Development and Optimization of Chromatographic Conditions for the Determination of Selected B Vitamins in Pharmaceutical Products
Abstract
1. Introduction
2. Materials and Methods
2.1. Standard Substance
2.2. Pharmaceutical OTC (Over-the-Counter) Preparations Tested
2.3. Chemicals and Apparatus
2.4. Standard and Sample Solutions
2.5. Optimization of Determination Conditions
2.6. Chromatographic Conditions
2.7. Method Validation
2.7.1. Specificity
2.7.2. Linearity Range
2.7.3. Limit of Detection (LOD) and Limit of Quantification (LOQ)
- Visual assessment: analysis of samples with known analyte concentrations and establishment of a minimum level at which the analyte can be reliably detected;
- Determining the ratio of the analytical signal to the average background noise level of the blank sample. This can be completed by comparing the signal sizes of samples with a known low analyte content with the values obtained for blank samples;
- Determination from the parameters of the calibration curve made in low concentration ranges, using the following formula:
2.7.4. Precision
2.7.5. Accuracy
2.7.6. Robustness
2.8. Statistical Analyses
3. Results
4. Conclusions
Author Contributions
Funding
Data Availability Statement
Conflicts of Interest
References
- Edwards, K.A.; Tu-Maung, N.; Cheng, K.; Wang, B.; Baeumner, A.J.; Kraft, C.E. Thiamine assays—Advances, challenges, and caveats. Chem. Open 2017, 6, 178–191. [Google Scholar] [CrossRef]
- Hashim, N.H.; Osman, R.; Abidin, N.A.Z.; Kassim, N.S.A. Recent trends in the quantification of vitamin B. MJAS 2021, 25, 466–482. [Google Scholar]
- Zaringhalam, J.; Akbari, A.; Zali, A.; Manaheji, H.; Nazemian, V.; Shadnoush, M.; Ezzatpanah, S. Long-term treatment by vitamin B1 and reduction of serum proinflammatory cytokines, hyperalgesia, and paw edema in adjuvant-induced arthritis. Basic Clin. Neurosci. 2016, 7, 331–340. [Google Scholar] [CrossRef]
- Körner, R.W.; Vierzig, A.; Roth, B.; Müller, C. Determination of thiamin diphosphate in whole blood samples by high-performance liquid chromatography—A method suitable for pediatric diagnostics. J. Chromatogr. B Anal. Technol. Biomed. Life Sci. 2009, 877, 1882–1886. [Google Scholar] [CrossRef]
- Lu, J.; Frank, E.L. Rapid HPLC measurement of thiamine and its phosphate esters in whole blood. Clin. Chem. 2008, 54, 901–906. [Google Scholar] [CrossRef] [PubMed]
- Hampel, D.; York, E.R.; Allen, L.H. Ultra-performance liquid chromatography tandem mass-spectrometry (UPLC-MS/MS) for the rapid, simultaneous analysis of thiamin, riboflavin, flavin adenine dinucleotide, nicotinamide and pyridoxal in human milk. J. Chromatogr. B Anal. Technol. Biomed. Life Sci. 2012, 903, 7–13. [Google Scholar] [CrossRef]
- Tan, J.; Rong, L.; Zi-Tao, J. Determination of thiamine (vitamin B1) in pharmaceutical tablets and human urine by titania-based ligand-exchange hydrophilic interaction chromatography. Anal. Methods 2011, 3, 1568–1573. [Google Scholar] [CrossRef]
- Al-Ward, H.S.; Hussein, S.Z. Spectrophotometric method for the determination of thiamine hydrochloride in pure form, pharmaceutical and biological fluids. IJPSR 2016, 7, 3995–4003. [Google Scholar]
- Rahimdel, A.; Zeinali, A.; Yazdian-Anari, P.; Hajizadeh, R.; Arefnia, E. Effectiveness of vitamin B2 versus sodium valproate in migraine prophylaxis: A randomized clinical trial. Electron. Physician 2015, 7, 1344–1348. [Google Scholar] [CrossRef] [PubMed]
- Powers, H.J. Riboflavin (vitamin B-2) and health. Am. J. Clin. Nutr. 2003, 77, 1352–1360. [Google Scholar] [CrossRef]
- Zand, N.; Chowdry, B.Z.; Pullen, F.S.; Snowden, M.J.; Tetteh, J. Simultaneous determination of riboflavin and pyridoxine by UHPLC/LC—MS in UK commercial infant meal food products. Food Chem. 2012, 135, 2743–2749. [Google Scholar] [CrossRef] [PubMed]
