Numerical Experiments on Performance Comparisons of Conical Type Direct-Acting Relief Valve—With or without Conical Angle in Valve Element and Valve Seat
Abstract
1. Introduction
2. Working Principles of Three Kinds of CTDARV
- (1)
- Before movement of the valve element, as shown in Figure 1a–c.
- (2)
- After movement of valve element, as shown in Figure 1d–f
3. AMESIM Simulation Models of Three Kinds of CTDARV
- (1)
- The operating temperature and ambient temperature remain constant;
- (2)
- The physical and chemical properties of the working medium remain constant;
- (3)
- No geometric shape error and assembly error in all parts;
- (4)
- No internal and external leakage;
- (5)
- No deformation in all parts during operation.
4. Results and Discussion
4.1. Pressure Performance Comparisons of the Three Kinds of CTDARV
4.1.1. Effect of VED on Pressure Response
4.1.2. Effect of VSD on Pressure Response
4.1.3. Effect of VEM on Pressure Response
4.1.4. Effect of SS on Pressure Response
4.1.5. Effect of CAVE&CAVS on Pressure Response
4.1.6. Effect of OD on Pressure Response
4.2. Flowrate Performance Comparisons of the Three Kinds of CTDARV
4.2.1. Effect of VED on Flowrate Response
4.2.2. Effect of VSD on Flowrate Response
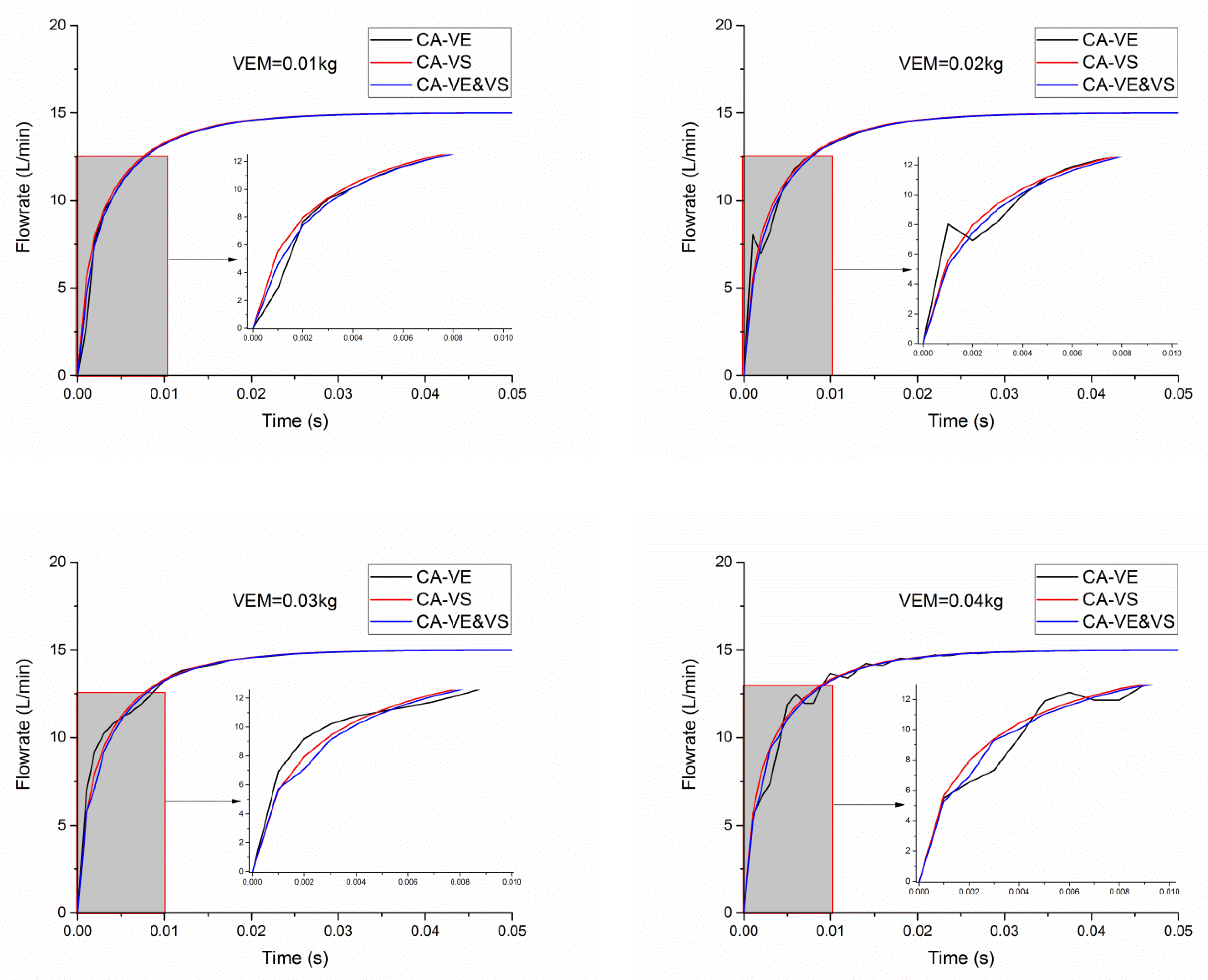
4.2.3. Effect of VEM on Flowrate Response
4.2.4. Effect of SS on Flowrate Response
4.2.5. Effect of CAVE&CAVS on Flowrate Response
4.2.6. Effect of OD on Flowrate Response
4.3. Displacement Performance Comparisons of the Three Kinds of CTDARV
4.3.1. Effect of VED on Displacement Response
4.3.2. Effect of VSD on Displacement Response
4.3.3. Effect of VEM on Displacement Response
4.3.4. Effect of SS on Displacement Response
4.3.5. Effect of CAVE&CAVS on Displacement Response
4.3.6. Effect of OD on Displacement Response
4.4. Velocity Performance Comparisons of the Three Kinds of CTDARV
4.4.1. Effect of VED on Velocity Response
4.4.2. Effect of VSD on Velocity Response
4.4.3. Effect of VEM on Velocity Response
4.4.4. Effect of SS on Velocity Response
