Pilot Study on the Deep Treatment of Sulfuric-Acid–Titanium-Dioxide Wastewater Using an Ultrafiltration/Reverse Osmosis Process
Abstract
1. Introduction
2. Materials and Methods
2.1. Properties of Wastewater
2.2. Test Flow and Equipment
2.2.1. Activated-Carbon–Quartz-Sand Double-Layer Media Filter
2.2.2. Precision Filter
2.2.3. Ultrafiltration Unit
2.2.4. Reverse Osmosis Unit
2.3. Analytical Methods
3. Results and Discussion
3.1. UF Pretreatment Operation and Water Quality Analysis
3.1.1. UF Pretreatment and Ultrafiltration Tests
3.1.2. Effect of UF Flux and Backwashing on the Removal Effect
3.1.3. SDI15 and Feasibility of UF-Produced Water as RO Feed Water
3.1.4. Feasibility of UF-Produced Water as RO Feed Water
3.2. Analysis of RO Test Results
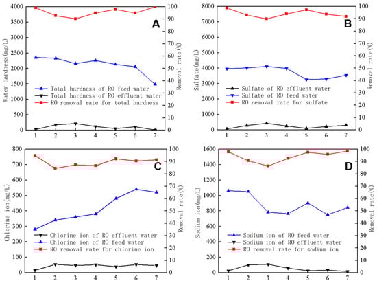
3.2.1. RO-Produced Water Quality
3.2.2. RO Operating Parameters
3.2.3. Three-Dimensional Fluorescence Spectroscopy
4. Conclusions
Author Contributions
Funding
Institutional Review Board Statement
Informed Consent Statement
Data Availability Statement
Conflicts of Interest
References
- Tu, J.X.; Hu, L.Z.; Mohammed, K.J.; Le, B.N.; Chen, P.R.; Ali, E.; Ali, H.E.; Sun, L. Application of logistic regression, support vector machine and random forest on the effects of titanium dioxide nanoparticles using macroalgae in treatment of certain risk factors associated with kidney injuries. Environ. Res. 2023, 220, 115167. [Google Scholar] [CrossRef] [PubMed]
- Pervez, M.N.; Bilgiç, B.; Mahboubi, A.; Uwineza, C.; Zarra, T.; Belgiorno, V.; Naddeo, V.; Taherzadeh, M.J. Double-stage membrane-assisted anaerobic digestion process intensification for production and recovery of volatile fatty acids from food waste. Sci. Total Environ. 2022, 825, 154084. [Google Scholar] [CrossRef] [PubMed]
- Zhou, G. Sulfuric Acid Production of Titanium White Waste Water Comprehensive Research. Master’s Thesis, Jiangsu University, Zhenjiang, China, 2020. [Google Scholar] [CrossRef]
- Peng, W.B.; Yun, J.J.; Ding, B.C.; Bai, Z.G.; Xiao, W.Y.; Wang, X.H. Study on treatment of titanium dioxide post-treatment wastewater by chloride process with membrane integrated technology. Inorg. Chem. Ind. 2020, 52, 4. [Google Scholar]
- Sun, Y.; Wu, M.H.; Tong, T.Z.; Liu, P.; Tang, P.; Gan, Z.W.; Yang, P.; He, Q.P.; Liu, B.C. Organic compounds in Weiyuan shale gas produced water: Identification, detection and rejection by ultrafiltration-reverse osmosis processes. Chem. Eng. J. 2021, 412, 128699. [Google Scholar] [CrossRef]
- Petrinic, I.; Korenak, J.; Povodnik, D.; Hélix-Nielsen, C. A feasibility study of ultrafiltration/reverse osmosis (UF/RO)-based wastewater treatment and reuse in the metal finishing industry. J. Clean. Prod. 2015, 101, 292–300. [Google Scholar] [CrossRef]
- Huang, X.F.; Ling, J.; Xu, J.C.; Feng, Y.; Li, G.M. Advanced treatment of wastewater from an iron and steel enterprise by a constructed wetland/ultrafiltration/reverse osmosis process. Desalination 2011, 269, 41–49. [Google Scholar] [CrossRef]
- Zhang, H.; Li, H. Experimental study on the stepwise treatment of titanium dioxide acid wastewater by sulfuric acid process. Inorg. Chem. Ind. 2017, 49, 58–60. [Google Scholar]
- Li, G.; Zhao, Q.; Yu, L.; Hao, S.J. Experimental study on the treatment of titanium dioxide wastewater by sulfuric acid process. Ind. Water Treat. 2007, 4, 25–27. [Google Scholar]
- Sun, L. Treatment of waste acid and wastewater in titanium dioxide production by sulfuric acid method. Chem. Manag. 2022, 20, 34–36. [Google Scholar]
- Huang, S.; Yang, M. Study on the treatment process of titanium dioxide production wastewater by sulfuric acid method. Guangdong Agric. Sci. 2009, 7, 190–191. [Google Scholar]