- Langer, S.; Lodge, J.K. Determination of selected water-soluble vitamins using hydrophilic chromatography: A comparison of photodiode array, fluorescence, and coulometric detection, and validation in a breakfast cereal matrix. J. Chromatogr. B Anal. Technol. Biomed. Life Sci. 2014, 960, 73–81. [Google Scholar] [CrossRef]
- Bishop, A.M.; Fernandez, C.; Whitehead, R.D., Jr.; Morales-A, P.; Barr, D.B.; Wilder, L.C.; Baker, S.E. Quantification of riboflavin in human urine using high performance liquid chromatography—Tandem mass spectrometry. J. Chromatogr. B 2011, 879, 1823–1826. [Google Scholar] [CrossRef]
- Lambert, W.E.; Cammaert, P.M.; De Leenheer, A.P. Liquid-chromatographic measurement of riboflavin in serum and urine with isoriboflavin as internal standard. Clin. Chem. 1985, 31, 1371–1373. [Google Scholar] [CrossRef]
- Bartzatt, R.; Wol, T. Detection and assay of vitamin B-2 (Riboflavin) in alkaline borate buffer with UV/Visible spectrophotometry. Int. Sch. Res. Not. 2014, 2014, 453085. [Google Scholar] [CrossRef] [PubMed]
- Gul, W.; Anwar, Z.; Qadeer, K.; Perveen, S.; Ahmad, I. Methods of analysis of riboflavin (Vitamin B2): A review. J. Pharm. Pharm. Sci. 2014, 2, 10–21. [Google Scholar]
- Nezamzadeh-Ejhieh, A.; Pouladsaz, P. Voltammetric determination of riboflavin based on electrocatalytic oxidation at zeolite-modified carbon paste electrodes. J. Ind. Eng. Chem. 2014, 20, 2146–2152. [Google Scholar] [CrossRef]
- Kelly, G.S. Pantothenic acid. Monogr. Altern. Med. Rev. 2011, 16, 263–274. [Google Scholar]
- Ball, G.F.M. Microbial Methods for the Determination of the B-Group Vitamins; Springer: Boston, MA, USA, 1994; pp. 317–364. [Google Scholar]
- Mittermayr, R.; Kalman, A.; Trisconi, M.J.; Heudi, O. Determination of vitamin B5 in a range of fortified food products by reversed-phase liquid chromatography—Mass spectrometry with electrospray ionisation. J. Chromatogr. A 2004, 1032, 1–6. [Google Scholar] [CrossRef]
- Takahashi, K.; Fukuwatari, T.; Shibata, K. Fluorometric determination of pantothenic acid in human urine by isocratic reversed-phase ion-pair high-performance liquid chromatography with post-column derivatization. J. Chromatogr. B Anal. Technol. Biomed. Life Sci. 2009, 877, 2168–2172. [Google Scholar] [CrossRef] [PubMed]
- Hasan, N.; Akhtaruzzaman, M.; Sultan, Z. Estimation of vitamins B-complex (B2, B3, B5 and B6) of some leafy vegetables indigenous to Bangladesh by HPLC method. J. Anal. Sci. Methods Instrum. 2013, 3, 24–29. [Google Scholar] [CrossRef]
- Cellar, N.A.; McClure, S.C.; Salvati, L.M.; Reddy, T.M. A new sample preparation and separation combination for precise, accurate, rapid, and simultaneous determination of vitamins B1, B2, B3, B5, B6, B7, and B9 in infant formula and related nutritionals by LC-MS/MS. Anal. Chim. Acta 2016, 934, 180–185. [Google Scholar] [CrossRef]
- Ahmad, I.; Mirza, T.; Qadeer, K.; Nazim, U.; Vaid, F.H. Vitamin B6: Deficiency diseases and methods of analysis. Pak. J. Pharm. Sci. 2013, 26, 1057–1069. [Google Scholar]
- Sadeghi, O.; Nasiri, M.; Maghsoudi, Z.; Pahlavani, N.; Rezaie, M.; Askari, G. Effects of pyridoxine supplementation on severity, frequency and duration of migraine attacks in migraine patients with aura: A double-blind randomized clinical trial study in Iran. Iran. J. Neurol. 2015, 14, 74–80. [Google Scholar] [PubMed]
- Puts, J.; de Groot, M.; Haex, M.; Jakobs, B. Simultaneous determination of underivatized vitamin B1 and B6 in whole blood by reversed phase ultra high performance liquid chromatography tandem mass spectrometry. PLoS ONE 2015, 10, e0132018. [Google Scholar] [CrossRef]
- Abdullah, R. Determination of Water Soluble Vitamins (B group: B1, B2, and B6) by RP-HPLC. Chem. Mater. 2016, 8, 1–10. [Google Scholar]
