Pseudopotential Lattice Boltzmann Model for Immiscible Multicomponent Flows in Microchannels
Abstract
1. Introduction
2. Numerical Method
2.1. Pseudopotential Lattice Boltzmann Model for Immiscible Fluids
2.2. Interaction Force for Immiscible Fluids
3. Model Validation
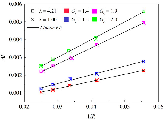
3.1. Validation of Surface Tension Using Laplace’s Law
3.2. Estimation of Static Contact Angle with a Droplet in Two Flat Plates
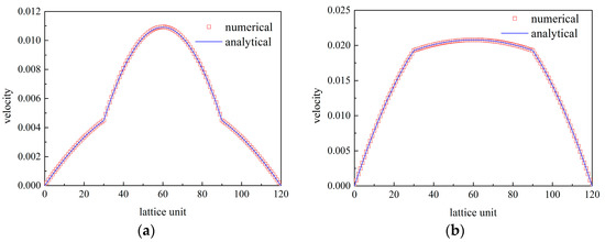
3.3. Two-Component Poiseuille Flow
4. Results and Discussion
4.1. Droplet Motion in Microchannels
4.1.1. Effect of Contact Angle
4.1.2. Effect of Bond Number
4.2. Droplet Formation in Microchannels
4.2.1. Unit Conversion and Boundary Conditions in LB Simulation
4.2.2. Validation of Droplet Formation in Microchannels
4.2.3. Formation Regime and Critical Capillary Number
4.2.4. Effect of Viscosity Ratio on Droplet Formation
4.2.5. Dripping–Squeezing, Jetting–Shearing, and Threading Regimes
5. Conclusions
- (1)
- In this model, the variable surface tension was obtained by varying the parameter Gc. The relationship between the static contact angle and relevant parameter G2 was represented by a linear equation.
- (2)
- The droplet motion is crucial to understand multi-component flow in a microchannel. The surface wettability and Bond number significantly affected the droplet motion. When contact angles (θ) were 50°, 70°, and 90°, the dimensionless positions in the x-direction (x*) and y-direction (y*) exhibited a similar variation trend, and the increase in x* at θ = 50° was the sharpest. However, the droplet motion in the x-direction of the intermediate microchannel wall took a shorter time than that for the hydrophilic wall. Thus, the wet length also depended on the contact angle. As the Bond number increases, the droplet wet length increases on the neutral surface. However, as the Bond number increases, the droplet wet length decreases on the hydrophilic surface. It is found that the droplet length almost has a relationship with the capillary number (Ca < Cac), written as . As the viscosity ratio increases and Ca > Cac, the droplet length also increases, and the empirical correlations between capillary number and droplet length are given by , , and for λ = 4.21, 3.00, and 1.00, respectively.
- (3)
- The droplet formation patterns were classified into three categories based on the droplet shape: dripping–squeezing, jetting–shearing, and threading regimes. These regimes were simulated using the improved pseudopotential LBM. In our simulation, the critical capillary number, which distinguishes the dripping–squeezing and jetting–shearing regimes, was ~0.002, and this value was independent of the viscosity ratio. The viscosity ratio affected the droplet formation, especially in the jetting–shearing regime. Since the pressure difference was dominant in the dripping–squeezing regime, the droplet length was almost independent of the viscosity. In contrast, the droplet length in the jetting–shearing regime was significantly affected by viscosity due to shear stress. As the viscosity ratio increased, the droplet length decreased, implying that the shear stress led to generation of smaller droplets.
