Analysis of Bottomhole Rock Stress in Deep-Well Drilling Considering Thermal-Hydro-Mechanical Coupling
Abstract
1. Introduction
2. Thermal-Hydro-Mechanical Coupling Model for Deep-Well Drilling
2.1. Assumptions
- (1)
- The formation is continuous, homogeneous, isotropic, and meets the small deformation condition.
- (2)
- The fluid seepage in the formation is single-phase flow.
- (3)
- The variations in the wellbore temperature and pressure were neglected.
- (4)
- The effect of the water jet on bottomhole rock stress was neglected.
- (5)
- The influence of the thermal radiation on the wellbore temperature was neglected.
2.2. Field Equations
2.2.1. Stress Field
2.2.2. Seepage Field
2.2.3. Temperature Field
2.3. Initial and Boundary Conditions
2.4. Model Solving and Validation
3. Distribution of Formation Temperature, Pressure, and Stress due to Drilling
4. Factors Affecting Bottomhole Rock Stress under the Thermal-Hydro-Mechanical Coupling Effect
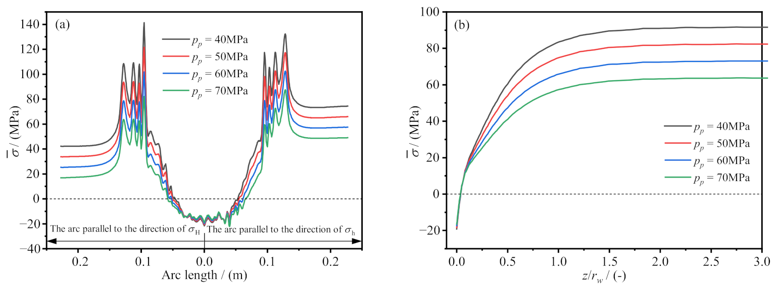
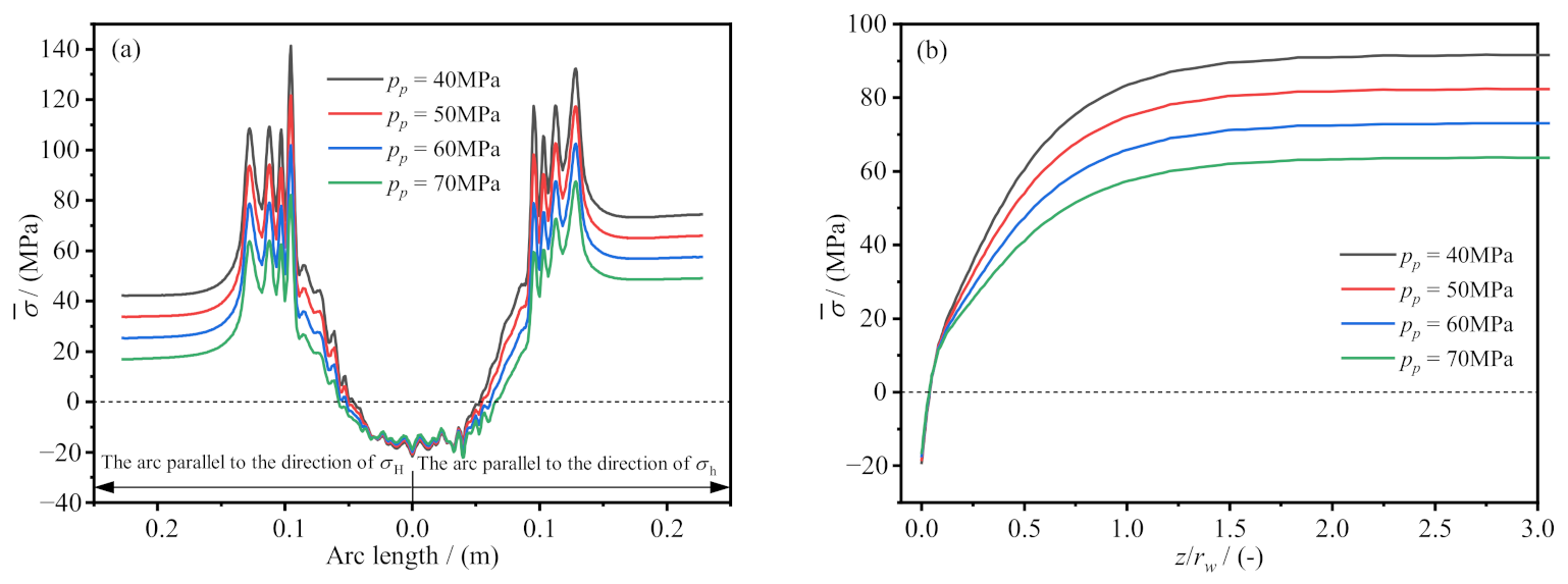
4.1. Formation Pressure
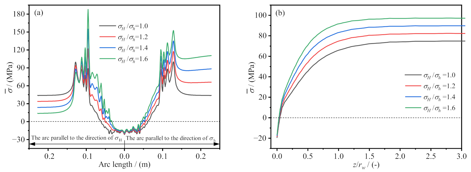
4.2. In Situ Stress
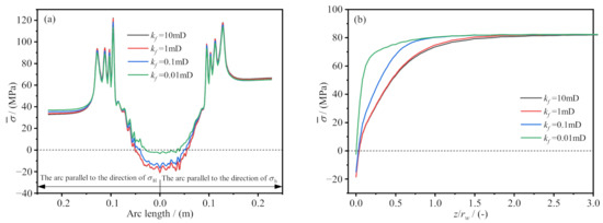
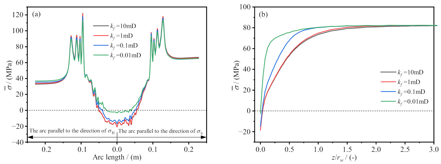
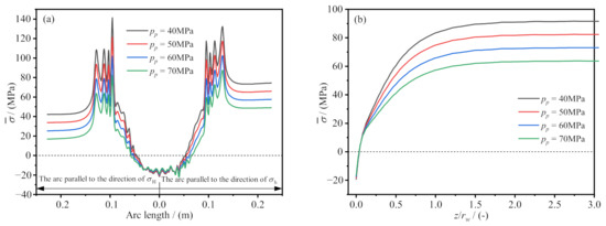
4.3. Formation Permeability
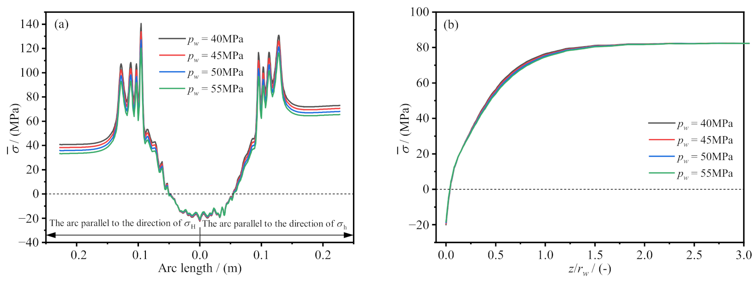
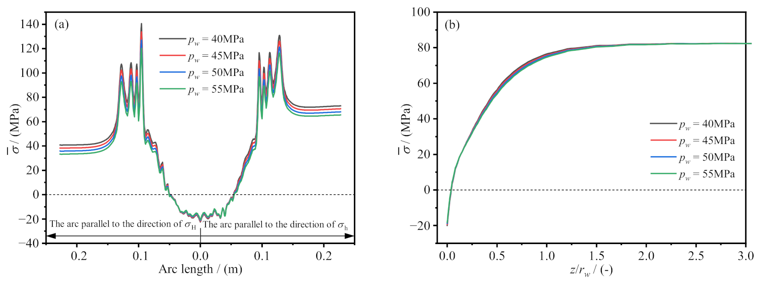
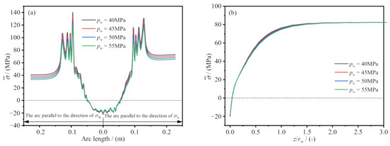
4.4. Wellbore Pressure
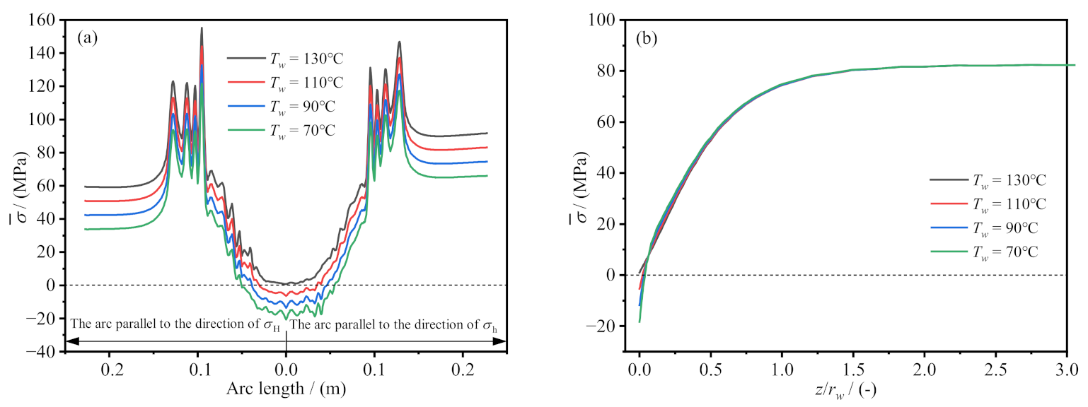
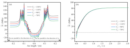
4.5. Wellbore Temperature
5. Conclusions
- (1)
