Research on the Stability of the Spacer Fluid Interface in Dual-Layer Pipe Dual-Gradient Drilling
Abstract
:1. Introduction

2. Simulation Model Specification
2.1. Physical Simulation Model
- (1)
- All fluids are incompressible;
- (2)
- Both the spacer fluid and drilling mud are pseudoplastic fluids;
- (3)
- The wellbore is uniform, and variations in wellbore diameter and the effects of the dual-layer pipe joints are ignored;
- (4)
- The annulus is rigid with smooth walls;
- (5)
- Due to the small control step of 0.2 MPa for the bottom hole pressure and the low drilling speed during actual drilling, the equivalent well depth change caused by drilling during the process of reaching the pressure difference and during the regulation of bottom hole pressure can be ignored.
2.2. Basic Governing Equation
- (1)
- Continuity and Momentum Equations
- (2)
- Species transport equations
- (3)
- Transport equations for the standard model
2.3. Materials and Boundary Conditions
- (1)
- Inlet boundary:
- (2)
- Outlet boundary:
- (1)
- Initially, the expression for the actual wellbore pressure at the top of the model is
- (2)
- During regulation, the height of the seawater in the annulus decreases, but the top of the model is always the seawater until the end of regulation; then, the expression for the actual wellbore pressure at this location is
2.4. Evaluation Criteria
- (1)
- The length of the leading edge interface, which is the interface length between the seawater and spacer fluid, evaluates the degree of mixing between the spacer fluid and seawater.
- (2)
- The length of the trailing edge interface, which is the interface length between the drilling mud and spacer fluid, evaluates the degree of mixing between the spacer fluid and drilling mud.
- (3)
- The spacer fluid height, which is the height of the spacer fluid with 100% mass fraction in the annulus, is used to assess the stability of the spacer fluid interface, and the higher this height is, the more stable the spacer fluid interface.
2.5. Model Validation
- (1)
- Grid independence verification
- (2)
- Model Validation
3. Results and Discussion
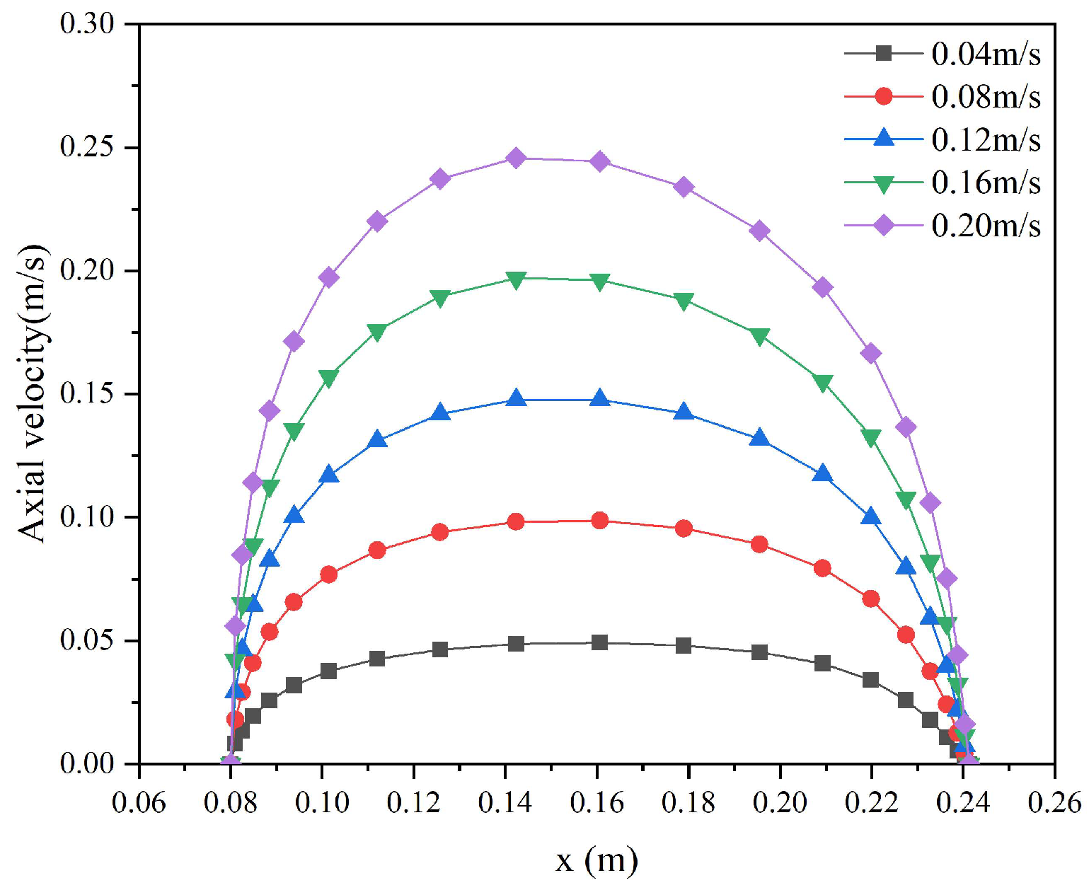
3.1. The Effects of Annular Fluid Flow Velocity on the Stability of the Spacer Fluid Interface
3.2. The Effects of Spacer Fluid’s Density on Interface Stability
3.3. The Effects of the Spacer Fluid’s Rheological Parameters on Its Interface Stability
- (1)
- Liquidity index of the spacer fluid
- (2)
- Consistency coefficient of the spacer fluid
3.4. The Effects of Drill String Rotation Speed on the Stability of the Spacer Fluid Interface
4. Conclusions
- (1)
- The flow velocity of the annular fluid and the physical parameters of the spacer fluid including the density, liquidity index, and consistency coefficient are the main factors affecting the stability of the spacer fluid interface. In contrast, the drilling mud rotation speed has less influence on the stability of the spacer fluid interface.
- (2)