- Ming, L. Treatment of titanium dioxide wastewater by two-stage neutralization, aeration oxidation and precipitation. Ind. Water Treat. 2018, 38, 97–99. [Google Scholar]
- Rodríguez-Vidal, F.J.; García-Valverde, M.; Ortega-Azabache, B.; González-Martínez, Á.; Bellido-Fernández, A. Characterization of urban and industrial wastewaters using excitation-emission matrix (EEM) fluorescence: Searching for specific fingerprints. J. Environ. Manag. 2020, 263, 110396. [Google Scholar] [CrossRef]
- Piemonte, V.; Prisciandaro, M.; Mascis, L.; Di Paola, L.; Barba, D. Reverse osmosis membranes for treatment of produced water: A process analysis. Desalin. Water Treat. 2015, 55, 565–574. [Google Scholar] [CrossRef]
- Ebrahimi, M.; Kovacs, Z.; Schneider, M.; Mund, P.; Bolduan, P.; Czermak, P. Multistage filtration process for efficient treatment of oil-field produced water using ceramic membranes. Desalin. Water Treat. 2012, 42, 17–23. [Google Scholar] [CrossRef]
- Rosberg, R. Ultrafiltration (new technology), a viable cost-saving pretreatment for reverse osmosis and nanofiltration—A new approach to reduce costs. Desalination 1997, 110, 107–113. [Google Scholar] [CrossRef]
- Riley, S.M.; Ahoor, D.C.; Regnery, J.; Cath, T.Y. Tracking oil and gas wastewater-derived organic matter in a hybrid biofilter membrane treatment system: A multi-analytical approach. Sci. Total Environ. 2018, 613–614, 208–217. [Google Scholar] [CrossRef]
- Jeong, S.; Choi, Y.J.; Nguyen, T.V.; Vigneswaran, S.; Hwang, T.M. Submerged membrane hybrid systems as pretreatment in seawater reverse osmosis (SWRO): Optimisation and fouling mechanism determination. J. Membr. Sci. 2012, 411–412, 173–181. [Google Scholar] [CrossRef]
- Xue, D. Advanced treatment of chemical wastewater by membrane method. Petrochem. Saf. Environ. Prot. Technol. 2008, 24, 61–64. [Google Scholar]
- Wei, N.; Zhang, Y.Q.; Ji, K. Research and application of membrane separation technology in printing and dyeing wastewater reuse. Water Purif. Technol. 2009, 28, 1–5. [Google Scholar]
- Wang, Z.G.; Xiao, W.Y.; Ding, B.C.; Qi, X.Y.; Peng, W.H. Study on the treatment of acidic wastewater from titanium dioxide by sulfuric acid process by membrane separation. Inorg. Chem. Ind. 2018, 50, 53–55+66. [Google Scholar]
- Teodosiu, C.; Pastravanu, O.; Macoveanu, M. Neural network models for ultrafiltration and backwashing. Water Res. 2000, 34, 4371–4380. [Google Scholar] [CrossRef]
- Katsoufidou, K.; Yiantsios, S.G.; Karabelas, A.J. A study of ultrafiltration membrane fouling by humic acids and flux recovery by backwashing: Experiments and modeling. J. Membr. Sci. 2005, 266, 40–50. [Google Scholar] [CrossRef]
- Han, Q.; Yan, H.; Zhang, F.; Xue, N.; Wang, Y.; Chu, Y.B.; Gao, B.Y. Trihalomethanes (THMs) precursor fractions removal by coagulation and adsorption for bio-treated municipal wastewater: Molecular weight, hydrophobicity/hydrophily and fluorescence. J. Hazard. Mater. 2015, 297, 119–126. [Google Scholar] [CrossRef] [PubMed]







| Item | Unit | Production Wastewater Quality | External-Drainage Water Quality |
|---|---|---|---|
| pH | 1.0 | 7.43–8.70 | |
| CODCr | mg/L | 691.5 | 50.7–73.6 |
| Ammonia nitrogen | mg/L | 1.8 | 3.96–4.17 |
| Total phosphorus | mg/L | 11.15 | 0.09–0.15 |
| Turbidity | mg/L | 2.2 | 0.77–2.51 |
| Electrical Conductivity | μs/cm | 1.69 × 105 | 7640–10,160 |
| TDS | mg/L | 8540 | 3880–6570 |
| Cl− | mg/L | 780 | 375–880 |
| SO42− | mg/L | 7033 | 4330–5410 |
| Na+ | mg/L | 1082 | 918–1170 |
| Ca2+ | mg/L | 223 | 530–804 |
| Mg2+ | mg/L | 267 | 181–284 |
| Total iron | mg/L | 1625.5 | 0–1.28 |
| Total hardness (as CaCO3) | mg/L | 1124 | 2764.2–2879.5 |
| Total alkalinity (as CaCO3) | mg/L | 23.2 | 46.2–104.1 |
| Membrane Element Parameters | Numerical Values |
|---|---|
| Effective membrane area (m2) | 10 |
| Initial pure water flux (m3/h, 25 °C 0.1 MPa) | 1.5–1.7 |
