Mathematical Investigation of Heat Transfer Characteristics and Parameter Optimization of Integral Rolled Spiral Finned Tube Bundle Heat Exchangers
Abstract
1. Introduction
2. Mathematical Simulation
2.1. Physical Model
2.2. Governing Equations
- (1)
- The processes of flow and heat transfer are steady state;
- (2)
- The fluid is incompressible ideal fluid;
- (3)
- The volume force only considers gravity;
- (4)
- The effect of radiation heat transfer on the processes of flow and heat transfer is ignored.
- (5)
- The parameters of the finned tube are set as the constant.
2.3. Grid Independence Verification
2.4. Evaluation Indexes
2.5. Experimental System
2.6. Experimental Scheme
2.7. Model Validation
3. Optimization Method
3.1. Data Preprocessing
3.2. Prediction Models
- (1)
- The artificial neural networks (ANN) establish the mapping relationship between the input and output by supervised learning and error back propagation is used to achieve the update iteration of weights and obtain the minimum error and predict the target value. A three-layer neural network with a hidden layer (3-32-1) is used to build a PEC prediction model. The weights and bias are initialized via using the normal random distribution. The training hyperparameter learning rate is defined as 0.001 and the maximum number of iterations is 3000. The mean square error function is used for the loss function and the iteration can be stopped when the error is less than 10−4. The gradient descent method is used for the optimizer.
- (2)
- The random forest regression (RFR) is a flexible and serviceable learning algorithm. The basic principle is to establish multiple different decision trees from the features of the data and calculate the average value of the predicted values of all decision trees to obtain the final predicted value. The RFR has good stability and anti-overfitting ability. In this study, the RFR with 10 decision trees is used for PEC prediction.
- (3)
- The linear regression (LR) is the most commonly used machine learning algorithm. The process of seeking multiple independent variables to affect a dependent variable through a linear relationship is called multiple regression. The common multiple linear regression model is represented as follows:
- (4)
- The support vector machine (SVM) is a set of supervised learning methods used for classification and regression. By establishing an optimal decision hyperplane, the distance between the two types of samples closest to the plane on both sides