- The formation temperature around the wellbore was controlled by thermal conduction and convection. The formation temperature around the wellbore wall was approximately the same in the different in situ stress directions. With the progression of drilling, the low-temperature zone gradually extended deeper within the formation. In the initial stage of drilling, the pore pressure near the wellbore wall along the direction of the maximum horizontal in situ stress was the smallest, and the pore pressure along the direction of the minimum horizontal in situ stress direction was the largest. With the progression of drilling, the difference in the pore pressure in the two directions gradually decreased.
- (2)
- After the wellbore was drilled, the average effective stress of the formation near the shoulder of the drill bit was the largest, and the average effective stress of the formation near the axis of the drill bit was the smallest. With the progression of drilling, the maximum average effective stress gradually decreased, while the minimum average effective stress remained stable. The bottomhole area under tension increased slightly.
- (3)
- In the bottomhole area near the borehole axis, the average effective stress increased with increasing formation pressure. The higher the in situ stress ratio was, the larger the average effective stress of the bottomhole rocks was. For the wellbore walls, the variation in the average effective stress was different in the different in situ stress directions. The average effective stress in the direction parallel to the maximum horizontal in situ stress decreased as the in situ stress ratio increased, whereas the average effective stress in the direction parallel to the minimum horizontal in situ stress increased as the in situ stress ratio increased.
- (4)
- The formation permeability had a significant effect on the average effective stress of the bottomhole rock near the borehole axis. The lower the formation permeability was, the smaller the average effective stress was, and the smaller the area under tension was. As the wellbore pressure decreased, the average effective stress of the bottomhole rocks near the borehole axis decreased. However, in the bottomhole area between the drill bit shoulder and the wellbore wall, the average effective stress increased with decreasing wellbore pressure. Reducing the wellbore temperature is beneficial to reducing the average effective stress of the bottomhole formation, thereby promoting bottomhole rock breakage.
- (5)
- With increasing formation depth, the average effective stress of the bottomhole rocks initially increased and then became stable. The formation permeability and wellbore temperature had greater influence on the average effective stress of the formation near the bottomhole area. However, the formation pressure and in situ stress had greater influence on the average effective stress of the formation farther away from the bottomhole area. In addition, the influence of the wellbore pressure on the average effective stress of the formation below the bottomhole area was minimal.
