Numerical Investigation of the Electro-Thermo Convection in an Inclined Cavity Filled with a Dielectric Fluid
Abstract
:1. Introduction
2. Physical Model and Governing Equations
3. Numerical Method
4. Results and Discussion
5. Conclusions
- -
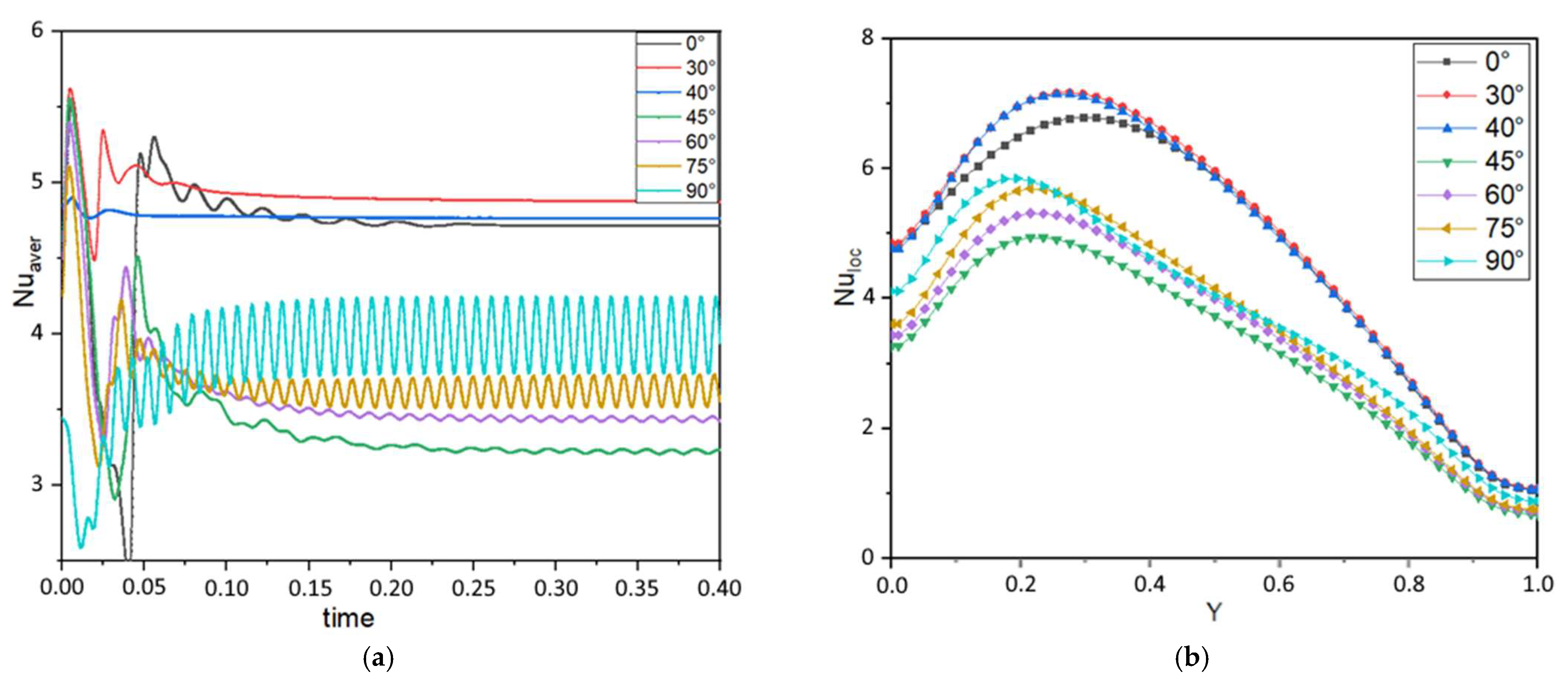
- The flow’s behavior can be significantly impacted by the inclination of the cavity. By increasing this angle, a shift from a unicellular to a bicellular regime was detected.
- -
- At high electric and thermal fields, when the angle α ∈ [0, 40°], increasing the tilt angle results in a 5% improvement in heat transfer. Above this angular range, an oscillation regime could be developed.