- Hasimoglu, A.; Ghodke, S.B. A novel RP-HPLC method for simultaneous determination of vitamins B1, B2, B3, B6 and C in oral powder for veterinary consumption. Marmara Pharm. J. 2018, 22, 484–492. [Google Scholar] [CrossRef]
- Kall, M.A. Determination of total vitamin B6 in foods by isocratic HPLC: A comparison with microbiological analysis. Food Chem. 2003, 82, 315–327. [Google Scholar] [CrossRef]
- Jin, P.; Xia, L.; Li, Z.; Che, N.; Zou, D.; Hu, X. Rapid determination of thiamine, riboflavin, niacinamide, pantothenic acid, pyridoxine, folic acid and ascorbic acid in vitamins with minerals tablets by high-performance liquid chromatography with diode array detector. J. Pharm. Biomed. Anal. 2012, 70, 151–157. [Google Scholar] [CrossRef] [PubMed]
- Kadir, A.N.A. Spectrophotometric determination of vitamin B6 by coupling with diazotized p-nitroaniline. Rafidain J. Sci. 2010, 21, 49–59. [Google Scholar] [CrossRef]
- Brunetti, B.; Desimoni, E. Voltammetric determination of vitamin B6 in food samples and dietary supplements. J. Food Compos. Anal. 2014, 33, 155–160. [Google Scholar] [CrossRef]
- Biernat, J.; Bronkowska, M. Drug interactions—An important indication of dietary supplementation with vitamin B12. Bromat. Chem. Toxicol. 2014, 4, 857–864. [Google Scholar]
- Chamlagain, B.; Edelmann, M.; Kariluoto, S.; Ollilainen, V.; Piironen, V. Ultra-high performance liquid chromatographic and mass spectrometric analysis of active vitamin B12 in cells of propionibacterium and fermented cereal matrices. Food Chem. 2015, 166, 630–638. [Google Scholar] [CrossRef] [PubMed]
- Repossi, A.; Zironi, E.; Gazzotti, T.; Serraino, A.; Pagliuca, G. Vitamin B12 determination in milk, whey and different by-products of ricotta cheese production by ultra performance liquid chromatography coupled with tandem mass spectrometry. Ital. J. Food Saf. 2017, 6, 6795. [Google Scholar] [CrossRef]
- Chamkouri, N.; Vafaeizadeh, M.; Mojaddami, A.; Hosseini, S.A.; Isfahani, T.M.; Golkhajeh, A.G.; Lariche, M.J.; Malaekeh, S.M.A. Determination of Vitamin B6, B9 and B12 in halophytes by solid phase extraction followed by HPLC-UV. J. Pharm. Res. Int. 2017, 20, 1–6. [Google Scholar] [CrossRef]
- Dragan, F.; Hincu, L.; Bratu, I. Determination of cobalt in human biology liquids from electrothermal atomic absorption spectrometry. J. Phys. Conf. Ser. 2009, 1, 182–187. [Google Scholar]
- O’Sullivan, J.; Leeming, R.; Lynch, S.; Pollock, A. Radioimmunoassay that measures serum vitamin B12. J. Clin. Pathol. 1992, 45, 328–331. [Google Scholar] [CrossRef]
- Karmi, O.; Zayed, A.; Baraghethi, S.; Qadi, M.; Ghanem, R. Measurement of vitamin B12 concentration: A review on available methods. IIOAB J. 2011, 2, 23–32. [Google Scholar]
- Elzanfaly, E.S.; Nebsen, M.; Ramadan, N.K. Development and validation of PCR, PLS and TLC densitometric methods for the simultaneous determination of vitamins B1, B6 and B12 in pharmaceutical formulations. Pak. J. Pharm. Sci. 2010, 23, 409–415. [Google Scholar]
- Panahi, H.A.; Kalal, H.S.; Rahimi, A.; Moniri, E. Isolation and quantitative analysis of B1, B2, B6 and B12 vitamins using high-performance thin-layer chromatography. Pharm. Chem. J. 2011, 45, 125–129. [Google Scholar] [CrossRef]
- Pyka, A. Detection progress of selected drugs in TLC. Biomed. Res. Int. 2014, 2014, 732078. [Google Scholar] [CrossRef] [PubMed]
- CH Secretariat. ICH-Q2 (R1) Validation of Analytical Procedures: Text and Methodology. In Proceedings of the International Conference on Harmonization (ICH) of Technical Requirements for the Registration of Pharmaceuticals for Human Use, Geneva, Switzerland. Current Step 4 Version Parent Guideline Dated 27 October 1994 (Complementary Guideline on Methodology Dated 6 November 1996 Incorporated in November 2005). Available online: https://www.gmp-compliance.org/files/guidemgr/Q2(R1).pdf (accessed on 17 March 2023).