- (6)
- The present work focuses on the thermal-hydro-mechanical coupling effect on bottomhole rock stress in deep-well drilling, and the proposed model can be used to calculate the bottomhole stress, pore pressure and temperature during drilling. However, the model also exhibits some limitations. For example, the model neglected the influence of water jet, dynamic wellbore pressure, dynamic wellbore temperature, and multiphase flow in formation, and those aspects need to be improved in future work.
Author Contributions
Funding
Data Availability Statement
Conflicts of Interest
References
- Wang, H.G.; Huang, H.C.; Bi, W.X.; Ji, G.D.; Zhou, B.; Zhuo, L.B. Deep and ultra-deep oil and gas well drilling technologies: Progress and prospect. Nat. Gas Ind. B 2022, 9, 141–157. [Google Scholar] [CrossRef]
- Su, Y.N.; Lu, B.P.; Liu, Y.S. Status and research suggestions on the drilling and completion technologies for onshore deep and ultra deep wells in China. Oil Drill. Prod. Technol. 2020, 42, 527–542. [Google Scholar]
- Zou, C.N.; Zhai, G.M.; Zhang, G.Y.; Wang, H.J.; Zhang, G.S.; Li, J.Z.; Wang, Z.M.; Wen, Z.X.; Ma, F.; Liang, Y.B.; et al. Formation, distribution, potential and prediction of global conventional and unconventional hydrocarbon resources. Pet. Explor. Dev. 2015, 42, 14–28. [Google Scholar] [CrossRef]
- Vedachalam, N.; Srinivasalu, S.; Rajendran, G.; Ramadass, G.A.; Atmanand, M.A. Review of unconventional hydrocarbon resources in major energy consuming countries and efforts in realizing natural gas hydrates as a future source of energy. J. Nat. Gas Sci. Eng. 2015, 26, 163–175. [Google Scholar] [CrossRef]
- Li, G.S.; Song, X.Z.; Tian, S.C. Intelligent drilling technology research status and development trends. Pet. Drill. Tech. 2020, 48, 1–8. [Google Scholar]
- Li, G.; Yang, M.; Meng, Y.F.; Liu, H.; Han, L.; Zhou, F.; Zhang, H. The assessment of correlation between rock drillability and mechanical properties in the laboratory and in the field under different pressure conditions. J. Nat. Gas Sci. Eng. 2016, 30, 405–413. [Google Scholar] [CrossRef]
- Fang, T.C.; Ren, F.S.; Liu, H.X.; Zhang, Y.; Cheng, J.X. Progress and development of particle jet drilling speed-increasing technology and rock-breaking mechanism for deep well. J. Pet. Explor. Prod. Technol. 2022, 12, 1697–1708. [Google Scholar] [CrossRef]
- Peng, N.; Ma, T.S.; Zhu, G.S.; Su, Q. Anti-drilling ability of Ziliujing conglomerate formation in Western Sichuan Basin of China. Petroleum 2022, in press. [Google Scholar] [CrossRef]
- Li, C.P.; Duan, L.C.; Wu, L.J.; Tan, S.C.; Zheng, J.; Chikhotkin, V. Experimental and numerical analyses of electro-pulse rock-breaking drilling. J. Nat. Gas Sci. Eng. 2020, 77, 103263. [Google Scholar] [CrossRef]
- Jia, S.P.; Wen, C.X.; Deng, F.C.; Yan, C.L.; Xiao, Z.Q. Coupled THM modelling of wellbore stability with drilling unloading, fluid flow, and thermal effects considered. Math. Probl. Eng. 2019, 2019, 1–20. [Google Scholar] [CrossRef]