- During the regulation of pressure in the wellbore, the annular fluid’s flow velocity increases, leading to a rise in the inhomogeneity of the axial velocity distribution and a decrease in interface stability. The spacer fluid interface is stable when the flow velocity is between 0.04 m/s and 0.16 m/s. However, when the flow velocity increases to 0.2 m/s and the spacer fluid height is reduced to just 3 m after regulation, the spacer fluid interface is unstable. In practical engineering applications, we recommend regulating the bottom hole pressure with a low flow rate and maintaining drilling throughout the regulation process. This not only helps to maintain the stability of the spacer fluid interface but also ensures that the dual-layer pipe returns a sufficient drilling mud flow for rock carrying, thus ensuring drilling safety and efficiency.
- (3)
- The influence of the spacer fluid’s density is mainly reflected in its density difference from the seawater and drilling mud. The greater the density difference, the more significant the buoyancy effect, resulting in a smaller length of the spacer fluid’s interface and a more stable interface. The stability of the spacer fluid interface decreases with the increase in its liquidity index and consistency coefficient; when its liquidity index is in the range of 0.5~0.8 and its consistency coefficient is in the range of 0.6~0.8 , the spacer fluid interface is stable. However, when the liquidity index of the spacer fluid increases to 0.9 and the consistency coefficient increases to 1.2~1.4 , the interface becomes unstable.
Author Contributions
Funding
Data Availability Statement
Conflicts of Interest
Nomenclature
| Pb | Bottom hole pressure |
| Density of the seawater, spacer and drilling mud, respectively (kg/cm3) | |
| Height of the seawater, spacer fluid, and drilling mud, respectively (m) | |
| Equivalent density (kg/cm3) | |
| Equivalent well depth (m) | |
| d | Inner diameter of annulus (mm) |
| D | Outer diameter of annulus (mm) |
| A | Cross-sectional area of the annular (m2) |
| Flow difference (L/S) | |
| v | Annular fluid flow velocity (m/s) |
| Static pressure | |
| Gravitational body force | |
| External body forces | |
| Stress tensor | |
| Local mass fraction of each species | |
| Diffusion flux of species | |
| Net rate of production of species via a chemical reaction | |
| Turbulence kinetic energy due to the mean velocity gradients | |
| Turbulence kinetic energy due to buoyancy | |
| Turbulent viscosity | |
| RMR | Riserless Mud Recovery |
| CAML | Controlled annular mud level |
| CAPM | Continuous annular pressure management system |
| ROP | Rate of penetration |
References
- Zhang, G.C.; Qu, H.J.; Zhang, F.L.; Chen, S.; Yang, H.Z.; Zhao, Z.; Zhao, C. Major new discoveries of oil and gas in global deepwaters and enlightenment. Acta Petrolei Sinica 2019, 40, 1–34. [Google Scholar]
- Cohen, J.H.; Stave, R.; Hauge, E.; Molde, D.O. Field Trial of Well Control Solutions with a Dual Gradient Drilling System. In Proceedings of the SPE/IADC Managed Pressure Drilling and Underbalanced Operations Conference & Exhibition, Dubai, United Arab Emirates, 13–14 April 2015. [Google Scholar]
- Yin, Z.; Li, Z.; Huang, X. Scheme optimization of deepwater dual gradient drilling based on the fuzzy comprehensive evaluation method. Ocean Eng. 2023, 281, 114978. [Google Scholar] [CrossRef]
- Myers, G. Ultra-deepwater riserless mud circulation with dual gradient drilling. Sci. Drill. 2008, 6, 48–51. [Google Scholar] [CrossRef]