- -
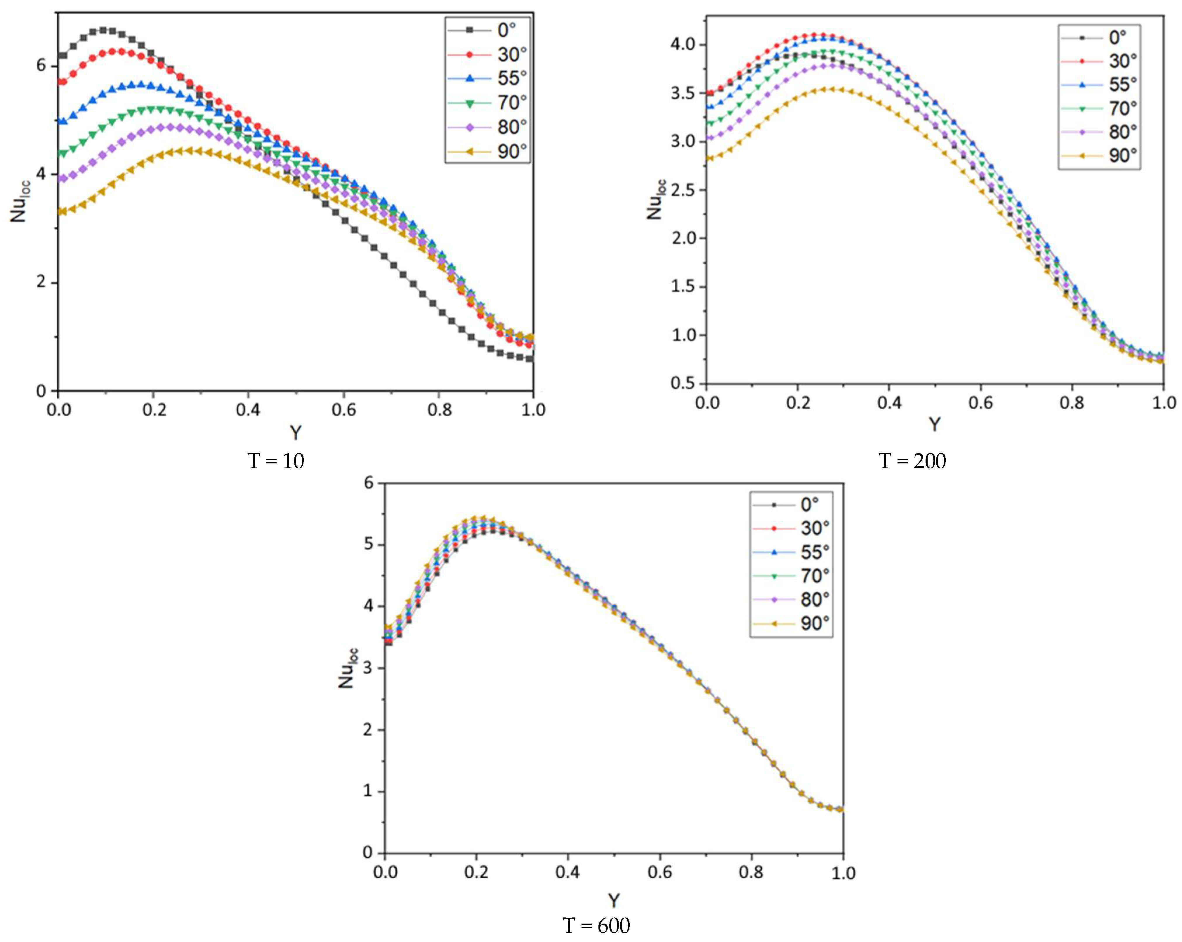
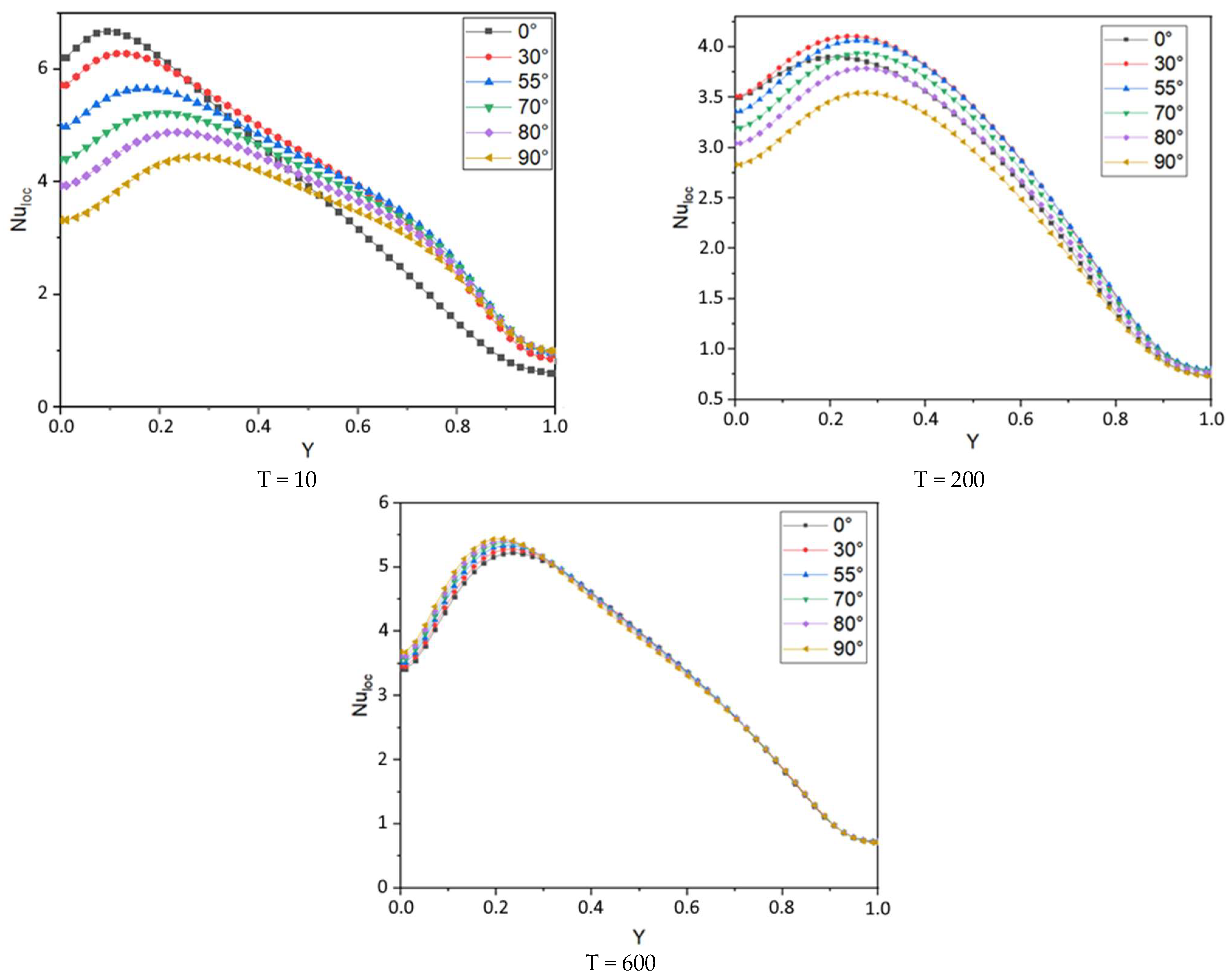
- Local Nusselt numbers show that heat exchange occurs mainly in the lower section of the heated wall. A reduction in the convective heat transfer of up to 45% can be recorded when the angle varies from 0 to 90 degrees.
- -
- Increasing the electrical Rayleigh number (up to 800) and the thermal Rayleigh number (to 250,000) results in a respective improvement of 61% and 181% in heat transfer.
- -
- For high electrical Rayleigh values, the dominant electrical forces negate the impact of cavity tilt on heat transfer.
- -
- A multiparametric correlation was suggested to estimate the mean Nusselt number, based on the tilt angle, and both thermal and electrical Rayleigh numbers.