4.4.5. Effect of CAVE&CAVS on Velocity Response
4.4.6. Effect of OD on Velocity Response
5. Conclusions and Future Work
- (1)
- When the values of VED, VSD, VEM, SS, CAVE&CAVS, and OD are the same, the three kinds of CTDARV will eventually reach their respective stable pressure and stable displacement and will eventually reach the same stable flowrate and velocity. When all parameters have the same value, CA-VE has the highest stable pressure, CA-VE&VS has the highest stable displacement, CA-VS has the lowest stable pressure, and CA-VE has the lowest stable displacement. The stable pressure of CA-VE is significantly higher than that of CA-VS and CA-VE&VS. The stable displacement of CA-VE&VS is significantly higher than that of CA-VE and CA-VS, and the stable displacement of CA-VE and CA-VS has little difference.
- (2)
- With the increase of the VED from 13 mm to 16 mm, the stable pressure of CA-VE remains constant, while the stable pressure of CA-VS and CA-VE&VS both decreases. As the VSD increases from 3 mm to 6 mm, the stable pressure of CA-VE and CA-VE&VS decreases, and the stable pressure of CA-VE decreases significantly. The pressure of CA-VS and CA-VE&VS does not fluctuate, and the pressure oscillation of CA-VE decreases gradually. With the increase of VEM from 0.01 kg to 0.04 kg, the stable pressure of CA-VE, CA-VS and CA-VE&VS remained unchanged, the pressure of CA-VS and CA-VE&VS did not fluctuate, and the pressure oscillation of CA-VE gradually increased. With the increase of SS from 5 N/mm to 20 N/mm, the stable pressure of CA-VE, CA-VS, and CA-VE&VS increased, but the increase was very small. With the increase of CAVE&CAVS from 15 degrees to 60 degrees, the stable pressure of CA-VE, CA-VS, and CA-VE&VS decreased, but the decrease was not significant. With the OD increasing from 0.8 mm to 1.4 mm, the stable pressure of CA-VE, CA-VS, and CA-VE&VS remained unchanged, the pressure of CA-VS and CA-VE&VS did not fluctuate, and the pressure oscillation of CA-VE gradually increased.