- Guo, X.; Zhang, Z. Study on the pressure wave velocity model of multiphase fluid in the annulus of dual-gradient drilling. Therm. Sci. 2023, 136. [Google Scholar] [CrossRef]
- Keshavarz, M.; Moreno, R.B. Qualitative analysis of drilling fluid loss through naturally-fractured reservoirs. SPE Drill. Complet. 2023, 1–17. [Google Scholar] [CrossRef]
- Zhang, M.F. Analysis of the current situation and development trend of deepwater drilling technology. China Pet. Chem. Stand. Qual. 2018, 38, 138–139+141. [Google Scholar]
- Waernes, K. Applying Dual Gradient Drilling in Complex Wells, Challenges and Benefits. Master’s Thesis, University of Stavanger, Stavanger, Norway, 2013. [Google Scholar]
- Dual gradient drilling systems. Available online: https://petrowiki.spe.org/Dual_gradient_drilling_systems (accessed on 20 February 2023).
- What Is Riserless Mud Recovery. Available online: https://www.iodp.org/241-12-what-is-riserless-mud-recovery-cohen/file (accessed on 26 February 2023).
- Judge, B.; Hariharan, P.R. Realizing Zero Discharge Riserless Drilling and Annular Pressure Management With a Single Tool. In Proceedings of the Offshore Technology Conference, Houston, TX, USA, 2–5 May 2005. [Google Scholar]
- RMR®—Riserless Mud Recovery. Available online: https://www.enhanced-drilling.com/rmr-solution (accessed on 26 February 2023).
- Stave, R. Implementation of Dual Gradient Drilling. In Proceedings of the Offshore Technology Conference, Houston, TX, USA, 5–8 May 2014. [Google Scholar]
- Ziegler, R.; Sabri, M.S.; Idris, M.R.; Malt, R.; Stave, R. First Successful Commercial Application of Dual Gradient Drilling in Ultra-Deepwater GOM. In Proceedings of the SPE Annual Technical Conference and Exhibition, New Orleans, LA, USA, 30 September–2 October 2013. [Google Scholar]
- Ziegler, R.; Ashley, P.; Malt, R.F.; Stave, R.; Toftevåg, K.R. Successful Application of Deepwater Dual Gradient Drilling. In Proceedings of the IADC/SPE Managed Pressure Drilling and Underbalanced Operations Conference and Exhibition, San Antonio, TX, USA, 17–18 April 2013. [Google Scholar]
- Yin, Z.M.; Chen, G.M.; Wang, Z.X.; Xu, L.B.; Jiang, S.Q. Deepwater subsea mud-lift drilling technology and its application prospects. Drill. Prod. Technol. 2006, 29, 1–3+137. [Google Scholar]
- Lopes, C.A.; Bourgoyne, A.T., Jr. The Dual Density Riser Solution. In Proceedings of the SPE/IADC Drilling Conference, Amsterdam, The Netherlands, 4–6 March 1997. [Google Scholar]
- Han, T.W.; Jiang, H.W.; Yang, G. Classification and research progress of deep water dual gradient drilling technology. Oil Field Equip. 2019, 48, 83–89. [Google Scholar]
- Golsanami, N.; Gong, B.; Negahban, S. Evaluating the effect of new gas solubility and bubble point pressure models on PVT parameters and optimizing injected gas rate in gas-lift dual gradient drilling. Energies 2022, 15, 1212. [Google Scholar] [CrossRef]
- Zhang, J.B. Study on Design and Configuration of Dilution-Based Dual Gradient Drilling System. Master’s Thesis, China University of Petroleum (East China), Dongying, China, 2016. [Google Scholar]
- Halkyard, J.; Anderson, M.R.; Maurer, W.C. Hollow Glass Microspheres: An Option for Dual Gradient Drilling and Deep Ocean Mining Lift. In Proceedings of the Offshore Technology Conference-Asia, Kuala Lumpur, Malaysia, 25–28 March 2014. [Google Scholar]