Author Contributions
Funding
Data Availability Statement
Conflicts of Interest
Nomenclature
| a | Thermal diffusivity (m2·s−1) |
| C | Dimensionless number of the injection strength |
| Electric field (V·cm−1) | |
| Acceleration of gravity (m·s−2) | |
| K | Ionic mobility (m2·V−1·s−1) |
| L | Enclosure width (m) |
| M | Dimensionless number which characterizes EHD properties of the liquid |
| Pr | Prandlt number |
| q | Electric charge density (C·m−3) |
| Ra | Thermal Rayleigh number |
| T | Dimensionless electric Rayleigh number |
| t | Time (s) |
| Velocity (m·s−1) | |
| V | Electric potential (V) |
| x,y | Cartesian coordinate (m) |
| Greek symbols | |
| α | cavity inclination (°) |
| β | Coefficient of thermal expansion of fluid (K−1) |
| ε | Permittivity of the fluid (F·m−1) |
| θ | Dimensionless temperature (K) |
| μ | Dynamic viscosity (Pa·s) |
| ν | Kinematic viscosity (m2·s−1) |
| ρ | Density (kg.m−3) |
| ψ | Stream function (m2·s−1) |
| ω | Vorticity (s−1) |
| Subscript | |
| H | Hot |
| C | Cold |
References
- Shang, Z.; Hossain, M.M.; Wycisk, R.; Pintauro, P.N. Poly (phenylene sulfonic acid)-expanded polytetrafluoroethylene composite membrane for low relative humidity operation in hydrogen fuel cells. J. Power Sources 2022, 535, 231375. [Google Scholar] [CrossRef]
- Hassen, W.; Elkhazen, M.I.; Traore, P.; Borjini, M.N. Charge injection in horizontal eccentric annuli filled with a dielectric liquid. Eur. J. Mech. B/Fluids 2018, 72, 691–700. [Google Scholar] [CrossRef]
- Zhou, C.T.; Yao, Z.Z.; Chen, D.L.; Luo, K.; Wu, J.; Yi, H.L. Numerical prediction of transient electrohydrodynamic instabilities under an alternating current electric field and unipolar injection. Heliyon 2023, 9, e12812. [Google Scholar] [CrossRef] [PubMed]
- Selvakumar, R.D.; Wu, J.; Huang, J.; Traoré, P. Electro-thermo-convection in a differentially heated square cavity under arbitrary unipolar injection of ions. Int. J. Heat Fluid Flow 2021, 89, 108787. [Google Scholar] [CrossRef]
- Mourabit, M.; Rouijaa, H.; Semma, E.A.; Alami, M.E.; Najam, M. Etude numérique de l’effet d’inclinaison d’une cavité en forme de ‘T’sur la symétrie de la solution et le transfert de chaleur. J. Renew. Energy 2014, 17, 519–527. [Google Scholar]
- Cheong, H.T.; Siri, Z.; Sivasankaran, S. Effect of aspect ratio on natural convection in an inclined rectangular enclosure with sinusoidal boundary condition. Int. Commun. Heat Mass Transf. 2013, 45, 75–85. [Google Scholar] [CrossRef]
- Motlagh, S.Y.; Taghizadeh, S.; Soltanipour, H. Natural convection heat transfer in an inclined square enclosure filled with a porous medium saturated by nanofluid using Buongiorno’s mathematical model. Adv. Powder Technol. 2016, 27, 2526–2540. [Google Scholar] [CrossRef]
- Ouyahia, S.; Benkahla, Y.K.; Benzema, M.; Berabou, W. Effet du champ magnétique sur la convection naturelle dans une cavité inclinée remplie d’un nanofluide. In Proceedings of the Congrès de la Société Française de Thermique, Larochelle, France, 31 May–3 June 2015. [Google Scholar]
- Benyoucef, D.; Zeroual, M.; Benmoussa, H. Natural convection in tilted rectangular cavities due to bidirectional temperature gradient. Int. J. Heat Technol. 2017, 35, 883–892. [Google Scholar] [CrossRef]
- Oztop, H.F.; Mobedi, M.; Abu-Nada, E.; Pop, I. A heatline analysis of natural convection in a square inclined enclosure filled with a CuO nanofluid under non-uniform wall heating condition. Int. J. Heat Mass Transf. 2012, 55, 5076–5086. [Google Scholar] [CrossRef]
- Vivek, V.; Sharma, A.K.; Balaji, C. Interaction effects between laminar natural convection and surface radiation in tilted square and shallow enclosures. Int. J. Therm. Sci. 2012, 60, 70–84. [Google Scholar] [CrossRef]
