Leakage Model of Tubing and Casing Premium Connection Based on Sinusoidal Contact Simulation between Rough Surfaces
Abstract
1. Introduction
2. Model Development
2.1. Seal Structure and Micro-Leakage Channel for Premium Connections
2.2. Micro-Leakage Model for Tubing and Casing Premium Connection
2.2.1. Profile Curve Model of Sealing Surface
2.2.2. Parameter Calculation of Simulated Sine Wave Surface
2.2.3. Contact Model of Axisymmetric Sinusoidal Micro-Convex Surface
2.2.4. Micro-Leakage Model for Premium Connections
3. Results and Discussion
3.1. Basic Parameters
3.2. Model Validation
3.3. Results Analysis
4. Conclusions
- (1)
- A semi-theoretical model to quantitatively predict leakage rate of tubing and casing premium connections has been proposed based on sinusoidal contact simulation on rough surfaces. The geometric parameters of the sealing surface profile approximated by a sinusoidal micro-convex surface were obtained based on the random normal distribution sampling method. With the actual area prediction formula for the elastic–plastic contact of an axisymmetric sinusoidal micro-convex body, the circumferential leakage width and radial average leakage height of the micro-leakage channel between sealing surfaces were acquired. The actual micro-leakage rate of the premium connection was derived by dividing the sealing structure into a series of sealing contact units along the axial direction of connection and using the boundary conditions of the fluid leakage pressure and the continuity conditions of the leakage rate of each unit.
- (2)
- A cone-to-cone-type premium connection was taken as an example investigation to validate the model and reveal the sealing and leakage characteristics of a connection.
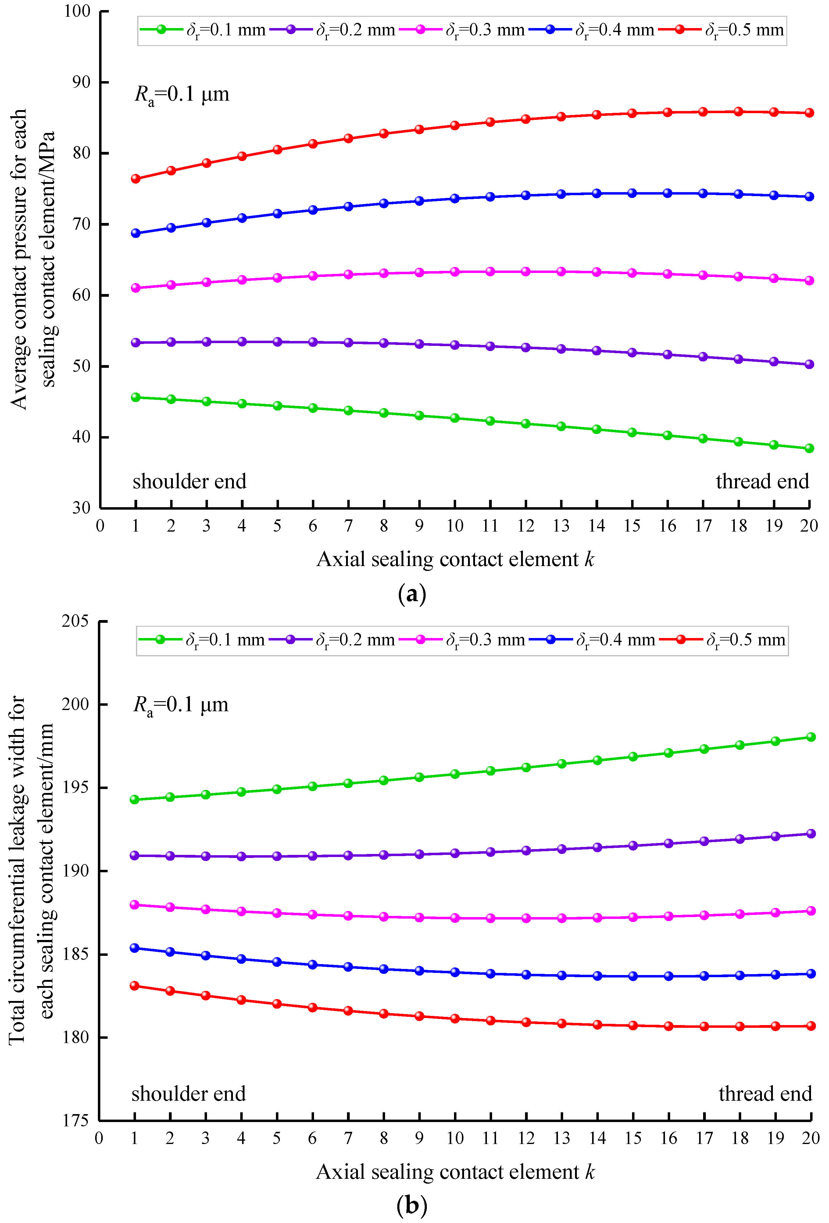
- Affected by the uneven distribution of the contact pressure on the sealing surface, the circumferential leakage width and radial average leakage height between sealing surfaces are both non-uniformly distributed.