- Poole, C.F. Thin layer chromatography: Challenges and oppportunities. J. Chromatogr. A 2003, 100, 963–984. [Google Scholar] [CrossRef] [PubMed]







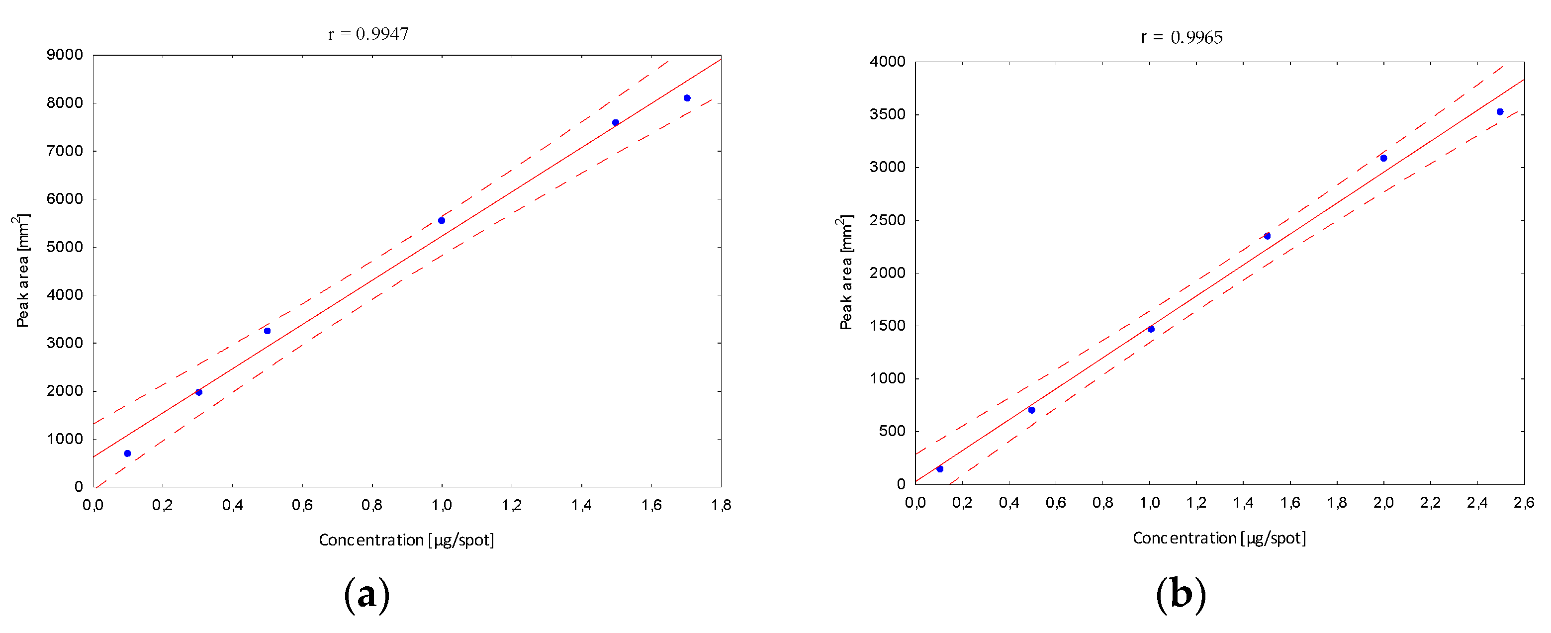
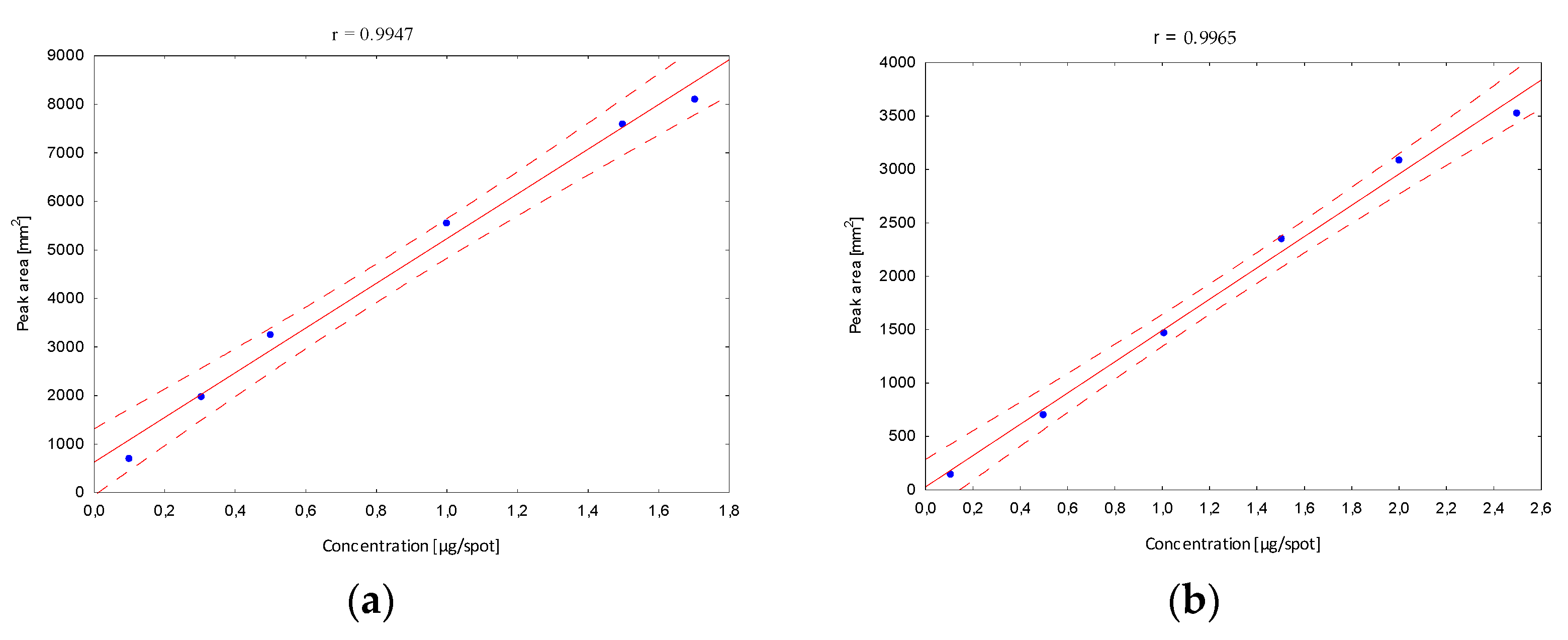
| Vitamin | Linearity Parameters | LOD [µg/Spot] | LOQ [µg/Spot] |
|---|---|---|---|
| B1 | a = 4605.06; b = 237.93 | 0.1773 | 0.5374 |
| Sa = 629.50; Sb = 247.46 | |||
| r = 0.9947; r2 = 0.9894 | |||
| Se = 349.28 | |||
| B2 | a = 1465.10; b = 61.75 | 0.2106 | 0.6382 |
| Sa = 27.86; Sb = 93.51 | |||
| r = 0.9965; r2 = 0.9929 | |||
| Se = 125.54 | |||
| B5 | a = 416.12; b = 413.19 | 0.3389 | 1.0271 |
| Sa = 12.79; Sb = 42.74 | |||
| r = 0.9981; r2 = 0.9962 | |||
| Se = 46.11 | |||
| B6 | a = 1429.99; b = 50.40 | 0.1615 | 0.4474 |
| Sa = −277.90; Sb = 63.98 | |||
| r = 0.9975; r2 = 0.9951 | |||
| Se = 74.55 | |||
| B12 | a = 3912.43; b = 56.46 | 0.0473 | 0.1433 |
| Sa = 79.77; Sb = 56.08 | |||
| r = 0.9996; r2 = 0.9992 | |||
| Se = 74.76 |
| Vitamin | Intra-Day Precision | Inter-Day Precision | ||
|---|---|---|---|---|
| Peak area [mm2], n = 3 | Statistical parameters | Peak area [mm2], n = 3 | Statistical parameters | |
| B1 | = 5294.00 | S = 29.82 SD = 66.69 μ = 5294.00 ± 191.63 RSD = 1.26% | = 5399.46 | S = 29.03 SD = 64.90 μ = 5399.46 ± 186.50 RSD = 1.2% |
| B2 | = 2060.30 | S = 7.09 SD = 15.86 μ = 2060.30 ± 45.58 RSD = 0.77% | = 2155.08 | S = 12.71 SD = 28.44 μ = 2155.08 ± 81.71 RSD = 1.32% |