- Tian, J.L.; Li, J.R.; Cheng, W.M.; Zhu, Z.; Yang, L.; Yang, Y.; Zhang, T.J. Working mechanism and rock-breaking characteristics of coring drill bit. J. Pet. Sci. Eng. 2018, 162, 348–357. [Google Scholar] [CrossRef]
- Yang, Y.X.; Yang, Y.; Liu, X.M.; Huang, K.L.; Ren, H.T. Optimized design and application of a directional reaming-while-drilling polycrystalline diamond compact bit. Eng. Failure Anal. 2019, 105, 699–707. [Google Scholar] [CrossRef]
- Hu, H.G.; Guan, Z.C.; Zhang, B.; Xu, Y.Q.; Liu, Y.W.; Wang, B. Structure design of weight-on-bit self-adjusting PDC bit based on stress field analysis and experiment evaluation. J. Pet. Sci. Eng. 2021, 196, 107692. [Google Scholar] [CrossRef]
- Hu, H.G.; Guan, Z.C.; Wang, B.; Lu, B.P.; Chen, W.Q.; Xu, Y.Q.; Liu, Y.W. Research on weight-on-bit self-adjusting dual-diameter pdc bit design and effect evaluation utilizing stress-releasing effect of rock at bottomhole. Arabian J. Sci. Eng. 2021, 46, 6925–6937. [Google Scholar] [CrossRef]
- Ma, T.S.; Chen, P.; Zhao, J. Overview on vertical and directional drilling technologies for the exploration and exploitation of deep petroleum resources. Geomech. Geophys. Geo-Energy Geo-Resour. 2016, 2, 365–395. [Google Scholar] [CrossRef]
- Wang, H.J.; Liao, H.L.; Wei, J.; Liu, J.S.; Niu, W.L.; Liu, Y.W.; Guan, Z.C.; Sellami, H.; Latham, J.P. Stress release mechanism of deep bottom hole rock by ultra-high-pressure water jet slotting. Pet. Sci. 2022, in press. [Google Scholar] [CrossRef]
- Cao, S.R.; Ge, Z.L.; Zhang, D.; Zhou, Z.; Lu, Y.Y.; Zhao, H.Y. An experimental study of ultra-high pressure water jet-induced fracture mechanisms and pore size evolution in reservoir rocks. Int. J. Rock Mech. Min. 2022, 150, 104995. [Google Scholar] [CrossRef]
- Ren, F.S.; Fang, T.C.; Cheng, X.Z. Theoretical modeling and experimental study of rock-breaking depth in particle jet impact drilling process. J. Pet. Sci. Eng. 2019, 183, 106419. [Google Scholar] [CrossRef]
- Chen, K.; Huang, Z.Q.; Deng, R.; Zhang, W.L.; Kang, M.Q.; Ma, Y.C.; SHI, M.J.; Yan, J. Research on the temperature and stress fields of elliptical laser irradiated sandstone, and drilling with the elliptical laser-assisted mechanical bit. J. Pet. Sci. Eng. 2022, 211, 110147. [Google Scholar] [CrossRef]
- Peng, Y.; Shen, Z.H.; Fan, S.H. Finite element model for analyzing stress field of bottom hole based on excavating method. Acta Pet. Sin. 2006, 27, 133–137. [Google Scholar]
- Li, G.; Chang, D.; Shen, Z.; Huang, Z.; Tian, S.; Shi, H.; Song, X. Study of the bottom-hole rock stress field under water jet impact. Energy Sources Part A 2016, 38, 164–173. [Google Scholar] [CrossRef]
- Li, W.; Yan, T.; Bi, X.L.; Sun, S.H. Study of Rock Stress State Near the Bottom to Underbalange Drilling. Sci. Technol. Eng. 2012, 12, 5139–5143. [Google Scholar]
- Heydarshahy, S.A.; Karekal, S. Influences of bit profiles on possible fracture modes. Pet. Explor. Dev. 2017, 44, 667–674. [Google Scholar] [CrossRef]
- Shen, Z.; Peng, Y. Analysis of bottom-hole stress field of two-stage PDC bit. J. China Univ. Pet. Ed. Nat. Sci. 2006, 30, 62–67. [Google Scholar]
