Photo-Ordering and Deformation in Azobenzene-Containing Polymer Networks under Irradiation with Elliptically Polarized Light
Abstract
1. Introduction
2. Model and Main Equations
3. Light-Induced Orientation Order
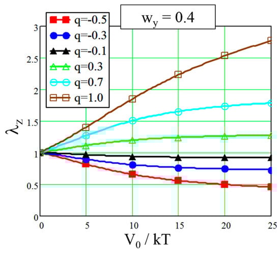
4. Light-Induced Deformation of Azo-Containing Polymer Networks
5. Conclusions
Author Contributions
Funding
Data Availability Statement
Conflicts of Interest
References
- Wang, D.H.; Lee, K.M.; Yu, Z.; Koerner, H.; Vaia, R.A.; White, T.J.; Tan, L.S. Photomechanical Response of Glassy Azobenzene Polyimide Networks. Macromolecules 2011, 44, 3840–3846. [Google Scholar] [CrossRef]
- Priimagi, A.; Shimamura, A.; Kondo, M.; Hiraoka, T.; Kubo, S.; Mamiya, J.-I.; Kinoshita, M.; Ikeda, T.; Shishido, A. Location of the Azobenzene Moieties within the Cross-Linked Liquid-Crystalline Polymers Can Dictate the Direction of Photoinduced Bending. ACS Macro Lett. 2012, 1, 96–99. [Google Scholar] [CrossRef] [PubMed]
- Chigrinov, V.G.; Kozenkov, V.M.; Kwok, H.-S. Photoalignment of Liquid Crystalline Materials: Physics and Applications; John Wiley & Sons: Hoboken, NJ, USA, 2008. [Google Scholar]
- Slussarenko, S.; Murauski, A.; Du, T.; Chigrinov, V.; Marrucci, L.; Santamato, E. Tunable liquid crystal q-plates with arbitrary topological charge. Opt. Express 2011, 19, 4085–4090. [Google Scholar] [CrossRef]
- Wang, X. Chapter 6. Photoresponsive Liquid Crystal Elastomers. In Azo Polymers: Synthesis, Functions and Applications; Springer: Berlin/Heidelberg, Germany, 2017. [Google Scholar]
- White, T.J. (Ed.) Photomechanical Effects in Liquid-Crystalline Polymer Networks and Elastomers. In Photomechanical Materials, Composites, and Systems: Wireless Transduction of Light into Work; John Wiley & Sons: Hoboken, NJ, USA, 2017; Chapter 5. [Google Scholar]
- Ryabchun, A.; Bobrovsky, A.; Stumpe, J.; Shibaev, V. Novel Generation of Liquid Crystalline Photo-Actuators Based on Stretched Porous Polyethylene Films. Macromol. Rapid Commun. 2012, 33, 991–997. [Google Scholar] [CrossRef]
- Lancia, F.; Ryabchun, A.; Nguindjel, A.-D.; Kwangmettatam, S.; Katsonis, N. Mechanical adaptability of artificial muscles from nanoscale molecular action. Nat. Commun. 2019, 10, 4819. [Google Scholar] [CrossRef] [PubMed]
- Seki, T. Light-directed alignment, surface morphing and related processes: Recent trends. J. Mater. Chem. C 2016, 4, 7895–7910. [Google Scholar] [CrossRef]
- Ware, T.H.; McConney, M.E.; Wie, J.J.; Tondiglia, V.P.; White, T.J. Voxelated liquid crystal elastomers. Science 2015, 347, 982–984. [Google Scholar] [CrossRef]
- Ambrosio, A.; Marrucci, L.; Borbone, F.; Roviello, A.; Maddalena, P. Light-Induced Spiral Mass Transport in Azo-Polymer Films under Vortex-Beam Illumination. Nat. Commun. 2012, 3, 989. [Google Scholar] [CrossRef]
- Bobrovsky, A.; Mochalov, K.; Solovyeva, D.; Shibaev, V.; Cigl, M.; Hamplova, V.; Bubnov, A. Laser-induced formation of “craters” and “hills” in azobenzene-containing polymethacrylate films. Soft Matter 2020, 16, 5398–5405. [Google Scholar] [CrossRef]
- Rekola, H.; Berdin, A.; Fedele, C.; Virkki, M.; Priimagi, A. Digital holographic microscopy for real-time observation of surface-relief grating formation on azobenzene-containing films. Sci. Rep. 2020, 10, 19642. [Google Scholar] [CrossRef]