- (3)
- With the increase of the VED from 13 mm to 16 mm, the stable displacement of CA-VE does not change, while the stable displacement of CA-VS and CA-VE&VS increases. As the VSD increases from 3 mm to 6 mm, the stable displacement of CA-VE increases (though the increase is small), while the stable displacement of CA-VE&VS decreases. When the VSD is 4 mm–6 mm, the stable displacement of CA-VS remains unchanged. With the increase of the VEM from 0.01 kg to 0.04 kg, the stable displacement of CA-VE, CA-VS, and CA-VE&VS remained unchanged. As the SS increases from 5 N/mm to 20 N/mm, the stable displacement of CA-VE, CA-VS, and CA-VE&VS decreases. As CAVE&CAVS increases from 15 degrees to 60 degrees, the stable displacement of CA-VE, CA-VS, and CA-VE&VS decreases. With the increase of OD from 0.8 mm to 1.4 mm, the stable displacement of CA-VE, CA-VS, and CA-VE&VS remained unchanged.
- (4)
- With the increase of the VED from 13 mm to 16 mm, the velocity of CA-VE remained unchanged, while the velocity of CA-VS and CA-VE&VS increased. The velocity of CA-VE, CA-VS, and CA-VE&VS reached the maximum value in 0.001 s. As the VSD increases from 4 mm to 6 mm, the velocity of CA-VS remains unchanged, the velocity of CA-VE and CA-VE&VS decreases, and the velocity of CA-VE, CA-VS, and CA-VE&VS reaches the maximum value at 0.001 s. With the increase of VEM from 0.01 kg to 0.04 kg, the velocity oscillation of CA-VE gradually increases, and the velocity of CA-VS and CA-VE&VS shows little change. As SS increases from 5 N/mm to 20 N/mm, the velocity of CA-VE increases, while the velocity of CA-VS and CA-VE&VS decreases, but the increase and decrease are not significant. When CAVE&CAVS is 15 degrees and 30 degrees, the velocity of CA-VE is lower than that of CA-VS and CA-VE&VS. At 0.001 s, when CAVE&CAVS is 45 degrees and 60 degrees, the velocity of CA-VE is higher than that of CA-VS and CA-VE&VS. With the increase of OD from 0.8 mm to 1.4 mm, the velocity oscillation of CA-VE increases gradually, and the velocity of CA-VS and CA-VE&VS changes little.
Author Contributions
Funding
Data Availability Statement
Conflicts of Interest
References
- Yuan, C.; Zhu, L.S.; Liu, S.Q.; Zunling, D.; Li, H. Numerical study on the cavitating flow through poppet valves concerning the influence of flow instability on cavitation dynamics. J. Mech. Sci. Technol. 2022, 36, 761–773. [Google Scholar] [CrossRef]
- Min, W.; Li, C.; Wang, H.Y.; Zheng, Z.; Zhao, J.F.; Ji, H. Discharge coefficient of pilot poppet valve at low Reynolds number. Flow Meas. Instrum. 2022, 85, 10. [Google Scholar] [CrossRef]
- Hao, Q.H.; Wu, W.R.; Tian, G.T. Study on reducing both flow force and cavitation in poppet valves. Proc. Inst. Mech. Eng. Part C-J. Mech. Eng. Sci. 2022, 236, 11160–11179. [Google Scholar] [CrossRef]
- Yuan, C.; Zhu, L.S.; Du, Z.L.; Liu, S.Q. Numerical investigation into the cavitating jet inside water poppet valves with varied valve seat structures. Eng. Appl. Comp. Fluid Mech. 2021, 15, 391–412. [Google Scholar] [CrossRef]
- Fornaciari, A.; Zardin, B.; Borghi, M.; Ceriola, M. Analysis of the flow force compensation in relief valves with conical poppet. In Proceedings of the 33rd Bath/ASME International Symposium on Fluid Power and Motion Control (FPMC), Online, 9–11 September 2020. [Google Scholar]
- Min, W.; Wang, H.Y.; Zheng, Z.; Wang, D.; Ji, H.; Wang, Y.B. Visual experimental investigation on the stability of pressure regulating poppet valve. Proc. Inst. Mech. Eng. Part C-J. Mech. Eng. Sci. 2020, 234, 2329–2348. [Google Scholar] [CrossRef]