- The leakage rate of a premium connection decreases exponentially with an increase in radial interference between sealing surfaces.
- The lower the roughness of a sealing surface, the smaller the mean contact pressure to completely lock the leakage channel. In the example when the roughness values were 0.1 and 0.4 µm, the mean contact pressures of the sealing surface corresponding to the critical allowable leakage rate of 0.9 cm3/15 min should be greater than 366 and 580 MPa, respectively.
- (3)
- To improve the gas sealability of a premium connection, the radial interference between the sealing surfaces should be increased to reduce the leakage channel cross-sectional area, and the machining accuracy of the sealing surface should be improved to reduce the roughness of the sealing surface.
- (4)
- The proposed model in this paper provides a fast and quantitative sealability evaluation method for premium connections. However, some affecting factors, including additional sealing from torque shoulder, more sealing structure types, thread grease’s effects, and contact pressure relaxation in high-pressure and high-temperature environments, have not been comprehensively considered, and the model was also validated mainly by the previous literature. Consequently, some corresponding full-scale experimental testing and model refinement should be carried out to further improve model reliability in later work.
Author Contributions
Funding
Data Availability Statement
Conflicts of Interest
Nomenclature
| Zi | height sample of roughness profile, μm |
| N | number of Zi, integer |
| μ | mean value of Zi, μm |
| σ | standard deviation of Zi, μm |
| c1, c2 | random numbers distributed uniformly between zero and one |
| Ra | surface roughness, μm |
| Ry | maximum peak-to-valley distance of roughness profile, μm |
| εμ | mean error of Zi, dimensionless |
| εy | maximum peak-to-valley distance error, dimensionless |
| Zi,max, Zi,min | maximum and minimum values of profile height samples, respectively, μm |
| I | sampling spacing, μm |
| xi | coordinate value along sampling length, μm |
| NP | total number of peak points of the profile curve, integer |
| NT | total number of valley points of the profile curve, integer |
| λPj | horizontal distance between adjacent wave peaks, μm |
| λTk | horizontal distance between adjacent valleys, μm |
| hj | vertical distance between adjacent peaks and valleys, μm |
| average horizontal distance between adjacent wave peaks, μm | |
| average horizontal distance between adjacent valleys, μm | |
| average vertical distance between adjacent peaks and valleys, μm | |
| λ | fitted sinusoidal wavelength of the roughness profile, μm |
| Δ | fitted sinusoidal amplitude of the roughness profile, μm |
| r | corresponding radial coordinate at the height of the axisymmetric sinusoidal micro-convex surface, μm |
| E | elastic modulus of string, MPa |
| E* | equivalent elastic modulus of the contact pair, MPa |
| Sy | yield strength of the softer material for sealing contact pair, MPa |
| E1, E2 | elastic moduli of the materials of the two contact surfaces, respectively, MPa |
| ν1, ν2 | Poisson’s ratios of two contact surface materials, respectively, dimensionless |
| Aep | actual contact area of a single sinusoidal micro-convex body, μm2 |
| dimensionless actual contact area of a single sinusoidal micro-convex body, dimensionless | |
| geometric average pressure on sealing surface, MPa | |
| critical contact pressure for a single sinusoidal convex body in complete elastoplastic contact with a rigid plane, MPa | |
| a, b | contact and non-contact half-widths of a single micro-convex body in the cross section, respectively, μm |
| δ | flattening distance of a single micro-convex body in the cross section, μm |
| δ* | dimensionless flattening distance, dimensionless |
| B | total circumferential leakage width on sealing surface, mm |