- Mandal, D.K.; Mondal, M.K.; Biswas, N.; Manna, N.K.; Chamkha, A.J. Partial magnetic field and segmental heating effects on hybrid nanofluidic convection in a tilted porous wavy cavity. J. Magn. Magn. Mater. 2023, 583, 171035. [Google Scholar] [CrossRef]
- Leporini, M.; Corvaro, F.; Marchetti, B.; Polonara, F.; Benucci, M. Experimental and numerical investigation of natural convection in tilted square cavity filled with air. Exp. Therm. Fluid Sci. 2018, 99, 572–583. [Google Scholar] [CrossRef]
- Abdulmunem, A.R.; Samin, P.M.; Rahman, H.A.; Hussien, H.A.; Mazali, I.I.; Ghazali, H. Experimental and numerical investigations on the effects of different tilt angles on the phase change material melting process in a rectangular container. J. Energy Storage. 2020, 32, 101914. [Google Scholar] [CrossRef]
- Castellanos, A.; Atten, P.; Pérez, A.T. Finite-amplitude electroconvection in liquids in the case of weak unipolar injection. Physicochem. Hydrodyn. 1987, 9, 443–452. [Google Scholar]
- Felici, N. Phénomenes hydro et aérodynamiques dans la conduction des diélectriques fluides. Rev. Gen. Electr. 1969, 78, 717–734. [Google Scholar]
- Atten, P.; Lacroix, J.C. Non-linear hydrodynamic stability of liquids subjected to unipolar injection. J. Mec. 1979, 18, 469–510. [Google Scholar]
- Watson, P.K.; Schneider, J.M.; Till, H.R. Electrohydrodynamic stability of space-charge-limited currents in dielectric liquids. II. Experimental study. Phys. Fluids 1970, 13, 1955–1961. [Google Scholar] [CrossRef]
- Lacroix, J.C.; Atten, P.; Hopfinger, E.J. Electro-convection in a dielectric liquid layer subjected to unipolar injection. J. Fluid Mech. 1975, 69, 539–563. [Google Scholar] [CrossRef]
- Atten, P.; Lacroix, J.C. Electrohydrodynamic stability of liquids subjected to unipolar injection: Non linear phenomena. J. Electrost. 1978, 5, 439–452. [Google Scholar] [CrossRef]
- Castellanos, A.; Pérez, A.T.; Chicon, R. Chaotic electroconvection in a layer of dielectric liquid subjected to unipolar injection: Maximal Lyapunov exponents. Int. J. Bifurc. Chaos Appl. 2002, 12, 2523–2534. [Google Scholar] [CrossRef]
- Suh, Y.K. Modeling and simulation of ion transport in dielectric liquids-Fundamentals and review. IEEE Trans. Dielectr. Electr. 2012, 19, 831–848. [Google Scholar]
- Adamiak, K. Numerical models in simulating wire-plate electrostatic precipitators: A review. J. Electrost. 2013, 71, 673–680. [Google Scholar] [CrossRef]
- Pérez, A.T.; Castellanos, A. Role of charge diffusion in finite-amplitude electroconvection. Phys. Rev. A 1989, 40, 5844. [Google Scholar] [CrossRef]
- Traoré, P.; Wu, J. On the limitation of imposed velocity field strategy for Coulomb-driven electroconvection flow simulations. J. Fluid Mech. 2013, 727, R3. [Google Scholar] [CrossRef]
- Hassen, W.; Borjini, M.N.; Aissia, H.B. Enhanced heat transfer by unipolar injection of electric charges in differentially heated dielectric liquid layer. FDMP Fluid Dyn. Mater. Process. 2012, 8, 381–396. [Google Scholar]
- Hassen, W.; Kolsi, L.; Oztop, H.F.; Al-Rashed, A.A.A.; Borjini, M.N.; Al-Salem, K. Electro-thermo-capillary-convection in a square layer of dielectric liquid subjected to a strong unipolar injection. Appl. Math. Model. 2018, 63, 349–361. [Google Scholar] [CrossRef]
- Hassen, W.; Kolsi, L.; Ghachem, K.; Almeshaal, M.A.; Maatki, C.; Borjini, M.N. Numerical investigation of electro-thermo-convection in a square enclosure with incorporated hot solid body. J. Therm. Anal. Calorim. 2021, 143, 2647–2661. [Google Scholar] [CrossRef]
- Borjini, M.N.; Abidi, A.; Aissia, H.B. Prediction of unsteady natural convection within a horizontal narrow annular space using the control-volume method. Numer. Heat Transf. Part A 2005, 48, 811–829. [Google Scholar] [CrossRef]
- Patankar, S. Numerical Heat Transfer and Fluid Flow; Taylor & Francis: Oxford, UK, 2018. [Google Scholar]
- Bejan, A. Convection Heat Transfer; John Wiley & Sons: Hoboken, NJ, USA, 2004. [Google Scholar]