| B5 | = 4848.88 | S = 32.94 SD = 73.66 μ = 4848.88 ± 211.67 RSD = 1.52% | = 4972.80 | S = 31.19 SD = 69.74 μ = 4972.80 ± 200.41 RSD = 1.40% |
| B6 | = 2060.60 | S = 11.82 SD = 26.44 μ = 2060.60 ± 75.9785 RSD = 1.28% | = 2153.02 | S = 11.15 SD = 24.94 μ = 2153.02 ± 71.66 RSD = 1.16% |
| B12 | = 4160,98 | S = 11.51 SD = 25.73 μ = 4160.98 ± 73.95 RSD = 0.62% | = 4272.10 | S = 16.14 SD = 36.09 μ = 4272.10 ± 103.71 RSD = 0.84% |
| Vitamin | Recovery Level 80%, n = 3 | Recovery Level 100%, n = 3 | Recovery Level 120%, n = 3 |
|---|---|---|---|
| B1 | = 99.81 S = 0.23; SD = 0.46 μ = 99.81 ± 1.70 RSD = 0.46% | = 100.60 S = 0.22; SD = 0.44 μ = 100.60 ± 1.65 RSD = 0.44% | = 100.96 S = 0.19; SD = 0.38 μ = 100.96 ± 1.43 RSD = 0,37% |
| B2 | = 98.90 S = 0.17; SD = 0.33 μ = 98.90 ± 1.23 RSD = 0.33% | = 100.15 S = 0.28; SD = 0.56 μ = 100.15 ± 2.07 RSD = 0.55% | = 99.75 S = 0.19; SD = 0.38 μ = 99.75 ± 1.40 RSD = 0.38% |
| B5 | = 100.16 S = 0.21; SD = 0.42 μ = 100.16 ± 1.56 RSD = 0.41% | = 99.95 S = 0.32; SD = 0.63 μ = 99.95 ± 2.36 RSD = 0.63% | = 99.89 S = 0.26; SD = 0.53 μ = 99.89 ± 1.97 RSD = 0.53% |
| B6 | = 99.61 S = 0.23; SD = 0.46 μ = 99.61 ± 1.71 RSD = 0.46% | = 99.17 S = 0.11; SD = 0.22 μ = 99.17 ± 0.81 RSD = 0.22% | = 99.01 S = 0.27; SD = 0.55 μ = 99.01 ± 2.04 RSD = 0.56% |
| B12 | = 98.73 S = 0.34; SD = 0.69 μ = 98.73 ± 2.56 RSD = 0.70% | = 100.09 S = 0.29; SD = 0.58 μ = 100.09 ± 2.15 RSD = 0.58% | = 99.71 S = 0.25; SD = 0.49 μ = 99.71 ± 1.83 RSD = 0.49% |
| Preparation | Declared Content | Determined Content (n = 3) | Statistical Evaluation (n = 3) | |