Author Contributions
Funding
Data Availability Statement
Conflicts of Interest
Nomenclature
| Density distribution function of the αth component fluid at lattice node x | |
| The αth component fluid collision term | |
| Interaction force, including the fluid–fluid and fluid–solid terms | |
| α | Index for components |
| wi | Weigh factor in the D2Q9 model |
| Density of the αth component fluid | |
| uα | Velocity of the αth component fluid |
| u | Mixture flow velocity |
| τα | Relaxation time |
| να | Kinematic viscosity of the αth component fluid |
| Fα,int | Fluid–fluid interaction force |
| Fα,ads | Fluid–solid interaction force |
| Gc | Parameter controlling the interaction strength |
| ψ | The effective density |
| Fα,b | The Body force |
| Fα | Total force |
| r | Droplet radius |
| σ | Surface tension coefficient |
| Pin | Pressure on the inside of a static droplet |
| Pout | Pressure on the outside of a static droplet |
| P | Corresponding pressure |
| cs | The lattice sound speed |
| R | Semicircular radius |
| θ | Contact angle |
| λ | Viscosity ratio |
| F | Volume force |
| L or l | Length of a rectangular microchannel |
| H or w | Height of a rectangular microchannel |
| x*,y* | Dimensionless position of the droplet in the x- and y-directions |
| h*,l* | Dimensionless height and wet length of the droplet |
| Bo | Bond number |
| Ca | Capillary number |
| Cac | Critical capillary number |
| ϕ | Flow rate ratio |
| Dimensionless droplet length |
References
- Adamo, A.; Beingessner, R.L.; Behnam, M.; Chen, J.; Jamison, T.F.; Jensen, K.F.; Monbaliu, J.C.M.; Myerson, A.S.; Revalor, E.M.; Snead, D.R. On-demand continuous-flow production of pharmaceuticals in a compact, reconfigurable system. Science 2016, 352, 61–67. [Google Scholar] [CrossRef] [PubMed]
- Kashid, M.N.; Renken, A.; Kiwiminsker, L. Gas-Liquid and liquid-liquid mass transfer in microstructured reactors. Chem. Eng. Sci. 2011, 66, 3876–3897. [Google Scholar] [CrossRef]
- Anna, S.L.; Bontoux, N.; Stone, H.A. Formation of dispersions using “Flow Focusing” in microchannels. Appl. Phys. Lett. 2003, 82, 364–366. [Google Scholar] [CrossRef]
- Foroughi, H.; Abbasi, A.; Das, K.S. Immiscible displacement of oil by water in a microchannel: Asymmetric flow behavior and nonlinear stability analysis of core-annular flow. Phys. Rev. E 2012, 85, 026309. [Google Scholar] [CrossRef] [PubMed]
- Li, X.-B.; Li, F.-C.; Yang, J.-C.; Kinoshita, H.; Oishi, M.; Oshima, M. Study on the mechanism of droplet formation in T-junction microchannel. Chem. Eng. Sci. 2012, 69, 340–351. [Google Scholar] [CrossRef]
- Garstecki, P.; Fuerstman, M.J.; Stone, H.A. Formation of droplets and bubbles in a microfluidic T-junction-scaling and mechanism of break-up. Lab Chip. 2006, 6, 437–446. [Google Scholar] [CrossRef]
- Tice, J.D.; Song, H.; Lyon, A.D.; Ismagilov, R.F. Formation of droplets and mixing in multiphase microfluidics at low values of the reynolds and the capillary numbers. Langmuir 2003, 19, 796–802. [Google Scholar] [CrossRef]
- Chen, N.; Wu, J.; Jiang, H. CFD Simulation of droplet formation in a wide-type microfluidic T-junction. J. Dispers. Sci. Technol. 2012, 33, 1635–1641. [Google Scholar] [CrossRef]
- Garstecki, P.; Fuerstman, M.J.; Whitesides, G.M. Nonlinear dynamics of a flow-focusing bubble generator: An inverted dripping faucet. Phys. Rev. Lett. 2005, 94, 234502. [Google Scholar] [CrossRef]
- Lu, Y.; Fu, T.; Zhu, C. Experimental investigation on the breakup dynamics for bubble formation in viscous liquids in a flow-focusing device. Chem. Eng. Sci. 2016, 152, 516–527. [Google Scholar] [CrossRef]
- Hoeve, W.V.; Dollet, B.; Versluis, M. Microbubble formation and pinch-off scaling exponent in flow-focusing devices. Phys. Fluids. 2011, 23, 865. [Google Scholar]
- Utada, A.S.; Fernandez-Nieves, A.; Stone, H.A. Dripping to jetting transitions in coflowing liquid streams. Phys. Rev. Lett. 2007, 99, 094502. [Google Scholar] [CrossRef] [PubMed]