- Filo, G.; Lisowski, E.; Rajda, J. Pressure Loss Reduction in an Innovative Directional Poppet Control Valve. Energies 2020, 13, 13. [Google Scholar] [CrossRef]
- Hui, W.; Wenhua, J.; Yanru, Z.; Changli, S.; Chao, W. Dynamic Characteristics and Stability Analysis of Poppet Relief Valve. Mach. Hydraul. 2019, 47, 144–147. [Google Scholar]
- Gomez, I.; Gonzalez-Mancera, A.; Newell, B.; Garcia-Bravo, J. Analysis of the Design of a Poppet Valve by Transitory Simulation. Energies 2019, 12, 18. [Google Scholar] [CrossRef]
- Chiavola, O.; Frattini, E.; Palmieri, F.; Possenti, G. Poppet Valve Performance under Cavitating Conditions. In Proceedings of the 74th Conference of the Italian-Thermal-Machines-Engineering-Association (ATI), Modena, Italy, 11–13 September 2019. [Google Scholar]
- Lei, J.B.; Tao, J.F.; Liu, C.L.; Wu, Y.J. Flow model and dynamic characteristics of a direct spring loaded poppet relief valve. Proc. Inst. Mech. Eng. Part C-J. Mech. Eng. Sci. 2018, 232, 1657–1664. [Google Scholar] [CrossRef]
- Liu, J.B.; Xie, H.B.; Hu, L.; Yang, H.Y.; Fu, X. Flow force regulation of the main poppet in a large flow load control valve. Proc. Inst. Mech. Eng. Part A-J. Power Energy 2017, 231, 706–720. [Google Scholar] [CrossRef]
- Ji, C.; Wang, J.R.; Mo, G.Y.; Zou, J.; Yang, H.Y. Instability of a poppet valve: Interaction of axial vibration and lateral vibration. Int. J. Adv. Manuf. Technol. 2018, 94, 3065–3074. [Google Scholar] [CrossRef]
- Han, M.X.; Liu, Y.S.; Wu, D.F.; Zhao, X.F.; Tan, H.J. A numerical investigation in characteristics of flow force under cavitation state inside the water hydraulic poppet valves. Int. J. Heat Mass Transf. 2017, 111, 1–16. [Google Scholar] [CrossRef]
- Bo, J.K. Multidisciplinary Design Optimization of a Hydraulic Poppet Valve Considering Fluid-solid Coupling. In Proceedings of the International Conference on Advanced Design and Manufacturing Engineering (ADME 2011), Guangzhou, China, 16–18 September 2011. [Google Scholar]
- Wang, Q.; Luan, J.; He, X.H.; Zhou, D.J.; He, J. Transient characteristic analysis of a hydraulic poppet valve based on the dynamic mesh technique. In Proceedings of the International Conference on Mechanics and Mechatronics (ICMM), Changsha, China, 13–15 March 2015. [Google Scholar]
- Yi, D.Y.; Lu, L.; Zou, J.; Fu, X. Interactions between poppet vibration and cavitation in relief valve. Proc. Inst. Mech. Eng. Part C-J. Mech. Eng. Sci. 2015, 229, 1447–1461. [Google Scholar] [CrossRef]
- Min, W.; Ji, H.; Yang, L.F. Axial vibration in a poppet valve based on fluid-structure interaction. Proc. Inst. Mech. Eng. Part C-J. Mech. Eng. Sci. 2015, 229, 3266–3273. [Google Scholar] [CrossRef]
- Zheng, S.J.; Quan, L. Optimization of Structure and Calculation of Flow-force on Poppet Valve under Converging Flow. In Proceedings of the International Conference on Materials and Products Manufacturing Technology (ICMPMT 2011), Chengdu, China, 28–30 October 2011. [Google Scholar]
- Shi, X.; Chen, J. Numerical simulation based on CFD for the movement field of the hydraulic poppet valve. In Proceedings of the 1st International Conference on Intelligent System and Applied Material (GSAM 2012), Taiyuan, China, 13–15 January 2012. [Google Scholar]
