Effects of the Sous Vide and Conventional Electric Oven Cooking Methods on the Physio-Sensory Quality Attributes of Arabian Camel (Camelus dromedarius) Meat
Abstract
1. Introduction
2. Materials and Methods
2.1. Experimental Meat Samples
2.2. Cooking of Meat Samples
2.3. Measurements of the Physical Properties
2.3.1. Cooking Loss
2.3.2. pH
2.3.3. Water Activity (aw)
2.3.4. Density (ρ)
2.3.5. Color Values
2.4. Sensory Evaluation
2.5. Statistical Analysis
- Yijkl = value of any observation,
- μ = population mean,
- αi = cooking method main effect (sous vide vs. electric oven),
- βj = cooking temperature main effect (70, 80, 90, and 100 °C),
- γk = cooking time main effect (30, 60, 90, 120, 150, and 180 min),
- (αβ)ij + (αγ)ik + (βγ)jk = are the two-way interactions,
- (αβγ)ijk = is the three-way interaction,
- εijkl = random error.
3. Results and Discussion
3.1. The Physical Properties of Fresh Camel Meat
3.2. Effects of the Sous Vide and Electric Oven Cooking Methods on the Physical Properties of Camel Meat
3.3. Effects of the Sous Vide and Electric Oven Cooking Methods on the Sensory Properties of Camel Meat
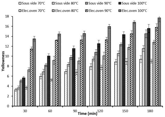
3.4. Variations in Colors of Cooked Camel Meat Using the Sous Vide and Electric Oven Methods at Different Cooking Temperatures and Cooking Times
4. Conclusions
Author Contributions
Funding
Institutional Review Board Statement
Informed Consent Statement
Data Availability Statement
Conflicts of Interest
References
- Kadim, I.T.; Mahgoub, O.; Al-Marzooqi, W.; Al-Zadgali, S.; Annamali, K.; Mansour, M. H Effects of age on composition and quality of muscle Longissimus thoracis of the Omani Arabian camel (Camelus dromedaries). Meat Sci. 2006, 73, 619–625. [Google Scholar] [CrossRef]
- Baba, W.N.; Rasool, N.; Selvamuthukumara, M.; Maqsood, S. A review on nutritional composition, health benefits, and technological interventions for improving consumer acceptability of camel meat: An ethnic food of Middle East. J. Ethn. Foods 2021, 8, 18. [Google Scholar] [CrossRef]
- FAO. Food and Agriculture Organization, FAOSTAT. 2021. Available online: http://www.fao.org/faostat/en/#data/QCL (accessed on 20 December 2022).
- RCCI. Riyadh Chamber of Commerce and Industry: A Comprehensive Study and Realistic Results Red Meat Needs to be Integrated between Its Economic Sectors; Riyadh Chamber, Research and Information Center: Riyadh, Saudi Arabia, 2015; Available online: https://marsad.chamber.sa/en/Pages/default.aspx (accessed on 20 December 2022).
- Dawood, A.A. Physical and sensory characteristics of Najdi camel meat. Meat Sci. 1995, 39, 59–69. [Google Scholar] [CrossRef]
- Baldwin, D.E. Sous vide cooking: A review. Int. J. Gastron. Food Sci. 2012, 1, 15–30. [Google Scholar] [CrossRef]
- James, B.J.; Yang, S.W. Effect of cooking method on the toughness of bovine m. semitendinosus. Int. J. Food Eng. 2012, 8, 2. [Google Scholar] [CrossRef]
- Zielbauer, B.I.; Franz, J.; Viezens, B.; Vilgis, T.A. Physical aspects of meat cooking: Time dependent thermal protein denaturation and water loss. Food Biophys. 2016, 11, 34–42.–42. [Google Scholar] [CrossRef]
- Schmidt, C.V.; Plankensteiner, L.; Faxholm, P.L.; Olsen, K.; Mouritsen, O.G.; Frøst, M.B. Physicochemical characterization of sous vide cooked squid (Loligo forbesii and Loligo vulgaris) and the relationship to selected sensory properties and hedonic response. Int. J. Gastron. Food Sci. 2021, 23, 100298. [Google Scholar] [CrossRef]