- Castro-Hernandez, E.; Gundabala, V.; Fernandez-Nieves, A. Scaling the drop size in coflow experiments. N. J. Phys. 2009, 11, 075021. [Google Scholar] [CrossRef]
- Shahin, H.; Mortazavi, S. Three-dimensional simulation of microdroplet formation in a co-flowing immiscible fluid system using front tracking method. J. Mol. Liq. 2017, 243, 737–749. [Google Scholar] [CrossRef]
- Ferziger, J.H.; Perić, M. Computational methods for fluid dynamics. Phys. Today 1997, 50, 80–84. [Google Scholar] [CrossRef]
- Unverdi, S.O.; Tryggvason, G. A front-tracking method for viscous, incompressible, multi-fluid flows. J. Comput. Phys. 1992, 100, 25–37. [Google Scholar] [CrossRef]
- Hirt, C.W.; Nichols, B.D. Volume of fluid (VOF) method for the dynamics of free boundaries. J. Comput. Phys. 1981, 39, 201–225. [Google Scholar] [CrossRef]
- Sethian, J.A.; Smereka, P. Level set methods for fluid interfaces. Annu. Rev. Fluid Mech. 2003, 35, 341–372. [Google Scholar] [CrossRef]
- Sbragaglia, M.; Benzi, R.; Biferale, L. Surface roughness-hydrophobicity coupling in microchannel and nanochannel flows. Phys. Rev. Lett. 2006, 97, 204503. [Google Scholar] [CrossRef]
- Krüger, T.; Shardt, O.; Kuzmin, A. The Lattice Boltzmann Method Principles and Practice; Springer Nature: Basel, Switzerland, 2017; pp. 54–56. [Google Scholar]
- Chen, S.; Doolen, G.D. Lattice boltzmann method for fluid flows. Annu. Rev. Fluid Mech. 1998, 30, 329–364. [Google Scholar] [CrossRef]
- Shan, X.; Chen, H. Lattice boltzmann model for simulating flows with multiple phases and components. Phys. Rev. E 1993, 47, 1815–1819. [Google Scholar] [CrossRef] [PubMed]
- Shan, X.; Chen, H. Simulation of nonideal gases and liquid-gas phase transitions by the lattice boltzmann equation. Phys. Rev. E 1994, 49, 2941–2948. [Google Scholar] [CrossRef] [PubMed]
- Li, Q.; Luo, K.H.; Li, X.J. Forcing scheme in pseudopotential lattice Boltzmann model for multiphase flows. Phys. Rev. E 2012, 86, 016709. [Google Scholar] [CrossRef] [PubMed]
- Swift, M.R.; Orlandini, E.; Osborn, W.R. Lattice boltzmann simulations of liquid-gas and binary fluid systems. Phys. Rev. E 1996, 54, 5041–5052. [Google Scholar] [CrossRef]
- Grunau, D.; Chen, S.; Eggert, K. A lattice Boltzmann model for multiphase fluid flows. Phys. Fluids A 1993, 5, 2557. [Google Scholar] [CrossRef]
- He, X.; Shan, X.; Doolen, G.D. Discrete boltzmann equation model for nonideal gases. Phys. Rev. E 1998, 68, 035302. [Google Scholar] [CrossRef]
- He, X.; Doolen, G.D. Thermodynamic foundations of kinetic theory and lattice boltzmann models for multiphase flows. J. Stat. Phys. 2002, 107, 309–328. [Google Scholar] [CrossRef]
- Chen, L.; Kang, Q.; Mu, Y. A critical review of the pseudopotential multiphase lattice Boltzmann model: Methods and applications. Int. J. Heat Mass Transfer. 2014, 76, 210–236. [Google Scholar] [CrossRef]
- Yang, L.; Yu, Y.; Pei, H.; Gao, Y.; Hou, G. Lattice Boltzmann simulations of liquid flows in microchannel with an improved slip boundary condition. Chem. Eng. Sci. 2019, 202, 105–117. [Google Scholar] [CrossRef]
- Graeilinezhad, M.; Afrouzi, H.H.; Jahanian, O.; Mehrizi, A.A. Numerical investigation of pseudoplastic fluid flow and heat transfer in a microchannel under velocity slip effect. Eng. Anal. Bound. Elem. 2023, 155, 501–510. [Google Scholar] [CrossRef]
- Karimipour, A.; D’Orazio, A.; Goodarzi, M. Develop the lattice Boltzmann method to simulate the slip velocity and temperature domain of buoyancy forces of FMWCNT nanoparticles in water through a micro flow imposed to the specified heat flux. Phys. A Stat. Mech. Its Appl. 2018, 509, 729–745. [Google Scholar] [CrossRef]
- Mehrizi, A.A.; Besharati, F.; Jahanian, O.; Hassanzadeh Afrouzi, H. Numerical investigation of conjugate heat transfer in a microchannel with a hydrophobic surface utilizing nanofluids under a magnetic field. Phys. Fluids 2021, 33, 052002. [Google Scholar] [CrossRef]