of the plane is maximized, thus providing good generalization ability for classification and regression problems. In this study, the optimization problem is constructed based on the support vector regression (SVR) model via selecting a suitable kernel function and optimizing the penalty factor c and kernel function parameters. Taking the positive component of αi* as the support vector (0 < αi* < c), the optimization function is as follows:
3.3. Evaluation Indexes of Optimization Models
4. Results and Discuss
4.1. Temperature and Velocity Fields
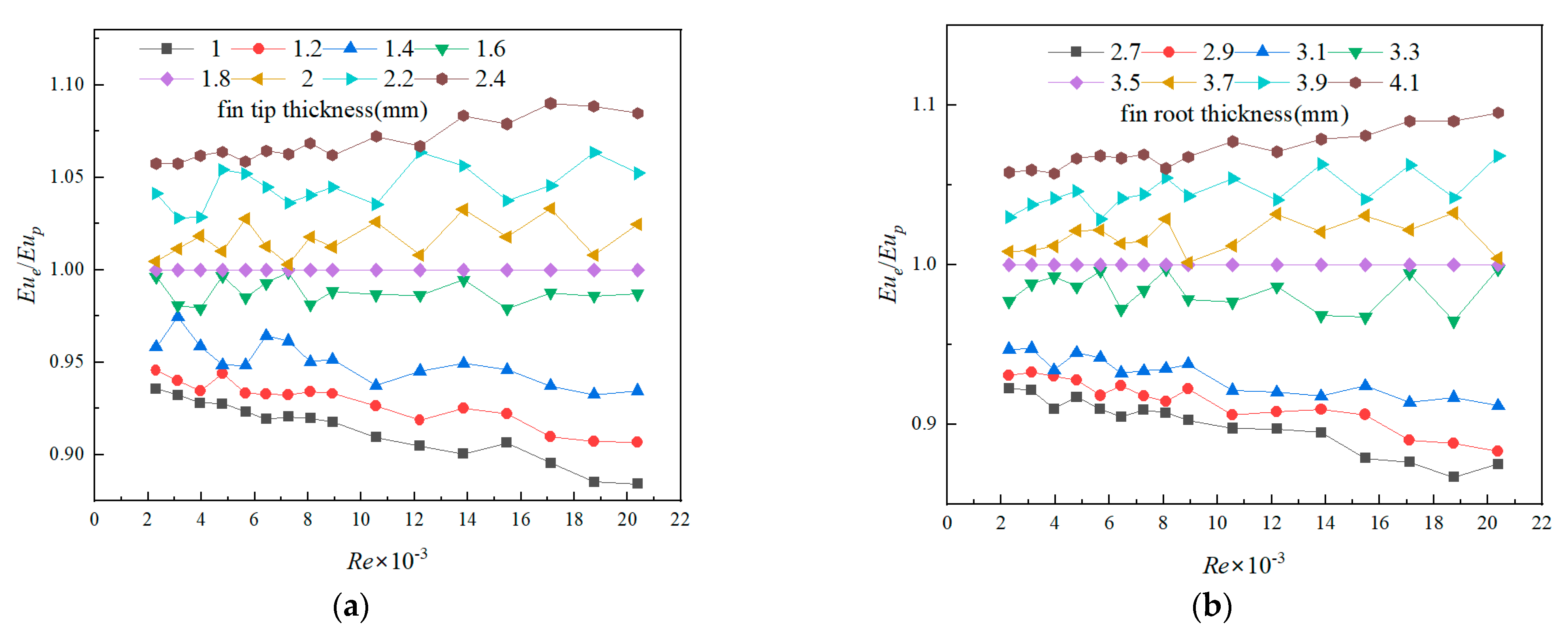
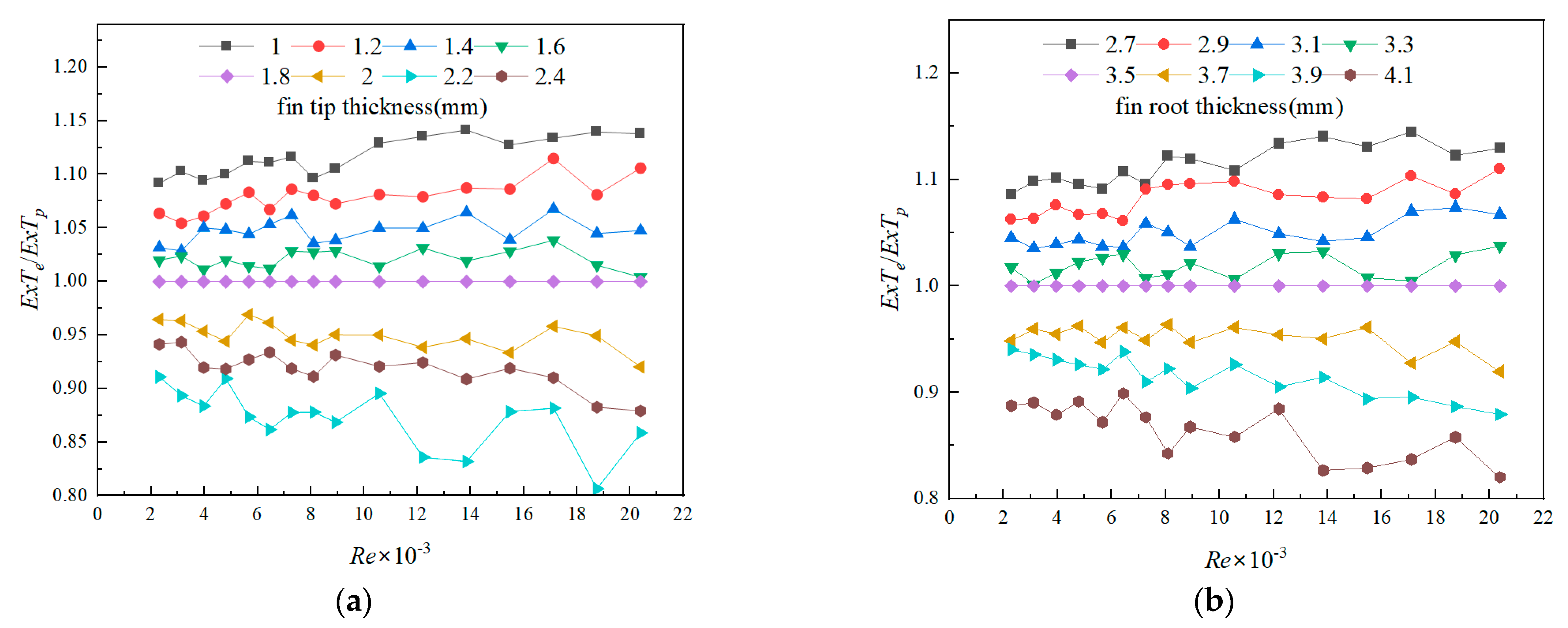
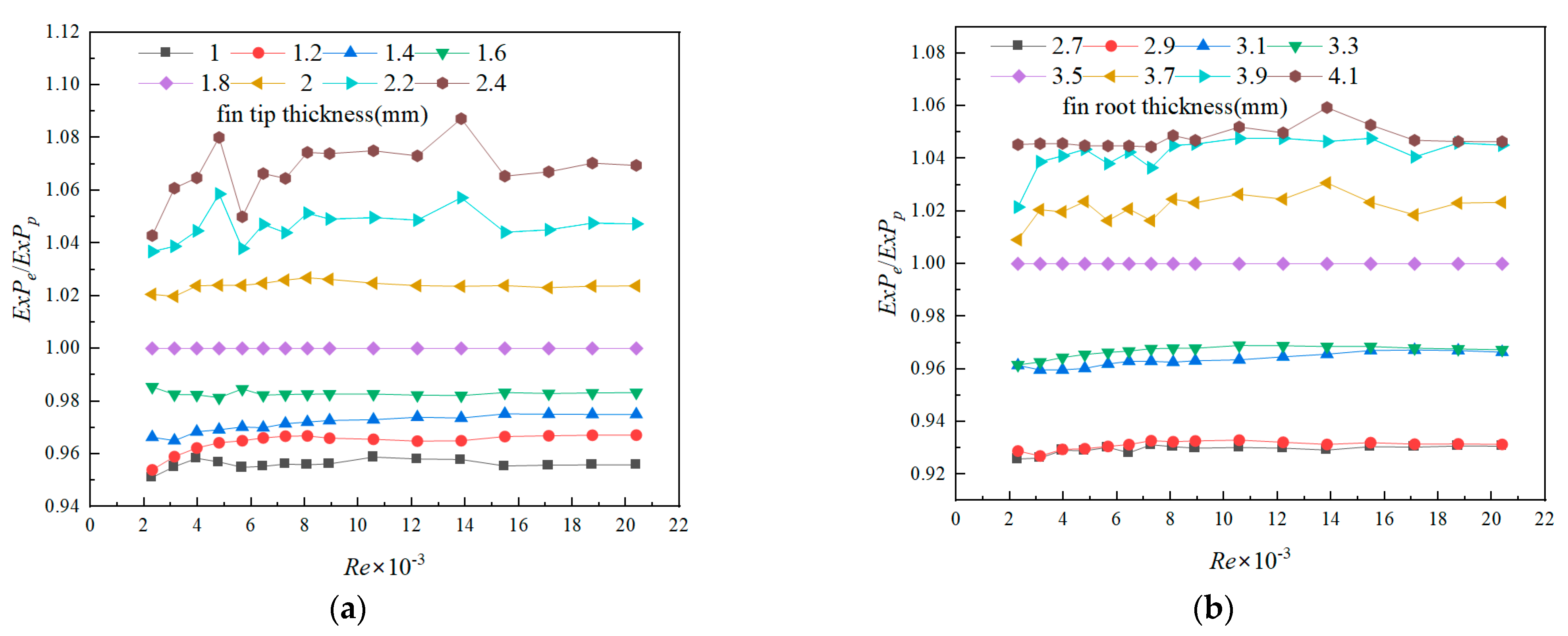
4.2. Effect of Fin Root Thickness and Fin Tip Thickness on Evaluation Indexes
4.3. Correlation Formula of Nu and Eu
4.4. Parameter Optimization
5. Conclusions
- (1)
- The influences of fin tip thickness and fin root thickness on Nu, Eu and PEC are as follows: with the increase in fin tip thickness, Nu presents a parabolic trend with downward opening, Eu increases monotonously and PEC shows a parabolic trend with downward opening. With the increase in fin root thickness, Nu increases monotonously, Eu increases monotonously, and PEC shows a downward opening parabolic trend.