|---|---|---|---|---|
| Product A | B6 | 50 mg/tablet | 50.04 mg/tablet | S = 0.26; SD = 0.59 μ = 50.04 ± 1.70 RSD = 1.18% |
| Product B | B6 | 50 mg/tablet | 51.17 mg/tablet | S = 0.36; SD = 0.81 μ = 51.17 ± 1.59 RSD = 1.59% |
| Product C | B1 | 3 mg/tablet | 0.34 mg/tablet | S = 0.002; SD = 0.006 μ = 0.34 ± 0.02 RSD = 1.6% |
| Product D | B1 | 35 mg/tablet | 34.78 mg/tablet | S = 0.27; SD = 0.60 μ = 34.78 ± 1.72 RSD = 1.72% |
| Product E | B12 | 0.7 mg/tablet | 0.0168 mg/tablet | S = 0.0002; SD = 0.0004 μ = 0.0168 ± 0.0013 RSD = 2.38% |
| Product H | B2 | 3 mg/tablet | 3.07 mg/tablet | S = 0.02; SD = 0.04 μ = 3.07 ± 0.12 RSD = 0.6% |
| Product F | B1 | 2.4 mg/tablet | 2.56 mg/tablet | S = 0.02; SD = 0.05 μ = 2.56 ± 0.14 RSD = 1.68% |
| B6 | 4.1 mg/tablet | 3.73 mg/tablet | S = 0.01; SD = 0.03 μ = 3.73 ± 0.08 RSD = 1.05% | |
| B5 | 1.8 mg/tablet | 1.75 mg/tablet | S = 0.04; SD = 0.08 μ = 1.75 ± 0.08 RSD = 4.28% | |
| Product G | B1 | 3 mg/tablet | 2.71 mg/tablet | S = 0.01; SD = 0.02 μ = 2.71 ± 0.06 RSD = 0,76% |
| B6 | 5 mg/tablet | 3.22 mg/tablet | S = 0.02; SD = 0.04 μ = 3.22 ± 0.11 RSD = 1.2% | |
| B5 | 5 mg/tablet | 4.00 mg/tablet | S = 0.01; SD = 0.06 μ = 4.00 ± 0.10 RSD = 2.5% | |
| Product I | B5 | 500 mg/caps | 500.71 mg/caps | S = 0.24; SD = 0.53 μ = 500.71 ± 1.52 RSD = 0.11% |
Disclaimer/Publisher’s Note: The statements, opinions and data contained in all publications are solely those of the individual author(s) and contributor(s) and not of MDPI and/or the editor(s). MDPI and/or the editor(s) disclaim responsibility for any injury to people or property resulting from any ideas, methods, instructions or products referred to in the content. |