- Prajapati, Y.K. Influence of fin height on heat transfer and fluid flow characteristics of rectangular microchannel heat sink. Int. J. Heat Mass Transf. 2019, 137, 1041–1052. [Google Scholar] [CrossRef]
- Bhandari, P.; Prajapati, Y.K. Thermal performance of open microchannel heat sink with variable pin fin height. Int. J. Therm. Sci. 2021, 159, 106609. [Google Scholar] [CrossRef]
- Prajapati, Y.K.; Bhandari, P. Flow boiling instabilities in microchannels and their promising solutions—A review. Exp. Therm. Fluid Sci. 2017, 88, 576–593. [Google Scholar] [CrossRef]
- Prajapati, Y.K.; Pathak, M.; Khan, M.K. A comparative study of flow boiling heat transfer in three different configurations of microchannels. Int. J. Heat Mass Transf. 2015, 85, 711–722. [Google Scholar] [CrossRef]
- Rahmati, A.R.; Zarareh, A. Application of a modified pseudopotential lattice Boltzmann model for simulation of splashing phenomenon. Eur. J. Mech. B/Fluids 2018, 70, 19–35. [Google Scholar] [CrossRef]
- Wu, S.; Chen, Y.; Chen, L.Q. Three-dimensional pseudopotential lattice Boltzmann model for multiphase flows at high density ratio. Phys. Rev. E 2020, 102, 053308. [Google Scholar] [CrossRef]
- Coclite, A.; Gonnella, G.; Lamura, A. Pattern formation in liquid-vapor systems under periodic potential and shear. Phys. Rev. E 2014, 89, 063303. [Google Scholar] [CrossRef]
- Negro, G.; Busuioc, S.; Ambruş, V.E.; Gonnella, G.; Lamura, A.; Sofonea, V. Comparison between isothermal collision-streaming and finite-difference lattice Boltzmann models. Int. J. Mod. Phys. C 2019, 30, 1941005. [Google Scholar] [CrossRef]
- Giordano, M.G.; Bonelli, F.; Carenza, L.N.; Gonnella, G.; Negro, G. Activity-induced isotropic-polar transition in active liquid crystals. Europhys. Lett. 2021, 133, 58004. [Google Scholar] [CrossRef]
- Favuzzi, I.; Carenza, L.; Corberi, F.; Gonnella, G.; Lamura, A.; Negro, G. Rheology of active emulsions with negative effective viscosity. Soft Mater. 2021, 19, 334–345. [Google Scholar] [CrossRef]
- Peng, C.; Ayala, L.F.; Ayala, O.M.; Wang, L.P. Isotropy and spurious currents in pseudo-potential multiphase lattice Boltzmann models. Comput. Fluids 2019, 191, 104257. [Google Scholar] [CrossRef]
- Guo, Z.; Zheng, C.; Shi, B. Discrete lattice effects on the forcing term in the lattice Boltzmann method. Phys. Rev. E 2002, 65, 046308. [Google Scholar] [CrossRef]
- Kupershtokh, A.L.; Medvedev, D.A.; Karpov, D.I. On equations of state in a lattice boltzmann method. Comput. Math. Appl. 2009, 58, 965–974. [Google Scholar] [CrossRef]
- Shan, X. Analysis and reduction of the spurious current in a class of multiphase lattice Boltzmann models. Phys. Rev. E 2006, 73, 047701. [Google Scholar] [CrossRef]
- Huang, H.; Thorne, D.T.; Schaap, M.G. Proposed approximation for contact angles in Shan-and-Chen-type multicomponent multiphase lattice Boltzmann models. Phys. Rev. E 2007, 76, 066701. [Google Scholar] [CrossRef]
- Liu, X.; Cheng, P.; Quan, X. Lattice Boltzmann simulations for self-propelled jumping of droplets after coalescence on a superhydrophobic surface. Int. J. Heat Mass Transfer. 2014, 73, 195–200. [Google Scholar] [CrossRef]
- Wong, V.L.; Loizou, K.; Lau, P.L. Numerical studies of shear-thinning droplet formation in a microfluidic T-junction using two-phase level-SET method. Chem. Eng. Sci. 2017, 174, 157–173. [Google Scholar] [CrossRef]
- Sivasamy, J.; Wong, T.N.; Nguyen, N.T. An investigation on the mechanism of droplet formation in a microfluidic T-junction. Microfluid. Nanofluid. 2011, 11, 1–10. [Google Scholar] [CrossRef]
- Thorsen, T.; Roberts, R.W.; Arnold, F.H.; Quake, S.R. Dynamic Pattern Formation in a Vesicle-Generating Microfluidic Device. Phys. Rev. Lett. 2001, 86, 4163–4166. [Google Scholar] [CrossRef]