- (2)
- The influences of fin tip thickness and fin root thickness on ExT, ExP are as follows: with the increase in fin tip thickness, ExT shows an upward opening parabolic trend, and ExP decreases monotonously. As fin root thickness increases, ExT decreases monotonously, and ExP decreases monotonously.
- (3)
- A new correlation is proposed for predicting the Nu and Eu of the integral rolled spiral finned tube bundles in the range of Re = 2287.85~20,375.95, δ1/do = 0.02632~0.06839, δ2/do = 0.07105~0.10790.
- (4)
- Four different machine learning algorithms are used to construct the prediction model of PEC, in which the RFR model with the best prediction results is used to optimize the parameters. The optimized parameters fin tip thickness 2 mm and fin root thickness 3.5 mm are obtained via machine learning. Compared with the primal parameters, when the Reynolds number is 20,380, the PEC is increased by 2.53%, the ExP is increased by 2.37%, the ExT is decreased by 7.96%.
Author Contributions
Funding
Data Availability Statement
Conflicts of Interest
Nomenclature
| hf—fin height [mm] | pf—fin pitch [mm] |
| ST—transverse pitch [mm] | SL—longitudinal pitch [mm] |
| di—inner diameter [mm] | do—outer diameter [mm] |
| ug,i—velocity of gas inlet [m/s] | uw,i—velocity of water inlet [m/s] |
| Tg,i—temperature of gas inlet [K] | Tw,i—temperature of water inlet [K] |
| ExP—flow exergy destruction [W] | ExT—heat transfer exergy destruction [W] |
| Greek symbols | |
| δ1—fin tip thickness [mm] | δ2—fin root thickness [mm] |
| λw—thermal conductivity of water [W/(m·K)] | λg—thermal conductivity of gas [W/(m·K)] |
| μg—viscosity of gas (Pa·s) | μw—viscosity of water (Pa·s) |
| ρg—density of gas (kg/m3) | ρw—density of water (kg/m3) |
| Cpg—specific heat of gas (J/kg·K) | Cpw—specific heat of water (J/kg·K) |
References
- Miller, W.S.; Zhuang, L.; Bottema, J.; Wittebrood, A.; De Smet, P.; Haszler, A.; Vieregge, A.J.M.S. Recent development in aluminium alloys for the automotive industry. Mater. Sci. Eng. A 2000, 280, 37–49. [Google Scholar] [CrossRef]
- Zhao, D.; Tan, G. A review of thermoelectric cooling: Materials, modeling and applications. Appl. Therm. Eng. 2014, 66, 15–24. [Google Scholar] [CrossRef]
- He, W.; Zhang, G.; Zhang, X.; Ji, J.; Li, G.; Zhao, X. Recent development and application of thermoelectric generator and cooler. Appl. Energy 2015, 143, 1–25. [Google Scholar] [CrossRef]
- Florides, G.; Kalogirou, S. Ground heat exchangers—A review of systems, models and applications. Renew. Energy 2007, 32, 2461–2478. [Google Scholar] [CrossRef]
- Liu, S.; Sakr, M. A comprehensive review on passive heat transfer enhancements in pipe exchangers. Renew. Sustain. Energy Rev. 2013, 19, 64–81. [Google Scholar] [CrossRef]
- Jacobi, A.M.; Shah, R.K. Heat Transfer Surface Enhancement through the Use of Longitudinal Vortices: A Review of Recent Progress. Exp. Therm. Fluid Sci. 1995, 11, 195–309. [Google Scholar] [CrossRef]
- Sheikholeslami, M.; Gorji-Bandpy, M.; Ganji, D.D. Review of heat transfer enhancement methods: Focus on passive methods using swirl flow devices. Renew. Sustain. Energy Rev. 2015, 49, 444–469. [Google Scholar] [CrossRef]
