Study on the Hydraulic Fracturing of the Inter-Salt Shale Oil Reservoir with Multi-Interfaces
Abstract
1. Introduction
2. Geological Situation
3. Fundamental Behaviors of Materials
3.1. Micro Behaviors of the Shale Bedding
3.2. Tensile Strength of the Shale Bedding
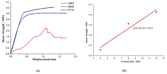
3.3. Direct Shear Test Behaviors of the Shale Bedding
3.4. Salt-Shale Interface Behaviors
4. Tests Procedures
4.1. Sample Preparation for the Hydraulic Fracturing Test
4.2. Test Process
5. Results
5.1. Effect of Fracturing Fluid Viscosity and Velocity
5.2. Effect of Stress Difference between Vertical and Horizontal Direction
5.3. Response Characteristics of the Pump Pressure Curve
6. Conclusions
Author Contributions
Funding
Institutional Review Board Statement
Informed Consent Statement
Data Availability Statement
Conflicts of Interest
References
- Bian, B.; Iming, A.; Gao, T.; Liu, H.; Jiang, W.; Wang, X.; Ding, X. Petroleum Geology and Exploration of Deep-Seated Volcanic Condensate Gas Reservoir around the Penyijingxi Sag in the Junggar Basin. Processes 2022, 10, 2430. [Google Scholar] [CrossRef]
- Guo, X.; Yan, Q.; Wang, A. Assessment of methods for forecasting shale gas supply in China based on economic considerations. Energies 2017, 10, 1745. [Google Scholar] [CrossRef]
- Tan, P.; Jin, Y.; Hou, B.; Chang, Z.; Han, K.; Fan, M. Vertical Propagation Law of Hydraulic Fracture in Sandstone-Mudstone Interbedding Reservoirs Based on Discrete Element Method. In Proceedings of the 51st U.S. Rock Mechanics/Geomechanics Symposium, San Francisco, CA, USA, 25–28 June 2017. [Google Scholar]
- Sun, X.; Luo, T.; Wang, L.; Wang, H.; Song, Y.; Li, Y. Numerical simulation of gas recovery from a low-permeability hydrate reservoir by depressurization. Appl. Energy 2019, 250, 7–18. [Google Scholar] [CrossRef]
- Wan, B.; Liu, Y.; Zhang, B.; Luo, S.; Wei, L.; Li, L.; He, J. Investigation of the Vertical Propagation Pattern of the 3D Hydraulic Fracture under the Influence of Interlayer Heterogeneity. Processes 2022, 10, 2449. [Google Scholar] [CrossRef]
- Yang, Y.; Peng, J.; Chen, Z.; Zhou, X.; Zeng, Y.; Wang, Y.; Wang, X. Depositional Models of Deep-Water Gravity-Flow in Lacustrine Basin and Its Petroleum Geological Significance—A Case Study of Chang 6 Oil Group in Heshui Area, Ordos Basin, China. Front. Earth Sci. 2022, 9, 1262. [Google Scholar] [CrossRef]
- Zhang, G.; Wang, H.; Li, F.; Wang, D.; Li, N.; He, S. Effects of Hydration during Drilling on Fracability of Shale Oil Formations: A Case Study of Da’anzhai Section Reservoir in Sichuan Basin, China. Processes 2022, 10, 2313. [Google Scholar] [CrossRef]
- Zhao, Y.; Wang, L.; Ma, K.; Zhang, F. Numerical Simulation of Hydraulic Fracturing and Penetration Law in Continental Shale Reservoirs. Processes 2022, 10, 2364. [Google Scholar] [CrossRef]
- Dong, L.; Li, L.; Dong, W.; Wang, M.; Chen, X. Investigation on the Injection Pattern of Intermittent Natural Gas Flooding in Ultra-Low Permeability Reservoirs. Processes 2022, 10, 2198. [Google Scholar] [CrossRef]
- Chen, Z.; Feng, Y.; Zhang, X.; Guo, X.; Shao, L.; Cao, Y.; Li, S.; Gao, L. Similarity criterion for the nonlinear thermal analysis of the soil freezing process: Considering the dual effect of nonlinear thermal parameters and boundary conditions. Acta Geotech. 2022, 17, 5709–5719. [Google Scholar] [CrossRef]
- Chen, Z.; Guo, X.; Shao, L.; Li, S.; Gao, L. Sensitivity analysis of the frozen soil nonlinear latent heat and its precise transformation method. Geophys. J. Int. 2022, 228, 240–249. [Google Scholar] [CrossRef]
- Chen, Z.; Guo, X.; Shao, L.; Li, S.; Tian, X. Design of a three-dimensional earth pressure device and its application in a tailings dam construction simulation experiment. Acta Geotech. 2021, 16, 2203–2216. [Google Scholar] [CrossRef]