| Ds | average diameter of sealing surface, mm |
| H | radial average leakage height on sealing surface, mm |
| Qv | gas leakage volume rate of a premium connection, cm3/s |
| pin, pout | internal and external gas pressures for tubing and casing string with a premium connection, respectively, MPa |
| η | dynamic viscosity of the sealed gas in the strings, MPa·s |
| Ls | total axial length of the sealing surface for a premium connection, mm |
| Dsmax, Dsmin | maximum and minimum diameters of the sealing surface, respectively, mm |
| γs | cone angle of the sealing surface for cone-to-cone premium connection, ° |
| Lsk | sealing length of the kth sealing element, mm |
| n | number of sealing elements, integer |
| Dsk | average sealing diameter of the kth sealing element, mm |
| sealing contact pressure generated by radial interference between sealing surfaces, MPa | |
| additional contact pressure on the sealing surface generated by the gas pressure in the string, MPa | |
| δr | radial interference between sealing surfaces, mm |
| W | outer diameter of the coupling, mm |
| d | internal diameter of the string, mm |
| i,j,k | respectively, integer |
References
- Feng, Y.R.; Fu, A.Q.; Wang, J.D.; Wang, P.; Li, D.F.; Yin, C.X.; Liu, H.T. Failure control and integrity technologies of tubing/casing string under complicated working conditions: Research progress and prospect. Nat. Gas Ind. 2020, 40, 106–114. [Google Scholar]
- Bradley, A.B.; Nagasaku, S.; Verger, E. Premium connection design, testing, and installation for HPHT sour wells. In Proceedings of the SPE High Pressure/High Temperature Sour Well Design Applied Technology Workshop, The Woodlands, TX, USA, 17–19 May 2005; pp. 1–8. [Google Scholar]
- Bassarath, W.; Lafuente, M.; Branly, R. Development and qualification of a next generation gas tight connection incorporating metal-to-metal Technology. In Proceedings of the International Petroleum Technology Conference, Doha, Qatar, 6–9 December 2015; pp. 1–20. [Google Scholar]
- American Petroleum Institute. Calculating Performance Properties of Pipe Used as Casing or Tubing, API TR 5C3; API Publishing Services: Washington, DC, USA, 2018; pp. 48–50. [Google Scholar]
- ISO/TR 10400; Petroleum and Natural Gas Industries—Formulae and Calculations for the Properties of Casing, Tubing, Drillpipe, and Line Pipe Used as Casing or Tubing. Technical Committee ISO/TC 67, Materials, Equipment and Offshore Structures for Petroleum, Petrochemical and Natural Gas Industries, Subcommittee SC 5, Casing, Tubing and Drill Pipe. The International Organization for Standardization: Geneva, Switzerland, 2018; pp. 45–47.
- Gao, L.X.; Jin, Y.; Zhang, J.Q. Seal design of premium threaded casing connections. Chin. J. Mech. Eng. 2005, 41, 216–220. [Google Scholar] [CrossRef]
- Murtagian, G.R.; Fanelli, V.; Villasante, J.A.; Johnson, D.H.; Ernst, H.A. Sealability of stationary metal-to-metal seals. J. Trib. 2004, 126, 591–596. [Google Scholar] [CrossRef]
- Xie, J.; Matthews, C.; Hamilton, A. A study of sealability evaluation criteria for casing connections in thermal wells. In Proceedings of the SPE Canada Heavy Oil Technical Conference, Calgary, AB, Canada, 7–9 June 2016; pp. 1–12. [Google Scholar]
- Wang, J.D.; Feng, Y.R.; Lin, K.; Qin, C.Y.; Song, Y.P. Comparison analysis of premium connections seal structure. J. China Univ. Pet. Ed. Nat. Sci. 2010, 34, 126–130. [Google Scholar]
- Chen, W.; Di, Q.F.; Zhang, H.; Chen, F.; Wang, W.C. The sealing mechanism of tubing and casing premium threaded connections under complex loads. J. Pet. Sci. Eng. 2018, 171, 724–730. [Google Scholar] [CrossRef]
- Dou, Y.H.; Yu, Y.; Cao, Y.P.; Yang, X.T. Comparative analysis of the sealability of premium connection under the effect of dynamic load. China Petrol. Mach. 2014, 42, 63–72. [Google Scholar]