- Kawaguchi, K.; Okui, K.; Kashi, T. Heat transfer and pressure drop characteristics of finned tube banks in forced convection (comparison of the heat transfer characteristics between spiral fin and serrated fin). Heat Transf. Asian Res. 2005, 34, 120–133. [Google Scholar] [CrossRef]
- FaJiang, H.; WeiWu, C.; Ping, Y. Experimental Investigation of Heat Transfer and Flowing Resistance for Air Flow Cross over Spiral Finned Tube Heat Exchanger. Energy Procedia 2012, 17, 741–749. [Google Scholar] [CrossRef]
- Lee, M.; Kang, T.; Kim, Y. Air-side heat transfer characteristics of spiral-type circular fin-tube heat exchangers. Int. J. Refrig. 2010, 33, 313–320. [Google Scholar] [CrossRef]
- Pongsoi, P.; Promoppatum, P.; Pikulkajorn, S.; Wongwises, S. Effect of fin pitches on the air-side performance of L-footed spiral fin-and-tube heat exchangers. Int. J. Heat Mass Transf. 2013, 59, 75–82. [Google Scholar] [CrossRef]
- Pongsoi, P.; Pikulkajorn, S.; Wongwises, S. Experimental Study on the Air-Side Performance of a Multipass Parallel and Counter Cross-Flow L-Footed Spiral Fin-and-Tube Heat Exchanger. Heat Transf. Eng. 2012, 33, 1251–1263. [Google Scholar] [CrossRef]
- Nuntaphan, A.; Kiatsiriroat, T.; Wang, C.C. Air side performance at low Reynolds number of cross-flow heat exchanger using crimped spiral fins. Int. Commun. Heat Mass Transf. 2005, 32, 151–165. [Google Scholar] [CrossRef]
- Nuntaphan, A.; Kiatsiriroat, T.; Wang, C.C. Heat transfer and friction characteristics of crimped spiral finned heat exchangers with dehumidification. Appl. Therm. Eng. 2005, 25, 327–340. [Google Scholar] [CrossRef]
- Boonsri, R.; Wongwises, S. Mathematical Model for Predicting the Heat Transfer Characteristics of a Helical-Coiled, Crimped, Spiral, Finned-Tube Heat Exchanger. Heat Transf. Eng. 2015, 36, 1495–1503. [Google Scholar] [CrossRef]
- Kiatpachai, P.; Pikulkajorn, S.; Wongwises, S. Air-side performance of serrated welded spiral fin-and-tube heat exchangers. Int. J. Heat Mass Transf. 2015, 89, 724–732. [Google Scholar] [CrossRef]
- Zhou, H.; Liu, D.; Sheng, Q.; Hu, M.; Cheng, Y.; Cen, K. Research on gas side performance of staggered fin-tube bundles with different serrated fin geometries. Int. J. Heat Mass Transf. 2020, 152, 119509. [Google Scholar] [CrossRef]
- Salviano, L.O.; Dezan, D.J.; Yanagihara, J.I. Optimization of winglet-type vortex generator positions and angles in plate-fin compact heat exchanger: Response Surface Methodology and Direct Optimization. Int. J. Heat Mass Transf. 2015, 82, 373–387. [Google Scholar] [CrossRef]
- Wen, J.; Gu, X.; Wang, M.; Liu, Y.; Wang, S. Multi-parameter optimization of shell-and-tube heat exchanger with helical baffles based on entransy theory. Appl. Therm. Eng. 2018, 130, 804–813. [Google Scholar] [CrossRef]
- Du, X.; Feng, L.; Yang, Y.; Yang, L. Experimental study on heat transfer enhancement of wavy finned flat tube with longitudinal vortex generators. Appl. Therm. Eng. 2013, 50, 55–62. [Google Scholar] [CrossRef]
- Zhang, J.; Zhao, Y.; Diao, Y.; Zhang, Y. An experimental study on fluid flow and heat transfer in a multiport minichannel flat tube with micro-fin structures. Int. J. Heat Mass Transf. 2015, 84, 511–520. [Google Scholar] [CrossRef]
- He, Y.L.; Han, H.; Tao, W.Q.; Zhang, Y.W. Numerical study of heat-transfer enhancement by punched winglet-type vortex generator arrays in fin-and-tube heat exchangers. Int. J. Heat Mass Transf. 2012, 55, 5449–5458. [Google Scholar] [CrossRef]