- Advani, S.; Lee, J.; Lee, T.-S.; Jinn, J.; Choudhry, S. Fracture mechanics modeling associated with layered rock and bi-material interfaces. In Proceedings of the 28th U.S. Symposium on Rock Mechanics (USRMS), Tucson, AZ, USA, 29 June–1 July 1987. [Google Scholar]
- Maji, A.K.; Wang, J. Nonlinear model for fracture at the concrete-rock interface. In Proceedings of the 33rd U.S. Symposium on Rock Mechanics (USRMS), Santa Fe, NM, USA, 3–5 June 1992. [Google Scholar]
- Li, L.; Wong, R.; Cao, F.; Tong, D.; Tian, L.; Chen, Q. Experimental and Numerical Investigation on Crack Propagation in Bi-materials of Marble and Concrete. In Proceedings of the ISRM International Symposium on Rock Mechanics—SINOROCK 2009, Hong Kong, China, 19–22 May 2009. [Google Scholar]
- Shen, G.; Shen, X.; Wang, S. Numerical and Experimental Studies on Fracture Propagation at a Bi-material Interface and Its Application to Hydraulic Fracturing. In Proceedings of the 48th U.S. Rock Mechanics/Geomechanics Symposium, Minneapolis, MN, USA, 1–4 June 2014. [Google Scholar]
- Wang, S.; Xing, C.; Zhang, D.; Shao, C.; Dong, K. The Fracture Behavior in the Vicinity of Interface Based on the Digital Speckle Experiment. In Proceedings of the SPE Asia Pacific Oil & Gas Conference and Exhibition, Perth, Australia, 25–27 October 2016. [Google Scholar]
- Rho, S.; Noynaert, S.; Bunger, A.; Zolfaghari, N.; Xing, P.; Abell, B.; Suarez-Rivera, R. Finite-element simulations of hydraulic fracture height growth on layered mudstones with weak interfaces. In Proceedings of the 51st U.S. Rock Mechanics/Geomechanics Symposium, San Francisco, CA, USA, 25–28 June 2017. [Google Scholar]
- Tan, P.; Jin, Y.; Ke, H. Analysis of hydraulic fracture initiation and vertical propagation behavior in laminated shale ormation. Fuel 2017, 206, 482–493. [Google Scholar] [CrossRef]
- Zhao, H.; Wang, X.; Liu, Z.; Yan, Y.; Yang, H. Investigation on the hydraulic fracture propagation of multilayers-commingled fracturing in coal measures. J. Pet. Sci. Eng. 2018, 167, 774–784. [Google Scholar] [CrossRef]
- Zhu, H.; Wang, H.; Tang, X.; Li, Y. Hydraulic fracture propagation in sand-mudstone interbedded reservoir integrated with different fluid flow of multi-perforated fractures. In Proceedings of the ARMA-CUPB Geothermal International Conference, Beijing, China, 5–8 August 2019. [Google Scholar]
- Qiu, H.; Wang, F.; Zhu, Z.; Wang, M.; Yu, D.; Luo, C.; Wan, D. Study on dynamic fracture behaviour and fracture toughness in rock-mortar interface under impact load. Compos. Struct. 2021, 271, 114174. [Google Scholar] [CrossRef]
- Liu, Y.; Lebedev, M.; Zhang, Y.; Wang, E.; Li, W.; Liang, J.; Feng, R.; Ma, R. Micro-cleat and permeability evolution of anisotropic coal during directional CO2 flooding: An in situ micro-CT study. Nat. Resour. Res. 2022, 31, 2805–2818. [Google Scholar] [CrossRef]
- Liu, Y.; Wang, E.; Jiang, C.; Zhang, D.; Li, M.; Yu, B.; Zhao, D. True Triaxial Experimental Study of Anisotropic Mechanical Behavior and Permeability Evolution of Initially Fractured Coal. Nat. Resour. Res. 2023, 1–19. [Google Scholar] [CrossRef]
- Tao, X.; Okere, C.J.; Su, G.; Zheng, L. Experimental and theoretical evaluation of interlayer interference in multi-layer commingled gas production of tight gas reservoirs. J. Pet. Sci. Eng. 2022, 208, 109731. [Google Scholar] [CrossRef]
- Fan, X.; Su, J.; Chang, X.; Huang, Z.; Zhou, T.; Guo, Y.; Wu, S. Brittleness evaluation of the inter-salt shale oil reservoir in Jianghan Basin in China. Mar. Pet. Geol. 2019, 102, 109–115. [Google Scholar] [CrossRef]
- Liu, X.; Wu, S.; Chen, F.; Zhang, L.; Du, X.; Guan, W.; Liang, W. Characteristics of reservoirs for inter-salt shale oil of Qianjiang Formation Qianjiang Sag, Jianghan Basin: A case study of the -10 rhythm. Pet. Geol. Exp. 2021, 43, 268–275. [Google Scholar]
- Yang, L.; Lu, H.; Fan, X.; Huang, Z.; Zhou, T. Salt Occurrence in Matrix Pores of Intersalt Shale Oil Reservoirs. Sci. Technol. Eng. 2020, 20, 1839–1845. [Google Scholar]
