.5 | 7.8 | 9.5 | |
| As | November 2020–December 2020 | 0.1 | 0.2 | 0.5 | 1.5 | 1.3 | 0.9 | 1.3 | 1.1 | 0.6 | 0.6 | 0.3 | 0.5 |
| January 2021–February 2021 | 0.5 | 0.4 | 1.2 | 2.2 | 2.0 | 1.5 | 1.6 | 1.5 | 1.6 | 1.3 | 0.6 | 0.7 | |
| March 2021–April 2021 | 0.4 | 0.5 | 1.1 | 1.9 | 1.7 | 1.3 | 1.6 | 1.4 | 1.3 | 1.0 | 0.6 | 0.7 | |
| May 2021–June 2021 | 0.1 | 0.3 | 0.6 | 1.7 | 1.5 | 0.9 | 1.4 | 1.1 | 0.8 | 0.6 | 0.4 | 0.5 | |
| July 2021–August 2021 | 0.3 | 0.4 | 0.7 | 1.7 | 1.6 | 1.3 | 1.4 | 1.3 | 1.1 | 0.8 | 0.5 | 0.6 | |
| September 2021–October 2021 | 0.2 | 0.4 | 0.7 | 1.7 | 1.5 | 1.0 | 1.4 | 1.3 | 1.2 | 0.7 | 0.4 | 0.6 | |
| Pb | November 2020–December 2020 | 1.1 | 2.8 | 6.3 | 15.7 | 15.0 | 8.7 | 11.8 | 8.4 | 9.1 | 6.9 | 4.6 | 5.3 |
| January 2021–February 2021 | 3.4 | 4.4 | 12.2 | 26.9 | 24.5 | 15.9 | 20.2 | 17.7 | 15.5 | 11.6 | 7.5 | 8.9 | |
| March 2021–April 2021 | 2.7 | 4.1 | 11.2 | 24.6 | 22.9 | 13.6 | 18.8 | 13.2 | 13.9 | 11.5 | 7.4 | 8.0 | |
| May 2021–June 2021 | 1.6 | 2.9 | 6.9 | 16.5 | 14.7 | 9.9 | 12.4 | 8.7 | 9.9 | 7.3 | 5.4 | 6.5 | |
| July 2021–August 2021 | 1.9 | 3.3 | 7.3 | 18.9 | 15.3 | 9.3 | 13.3 | 9.95 | 12.1 | 7.7 | 5.7 | 6.7 | |
| September 2021–October 2021 | 2.0 | 3.5 | 7.7 | 19.6 | 16.0 | 12.7 | 14.3 | 10.5 | 13.3 | 10.6 | 6.0 | 7.3 | |
| Cd | November 2020–December 2020 | 0.00 | 0.00 | 0.01 | 0.02 | 0.02 | 0.01 | 0.02 | 0.02 | 0.01 | 0.01 | 0.01 | 0.01 |
| January 2021–February 2021 | 0.01 | 0.01 | 0.01 | 0.03 | 0.03 | 0.02 | 0.03 | 0.02 | 0.02 | 0.01 | 0.01 | 0.01 | |
| March 2021–April 2021 | 0.00 | 0.01 | 0.01 | 0.03 | 0.02 | 0.02 | 0.03 | 0.03 | 0.02 | 0.01 | 0.01 | 0.01 | |
| May 2021–June 2021 | 0.00 | 0.00 | 0.01 | 0.02 | 0.02 | 0.01 | 0.02 | 0.02 | 0.02 | 0.01 | 0.01 | 0.01 | |
| July 2021–August 2021 | 0.00 | 0.00 | 0.01 | 0.02 | 0.02 | 0.02 | 0.02 | 0.02 | 0.02 | 0.01 | 0.01 | 0.01 | |
| September 2021–October 2021 | 0.00 | 0.01 | 0.01 | 0.03 | 0.02 | 0.02 | 0.03 | 0.03 | 0.02 | 0.01 | 0.01 | 0.01 | |
| Cr | November 2020–December 2020 | 1.0 | 1.4 | 2.3 | 6.5 | 6.0 | 5.0 | 5.6 | 3.5 | 4.8 | 4.5 | 3.1 | 3.1 |
| January 2021–February 2021 | 1.4 | 2.3 | 3.0 | 11.2 | 10.5 | 8.8 | 8.7 | 5.8 | 7.4 | 6.0 | 5.1 | 5.1 | |
| March 2021–April 2021 | 1.4 | 2.1 | 3.1 | 9.7 | 9.1 | 7.0 | 6.7 | 5.7 | 6.1 | 5.9 | 5.2 | 4.3 | |
| May 2021–June 2021 | 1.0 | 1.6 | 2.2 | 6.9 | 6.3 | 5.6 | 6.1 | 3.7 | 5.0 | 4.7 | 3.4 | 3.2 | |
| July 2021–August 2021 | 1.4 | 1.7 | 2.6 | 7.6 | 6.7 | 5.8 | 5.5 | 4.6 | 5.5 | 4.6 | 4.2 | 3.6 | |