- Mortensen, L.M.; Frøst, M.B.; Skibsted, L.H.; Risbo, J. Effect of time and temperature on sensory properties in low-temperature long-time sous vide cooking of beef. J. Culin. Sci. Technol. 2012, 10, 75–90.–90. [Google Scholar]
- Del Pulgar, J.S.; Gázquez, A.; Ruiz-Carrascal, J. Physico-chemical, textural and structural characteristics of sous vide cooked pork cheeks as affected by vacuum, cooking temperature, and cooking time. Meat Sci. 2012, 90, 828–835. [Google Scholar] [CrossRef]
- Rinaldi, M.; Dall’Asta, C.; Paciulli, M.; Cirlini, M.; Manzi, C.; Chiavaro, E. A novel time/temperature approach to sous vide cooking of beef muscle. Food Bioprocess Technol. 2014, 7, 2969–2977. [Google Scholar] [CrossRef]
- Park, C.H.; Lee, B.; Oh, E.; Kim, Y.S.; Choi, Y.M. Combined effects of sous vide cooking conditions on meat and sensory quality characteristics of chicken breast meat. Poult. Sci. 2020, 99, 3286–3291.–3291. [Google Scholar] [CrossRef] [PubMed]
- Naqvi, Z.B.; Thomson, P.C.; Ha, M.; Campbell, M.A.; McGill, D.M.; Friend, M.A.; Warner, R.D. Effect of sous vide cooking and ageing on tenderness and water-holding capacity of low-value beef muscles from young and older animals. Meat Sci. 2021, 175, 108435. [Google Scholar] [CrossRef]
- Mossel, D.A.A.; Struijk, C.B. Public health implication of refrigerated pasteurized (‘sous vide’) foods. Int. J. Food Microbiol. 1991, 13, 187–206.–206. [Google Scholar] [CrossRef]
- Schellekens, M. New research issues in sous vide cooking. Trends Food Sci. Technol. 1996, 7, 256–262.–262. [Google Scholar] [CrossRef]
- Baldwin, D.E. Sous Vide for the Home Cook, 2nd ed.; Paradox Press: Incline Village, NV, USA, 2013. [Google Scholar]
- Potter, J. Cooking for Geeks: Real Science, Great Hacks and Good Food; O’Reilly Media: Sebastopol, CA, USA, 2010. [Google Scholar]
- Myhrvold, N.; Young, C.; Bilet, M. Modernist Cuisine: The Artand Science of Cooking; The Cooking Lab: Bellevue, WA, USA, 2011. [Google Scholar]
- Roascio-Albistur, A.; Gámbaro, A. Consumer perception of a non-traditional market on sous vide dishes. Int. J. Gastron. Food Sci. 2018, 11, 20–24.–24. [Google Scholar] [CrossRef]
- Botinestean, C.; Keenan, D.F.; Kerry, J.P.; Hamill, R.M. The effect of thermal treatments including sou vide, blast freezing and their combinations on beef tenderness of M. semitendinosus steaks targeted at elderly consumers. LWT Food Sci. Technol. 2016, 74, 154–159.–159. [Google Scholar] [CrossRef]
- Olatunde, O.O.; Benjakul, S. Sous vide cooking as a systematic approach for quality maintenance and shelf-life extension of crab lump meat. LWT Food Sci. Technol. 2021, 142, 111004. [Google Scholar] [CrossRef]
- Dominguez-Hernandez, E.; Salaseviciene, A.; Ertbjerg, P. Low-temperature long-time cooking of meat: Eating quality and underlying mechanisms. Meat Sci. 2018, 143, 104–113.–113. [Google Scholar] [CrossRef]
- O’Quinn, T.G.; Legako, J.F.; Brooks, J.C.; Miller, M.F. Evaluation of the contribution of tenderness, juiciness, and flavor to the overall consumer beef eating experience. Transl. Anim. Sci. 2018, 2, 26–36.–36. [Google Scholar] [CrossRef]
- García-Segovia, P.; Andrés-Bello, A.; Martínez-Monzó, J. Effect of cooking method on mechanical properties, color and structure of beef muscle (M. pectoralis). J. Food Eng. 2007, 80, 813–821. [Google Scholar] [CrossRef]