- Warren, T.M.; Smith, M.B. Bottomhole stress factors affecting drilling rate at depth. J. Pet. Technol. 1985, 37, 1523–1533. [Google Scholar] [CrossRef]
- Chang, D.; Li, G.; Shen, Z.; Huang, Z.; Tian, S.; Shi, H.; Song, X. A study on the effect of bottom-hole differential pressure on the rock stress field. Energy Sources Part A 2014, 36, 275–283. [Google Scholar] [CrossRef]
- Chen, P.J.; Miska, S.; Yu, M.J.; Ozbayoglu, E. Poroelastic modeling of cutting bottom-hole rock–Part I: Stress state of bottom-hole rock. J. Pet. Sci. Eng. 2020, 189, 107014. [Google Scholar] [CrossRef]
- Hu, H.G.; Guan, Z.C.; Xu, Y.Q.; Han, C.; Liu, Y.W.; Liang, D.Y.; Lu, B.P. Bottom-hole stress analysis of ultra-deep wells based on theory of poroelastic mechanics. J. China Univ. Pet. Ed. Nat. Sci. 2020, 44, 52–61. [Google Scholar]
- Hu, H.G.; Guan, Z.C.; Shor, R.; Xu, Y.Q.; Han, C.; Liu, Y.W.; Lu, B.P. Dynamic response and strength failure analysis of bottomhole under balanced drilling condition. J. Pet. Sci. Eng. 2020, 194, 107561. [Google Scholar] [CrossRef]
- Li, S.B.; Dou, T.W.; Dong, D.R.; Zhang, H.J.; Wang, M.; Liu, T.E. Stress state of bottom-hole rocks in underbalanced drilling. Acta Pet. Sin. 2011, 32, 329–334. [Google Scholar] [CrossRef]
- Zhang, H.; Zhang, H.Y.; Guo, B.Y.; Gang, M.H. Analytical and numerical modeling reveals the mechanism of rock failure in gas UBD. J. Nat. Gas Sci. Eng. 2012, 4, 29–34. [Google Scholar] [CrossRef]
- Zhang, R.; Li, G.S.; Tian, S.C. Stress distribution and its influencing factors of bottom-hole rock in underbalanced drilling. J. Cent. South Univ. 2018, 25, 1766–1773. [Google Scholar] [CrossRef]
- Wang, Y.L.; Dusseault, M.B. A coupled conductive–convective thermo-poroelastic solution and implications for wellbore stability. J. Pet. Sci. Eng. 2003, 38, 187–198. [Google Scholar] [CrossRef]
- Coussy, O. Mechanics and Physics of Porous Solids; John Wiley & Sons: Oxford, UK, 2011; pp. 78–80. [Google Scholar]
- Salimzadeh, S.; Paluszny, A.; Nick, H.M.; Zimmerman, R.W. A three-dimensional coupled thermo-hydro-mechanical model for deformable fractured geothermal systems. Geothermics 2018, 71, 212–224. [Google Scholar] [CrossRef]
- Abousleiman, Y.; Ekbote, S. Solutions for the inclined borehole in a porothermoelastic transversely isotropic medium. J. Appl. Mech. 2005, 72, 102–114. [Google Scholar] [CrossRef]












| No. | Parameters | Value | Units |
|---|---|---|---|
| 1 | Well depth, h | 3048 | m |
| 2 | Borehole radius, rw | 0.111 | m |
| 3 | Drilling fluid density, ρf | 1050 | kg/m3 |
| 4 | Vertical in situ stress, σv | 68.95 | MPa |
| 5 | Wellbore pressure, pw | 32.41 | MPa |
| 6 | Formation pressure, p0 | 32.41 | MPa |
| 7 | Maximum horizontal in situ stress, σH | 48.26 | MPa |
| 8 | Minimum horizontal in situ stress, σh | 48.26 | MPa |
| 9 | Young’s modulus of the rock, E | 13,789.5 | MPa |
| 10 | Poisson’s ratio of the rock, ν | 0.25 | - |
| 11 | Formation permeability, k | 1 | mD |
