Experimental Study on the Damage and Failure Characteristics of High-Temperature Granite after Liquid-Nitrogen Cooling
Abstract
1. Introduction
2. Materials and Methods
2.1. Sample Preparation
2.2. Test Equipment
- Ultrasonic test. The NM-4A non-metallic ultrasonic detector was used to acquire the ultrasonic velocity of the high-temperature granite before and after natural cooling and liquid-nitrogen cooling treatment. Each sample was measured three times, and the average value was taken as the ultrasonic velocity. According to the variation of ultrasonic velocity, the degree of damage to the granite can be preliminarily estimated.
- Heating treatment. Because granite samples were prepared in a room-temperature environment, high-temperature rock samples with different initial temperatures cannot be directly obtained. Therefore, to carry out the related tests of high-temperature granite, samples should be heated to a predetermined temperature first, and then the effect of liquid-nitrogen cooling on the physical and mechanical properties can be evaluated. The heating equipment used in the test process was the MXQ1700 Muffle furnace. The maximum heating temperature of the furnace was 1600 °C, which allowed adjustment to the heating rate according to the test requirements. The heating rate used in this test was 4 °C/min.
- Cooling treatment. The high-temperature granite was cooled in two ways: natural cooling and liquid-nitrogen cooling. For natural cooling, the high-temperature granite was restored to normal temperature in air. For liquid-nitrogen cooling, the high-temperature granite was submerged in a liquid-nitrogen tank for full cooling. Because the natural cooling and liquid-nitrogen cooling treatments of granite samples experienced the same heating process, the effect of liquid-nitrogen cooling on the mechanical properties and failure characteristics of high-temperature granite could be effectively evaluated by comparing the change trends of the related parameters samples with the same heating temperature.
- Brazilian splitting tests. The granite samples cooled naturally and with liquid nitrogen were loaded into the CSS-88020 electronic universal test machine to obtain the load–displacement curves and tensile strength. The experimental machine can conduct mechanical tests of nonlinear materials, such as rock and concrete. The maximum applied load was 100 KN and the displacement accuracy was 0.001 mm. The loading rate was adjusted by the device’s system. The displacement loading mode used in this work and the loading rate was 0.05 mm/min. During the loading process, the load, displacement, and other parameters of samples were recorded in real time.
- AE test. In the process of rock deformation and failure, the release of strain energy will produce AE signals. The real-time rupture characteristics of the rock can be obtained by the acquisition, analysis, and processing of AE signals, which can provide a basis for the subsequent analysis of mechanical properties. During the Brazilian splitting tests, the PCI-2 AE monitoring system was used to synchronously record the AE signals of the granite. The equipment is mainly composed of an AE probe, 8-channel PC-8 AE plate, preamplifier, waveform and filter module, energy module, and acoustic transmission signal receiver and analysis module. The signal acquisition frequency was 0.001–3 MHz and the maximum threshold value of the signal was 100 dB, to reduce the influence of environmental noise on the test results and ensure enough AE signals were being collected. The AE threshold value set in this test was 40 dB, and the signal acquisition frequency was 0.14 MHz.
2.3. Test Method
3. Results
3.1. Change in Ultrasonic Velocity
3.2. Deformation and Strength Characteristics
3.2.1. Change Law of Tensile Strength
3.2.2. Change in Splitting Modulus
3.2.3. Analysis of the Cooling Effect
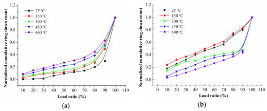
3.3. Characteristics of the AE Parameters
3.3.1. AE Parameters Characteristics for Granite Deformation and Failure
3.3.2. The Influence of Liquid-Nitrogen Cooling on the Failure of High-Temperature Granite
3.4. Characteristics of the Energy Evolution
3.4.1. Energy Evolution Mechanism during Rock Loading
3.4.2. The Influence Law of Liquid-Nitrogen Cooling on Energy Evolution
- Effect on the elastic energy
- Effect on dissipated energy
- Effect on the absorbed energy
- Effect on energy distribution
4. Discussion
5. Conclusions
- (1)
- The ultrasonic velocity of high-temperature granite samples after both natural cooling and liquid-nitrogen cooling decreases with the increase in heating temperature. At each heating temperature, the ultrasonic velocity of the liquid-nitrogen-cooled samples was lower than that of the naturally cooled samples.
- (2)
- Heating treatment can cause thermal damage to the granite sample and thus reduce the tensile strength and splitting modulus of the granite. With the increase of heating temperature, the tensile strength and splitting modulus decreased obviously. At the same heating temperature, the tensile strength and splitting modulus of the liquid-nitrogen-cooled sample were lower than those of the naturally cooled sample.