- CHEN, J.-Y.J.L.-K. Numerical analysis of heat transfer and fluid flow in a three-dimensional wavy-fin and tube heat exchanger. Int. J. Heat Mass Transf. 1997, 40, 3981–3990. [Google Scholar]
- Li, J.; Wang, S.; Chen, J.; Lei, Y.-G. Numerical study on a slit fin-and-tube heat exchanger with longitudinal vortex generators. Int. J. Heat Mass Transf. 2011, 54, 1743–1751. [Google Scholar] [CrossRef]
- Modi, A.J.; Rathod, M.K. Comparative study of heat transfer enhancement and pressure drop for fin-and-circular tube compact heat exchangers with sinusoidal wavy and elliptical curved rectangular winglet vortex generator. Int. J. Heat Mass Transf. 2019, 141, 310–326. [Google Scholar] [CrossRef]
- Yaïci, W.; Ghorab, M.; Entchev, E. 3D CFD study of the effect of inlet air flow maldistribution on plate-fin-tube heat exchanger design and thermal–hydraulic performance. Int. J. Heat Mass Transf. 2016, 101, 527–541. [Google Scholar] [CrossRef]
- Yuan, F.; Chen, Q. Two energy conservation principles in convective heat transfer optimization. Energy 2011, 36, 5476–5485. [Google Scholar] [CrossRef]
- Yu, Z.-Q.; Wang, P.; Zhou, W.-J.; Li, Z.-Y.; Tao, W.-Q. Study on the consistency between field synergy principle and entransy dissipation extremum principle. Int. J. Heat Mass Transf. 2018, 116, 621–634. [Google Scholar] [CrossRef]
- Wu, X.-H.; Yuan, P.; Luo, Z.-M.; Wang, L.-X.; Lu, Y.-L. Heat Transfer and Thermal Resistance Characteristics of Fin with Built-In Interrupted Delta Winglet Type. Heat Transf. Eng. 2015, 37, 172–182. [Google Scholar] [CrossRef]
- Liu, W.; Liu, P.; Wang, J.B.; Zheng, N.B.; Liu, Z.C. Exergy destruction minimization: A principle to convective heat transfer enhancement. Int. J. Heat Mass Transf. 2018, 122, 11–21. [Google Scholar] [CrossRef]
- Wang, S.; Xiao, B.; Ge, Y.; He, L.; Li, X.; Liu, W.; Liu, Z. Optimization design of slotted fins based on exergy destruction minimization coupled with optimization algorithm. Int. J. Therm. Sci. 2020, 147, 106133. [Google Scholar] [CrossRef]
- Xiao, H.; Wang, J.; Liu, Z.; Liu, W. Turbulent heat transfer optimization for solar air heater with variation method based on exergy destruction minimization principle. Int. J. Heat Mass Transf. 2019, 136, 1096–1105. [Google Scholar] [CrossRef]
- Xie, J.H.; Cui, H.C.; Liu, Z.C.; Liu, W. Optimization design of helical micro fin tubes based on exergy destruction minimization principle. Appl. Therm. Eng. 2022, 200, 117640. [Google Scholar] [CrossRef]
- Vasconcelos Segundo, E.H.d.; Mariani, V.C.; Coelho, L.d.S. Design of heat exchangers using Falcon Optimization Algorithm. Appl. Therm. Eng. 2019, 156, 119–144. [Google Scholar] [CrossRef]
- Li, A.; Ismail, A.B.; Thu, K.; Ng, K.C.; Loh, W.S. Performance evaluation of a zeolite–water adsorption chiller with entropy analysis of thermodynamic insight. Appl. Energy 2014, 130, 702–711. [Google Scholar] [CrossRef]
- Erek, A.; Dincer, I. An approach to entropy analysis of a latent heat storage module. Int. J. Therm. Sci. 2008, 47, 1077–1085. [Google Scholar] [CrossRef]
- Guelpa, E.; Sciacovelli, A.; Verda, V. Entropy generation analysis for the design improvement of a latent heat storage system. Energy 2013, 53, 128–138. [Google Scholar] [CrossRef]