© 2023 by the authors. Licensee MDPI, Basel, Switzerland. This article is an open access article distributed under the terms and conditions of the Creative Commons Attribution (CC BY) license (https://creativecommons.org/licenses/by/4.0/).
Share and Cite
Żandarek, J.; Binert-Kusztal, Ż.; Starek, M.; Dąbrowska, M. Development and Optimization of Chromatographic Conditions for the Determination of Selected B Vitamins in Pharmaceutical Products. Processes 2023, 11, 937. https://doi.org/10.3390/pr11030937
Żandarek J, Binert-Kusztal Ż, Starek M, Dąbrowska M. Development and Optimization of Chromatographic Conditions for the Determination of Selected B Vitamins in Pharmaceutical Products. Processes. 2023; 11(3):937. https://doi.org/10.3390/pr11030937
Chicago/Turabian StyleŻandarek, Joanna, Żaneta Binert-Kusztal, Małgorzata Starek, and Monika Dąbrowska. 2023. "Development and Optimization of Chromatographic Conditions for the Determination of Selected B Vitamins in Pharmaceutical Products" Processes 11, no. 3: 937. https://doi.org/10.3390/pr11030937
APA StyleŻandarek, J., Binert-Kusztal, Ż., Starek, M., & Dąbrowska, M. (2023). Development and Optimization of Chromatographic Conditions for the Determination of Selected B Vitamins in Pharmaceutical Products. Processes, 11(3), 937. https://doi.org/10.3390/pr11030937