- Vázquez, P.A.; Georghiou, G.E.; Castellanos, A. Numerical analysis of the stability of the electrohydrodynamic (EHD) electroconvection between two plates. J. Phys. D Appl. Phys. 2008, 41, 175303. [Google Scholar] [CrossRef]
- Hassen, W.; Borjini, M.N.; Traore, P.; Aissia, H.B. Electroconvection between coaxial cylinders of arbitrary ratio subjected to strong unipolar injection. J. Electrostat. 2013, 71, 882–891. [Google Scholar] [CrossRef]
- Yaws, C.L. Chemical Properties Handbook; McGraw-Hill Education: New York, NY, USA, 1999. [Google Scholar]
- Tobazeon, R. Electrohydrodynamic instabilities and electroconvection in the transient and AC regime of unipolar injection in insulating liquids: A review. J. Electrostat. 1984, 15, 359–384. [Google Scholar] [CrossRef]
- Hassen, W.; Kolsi, L.; Mohammed, H.A.; Ghachem, K.; Sheikholeslami, M.; Almeshaal, M.A. Transient electrohydrodynamic convective flow and heat transfer of MWCNT-Dielectric nanofluid in a heated enclosure. Phys. Lett. A 2020, 384, 126736. [Google Scholar] [CrossRef]
- Traoré, P.; Perez, A.; Koulova-Nenova, D.; Romat, H. Analyse par simulation numérique du développement de l’instabilité électro-convective d’une couche de liquide diélectrique infinie soumise à une injection unipolaire. Comptes Rendus Mécanique 2009, 337, 667–674. [Google Scholar] [CrossRef]
- Wright, J.L. A correlation to quantify convective heat transfer between vertical window glazings. ASHRAE Trans. 1996, 102, 940–946. [Google Scholar]
- Elsherbiny, S.M. Free convection in inclined air layers heated from above. Int. J. Heat Mass Transf. 1996, 39, 3925–3930. [Google Scholar] [CrossRef]
- Khezzar, L.; Siginer, D.; Vinogradov, I. Natural convection of power law fluids in inclined cavities. Int. J. Therm. Sci. 2012, 53, 8–17. [Google Scholar] [CrossRef]










| Study Setup | Ra | T | α |
|---|---|---|---|
| Effect of Tilt angle | 50,000 | 600 | 0–90 |
| Effect of Tilt angle for various electric field | 10,000 | 0–800 | |
| Effect of Tilt angle for various thermal gradient | 5000–250,000 | 200 |
Disclaimer/Publisher’s Note: The statements, opinions and data contained in all publications are solely those of the individual author(s) and contributor(s) and not of MDPI and/or the editor(s). MDPI and/or the editor(s) disclaim responsibility for any injury to people or property resulting from any ideas, methods, instructions or products referred to in the content. |
© 2023 by the authors. Licensee MDPI, Basel, Switzerland. This article is an open access article distributed under the terms and conditions of the Creative Commons Attribution (CC BY) license (https://creativecommons.org/licenses/by/4.0/).
Share and Cite
Akrour, D.; Elkhazen, M.I.; Hassen, W.; Kriaa, K.; Maatki, C.; Hadrich, B.; Kolsi, L. Numerical Investigation of the Electro-Thermo Convection in an Inclined Cavity Filled with a Dielectric Fluid. Processes 2023, 11, 2506. https://doi.org/10.3390/pr11082506
Akrour D, Elkhazen MI, Hassen W, Kriaa K, Maatki C, Hadrich B, Kolsi L. Numerical Investigation of the Electro-Thermo Convection in an Inclined Cavity Filled with a Dielectric Fluid. Processes. 2023; 11(8):2506. https://doi.org/10.3390/pr11082506
Chicago/Turabian StyleAkrour, Dalila, Mohamed Issam Elkhazen, Walid Hassen, Karim Kriaa, Chemseddine Maatki, Bilel Hadrich, and Lioua Kolsi. 2023. "Numerical Investigation of the Electro-Thermo Convection in an Inclined Cavity Filled with a Dielectric Fluid" Processes 11, no. 8: 2506. https://doi.org/10.3390/pr11082506
APA StyleAkrour, D., Elkhazen, M. I., Hassen, W., Kriaa, K., Maatki, C., Hadrich, B., & Kolsi, L. (2023). Numerical Investigation of the Electro-Thermo Convection in an Inclined Cavity Filled with a Dielectric Fluid. Processes, 11(8), 2506. https://doi.org/10.3390/pr11082506