- (3)
- When the heating temperature was lower than 150 °C, the naturally cooled sample showed no obvious AE signals at low load levels. However, the ring-down counts of the liquid-nitrogen-cooled samples at a low load level were similar to that of the naturally cooled samples at a high load level. With the increase in heating temperature, the ring-down counts of the liquid-nitrogen-cooled samples were significantly higher than that of the naturally cooled samples.
- (4)
- When the heating temperature was less than 450 °C, the elastic energy stored in the liquid-nitrogen-cooled samples was lower than that stored in the naturally cooled samples under the same load level. When the heating temperature reached 600 °C, the elastic energy of the naturally cooled and liquid-nitrogen-cooled samples was close.
- (5)
- With the increase in heating temperature, the dissipated energy of high-temperature granite after both natural cooling and liquid-nitrogen cooling increases first and then decreases. Under the same heating temperature, the dissipated energy of high-temperature granite after natural cooling treatment was greater than that after liquid-nitrogen cooling treatment. At the same load level and heating temperature, the absorbed energy of the naturally cooled sample is greater than that of the liquid-nitrogen-cooled sample.
- (6)
- Overall, liquid-nitrogen cooling can bring significant thermal damage to high-temperature granite. After liquid-nitrogen cooling, microcracks in high-temperature granite increased and mechanical strength degraded. Consequently, microcracks easily expanded and propagated under external force.
Author Contributions
Funding
Data Availability Statement
Conflicts of Interest
References
- Zhou, Z.; Liu, S.; Liu, J. Study on the Characteristics and Development Strategies of Geothermal Resources in China. J. Nat. Resour. 2015, 30, 1210–1221. [Google Scholar]
- Lei, H. Coupling Mechanics with Thermal-Hydrodynamic Processes for Heat Development in Enhanced Geothermal Systems (EGS). Ph.D. Thesis, Jilin University, Changchun, China, 2014. [Google Scholar]
- Penny, G.S.; Conway, M.W.; Schraufnagel, R.A. The Evaluation of Proppant Transport and Cleanup of Foamed Fluids Used in Hydraulic Fracturing of Shallow, Water-Sensitive Reservoirs. In Proceedings of the SPE Eastern Regional Meeting, Pittsburgh, PA, USA, 2–4 November 1993; Society of Petroleum Engineers: The Woodlands, TX, USA, 1993. [Google Scholar]
- Rozell, D.J.; Reaven, S.J. Water pollution risk associated with natural gas extraction from the Marcellus Shale. Risk Anal. 2012, 32, 1382–1393. [Google Scholar] [CrossRef]
- Gregory, K.B.; Vidic, R.D.; Dzombak, D.A. Water management challenges associated with the production of shale gas by hydraulic fracturing. Elements 2011, 7, 181–186. [Google Scholar] [CrossRef]
- Kim, K.M.; Kemeny, J. Effect of thermal shock and rapid unloading on mechanical rock properties. In Proceedings of the 43rd US Rock Mechanics Symposium & 4th US-Canada Rock Mechanics Symposium, Asheville North, CA, USA, 28 June–1 July 2009; American Rock Mechanics Association: Alexandria, VA, USA, 2009. [Google Scholar]
- Shouldice, S.P. Liquid nitrogen developments and applications in drilling and completion operations. J. Can. Pet. Technol. 1964, 3, 158–164. [Google Scholar] [CrossRef]
- Mcdaniel, B.W.; Grundmann, S.R.; Kendrick, W.D.; Wilson, D.R.; Jordan, S.W. Field applications of cryogenic nitrogen as a hydraulic fracturing fluid. In Proceedings of the SPE Annual Technical Conference and Exhibition, San Antonio, TX, USA, 8–10 October 1997; Society of Petroleum Engineers: The Woodlands, TX, USA, 1997. [Google Scholar]
- Grundmann, S.R.; Rodvelt, G.D.; Dials, G.A. Cryogenic nitrogen as a hydraulic fracturing fluid in the Devonian Shale. In Proceedings of the SPE Eastern Regional Meeting, Pittsburgh, PA, USA, 9–11 November 1998; Society of Petroleum Engineers: The Woodlands, TX, USA, 1998. [Google Scholar]