- Dou, Y.; Li, Y.; Cao, Y.; Yu, Y.; Zhang, J.; Zhang, L. FE simulation of sealing ability for premium connection based on ISO 13679 CAL IV tests. Int. J. Struct. Integr. 2020, 12, 138–148. [Google Scholar] [CrossRef]
- Kim, B.; Huang, J.; Yoon, J.Y. Design optimization of OCTG premium connection system based on the effect of stabbing flank angle. J. Mech. Sci. Technol. 2021, 35, 545–561. [Google Scholar] [CrossRef]
- Zhang, Y.; Lian, Z.; Zhou, M.; Lin, T. Viscoelastic behavior of a casing material and its utilization in premium connections in high-temperature gas wells. Adv. Mech. Eng. 2018, 10, 1–8. [Google Scholar] [CrossRef]
- Yu, Y.; Qu, Z.; Dou, Y.; Cao, Y. Analysis of Energy Dissipation on the Sealing Surface of Premium Connection Based on a Microslip Shear Layer Model. Energies 2022, 15, 8400. [Google Scholar] [CrossRef]
- Xu, H.L.; Li, T.L.; Yang, B.; Shi, T.H.; Zhang, Z. Theoretical analysis of sphere to cone sealing performance for tubing and casing premium connection. J. Southwest Pet. Univ. Sci. Technol. Ed. 2016, 38, 179–184. [Google Scholar]
- Xu, H.L.; Yang, B. A Quantitative Model to Calculate Gas Sealing Capacity and Design Sealing Parameters for Premium Connection. Math. Probl. Eng. 2020, 2020, 9074381. [Google Scholar] [CrossRef]
- Yang, B.; Xu, H.; Xiang, S.; Zhang, Z.; Su, K.; Yang, Y. Effects of Make-Up Torque on the Sealability of Sphere-Type Premium Connection for Tubing and Casing Strings. Processes 2023, 11, 256. [Google Scholar] [CrossRef]
- Hamilton, K.A.; Wagg, B.; Roth, T. Using ultrasonic techniques to accurately examine seal surface contact stress in premium connections. In Proceedings of the SPE Annual Technical Conference and Exhibition, Anaheim, CA, USA, 11–14 November 2007; pp. 1–14. [Google Scholar]
- ISO 13679; Petroleum and Natural Gas Industries—Procedures for Testing Casing and Tubing Connections, Technical Committee ISO/TC 67, Materials, Equipment and Offshore Structures for Petroleum, Petrochemical and Natural Gas Industries, Subcommittee SC 5, Casing, Tubing and Drill Pipe. The International Organization for Standardization: Geneva, Switzerland, 2002; pp. 18–22.
- Bei, G.; Ma, C.; Sun, J.; Ni, X.; Ma, Y. A Porous Media Leakage Model of Contact Mechanical Seals Considering Surface Wettability. Coatings 2021, 11, 1338. [Google Scholar] [CrossRef]
- Zheng, W.; Sun, J.; Ma, C.; Yu, Q. The Theoretical Basis of Face Contact Pressure Design of the Zero-Leakage Mechanical Seal. Coatings 2022, 12, 536. [Google Scholar] [CrossRef]
- Xu, Z.Q.; Yan, X.Z.; Yang, X.J.; Yin, X.K.; Wang, M.D.; Zheng, X.Y. Aplication of micro-leakage mechanism for evaluating the sealing performance of non-API casing connections. Acta Pet. Sin. 2014, 35, 963–971. [Google Scholar]
- Gao, Y.F.; Bower, A.F.; Kim, K.S.; Lev, L.; Cheng, Y.T. The behavior of an elastic–perfectly plastic sinusoidal surface under contact loading. Wear 2006, 261, 145–154. [Google Scholar] [CrossRef]
- Krithivasan, V.; Jackson, R.L. An analysis of three-dimensional elasto-plastic sinusoidal contact. Tribol. Lett. 2007, 27, 31–43. [Google Scholar] [CrossRef]
- Ciavarella, M.; Murolo, G.; Demelio, G.; Barber, J.R. Elastic contact stiffness and contact resistance for the Weierstrass profile. J. Mech. Phys. Solids 2004, 52, 1247–1265. [Google Scholar] [CrossRef]
- Jackson, R.L.; Streator, J.L. A multi-scale model for contact between rough surfaces. Wear 2006, 261, 1337–1347. [Google Scholar] [CrossRef]
- Ghaednia, H.; Wang, X.; Saha, S.; Xu, Y.; Sharma, A.; Jackson, R.L. A review of elastic–plastic contact mechanics. Appl. Mech. Rev. 2017, 69, 060804. [Google Scholar] [CrossRef]
- ISO 4288; Geometrical Product Specifications (GPS)—Surface Texture: Profile Method—Rules and Procedures for the Assessment of Surface Texture, Technical Committee ISO/TC 57, Metrology and Properties of Surfaces, Subcommittee SC1. The International Organization for Standardization: Geneva, Switzerland, 1994; pp. 1–8.