- Jeong, S.H.; Kim, E.C.; Lee, D.U. The impact of a consecutive process of pulsed electric field, sous vide cooking, and reheating on the properties of beef semitendinosus muscle. Foods 2020, 9, 1674. [Google Scholar] [CrossRef]
- Hussein, E.O.S.; Suliman, G.M.; Al-Owaimer, A.N.; Ahmed, S.H.; Abudabos, A.M.; Abd El-Hack, M.E.; Taha, A.E.; Saadeldin, I.M.; Swelum, A.A. Effects of stock, sex, and muscle type on carcass characteristics and meat quality attributes of parent broiler breeders and broiler chickens. Poult. Sci. 2019, 98, 6586–6592.–6592. [Google Scholar] [CrossRef]
- Suliman, G.M.; Al-Owaimer, A.N.; El-Waziry, A.M.; Hussein, E.O.S.; Abuelfatah, K.; Swelum, A.A.A. Comparative Study of Sheep Breeds: Fattening Performance, Carcass Characteristics, Meat Chemical Composition and Quality Attributes. Front. Vet. Sci. 2021, 8, 1–9. [Google Scholar] [CrossRef]
- AMSA. Research Guidelines for Cookery, Sensory Evaluation, and Instrumental Tenderness Measurements of Fresh Meat; American Meat Science Association National Livestock and Meat Board: Chicago, IL, USA, 2016. [Google Scholar]
- Yousif, O.K.; Babiker, S.A. The desert camel as meat animals. Meat Sci. 1989, 26, 245–254. [Google Scholar] [CrossRef]
- Al-Sheddy, I.; Al-Dagal, M.; Bazaraa, W.A. Microbial and sensory quality of fresh camel meat treated with organic acid salts and/or bifidobacteria. J. Food Sci. 1999, 64, 336–339. [Google Scholar] [CrossRef]
- Al-Owaimer, A.N.; Suliman, G.M.; Sami, A.S.; Picard, B.; Hocquette, J.F. Chemical composition and structural characteristics of Arabian camel (Camelus dromedarius) m. longissimus thoracis. Meat Sci. 2014, 96, 1233–1241. [Google Scholar] [CrossRef] [PubMed]
- Eskandari, M.H.; Majlesi, M.; Gheisari, H.R.; Farahnaky, A.; Khaksar, Z. Comparison of some physicochemical properties and toughness of camel meat and beef. J. Appl. Anim. Res. 2013, 41, 442–447. [Google Scholar] [CrossRef]
- Maqsood, S.; Abushelaibi, A.; Manheem, K.; Kadim, I.T. Characterization of the lipid and protein fraction of fresh camel meat and the associated changes during refrigerated storage. J. Food Compos. Anal. 2015, 41, 212–220. [Google Scholar] [CrossRef]
- Kadim, I.T.; Purchas, R. Camel carcass and meat quality characteristics. In More Than Beef, Pork and Chicken–The Production, Processing, and Quality Traits of Other Sources of Meat for Human Diet; Springer: Cham, Switzerland, 2019; pp. 69–94. [Google Scholar]
- Barbosa-Cánovas, G.V.; Fontana Jr, A.J.; Schmidt, S.J.; Labuza, T.P. (Eds.) Water Activity in Foods: Fundamentals and Applications; John Wiley & Sons: Hoboken, NJ, USA, 2020. [Google Scholar]
- Li, C.; Wang, D.; Xu, W.; Gao, F.; Zhou, G. Effect of final cooked temperature on tenderness, protein solubility and microstructure of duck breast muscle. LWT Food Sci. Technol. 2013, 51, 266–274. [Google Scholar] [CrossRef]
- Vasanthi, C.; Venkataramanujam, V.; Dushyanthan, K. Effect of cooking temperature and time on the physico-chemical, histological, and sensory properties of female carabeef (buffalo) meat. Meat Sci. 2007, 76, 274–280. [Google Scholar] [CrossRef]
- Marcotte, M.; Taherian, A.R.; Karimi, Y. Thermophysical properties of processed meat and poultry products. J. Food Eng. 2008, 88, 315–322. [Google Scholar] [CrossRef]
- Roldán, M.; Antequera, T.; Martín, A.; Mayoral, A.I.; Ruiz, J. Effect of different temperature–time combinations on physicochemical, microbiological, textural, and structural features of sous vide cooked lamb loins. Meat Sci. 2013, 93, 572–578. [Google Scholar] [CrossRef] [PubMed]