| Design water production flux (m3/h) | 0.5–0.7 |
| Hollow fiber inner and outer diameter (mm) | 0.7–1.3 |
| Retained molecular weight (kDa) | 50–60 |
| Membrane material | PVDF |
| Sealant material | Epoxy resin or polyurethane |
| Shell material | UPVC |
| Component weight (kg) | 6 |
| Performance Parameters | The Water Production (m3/d) | 7.2 |
|---|---|---|
| Normal | 99.6 | |
| Miner | 99.4 | |
| Membrane element type | Structure | spiral membrane |
| Membrane material | Aromatic polyamide | |
| Effective membrane area (m2) | 7.9 | |
| Application data | Max. operating pressure (Mpa) | 4.14 |
| Max. feed water residual chlorine concentration (mg/L) | 0 | |
| Max. feed water temperature (°C) | 45 | |
| Feed water pH range | 2–10.6 | |
| Cleaning pH range | 1–12 | |
| Max. influent turbidity (NTU) | 1.0 | |
| Max. influent water SDI15 | 5.0 | |
| Max. influent flow rate (m3/h) | 3.6 | |
| Min. concentrated water to produced water ratio | 5:1 | |
| Max. pressure loss of single element (Mpa) | 0.10 |
| Projects | Water Quality Requirements | UF-Produced Water |
|---|---|---|
| SDI15 | <5.0 | 0.7 |
| Turbidity (NTU) | <1 | 0.28 |
| pH | 2–10.6 | 7.3–7.8 |
| Residual chlorine (mg/L) | 0 | 0 |
| Item (Unit) | RO Feed Water | RO-Produced Water | Removal Rate (%) | Reuse Standards |
|---|---|---|---|---|
| CODCr (mg/L) | 46.25 | 6.51 | 85.46 | ≤60 |
| NH3-N (mg/L) | 0.52 | 0.17 | 67.30 | ≤10 |
| TP (mg/L) | 0.13 | Undetected | 100 | ≤1 |
| Conductivity (μS/cm) | 8385.2 | 80.9 | 99.1 | - |
| TDS (mg/L) | 4362.5 | 385.4 | 91.2 | ≤1000 |
| Turbidity (NTU) | 0.20 | 0.08 | 50.66 | ≤5 |
| Total hardness | 2108.3 | 97.5 | 95.6 | ≤450 |
| Total alkalinity | 73.1 | 10.6 | 85.5 | ≤350 |
| SO42− (mg/L) | 3735.7 | 227.1 | 94.0 | ≤250 |
| Cl− (mg/L) | 414.2 | 42.8 | 89.5 | ≤250 |
| Ca2+ (mg/L) | 482 | 22.4 | 95.7 | - |
| Mg2+ (mg/L) | 220 | 10.0 | 95.5 | - |
| Na+ (mg/L) | 878.4 | 51.1 | 94.1 | - |
| Clear Water Test | 1 | 2 |
|---|---|---|
| Premembrane pressure (Mpa) | 0.2 | 0.52 |
| Intersegment pressure (Mpa) | 0.19 | 0.51 |
| Postmembrane pressure (Mpa) | 0.19 | 0.51 |
| Total flow (L/h) | 780 | 1410 |
Disclaimer/Publisher’s Note: The statements, opinions and data contained in all publications are solely those of the individual author(s) and contributor(s) and not of MDPI and/or the editor(s). MDPI and/or the editor(s) disclaim responsibility for any injury to people or property resulting from any ideas, methods, instructions or products referred to in the content. |
© 2023 by the authors. Licensee MDPI, Basel, Switzerland. This article is an open access article distributed under the terms and conditions of the Creative Commons Attribution (CC BY) license (https://creativecommons.org/licenses/by/4.0/).
Share and Cite
Li, L.; Li, S.; Dong, Y.; Yang, P.; Wang, R. Pilot Study on the Deep Treatment of Sulfuric-Acid–Titanium-Dioxide Wastewater Using an Ultrafiltration/Reverse Osmosis Process. Processes 2023, 11, 1626. https://doi.org/10.3390/pr11061626
Li L, Li S, Dong Y, Yang P, Wang R. Pilot Study on the Deep Treatment of Sulfuric-Acid–Titanium-Dioxide Wastewater Using an Ultrafiltration/Reverse Osmosis Process. Processes. 2023; 11(6):1626. https://doi.org/10.3390/pr11061626
Chicago/Turabian StyleLi, Liangfu, Sirui Li, Yiming Dong, Ping Yang, and Runkai Wang. 2023. "Pilot Study on the Deep Treatment of Sulfuric-Acid–Titanium-Dioxide Wastewater Using an Ultrafiltration/Reverse Osmosis Process" Processes 11, no. 6: 1626. https://doi.org/10.3390/pr11061626
APA StyleLi, L., Li, S., Dong, Y., Yang, P., & Wang, R. (2023). Pilot Study on the Deep Treatment of Sulfuric-Acid–Titanium-Dioxide Wastewater Using an Ultrafiltration/Reverse Osmosis Process. Processes, 11(6), 1626. https://doi.org/10.3390/pr11061626