- Ren, S.; Fan, Z.; Zhang, L. Mechanisms and Experimental Study of Thermal-shock Effect on Coal-rock Using Liquid Nitrogen. Chin. J. Rock Mech. Eng. 2013, 32, 3790–3794. [Google Scholar]
- Cai, C.; Li, G.; Huang, Z. Experiment of coal damage due to super-cooling with liquid nitrogen. J. Nat. Gas Sci. Eng. 2015, 22, 42–48. [Google Scholar] [CrossRef]
- Cai, C.; Li, G.; Huang, Z. Experimental study of the effect of liquid nitrogen cooling on rock pore structure. J. Nat. Gas Sci. Eng. 2014, 21, 507–517. [Google Scholar] [CrossRef]
- Cai, C.; Gao, F.; Li, G. Evaluation of coal damage and cracking characteristics due to liquid nitrogen cooling on the basis of the energy evolution laws. J. Nat. Gas Sci. Eng. 2016, 29, 30–36. [Google Scholar] [CrossRef]
- Cai, C.; Gao, F.; Yang, Y. The effect of liquid nitrogen cooling on coal cracking and mechanical properties. Energy Explor. Exploit. 2018, 36, 1609–1628. [Google Scholar] [CrossRef]
- Cha, M.; Yin, X.; Kneafsey, T. Cryogenic fracturing for reservoir stimulation-Laboratory studies. J. Pet. Sci. Eng. 2014, 124, 436–450. [Google Scholar] [CrossRef]
- Cha, M.; Alqahtani, N.B.; Yao, B. Cryogenic fracturing of wellbores under true triaxial-confining stresses: Experimental investigation. SPE J. 2018, 23, 271–289. [Google Scholar] [CrossRef]
- Cha, M.; Alqahtani, N.B.; Yin, X. Laboratory system for studying cryogenic thermal rock fracturing for well stimulation. J. Pet. Sci. Eng. 2017, 156, 780–789. [Google Scholar] [CrossRef]
- Zhai, C.; Qin, L.; Liu, S. Pore Structure in Coal: Pore Evolution after Cryogenic Freezing with Cyclic Liquid Nitrogen Injection and Its Implication on Coalbed Methane Extraction. Energy Fuels 2016, 30, 6009–6020. [Google Scholar] [CrossRef]
- Zhai, C.; Wu, S.; Liu, S. Experimental study on coal pore structure deterioration under freeze-thaw cycles. Environ. Earth Sci. 2017, 76, 1–12. [Google Scholar] [CrossRef]
- Yao, B.; Wang, L.; Yin, X. Numerical modeling of cryogenic fracturing process on laboratory-scale Niobrara shale samples. J. Nat. Gas Sci. Eng. 2017, 48, 169–177. [Google Scholar] [CrossRef]
- Zhang, S.; Huang, Z.; Li, G. Numerical analysis of transient conjugate heat transfer and thermal stress distribution in geothermal drilling with high-pressure liquid nitrogen jet. Appl. Therm. Eng. 2018, 129, 1348–1357. [Google Scholar] [CrossRef]
- Zhang, S.; Huang, Z.; Wang, H. Thermal characteristics analysis with local thermal non-equilibrium model during liquid nitrogen jet fracturing for HDR reservoirs. Appl. Therm. Eng. 2018, 143, 482–492. [Google Scholar] [CrossRef]
- Yang, R.; Huang, Z.; Shi, Y. Laboratory investigation on cryogenic fracturing of hot dry rock under triaxial-confining stresses. Geothermics 2019, 79, 46–60. [Google Scholar] [CrossRef]
- Wu, X.; Huang, Z.; Song, H. Variations of Physical and Mechanical Properties of Heated Granite After Rapid Cooling with Liquid Nitrogen. Rock Mech. Rock Eng. 2019, 52, 2123–2139. [Google Scholar] [CrossRef]
- Wu, X.; Huang, Z.; Zhang, S. Damage Analysis of High-Temperature Rocks Subjected to LN2 Thermal Shock. Rock Mech. Rock Eng. 2019, 52, 2585–2603. [Google Scholar] [CrossRef]
- Wu, X.; Huang, Z.; Cheng, Z. Effects of cyclic heating and LN2-cooling on the physical and mechanical properties of granite. Appl. Therm. Eng. 2019, 156, 99–110. [Google Scholar] [CrossRef]
- Hong, C.; Yang, R.; Huang, Z.; Zhuang, X.; Wen, H.; Hu, X. Enhance liquid nitrogen fracturing performance on hot dry rock by cyclic injection. Pet. Sci. 2023, 20, 951–972. [Google Scholar] [CrossRef]
- Hou, P.; Gao, F.; Yang, Y. Effect of bedding plane direction on acoustic emission characteristics of shale in Brazilian tests. Rock Soil Mech. 2016, 37, 1603–1612. [Google Scholar]