| 12 | Formation porosity, ϕ | 0.15 | - |
| 13 | Rock density, ρs | 2262 | kg/m3 |
| 14 | Rock compression coefficient, cs | 2.697 × 10−5 | MPa−1 |
| 15 | Drill bit profile code | IADC5-3-7bit | - |
| No. | Parameters | Value | Units |
|---|---|---|---|
| Material parameters | |||
| 1 | Poisson’s ratio of the rock(drained), ν | 0.291 | - |
| 2 | Young’s modulus of the rock, E | 26.3 | GPa |
| 3 | Poisson’s ratio of the rock(undrained), νu | 0.45 | - |
| 4 | Skempton’s coefficient of the rock, B | 0.85 | - |
| 5 | Formation permeability, k | 1 | mD |
| 6 | Formation fluid viscosity, μ | 5 | mPa·s |
| 7 | Formation porosity, ϕ | 0.1 | - |
| 8 | Rock density, ρs | 2680 | kg/m3 |
| 9 | Formation fluid density, ρf | 1000 | kg/m3 |
| 10 | Specific heat capacity of the rock, Cs | 890 | J/(kg·K) |
| 11 | Specific heat capacity of the fluid, Cf | 2510 | J/(kg·K) |
| 12 | Thermal conductivity of the rock, λs | 46 | J/(m·K·s) |
| 13 | Thermal conductivity of the fluid, λf | 26 | J/(m·K·s) |
| 14 | Coefficient of volumetric expansion of the rock, βs | 5 × 10−5 | 1/°C |
| 15 | Coefficient of volumetric expansion of the fluid, βf | 2 × 10−4 | 1/°C |
| Formation parameters | |||
| 16 | Original formation temperature, T0 | 130 | °C |
| 17 | Original formation pressure, p0 | 50 | MPa |
| 18 | Maximum horizontal in situ stress, σH | 132 | MPa |
| 19 | Minimum horizontal in situ stress, σh | 110 | MPa |
| 20 | Vertical in situ stress, σv | 144 | MPa |
| Wellbore parameters | |||
| 21 | Borehole radius, rw | 0.111 | m |
| 22 | Wellbore pressure, pw | 54 | MPa |
| 23 | Wellbore temperature, Tw | 70 | °C |
Disclaimer/Publisher’s Note: The statements, opinions and data contained in all publications are solely those of the individual author(s) and contributor(s) and not of MDPI and/or the editor(s). MDPI and/or the editor(s) disclaim responsibility for any injury to people or property resulting from any ideas, methods, instructions or products referred to in the content. |
© 2023 by the authors. Licensee MDPI, Basel, Switzerland. This article is an open access article distributed under the terms and conditions of the Creative Commons Attribution (CC BY) license (https://creativecommons.org/licenses/by/4.0/).
Share and Cite
Yang, B.; Xu, H. Analysis of Bottomhole Rock Stress in Deep-Well Drilling Considering Thermal-Hydro-Mechanical Coupling. Processes 2023, 11, 683. https://doi.org/10.3390/pr11030683
Yang B, Xu H. Analysis of Bottomhole Rock Stress in Deep-Well Drilling Considering Thermal-Hydro-Mechanical Coupling. Processes. 2023; 11(3):683. https://doi.org/10.3390/pr11030683
Chicago/Turabian StyleYang, Bin, and Honglin Xu. 2023. "Analysis of Bottomhole Rock Stress in Deep-Well Drilling Considering Thermal-Hydro-Mechanical Coupling" Processes 11, no. 3: 683. https://doi.org/10.3390/pr11030683
APA StyleYang, B., & Xu, H. (2023). Analysis of Bottomhole Rock Stress in Deep-Well Drilling Considering Thermal-Hydro-Mechanical Coupling. Processes, 11(3), 683. https://doi.org/10.3390/pr11030683