| September 2021–October 2021 | 1.2 | 1.9 | 2.7 | 9.1 | 8.0 | 6.9 | 6.3 | 5.5 | 5.8 | 5.4 | 4.7 | 4.0 | |
| Heavy metal | Soil layer (cm) | |||||
| 0–5 | 5–10 | 10–20 | ||||
| KMO | Bartlett | KMO | Bartlett | KMO | Bartlett | |
| 0.805 | 0.000 | 0.700 | 0.000 | 0.741 | 0.000 | |
| Components | ||||||
| PC1 | PC2 | PC1 | PC2 | PC1 | PC2 | |
| Cu | 0.445 | 0.060 | 0.253 | −0.554 | 0.444 | −0.188 |
| Zn | 0.468 | −0.073 | 0.462 | 0.031 | 0.467 | 0.194 |
| As | 0.448 | −0.104 | 0.455 | −0.179 | 0.445 | −0.368 |
| Pb | 0.425 | −0.260 | 0.479 | −0.236 | 0.428 | −0.443 |
| Cr | 0.059 | 0.923 | 0.260 | 0.725 | 0.283 | 0.550 |
| Cd | 0.445 | 0.248 | 0.468 | 0.282 | 0.351 | 0.541 |
| Eigenvalue | 3.754 | 1.091 | 3.227 | 1.024 | 3.512 | 1.026 |
| Contribution rate % | 62.57 | 18.18 | 53.78 | 17.07 | 58.53 | 17.10 |
| Cumulative contribution rate % | 62.57 | 80.75 | 53.78 | 70.85 | 58.53 | 75.63 |
Disclaimer/Publisher’s Note: The statements, opinions and data contained in all publications are solely those of the individual author(s) and contributor(s) and not of MDPI and/or the editor(s). MDPI and/or the editor(s) disclaim responsibility for any injury to people or property resulting from any ideas, methods, instructions or products referred to in the content. |
© 2024 by the authors. Licensee MDPI, Basel, Switzerland. This article is an open access article distributed under the terms and conditions of the Creative Commons Attribution (CC BY) license (https://creativecommons.org/licenses/by/4.0/).
Share and Cite
Bao, W.; Wan, W.; Sun, Z.; Hong, M.; Li, H. Spatial Distribution and Migration of Heavy Metals in Dry and Windy Area Polluted by Their Production in the North China. Processes 2024, 12, 160. https://doi.org/10.3390/pr12010160
Bao W, Wan W, Sun Z, Hong M, Li H. Spatial Distribution and Migration of Heavy Metals in Dry and Windy Area Polluted by Their Production in the North China. Processes. 2024; 12(1):160. https://doi.org/10.3390/pr12010160
Chicago/Turabian StyleBao, Weimin, Weifan Wan, Zhi Sun, Mei Hong, and Haigang Li. 2024. "Spatial Distribution and Migration of Heavy Metals in Dry and Windy Area Polluted by Their Production in the North China" Processes 12, no. 1: 160. https://doi.org/10.3390/pr12010160
APA StyleBao, W., Wan, W., Sun, Z., Hong, M., & Li, H. (2024). Spatial Distribution and Migration of Heavy Metals in Dry and Windy Area Polluted by Their Production in the North China. Processes, 12(1), 160. https://doi.org/10.3390/pr12010160