- Wang, G.R.; Zhong, L.; Liu, Q.Y.; Zhou, S.W. Research on marine petroleum and hydrate development technology based on dual gradient drilling of double-layer pipe. Ocean Eng. Equip. Technol. 2019, 6 (Suppl. S1), 225–233. [Google Scholar]
- Vestavik, O.M.; Thorogood, J.; Bourdelet, E.; Schmalhorst, B.; Roed, J.P. Horizontal Drilling with Dual Channel Drill Pipe. In Proceedings of the SPE/IADC Drilling Conference and Exhibition, The Hague, The Netherlands, 14–16 March 2017. [Google Scholar]
- Tang, Y.; Zhao, P.; Wang, G.R.; Li, X.S.; Fang, X.Y. Horizontal pipe migration law of multiphase mixed slurry in offshore gas hydrate mining. J. Cent. South Univ. (Sci. Technol.) 2022, 53, 1047–1057. [Google Scholar]
- Wang, J.S.; Fu, P.; Hu, X.H.; Gong, C.X.; Deng, S.; Tang, Z.; Yin, W. Distribution law of wellbore temperature in offshore dual-layer DEG. China Pet. Mach. 2022, 50, 51–57. [Google Scholar]
- Savery, M.; Darbe, R.; Chin, W. Modeling Fluid Interfaces During Cementing Using a 3D Mud Displacement Simulator. In Proceedings of the Offshore Technology Conference, Houston, TX, USA, 30 April–3 May 2007. [Google Scholar]
- Wu, Z.Q.; Chen, Z.H.; Zhao, Y.P.; Xue, Y.C.; Wang, C.W.; Xiong, C.; Chen, S.L. Theoretical and experimental study on cementing displacement interface for highly deviated wells. Energies 2023, 16, 733. [Google Scholar] [CrossRef]
- Jung, H.; Frigaard, I.A. Evaluation of common cementing practices affecting primary cementing quality. J. Pet. Sci. Eng. 2022, 208, 109622. [Google Scholar] [CrossRef]
- Choi, M.; Scherer, G.W.; Prudhomme, R.K. Novel methodology to evaluate displacement efficiency of drilling mud using fluorescence in primary cementing. J. Pet. Sci. Eng. 2018, 165, 647–654. [Google Scholar] [CrossRef]
- Bu, Y.H.; Tian, L.J.; Li, Z.B.; Zhang, R.; Wang, C.Y.; Yang, X.C. Effect of casing rotation on displacement efficiency of cement slurry in highly deviated wells. J. Nat. Gas Sci. Eng. 2018, 52, 317–324. [Google Scholar] [CrossRef]
- Chen, Y. Experimental Study of Cementing in Eccentric Horizontal Annulus. Master’s Thesis, China University of Petroleum, Beijing, China, 2016. [Google Scholar]
- Wang, B.Q. Study on Numerical Simulation of Cementing Displacement. Master’s Thesis, China University of Petroleum, Beijing, China, 2019. [Google Scholar]
- Tang, Y.; Yao, J.X.; Wang, G.R.; He, Y.; Sun, P. Analysis of multi-phase mixed slurry horizontal section migration efficiency in natural gas hydrate drilling and production method based on double-layer continuous pipe and double gradient drilling. Energies 2020, 13, 3792. [Google Scholar] [CrossRef]
- Zhang, X.Q.; Ding, D.H.; Zhou, Y.C.; Liu, W. Application of fine managed pressure drilling in near-balance drilling. Spec. Oil Gas Reserv. 2016, 23, 141–143+158. [Google Scholar]
- Zhu, H.Y.; Liu, Q.Y.; Wang, T. Reducing the bottom-hole differential pressure by vortex and hydraulic jet methods. J. Vibroengineering 2014, 16, 2224–2249. [Google Scholar]
- Wang, S.T. Study on Displacement Efficiency of Cementing under Non-uniform Geometric Boundary Conditions. Ph.D. Thesis, Northeast Petroleum University, Daqing, China, 2020. [Google Scholar]