- Loebner, S.; Yadav, B.; Lomadze, N.; Tverdokhleb, N.; Donner, H.; Saphiannikova, M.; Santer, S. Local Direction of Optomechanical Stress in Azobenzene Containing Polymers During Surface Relief Grating Formation. Macromol. Mater. Eng. 2022, 31, 2100990. [Google Scholar] [CrossRef]
- Priimagi, A.; Shevchenko, A. Azopolymer-Based Micro- and Nanopatterning for Photonic Applications. J. Polym. Sci. Part B Polym. Phys. 2014, 52, 163–182. [Google Scholar] [CrossRef]
- Tabiryan, N.; Roberts, D.; Steeves, D.; Kimball, B. New 4G optics technology extends limits to the extremes. Photonics Spectra 2017, 51, 46–50. [Google Scholar]
- Tabiryan, N.V.; Roberts, D.E.; Liao, Z.; Hwang, J.-Y.; Moran, M.; Ouskova, O.; Pshenichnyi, A.; Sigley, J.; Tabirian, A.; Vergara, R.; et al. Advances in Transparent Planar Optics: Enabling Large Aperture, Ultrathin Lenses. Adv. Opt. Mater. 2021, 9, 2001692. [Google Scholar] [CrossRef]
- Jelken, J.; Santer, S. Light induced reversible structuring of photosensitive polymer films. RSC Adv. 2019, 9, 20295–20305. [Google Scholar] [CrossRef] [PubMed]
- Oscurato, S.L.; Salvatore, M.; Maddalena, P.; Ambrosio, A. From nanoscopic to macroscopic photo-driven motion in azobenzene-containing materials. Nanophotonics 2018, 7, 1387–1422. [Google Scholar] [CrossRef]
- White, T.; Broer, D. Programmable and adaptive mechanics with liquid crystal polymer networks and elastomers. Nat. Mater. 2015, 14, 1087–1098. [Google Scholar] [CrossRef] [PubMed]
- Iamsaard, S.; Asshoff, S.J.; Matt, B.; Kudernac, T.; Cornelissen, J.; Fletcher, S.P.; Katsonis, N. Conversion of light into macroscopic helical motion. Nat. Chem. 2014, 6, 229–235. [Google Scholar] [CrossRef]
- Liu, D.Q.; Broer, D.J. Self-assembled dynamic 3d fingerprints in liquid-crystal coatings towards controllable friction and adhesion. Angew. Chem. Int. Ed. 2014, 53, 4542–4546. [Google Scholar] [CrossRef]
- Wani, O.M.; Zeng, H.; Priimagi, A. A light-driven artificial flytrap. Nat. Commun. 2017, 8, 15546. [Google Scholar] [CrossRef]
- Gelebart, A.H.; Mulder, D.J.; Varga, M.; Konya, A.; Vantomme, G.; Meijer, E.W.; Selinger, R.L.B.; Broer, D.J. Making waves in a photoactive polymer film. Nature 2017, 546, 632. [Google Scholar] [CrossRef]
- Chang, V.Y.; Fedele, C.; Priimagi, A.; Shishido, A.; Barrett, C.J. Photoreversible Soft Azo Dye Materials: Toward Optical Control of Bio-Interfaces. Adv. Opt. Mater. 2019, 7, 1900091. [Google Scholar] [CrossRef]
- Toshchevikov, V.; Saphiannikova, M.; Heinrich, G. Microscopic theory of light-induced deformation in amorphous side-chain azobenzene polymers. J. Phys. Chem. B 2009, 113, 5032–5045. [Google Scholar] [CrossRef] [PubMed]
- Toshchevikov, V.P.; Saphiannikova, M.; Heinrich, G. Theory of light-induced deformation of azobenzene elastomers: Influence of network structure. J. Chem. Phys. 2012, 137, 024903. [Google Scholar] [CrossRef]
- Toshchevikov, V.; Ilnytskyi, J.; Saphiannikova, M. Photoisomerization kinetics and mechanical stress in azobenzene-containing materials. J. Phys. Chem. Lett. 2017, 8, 1094–1098. [Google Scholar] [CrossRef] [PubMed]
- Jung, C.C.; Rosenhauer, R.; Rutloh, M.; Kempe, C.; Stumpe, J. The generation of three-dimensional anisotropies in thin polymer films by angular selective photoproduct formation and annealing. Macromolecules 2005, 38, 4324–4330. [Google Scholar] [CrossRef]