- Lemmon, E.W.; Bell, I.H.; Huber, M.L.; McLinden, M.O. NIST Standard Reference Database 23: Reference Fluid Thermodynamic and Transport Properties-REFPROP, Version 10.0; National Institute of Standards and Technology, Standard Reference Data Program: Gaithersburg, MD, USA, 2018. [Google Scholar] [CrossRef]
- Mon, M.S.; Gross, U. Numerical study of fin-spacing effects in annular-finned tube heat exchangers. Int. J. Heat Mass Transf. 2004, 47, 1953–1964. [Google Scholar] [CrossRef]
- Oneissi, M.; Habchi, C.; Russeil, S.; Bougeard, D.; Lemenand, T. Novel design of delta winglet pair vortex generator for heat transfer enhancement. Int. J. Therm. Sci. 2016, 109, 1–9. [Google Scholar] [CrossRef]
- Bhuiyan, A.A.; Amin, M.R.; Islam, A.K.M.S. Three-dimensional performance analysis of plain fin tube heat exchangers in transitional regime. Appl. Therm. Eng. 2013, 50, 445–454. [Google Scholar] [CrossRef]
- Webb, R.L. Performance evaluation criteria for use of enhanced heat transfer surfaces in heat exchanger design. Int. J. Heat Mass Transf. 1981, 24, 715–726. [Google Scholar] [CrossRef]
- Moffat, R.J. Describing the uncertainties in experimental results. Exp. Therm. Fluid Sci. 1988, 1, 3–17. [Google Scholar] [CrossRef]
- Baghban, A.; Kahani, M.; Nazari, M.A.; Ahmadi, M.H.; Yan, W.-M. Sensitivity analysis and application of machine learning methods to predict the heat transfer performance of CNT/water nanofluid flows through coils. Int. J. Heat Mass Transf. 2019, 128, 825–835. [Google Scholar] [CrossRef]
- El-Said, E.M.S.; Abd Elaziz, M.; Elsheikh, A.H. Machine learning algorithms for improving the prediction of air injection effect on the thermohydraulic performance of shell and tube heat exchanger. Appl. Therm. Eng. 2021, 185, 116471. [Google Scholar] [CrossRef]
- Fawaz, A.; Hua, Y.; Le Corre, S.; Fan, Y.; Luo, L. Topology optimization of heat exchangers: A review. Energy 2022, 252, 124053. [Google Scholar] [CrossRef]
- Khan, M.Z.A.; Khan, H.A.; Aziz, M. Performance optimization of heat-exchanger with delta-wing tape inserts using machine learning. Appl. Therm. Eng. 2022, 216, 119135. [Google Scholar] [CrossRef]
- Yousefi, M.; Enayatifar, R.; Darus, A.N.; Abdullah, A.H. A robust learning based evolutionary approach for thermal-economic optimization of compact heat exchangers. Int. Commun. Heat Mass Transf. 2012, 39, 1605–1615. [Google Scholar] [CrossRef]
- Peng, Y.; Unluer, C. Modeling the mechanical properties of recycled aggregate concrete using hybrid machine learning algorithms, Resources. Conserv. Recycl. 2023, 190, 106812. [Google Scholar] [CrossRef]
- Wu, W.; Zhang, M.; Wang, Y.; Zhao, L.; Dong, H.; Zhang, J. Optimization of a pyrolysis furnace using multi-jet arrays through numerical and machine learning techniques. Int. J. Heat Mass Transf. 2023, 214, 124426. [Google Scholar] [CrossRef]
- Wu, W.; Zhang, M.; Zhao, L.; Dong, H.; Zhang, J. CFD-DPM data-driven GWO-SVR for fast prediction of nitrate decomposition in blast furnaces with nozzle arrangement optimization. Process Saf. Environ. Prot. 2023, 176, 438–449. [Google Scholar] [CrossRef]














| Value/Unit | Value/Unit | ||
|---|---|---|---|
| Fin parameters | |||
| δ1 | 1.8 mm | SL | 104 mm |
| δ2 | 3.5 mm | pf | 8 mm |