- Michlmayr, G.; Cohen, D.; Or, D. Sources and characteristics of acoustic emissions from mechanically stressed geologic granular media—A review. Earth-Sci. Rev. 2012, 112, 97–114. [Google Scholar] [CrossRef]
- Liu, X. Study on the Deformation and Failure Characteristics and the Permeation Behavior of Gas-Saturated Coal. Ph.D. Thesis, China University of Mining and Technology, Xuzhou, China, 2013. [Google Scholar]
- Zhang, Z. Energy Evolution Mechanism during Rock Deformation and Failure. Ph.D. Thesis, China University of Mining and Technology, Xuzhou, China, 2013. [Google Scholar]
- Xie, H.; Ju, Y.; Li, L. Criteria for Strength and Structural Failure of Rocks Based on Energy Dissipation and Energy Release Principles. Chin. J. Rock Mech. Eng. 2005, 24, 3003–3010. [Google Scholar]
- Cai, C.; Ren, K.; Tao, Z.; Xing, Y.; Gao, F.; Zou, Z.; Feng, Y. Experimental Investigation of the Damage Characteristics of High-Temperature Granite Subjected to Liquid Nitrogen Treatment. Nat. Resour. Res. 2022, 31, 2603–2627. [Google Scholar] [CrossRef]
- Wang, X.Q.; Schubnel, A.; Fortin, J. Physical properties and brittle strength of thermally cracked granite under confinement. J. Geophys. Res. Solid Earth 2013, 118, 6099–6112. [Google Scholar] [CrossRef]
- Horii, H.; Nemat-Nasser, S. Brittle Failure in Compression: Splitting, Faulting and Brittle-Ductile Transition. Philosophical Transactions for the Royal Society of London. Ser. A Math. Phys. Sci. 1986, 139, 337–374. [Google Scholar]
- Lu, M.; Su, Y.; Zhan, S.; Almarbat, A. Modeling for reorientation and potential of enhanced oil recovery in refracturing. Adv. Geo-Energy Res. 2020, 4, 20–28. [Google Scholar] [CrossRef]




















| Rock Sample Type | Heating Temperature (°C) | Number | Process Mode |
|---|---|---|---|
| Naturally cooled sample | 25 | 25-A-1#, 25-A-2# | After heating to the target temperature, cooled naturally to room temperature |
| 150 | 150-A-1#, 150-A-2# | ||
| 300 | 300-A-1#, 300-A-2# | ||
| 450 | 450-A-1#, 450-A-2# | ||
| 600 | 600-A-1#, 600-A-2# | ||
| Liquid-nitrogen-cooled sample | 25 | 25-L-1#, 25-L-2# | Return to normal temperature after cooling with liquid nitrogen |
| 150 | 150-L-1#, 150-L-2# | ||
| 300 | 300-L-1#, 300-L-2# | ||
| 450 | 450-L-1#, 450-L-2# | ||
| 600 | 600-L-1#, 600-L-2# |
Disclaimer/Publisher’s Note: The statements, opinions and data contained in all publications are solely those of the individual author(s) and contributor(s) and not of MDPI and/or the editor(s). MDPI and/or the editor(s) disclaim responsibility for any injury to people or property resulting from any ideas, methods, instructions or products referred to in the content. |
© 2023 by the authors. Licensee MDPI, Basel, Switzerland. This article is an open access article distributed under the terms and conditions of the Creative Commons Attribution (CC BY) license (https://creativecommons.org/licenses/by/4.0/).
Share and Cite
Cai, C.; Wang, B.; Zou, Z.; Feng, Y.; Tao, Z. Experimental Study on the Damage and Failure Characteristics of High-Temperature Granite after Liquid-Nitrogen Cooling. Processes 2023, 11, 1818. https://doi.org/10.3390/pr11061818
Cai C, Wang B, Zou Z, Feng Y, Tao Z. Experimental Study on the Damage and Failure Characteristics of High-Temperature Granite after Liquid-Nitrogen Cooling. Processes. 2023; 11(6):1818. https://doi.org/10.3390/pr11061818
Chicago/Turabian StyleCai, Chengzheng, Bo Wang, Zengxin Zou, Yinrong Feng, and Zhixiang Tao. 2023. "Experimental Study on the Damage and Failure Characteristics of High-Temperature Granite after Liquid-Nitrogen Cooling" Processes 11, no. 6: 1818. https://doi.org/10.3390/pr11061818
APA StyleCai, C., Wang, B., Zou, Z., Feng, Y., & Tao, Z. (2023). Experimental Study on the Damage and Failure Characteristics of High-Temperature Granite after Liquid-Nitrogen Cooling. Processes, 11(6), 1818. https://doi.org/10.3390/pr11061818