- Hondros, G. The evaluation of Poisson’s ratio and the modulus of materials of low tensile resistance by the Brazilian (indirect tensile) test with particular reference to concrete. Aust. J. Appl. Sci. 1959, 10, 243–268. [Google Scholar]
- Shen, Y.; Hu, Z.; Chang, X.; Guo, Y. Experimental Study on the Hydraulic Fracture Propagation in Inter-Salt Shale Oil Reservoirs. Energies 2022, 15, 5909. [Google Scholar] [CrossRef]
- Zeng, H.; Jin, Y.; Wang, D.; Yu, B.; Zhang, W. Numerical Simulation on Hydraulic Fracture Height Growth across Layered Elastic-Plastic Shale Oil Reservoirs. Processes 2022, 10, 1453. [Google Scholar] [CrossRef]
- Lecampion, B.; Bunger, A.; Zhang, X. Numerical methods for hydraulic fracture propagation: A review of recent trends. J. Nat. Sci. Eng. 2018, 49, 66–83. [Google Scholar] [CrossRef]
- Palmström, A.; Stille, H. Rock Engineering; ICE Publishing: London, UK, 2010. [Google Scholar]
- Zhang, X.; Bi, Z.; Chang, X.; Wang, L.; Yang, H. Experimental Investigation on Hydraulic Fracture Morphology of Inter-Salt Shale Formation. Front. Energy Res. 2021, 9, 893. [Google Scholar] [CrossRef]














| Samples No. | Depth/m | Size | Failure Load/kN | Strength/ MPa | |
|---|---|---|---|---|---|
| Diameter/mm | Height/mm | ||||
| 1820-1 | 3645.77 | 24.88 | 12.44 | 0.23 | 0.48(∥) |
| 1820-2 | 3645.77 | 24.96 | 12.47 | 0.80 | 1.67(⊥) |
| 2180-1 | 3656.36 | 24.84 | 12.44 | 0.21 | 0.43(∥) |
| 2180-2 | 3656.36 | 24.90 | 12.46 | 0.82 | 1.69(⊥) |
| 2184-1 | 3656.42 | 25.38 | 15.84 | 0.29 | 0.46(∥) |
| 2184-2 | 3656.42 | 25.38 | 18.23 | 1.13 | 1.56(⊥) |
| 2185-1 | 3656.52 | 24.92 | 12.45 | 0.18 | 0.37(∥) |
| 2185-2 | 3656.52 | 24.89 | 12.44 | 0.84 | 1.72(⊥) |
| 2187-1 | 3656.58 | 24.93 | 12.46 | 0.19 | 0.38(∥) |
| 2187-2 | 3656.58 | 24.95 | 12.47 | 0.85 | 1.73(⊥) |
| 3366-1 | 3855.48 | 24.84 | 12.43 | 0.29 | 0.45(∥) |
| 3366-2 | 3855.48 | 24.85 | 12.44 | 0.82 | 1.68(⊥) |
| 3655-1 | 3873.31 | 24.54 | 18.27 | 0.23 | 0.33(∥) |
| 3655-2 | 3873.31 | 24.54 | 19.80 | 1.09 | 1.41(⊥) |
| Samples No. | Injection Velocity/(mL/s) | Viscosity (mPa·s) | Stress State (σx-σy-σz) | Fracture Mode |
|---|---|---|---|---|
| 21-1 | 1 | 3 | 4-4-5 | Mode III |
| 21-11 | 2 | 3 | 4-4-5 | Mode III |
| 21-10 | 3 | 95 | 4-4-5 | Mode I |
| 21-2 | 2 | 3 | 4-4-7 | Mode II |
| 21-9 | 1 | 95 | 4-4-5 | Mode I |
| 21-7 | 3 | 95 | 4-4-7 | Mode II |
Disclaimer/Publisher’s Note: The statements, opinions and data contained in all publications are solely those of the individual author(s) and contributor(s) and not of MDPI and/or the editor(s). MDPI and/or the editor(s) disclaim responsibility for any injury to people or property resulting from any ideas, methods, instructions or products referred to in the content. |
© 2023 by the authors. Licensee MDPI, Basel, Switzerland. This article is an open access article distributed under the terms and conditions of the Creative Commons Attribution (CC BY) license (https://creativecommons.org/licenses/by/4.0/).
Share and Cite
Li, D.; Zhang, X.; Chen, Z. Study on the Hydraulic Fracturing of the Inter-Salt Shale Oil Reservoir with Multi-Interfaces. Processes 2023, 11, 280. https://doi.org/10.3390/pr11010280
Li D, Zhang X, Chen Z. Study on the Hydraulic Fracturing of the Inter-Salt Shale Oil Reservoir with Multi-Interfaces. Processes. 2023; 11(1):280. https://doi.org/10.3390/pr11010280
Chicago/Turabian StyleLi, Daihong, Xiaoyu Zhang, and Zhixiang Chen. 2023. "Study on the Hydraulic Fracturing of the Inter-Salt Shale Oil Reservoir with Multi-Interfaces" Processes 11, no. 1: 280. https://doi.org/10.3390/pr11010280
APA StyleLi, D., Zhang, X., & Chen, Z. (2023). Study on the Hydraulic Fracturing of the Inter-Salt Shale Oil Reservoir with Multi-Interfaces. Processes, 11(1), 280. https://doi.org/10.3390/pr11010280