- Johnson, K.L. Contact Mechanics; Cambridge University Press: Cambridge, UK, 1987; pp. 103–119. [Google Scholar]
- Sheng, J.C. Engineering Fluid Mechanics; China Machine Press: Beijing, China, 1988; p. 193. [Google Scholar]
- Buchter, H.H. Industrial Sealing Technology; Chemical Industry Press: Beijing, China, 1988; pp. 41–53. [Google Scholar]










| Grade of Machining Accuracy | Ra/μm | Ry/μm | μ/μm | σ/μm |
|---|---|---|---|---|
| 7 | 1.6 | 3.2 | 1.6 | 0.533333 |
| 8 | 0.8 | 1.6 | 0.8 | 0.266667 |
| 9 | 0.4 | 0.8 | 0.4 | 0.133333 |
| 10 | 0.2 | 0.4 | 0.2 | 0.066667 |
| 11 | 0.1 | 0.2 | 0.1 | 0.033333 |
| Ra/μm | I/μm | N | NP | NT | NP/N | NT/N | λ/μm | Δ/μm | λ/I | Δ/Ra | |||
|---|---|---|---|---|---|---|---|---|---|---|---|---|---|
| 0.1 | 0.2 | 8000 | 2679 | 2679 | 0.5972 | 0.5974 | 0.0568 | 0.335 | 0.335 | 0.597 | 0.028 | 2.986 | 0.284 |
| 0.4 | 4000 | 1356 | 1357 | 1.1802 | 1.1796 | 0.0561 | 0.339 | 0.339 | 1.180 | 0.028 | 2.951 | 0.281 | |
| 0.6 | 2667 | 885 | 886 | 1.8072 | 1.8059 | 0.0571 | 0.332 | 0.332 | 1.807 | 0.029 | 3.012 | 0.286 | |
| 0.8 | 2000 | 662 | 663 | 2.4169 | 2.4157 | 0.0573 | 0.331 | 0.332 | 2.416 | 0.029 | 3.021 | 0.287 | |
| 1 | 1600 | 541 | 542 | 2.9556 | 2.9538 | 0.0558 | 0.338 | 0.339 | 2.955 | 0.028 | 2.956 | 0.279 | |
| 0.2 | 0.2 | 8000 | 2669 | 2668 | 0.5996 | 0.5996 | 0.1112 | 0.334 | 0.334 | 0.600 | 0.056 | 2.998 | 0.278 |
| 0.4 | 4000 | 1324 | 1324 | 1.2085 | 1.2088 | 0.1133 | 0.331 | 0.331 | 1.209 | 0.057 | 3.021 | 0.283 | |
| 0.6 | 2667 | 906 | 905 | 1.7673 | 1.7666 | 0.1119 | 0.340 | 0.339 | 1.767 | 0.056 | 2.946 | 0.280 | |
| 0.8 | 2000 | 666 | 666 | 2.4036 | 2.4024 | 0.1147 | 0.333 | 0.333 | 2.403 | 0.057 | 3.005 | 0.287 | |
| 1 | 1600 | 539 | 539 | 2.9703 | 2.9665 | 0.1104 | 0.337 | 0.337 | 2.968 | 0.055 | 2.970 | 0.276 | |
| 0.4 | 0.2 | 8000 | 2684 | 2683 | 0.5962 | 0.5963 | 0.2269 | 0.336 | 0.335 | 0.596 | 0.113 | 2.981 | 0.284 |
| 0.4 | 4000 | 1334 | 1334 | 1.2000 | 1.1994 | 0.2230 | 0.334 | 0.334 | 1.200 | 0.112 | 3.000 | 0.279 | |
| 0.6 | 2667 | 897 | 897 | 1.7844 | 1.7837 | 0.2226 | 0.336 | 0.336 | 1.784 | 0.111 | 2.974 | 0.278 | |
| 0.8 | 2000 | 665 | 666 | 2.4060 | 2.4036 | 0.2200 | 0.333 | 0.333 | 2.405 | 0.110 | 3.008 | 0.275 | |
| 1 | 1600 | 554 | 553 | 2.8915 | 2.8949 | 0.2194 | 0.346 | 0.346 | 2.893 | 0.110 | 2.892 | 0.274 | |
| 0.8 | 0.2 | 8000 | 2686 | 2685 | 0.5958 | 0.5959 | 0.4493 | 0.336 | 0.336 | 0.596 | 0.225 | 2.979 | 0.281 |
| 0.4 | 4000 | 1323 | 1323 | 1.2094 | 1.2097 | 0.4588 | 0.331 | 0.331 | 1.210 | 0.229 | 3.024 | 0.287 | |
| 0.6 | 2667 | 880 | 880 | 1.8189 | 1.8175 | 0.4622 | 0.330 | 0.330 | 1.818 | 0.231 | 3.032 | 0.289 | |