- Becker, A.; Boulaaba, A.; Pingen, S.; Krischek, C.; Klein, G. Low temperature cooking of pork meat—Physicochemical and sensory aspects. Meat Sci. 2016, 118, 82–88. [Google Scholar] [CrossRef] [PubMed]
- Laakonen, E.; Wellington, G.H.; Sherbon, J.W. Low-temperature, long-time heating of bovine muscle. 1. Changes in tenderness, water-binding capacity, pH and amount of water-soluble components. J. Food Sci. 1970, 35, 175–180. [Google Scholar] [CrossRef]
- Roldán, M.; Antequera, T.; Hernández, A.; Ruiz, J. Physicochemical and microbiological changes during the refrigerated storage of lamb loins sous-vide cooked at different combinations of time and temperature. Food Sci. Technol. Int. 2015, 21, 512–522. [Google Scholar] [CrossRef]
- Bouton, P.E.; Harris, P.V.; Macfarlane, J.J.; Shorthose, W.R. Influence of pH on the Warner-Bratzler shear properties of mutton. Meat Sci. 1982, 6, 27–36. [Google Scholar] [CrossRef] [PubMed]
- Kurp, L.; Danowska-Oziewicz, M.; Kłębukowska, L. Sous Vide Cooking Effects on Physicochemical, Microbiological and Sensory Characteristics of Pork Loin. Appl. Sci. 2022, 12, 2365. [Google Scholar] [CrossRef]
- Palka, K.; Daun, H. Changes in texture, cooking losses, and myofibrillar structure of bovine M. semitendinosus during heating. Meat Sci. 1999, 51, 237–243. [Google Scholar] [CrossRef]
- Tornberg, E. Effects of heat on meat proteins–Implications on structure and quality of meat products. Meat Sci. 2005, 70, 493–508. [Google Scholar] [CrossRef]
- Christensen, M.; Purslow, P.P.; Larsen, L.M. The effect of cooking temperature on mechanical properties of whole meat, single muscle fibers and perimysial connective tissue. Meat Sci. 2000, 55, 301–307. [Google Scholar] [CrossRef]
- Supaphon, P.; Astruc, T.; Kerdpiboon, S. Physical characteristics and their relationship with surface-physical properties of Thai local beef during sous vide processing. Agr. Nat. Resour. 2020, 54, 25–32. [Google Scholar]












| Properties | Mean | SD * |
|---|---|---|
| pH | 5.96 | 0.06 |
| Water activity (-) | 0.99 | 0.08 |
| Density (kg/m3) | 1070 | 0.04 |
| Lightness (L*) | 53.12 | 0.07 |
| Redness (a*) | 18.54 | 0.05 |
| Yellowness (b*) | 3.96 | 0.03 |
| Treatments | Physical Properties | ||||||
|---|---|---|---|---|---|---|---|
| pH | CL (%) | aw | ρ (kg/m3) (kg/m3) | L* | a* | b* | |
| Cooking Method: | |||||||
| Sous vide | 6.25 a | 45.42 a | 0.98 | 1038 a | 40.25 b | 9.75 b | 9.30 b |
| Electric oven | 6.16 b | 24.89 b | 0.99 | 1035 b | 42.25 a | 10.12 a | 9.56 a |
| Cooking Temperature (°C): | |||||||
| 70 | 6.10 d | 31.82 d | 0.99 | 1046 a | 48.17 a | 11.51 a | 6.89 d |
| 80 | 6.18 c | 34.96 c | 0.99 | 1039 b | 43.28 b | 10.46 b | 8.62 c |
| 90 | 6.24 b | 35.73 b | 0.98 | 1033 c | 38.28 c | 9.68 c | 10.39 b |
| 100 | 6.30 a | 38.12 a | 0.98 | 1027 d | 36.31 d | 8.01 d | 11.74 a |
| Cooking Time (min): | |||||||
| 30 | 6.06 f | 24.26 f | 0.99 | 1053 a | 48.12 a | 14.01 a | 5.41 a |
| 60 | 6.13 e | 27.43 e | 0.99 | 1045 b | 45.43 b | 11.95 b | 7.86 b |
| 90 | 6.18 d | 32.28 d | 0.99 | 1039 c | 42.69 c | 9.96 c | 9.15 c |
| 120 | 6.23 c | 39.28 c | 0.98 | 1032 d | 39.59 d | 8.77 d | 10.15 d |
| 150 | 6.28 b | 42.59 b | 0.98 | 1027 e | 37.69 e | 7.92 d | 11.36 e |
| 180 | 6.34 a | 45.11 a | 0.98 | 1022 f | 35.53 f | 7.02 e | 12.96 f |