- Shi, J.Y. Study on the Effect of Cone Diameter on the Cone Resistance and Steady Flow Force of Hydraulic Poppet Valve. In Proceedings of the 3rd International Conference on Materials and Products Manufacturing Technology (ICMPMT 2013), Guangzhou, China, 25–26 September 2013. [Google Scholar]
- Yi, D.Y.; Lu, L.; Zou, J.; Fu, X. Squeal noise in hydraulic poppet valves. J. Zhejiang Univ. Sci. A 2016, 17, 317–324. [Google Scholar] [CrossRef]
- Chen, X.L.; Zhu, D.; Bao, G. Study on Static Characteristic of a Regulator Valve with Large Flow Capacity. In Proceedings of the International Conference on Fluid Power and Mechatronics FPM, Harbin, China, 5–7 August 2015. [Google Scholar]
- Luan, J.; Wang, Q.; He, X.H.; Zeng, F.Q. Fluid-solid coupling analysis of hydraulic poppet valves based on CFD. In Proceedings of the International Conference on Mechanics and Mechatronics (ICMM), Changsha, China, 13–15 March 2015. [Google Scholar]
- Rundo, M.; Altare, G. Comparison of Analytical and Numerical Methods for the Evaluation of the Flow Forces in Conical Poppet Valves with Direct and Reverse Flow. In Proceedings of the 72nd Conference of the Italian-Thermal-Machines-Engineering-Association (ATI), Lecce, Italy, 6–8 September 2017. [Google Scholar]
- Guo, X.X.; Huang, J.H.; Quan, L.; Wang, S.G. Transient Flow Field Characteristic Analysis of Poppet Valve Based on Dynamic Mesh 6DOF Technique. In Proceedings of the International Conference on Fluid Power and Mechatronics FPM, Harbin, China, 5–7 August 2015. [Google Scholar]


























| VED | VSD | VEM | SS | CAVE & CAVS | OD |
|---|---|---|---|---|---|
| (mm) | (mm) | (kg) | (N/mm) | (°) | (mm) |
| 13, 14, 15, 16 | 5 | 0.01 | 10 | 45 | 1 |
| 15 | 3, 4, 5, 6 | 0.01 | 10 | 45 | 1 |
| 15 | 5 | 0.01, 0.02, 0.03, 0.04 | 10 | 45 | 1 |
| 15 | 5 | 0.01 | 5, 10, 15, 20 | 45 | 1 |
| 15 | 5 | 0.01 | 10 | 15, 30, 45, 60 | 1 |
| 15 | 5 | 0.01 | 10 | 45 | 0.8, 1.0, 1.2, 1.4 |
Disclaimer/Publisher’s Note: The statements, opinions and data contained in all publications are solely those of the individual author(s) and contributor(s) and not of MDPI and/or the editor(s). MDPI and/or the editor(s) disclaim responsibility for any injury to people or property resulting from any ideas, methods, instructions or products referred to in the content. |
© 2023 by the authors. Licensee MDPI, Basel, Switzerland. This article is an open access article distributed under the terms and conditions of the Creative Commons Attribution (CC BY) license (https://creativecommons.org/licenses/by/4.0/).
Share and Cite
Liu, H.; Zhao, Q. Numerical Experiments on Performance Comparisons of Conical Type Direct-Acting Relief Valve—With or without Conical Angle in Valve Element and Valve Seat. Processes 2023, 11, 1792. https://doi.org/10.3390/pr11061792
Liu H, Zhao Q. Numerical Experiments on Performance Comparisons of Conical Type Direct-Acting Relief Valve—With or without Conical Angle in Valve Element and Valve Seat. Processes. 2023; 11(6):1792. https://doi.org/10.3390/pr11061792
Chicago/Turabian StyleLiu, Huiyong, and Qing Zhao. 2023. "Numerical Experiments on Performance Comparisons of Conical Type Direct-Acting Relief Valve—With or without Conical Angle in Valve Element and Valve Seat" Processes 11, no. 6: 1792. https://doi.org/10.3390/pr11061792
APA StyleLiu, H., & Zhao, Q. (2023). Numerical Experiments on Performance Comparisons of Conical Type Direct-Acting Relief Valve—With or without Conical Angle in Valve Element and Valve Seat. Processes, 11(6), 1792. https://doi.org/10.3390/pr11061792