| 0.8 | 2000 | 681 | 682 | 2.3482 | 2.3471 | 0.4522 | 0.341 | 0.341 | 2.348 | 0.226 | 2.935 | 0.283 | |
| 1 | 1600 | 536 | 535 | 2.9888 | 2.9925 | 0.4579 | 0.335 | 0.334 | 2.991 | 0.229 | 2.989 | 0.286 | |
| 1.6 | 0.2 | 8000 | 2631 | 2632 | 0.6082 | 0.6081 | 0.9007 | 0.329 | 0.329 | 0.608 | 0.450 | 3.041 | 0.281 |
| 0.4 | 4000 | 1340 | 1339 | 1.1946 | 1.1949 | 0.8670 | 0.335 | 0.335 | 1.195 | 0.434 | 2.987 | 0.271 | |
| 0.6 | 2667 | 871 | 871 | 1.8370 | 1.8377 | 0.9134 | 0.327 | 0.327 | 1.837 | 0.457 | 3.062 | 0.285 | |
| 0.8 | 2000 | 687 | 687 | 2.3300 | 2.3312 | 0.8884 | 0.344 | 0.344 | 2.331 | 0.444 | 2.913 | 0.278 | |
| 1 | 1600 | 527 | 528 | 3.0361 | 3.0342 | 0.9186 | 0.329 | 0.330 | 3.035 | 0.459 | 3.036 | 0.287 |
| Symbol | Value | Unit | Symbol | Value | Unit |
|---|---|---|---|---|---|
| W | 194.31 | mm | pin | 50 | MPa |
| d | 157.08 | mm | pout | 0 | MPa |
| Dsmax | 171.132 | mm | η | 1.660 × 10−6 | MPa·s |
| Dsmin | 163.08 | mm | E2 | 100 | GPa |
| Ls | 15.556 | mm | ν2 | 0.32 | dimensionless |
| γs | 15 | ° | Sy | 250 | MPa |
Disclaimer/Publisher’s Note: The statements, opinions and data contained in all publications are solely those of the individual author(s) and contributor(s) and not of MDPI and/or the editor(s). MDPI and/or the editor(s) disclaim responsibility for any injury to people or property resulting from any ideas, methods, instructions or products referred to in the content. |
© 2023 by the authors. Licensee MDPI, Basel, Switzerland. This article is an open access article distributed under the terms and conditions of the Creative Commons Attribution (CC BY) license (https://creativecommons.org/licenses/by/4.0/).
Share and Cite
Xu, H.; Zhang, Z.; Xiang, S.; Yang, B.; Shi, T. Leakage Model of Tubing and Casing Premium Connection Based on Sinusoidal Contact Simulation between Rough Surfaces. Processes 2023, 11, 570. https://doi.org/10.3390/pr11020570
Xu H, Zhang Z, Xiang S, Yang B, Shi T. Leakage Model of Tubing and Casing Premium Connection Based on Sinusoidal Contact Simulation between Rough Surfaces. Processes. 2023; 11(2):570. https://doi.org/10.3390/pr11020570
Chicago/Turabian StyleXu, Honglin, Zhi Zhang, Shilin Xiang, Bin Yang, and Taihe Shi. 2023. "Leakage Model of Tubing and Casing Premium Connection Based on Sinusoidal Contact Simulation between Rough Surfaces" Processes 11, no. 2: 570. https://doi.org/10.3390/pr11020570
APA StyleXu, H., Zhang, Z., Xiang, S., Yang, B., & Shi, T. (2023). Leakage Model of Tubing and Casing Premium Connection Based on Sinusoidal Contact Simulation between Rough Surfaces. Processes, 11(2), 570. https://doi.org/10.3390/pr11020570