- Shafiei, M.; Kazemzadeh, Y.; Martyushev, D.A.; Dai, Z.; Riazi, M. Effect of chemicals on the phase and viscosity behavior of water in oil emulsions. Sci. Rep. 2023, 13, 4100. [Google Scholar] [CrossRef]
- Kaleem, W.; Tewari, S.; Fogat, M.; Martyushev, D.A. A hybrid machine learning approach based study of production forecasting and factors influencing the multiphase flow through surface chokes. Petroleum 2023. [Google Scholar] [CrossRef]
- Yang, J.W. Research on Improving Cement Injection Displacement Efficiency in Horizontal Sections of Horizontal Wells in Block LX. Master’s Thesis, Yangtze University, Jingzhou, China, 2020. [Google Scholar]
- Ren, K. Research on Characteristics of Drill String Vibration Based on Measurement Parameters of Near Bit. Master’s Thesis, China University of Petroleum, Beijing, China, 2019. [Google Scholar]



















| Inner Diameter of Annulus, d | Outer Diameter of Annulus, D | Cross-Sectional Area of the Annular, A | |||
|---|---|---|---|---|---|
| 160 mm | 482.6 mm | 0.1628 m2 | 50 m | 20 m | 10 m |
| Seawater | Drilling Mud | |
|---|---|---|
| Fluid Types | Newtonian fluid | non-Newtonian power-law fluid |
| Density () | 1030 | 1660 |
| Viscosity () | 0.0017 | |
| Consistency Coefficient () | 0.9 | |
| Liquidity Index | 0.7 |
| The Grid Scale in the Flow Direction | Spacer Fluid Height at the Same Time | Error |
|---|---|---|
| 0.025 m | 1.05 m | |
| 0.05 m | 1.025 m | 2.4% |
| 0.1 m | 1 m | 4.8% |
| 0.2 m | 0.8 m | 23.8% |
| 0.3 m | 0.35 m | 66.7% |
| Flow Velocity, v (m/s) | Regulation Time, t (s) | |
|---|---|---|
| 6.5 | 0.04 | 810 |
| 13.0 | 0.08 | 405 |
| 19.5 | 0.12 | 270 |
| 26.0 | 0.16 | 202 |
| 32.5 | 0.2 | 162 |
| Pressure Boundary Condition, P (Pa) | ||
|---|---|---|
| 1100 | 1783 | 17,510,751.9 |
| 1200 | 1786 | 17,541,064.8 |
| 1300 | 1790 | 17,581,482 |
| 1400 | 1793 | 17,611,794.9 |
| 1500 | 1796 | 17,642,107.8 |
Disclaimer/Publisher’s Note: The statements, opinions and data contained in all publications are solely those of the individual author(s) and contributor(s) and not of MDPI and/or the editor(s). MDPI and/or the editor(s) disclaim responsibility for any injury to people or property resulting from any ideas, methods, instructions or products referred to in the content. |
© 2023 by the authors. Licensee MDPI, Basel, Switzerland. This article is an open access article distributed under the terms and conditions of the Creative Commons Attribution (CC BY) license (https://creativecommons.org/licenses/by/4.0/).
Share and Cite
Wang, G.; Li, X.; Zhong, L.; Lv, Z. Research on the Stability of the Spacer Fluid Interface in Dual-Layer Pipe Dual-Gradient Drilling. Processes 2023, 11, 2395. https://doi.org/10.3390/pr11082395
Wang G, Li X, Zhong L, Lv Z. Research on the Stability of the Spacer Fluid Interface in Dual-Layer Pipe Dual-Gradient Drilling. Processes. 2023; 11(8):2395. https://doi.org/10.3390/pr11082395
Chicago/Turabian StyleWang, Guorong, Xiaolei Li, Lin Zhong, and Zhiyu Lv. 2023. "Research on the Stability of the Spacer Fluid Interface in Dual-Layer Pipe Dual-Gradient Drilling" Processes 11, no. 8: 2395. https://doi.org/10.3390/pr11082395
APA StyleWang, G., Li, X., Zhong, L., & Lv, Z. (2023). Research on the Stability of the Spacer Fluid Interface in Dual-Layer Pipe Dual-Gradient Drilling. Processes, 11(8), 2395. https://doi.org/10.3390/pr11082395