| SEM | 0.07 | 0.27 | 0.05 | 0.86 | 0.44 | 0.31 | 0.14 |
| p-values | |||||||
| Main effects: | |||||||
| CMD | 0.01 | 0.02 | NS | 0.03 | 0.02 | 0.03 | 0.01 |
| CTM | 0.01 | 0.01 | NS | 0.02 | 0.03 | 0.02 | 0.01 |
| CTI | 0.02 | 0.01 | NS | 0.03 | 0.02 | 0.01 | 0.03 |
| Interactions: | |||||||
| CMD × CTM | NS | 0.01 | NS | NS | 0.03 | NS | 0.01 |
| CMD × CTI | NS | 0.02 | NS | NS | NS | NS | NS |
| CTM × CTI | 0.02 | 0.03 | NS | NS | 0.01 | 0.02 | 0.02 |
| CMD × CTM × CTI | NS | 0.01 | NS | NS | NS | NS | NS |
| Treatments | Sensory Properties | |||
|---|---|---|---|---|
| Tenderness | Flavor | Juiciness | General Acceptance | |
| Cooking Method | ||||
| Sous vide | 3.68 a | 4.03 a | 2.89 a | 3.98 a |
| Electric oven | 3.13 b | 3.15 b | 4.08 b | 3.13 b |
| Cooking Temperature (°C) | ||||
| 70 | 2.64 c | 2.65 c | 4.09 a | 2.72 c |
| 80 | 3.01 c | 3.32 c | 3.59 b | 3.32 c |
| 90 | 3.76 b | 4.01 b | 3.26 c | 3.86 b |
| 100 | 4.22 a | 4.39 a | 3.01 a | 4.32 a |
| Cooking Time (min) | ||||
| 30 | 2.05 e | 2.19 e | 4.76 a | 2.06 e |
| 60 | 2.74 d | 2.82 d | 4.10 b | 2.71 d |
| 90 | 3.18 c | 3.43 c | 3.76 c | 3.32 c |
| 120 | 3.68 c | 3.92 c | 3.25 c | 3.88 c |
| 150 | 4.13 b | 4.31 b | 2.81 d | 4.38 b |
| 180 | 4.65 a | 4.88 a | 2.34 e | 4.96 a |
| SEM | 0.07 | 0.07 | 0.06 | 0.06 |
| p-values | ||||
| Main Effects: | ||||
| CMD | 0.02 | 0.01 | 0.04 | 0.03 |
| CTM | 0.02 | 0.03 | 0.01 | 0.01 |
| CTI | 0.01 | 0.04 | 0.01 | 0.02 |
| Interactions: | ||||
| CMD × CTM | 0.02 | 0.03 | 0.01 | NS |
| CMD × CTI | 0.01 | 0.04 | 0.02 | 0.01 |
| CTM × CTI | NS | NS | NS | NS |
| CMD × CTM × CTI | NS | NS | NS | NS |
Disclaimer/Publisher’s Note: The statements, opinions and data contained in all publications are solely those of the individual author(s) and contributor(s) and not of MDPI and/or the editor(s). MDPI and/or the editor(s) disclaim responsibility for any injury to people or property resulting from any ideas, methods, instructions or products referred to in the content. |
© 2023 by the authors. Licensee MDPI, Basel, Switzerland. This article is an open access article distributed under the terms and conditions of the Creative Commons Attribution (CC BY) license (https://creativecommons.org/licenses/by/4.0/).
Share and Cite
Hobani, A.I.; Othman, M.B.; Fickak, A.A.; Suliman, G.M. Effects of the Sous Vide and Conventional Electric Oven Cooking Methods on the Physio-Sensory Quality Attributes of Arabian Camel (Camelus dromedarius) Meat. Processes 2023, 11, 182. https://doi.org/10.3390/pr11010182
Hobani AI, Othman MB, Fickak AA, Suliman GM. Effects of the Sous Vide and Conventional Electric Oven Cooking Methods on the Physio-Sensory Quality Attributes of Arabian Camel (Camelus dromedarius) Meat. Processes. 2023; 11(1):182. https://doi.org/10.3390/pr11010182
Chicago/Turabian StyleHobani, Ali I., Moath B. Othman, Adil A. Fickak, and Gamaleldin M. Suliman. 2023. "Effects of the Sous Vide and Conventional Electric Oven Cooking Methods on the Physio-Sensory Quality Attributes of Arabian Camel (Camelus dromedarius) Meat" Processes 11, no. 1: 182. https://doi.org/10.3390/pr11010182
APA StyleHobani, A. I., Othman, M. B., Fickak, A. A., & Suliman, G. M. (2023). Effects of the Sous Vide and Conventional Electric Oven Cooking Methods on the Physio-Sensory Quality Attributes of Arabian Camel (Camelus dromedarius) Meat. Processes, 11(1), 182. https://doi.org/10.3390/pr11010182