| hf | 12.8 mm | Front extension | 300 mm |
| ST | 89 mm | Tail extension | 800 mm |
| di | 32 mm | do | 38 mm |
| Boundary conditions | |||
| ug,i | 3.3–12.3 m/s | uw,i | 0.3 m/s |
| Tg,i | 422.75 K | Tw,i | 293.15 K |
| Parameters of the working substance | |||
| ρg | (kg/m3) | ||
| Cpg | (J/kg·K) | ||
| λg | (W/m·K) | ||
| μg | (Pa·s) | ||
| ρw | (kg/m3) | ||
| Cpw | (J/kg·K) | ||
| λw | (W/m·K) | ||
| μw | (Pa·s) | ||
| Case | Number of Grids | Nusim |
|---|---|---|
| 1 | 838,983 | 57.61 |
| 2 | 1,647,042 | 58.45 |
| 3 | 2,597,628 | 59.02 |
| 4 | 3,359,311 | 59.34 |
| 5 | 4,086,306 | 59.35 |
| Value | Equipment Name | Accuracy | Measuring Range |
|---|---|---|---|
| ug,i | Orifice flowmeter | 1% | 1–15 m/s |
| Pg | Difference pressure transmitter | 0.2% | 0.1–1 Kpa |
| Tw,i | PT100 | A | 0–100 °C |
| Tg,i | Thermocouple | 1.5℃ | 0–500 °C |
| uw,i | Electromagnetic flowmeter | 0.5% | 0.1–15 m/s |
| Value | ug,i | Pg | Tw,i | Tg,i | uw,i | Re | Nu | Eu |
|---|---|---|---|---|---|---|---|---|
| Uncertainty (%) | 4.09 | 4.74 | 3.98 | 6.54 | 3.28 | 9.37 | 8.64 | 10.26 |
| Model | MSE (Train) | MSE (Test) | R2 (Train) | R2 (Test) |
|---|---|---|---|---|
| LR | 0.001283 | 0.0014421 | 0.9859 | 0.9842 |
| RFR | 0.00002045 | 0.00001640 | 0.9998 | 0.9998 |
| SVR | 0.004527 | 0.02306 | 0.9502 | 0.7481 |
| ANN | 0.001458 | 0.001351 | 0.9840 | 0.9852 |
| δ1 (mm) | δ2 (mm) | ug,i (m/s) | PEC | ExT (W) | ExP (W) | |
|---|---|---|---|---|---|---|
| Primal parameters | 1.8 | 3.5 | 12.3 | 191.25 | 1218 | 4591 |
| Optimization parameters | 2 | 3.5 | 12.3 | 196.09 | 1121 | 4700 |
Disclaimer/Publisher’s Note: The statements, opinions and data contained in all publications are solely those of the individual author(s) and contributor(s) and not of MDPI and/or the editor(s). MDPI and/or the editor(s) disclaim responsibility for any injury to people or property resulting from any ideas, methods, instructions or products referred to in the content. |
© 2023 by the authors. Licensee MDPI, Basel, Switzerland. This article is an open access article distributed under the terms and conditions of the Creative Commons Attribution (CC BY) license (https://creativecommons.org/licenses/by/4.0/).
Share and Cite
Zhang, D.; Wu, W.; Zhao, L.; Dong, H. Mathematical Investigation of Heat Transfer Characteristics and Parameter Optimization of Integral Rolled Spiral Finned Tube Bundle Heat Exchangers. Processes 2023, 11, 2192. https://doi.org/10.3390/pr11072192
Zhang D, Wu W, Zhao L, Dong H. Mathematical Investigation of Heat Transfer Characteristics and Parameter Optimization of Integral Rolled Spiral Finned Tube Bundle Heat Exchangers. Processes. 2023; 11(7):2192. https://doi.org/10.3390/pr11072192
Chicago/Turabian StyleZhang, Danfeng, Wenchang Wu, Liang Zhao, and Hui Dong. 2023. "Mathematical Investigation of Heat Transfer Characteristics and Parameter Optimization of Integral Rolled Spiral Finned Tube Bundle Heat Exchangers" Processes 11, no. 7: 2192. https://doi.org/10.3390/pr11072192
APA StyleZhang, D., Wu, W., Zhao, L., & Dong, H. (2023). Mathematical Investigation of Heat Transfer Characteristics and Parameter Optimization of Integral Rolled Spiral Finned Tube Bundle Heat Exchangers. Processes, 11(7), 2192. https://doi.org/10.3390/pr11072192