- Shui, L.; Berg, A.V.D.; Eijkel, J.C.T. Capillary instability, squeezing, and shearing in head-on microfluidic devices. J. Appl. Phys. 2010, 106, 124305. [Google Scholar] [CrossRef]
- He, X.; Zou, Q.; Luo, L.S. Analytic solutions of simple flows and analysis of nonslip boundary conditions for the Lattice Boltzmann BGK model. J. Stat. Phys. 1997, 87, 115–136. [Google Scholar] [CrossRef]
- Wu, Z.; Cao, Z.; Sundén, B. Liquid-liquid flow patterns and slug hydrodynamics in square microchannels of cross-shaped junctions. Chem. Eng. Sci. 2017, 174, 56–66. [Google Scholar] [CrossRef]
- Xu, J.H.; Li, S.W.; Tan, J. Correlations of droplet formation in T-junction microfluidic devices: From squeezing to dripping. Microfluid. Nanofluid. 2008, 5, 711–717. [Google Scholar] [CrossRef]
- Zwan, E.V.D.; Sman, R.V.D. Lattice Boltzmann simulations of droplet formation during microchannel emulsification. J. Colloid Interface Sci. 2009, 335, 112–122. [Google Scholar] [CrossRef]
- Bashir, S.; Rees, J.M.; Zimmerman, W.B. Simulations of microfluidic droplet formation using the two-phase level set method. Chem. Eng. Sci. 2011, 66, 4733–4741. [Google Scholar] [CrossRef]
- Wu, L.; Tsutahara, M.; Kim, L.S. Numerical simulations of droplet formation in a cross-junction microchannel by the lattice Boltzmann method. Int. J. Numer. Methods Fluids 2008, 57, 793–810. [Google Scholar] [CrossRef]
- Schulz, V.P.; Abbaspour, N.; Baumeister, T.; Röder, T. Lattice-Boltzmann simulation and experimental validation of a microfluidic T-junction for slug flow generation. ChemEngineering 2019, 3, 48–62. [Google Scholar] [CrossRef]
- Montessori, A.; Tiribocchi, A.; Bogdan, M.; Bonaccorso, F.; Lauricella, M.; Guzowski, J.; Succi, S. Translocation dynamics of high-internal phase double emulsions in narrow channels. Langmuir 2021, 37, 9026–9033. [Google Scholar] [CrossRef] [PubMed]
- Negro, G.; Carenza, L.N.; Gonnella, G.; Mackay, F.; Morozov, A.; Marenduzzo, D. Yield-stress transition in suspensions of deformable droplets. Sci. Adv. 2023, 9, 8106. [Google Scholar] [CrossRef] [PubMed]












| Value of Gc | 1.4 | 1.5 | 1.9 | 2.0 |
| Surface tension | 0.041 | 0.050 | 0.092 | 0.101 |
| Value of Gc | 1.4 | 1.5 | 1.9 | 2.0 |
| Slope | 108.99563 | 98.66357 | 60.73874 | 50.25828 |
| Intercept | 90.36321 | 90.74755 | 89.45507 | 89.82452 |
| Parameter | Value |
|---|---|
| Density of oil (hexadecane) | 773.4 kg·m−3 |
| Density of water | 998.2 kg·m−3 |
| Dynamic viscosity of oil | 3.28 mPa·s |
| Dynamic viscosity of water | 1.005 mPa·s |
| Interfacial tension | 0.01 N·m−1 |
| Static contact angle | 130° |
Disclaimer/Publisher’s Note: The statements, opinions and data contained in all publications are solely those of the individual author(s) and contributor(s) and not of MDPI and/or the editor(s). MDPI and/or the editor(s) disclaim responsibility for any injury to people or property resulting from any ideas, methods, instructions or products referred to in the content. |
© 2023 by the authors. Licensee MDPI, Basel, Switzerland. This article is an open access article distributed under the terms and conditions of the Creative Commons Attribution (CC BY) license (https://creativecommons.org/licenses/by/4.0/).
Share and Cite
Li, J.; Liu, X. Pseudopotential Lattice Boltzmann Model for Immiscible Multicomponent Flows in Microchannels. Processes 2023, 11, 2193. https://doi.org/10.3390/pr11072193
Li J, Liu X. Pseudopotential Lattice Boltzmann Model for Immiscible Multicomponent Flows in Microchannels. Processes. 2023; 11(7):2193. https://doi.org/10.3390/pr11072193
Chicago/Turabian StyleLi, Jing, and Xiaobin Liu. 2023. "Pseudopotential Lattice Boltzmann Model for Immiscible Multicomponent Flows in Microchannels" Processes 11, no. 7: 2193. https://doi.org/10.3390/pr11072193
APA StyleLi, J., & Liu, X. (2023). Pseudopotential Lattice Boltzmann Model for Immiscible Multicomponent Flows in Microchannels. Processes, 11(7), 2193. https://doi.org/10.3390/pr11072193