- Mahimwalla, Z.; Yager, K.G.; Mamiya, J.; Shishido, A.; Priimagi, A.; Barrett, C.J. Azobenzene photomechanics: Prospects and potential applications. Polym. Bull. 2012, 69, 967–1006. [Google Scholar] [CrossRef]
- Koch, M. The Influence of Light on a Three-Arm Azobenzene Star: A Computational Study. Ph.D. Thesis, TU Dresden, Dresden, Germany, 2022. [Google Scholar]
- Toshchevikov, V.; Petrova, T.; Saphiannikova, M. Kinetics of light-induced ordering and deformation in lc azobenzene-containing materials. Soft Matter 2017, 13, 2823–2835. [Google Scholar] [CrossRef]
- Mitus, A.C.; Saphiannikova, M.; Radosz, W.; Toshchevikov, V.; Pawlik, G. Modeling of Nonlinear Optical Phenomena in Host-Guest Systems Using Bond Fluctuation Monte Carlo Model: A Review. Materials 2021, 14, 1454. [Google Scholar] [CrossRef]
- Toshchevikov, V.; Saphiannikova, M. Theory of light-induced deformation of azobenzene elastomers: Effects of the liquidcrystalline interactions and biaxiality. J. Phys. Chem. B 2014, 118, 12297–12309. [Google Scholar] [CrossRef]
- Yadav, B.; Domurath, J.; Kim, K.; Lee, S.; Saphiannikova, M. Orientation approach to directional photodeformations in glassy side-chain azopolymers. J. Phys. Chem. B 2019, 123, 3337–3347. [Google Scholar] [CrossRef] [PubMed]
- Bublitz, D.; Helgert, M.; Fleck, B.; Wenke, L.; Hvilstedt, S.; Ramanujam, P.S. Photoinduced Deformation of Azobenzene Polyester Films. Appl. Phys. B 2000, 70, 863–865. [Google Scholar] [CrossRef]
- Sobolewska, A.; Miniewicz, A. On the inscription of period and half-period surface relief gratings in azobenzene-functionalized polymers. J. Phys. Chem. B 2008, 112, 4526–4535. [Google Scholar] [CrossRef]
- Jelken, J.; Henkel, C.; Santer, S. Formation of half-period surface relief gratings in azobenzene containing polymer films. Appl. Phys. B 2020, 126, 149. [Google Scholar] [CrossRef]
- Pagliusi, P.; Audia, B.; Provenzano, C.; Piñol, M.; Oriol, L.; Cipparrone, G. Tunable Surface Patterning of Azopolymer by Vectorial Holography: The Role of Photoanisotropies in the Driving Force. ACS Appl. Mater. Interfaces 2019, 11, 34471–34477. [Google Scholar] [CrossRef]
- Galinski, H.; Ambrosio, A.; Maddalena, P.; Schenker, I.; Spolenak, R.; Capasso, F. Instability-induced pattern formation of photoactivated functional polymers. Proc. Natl. Acad. Sci. USA 2014, 111, 17017–17022. [Google Scholar] [CrossRef]
- Zhang, P.; Lan, Z.; Wei, J.; Yu, Y. Photodeformable Azobenzene-Containing Polyimide with Flexible Linkers and Molecular Alignment. ACS Macro Lett. 2021, 10, 469–475. [Google Scholar] [CrossRef]
- Doi, M.; Edwards, S.F. The Theory of Polymer Dynamics; Clarendon Press: Oxford, UK; Oxford University Press: New York, NY, USA, 1986. [Google Scholar]
- Buffeteau, T.; Labarthet, F.L.; Sourisseau, C.; Kostromine, S.; Bieringer, T. Biaxial Orientation Induced in a Photoaddressable Azopolymer Thin Film as Evidenced by Polarized UV-Visible, Infrared, and Raman Spectra. Macromolecules 2004, 37, 2880–2889. [Google Scholar] [CrossRef]
- Uchida, E.; Shiraku, T.; Ono, H.; Kawatsuki, N. Control of Thermally Enhanced Photoinduced Reorientation of Polymethacrylate Films with 4-Methoxyazobenzene Side Groups by Irradiating with 365 and 633 nm Light and Annealing. Macromolecules 2004, 37, 5282–5291. [Google Scholar] [CrossRef]
- Ramanujam, P.S.; Jensen, O.B.; Tidemand-Lichtenberg, P. The still unknown azobenzene—Wavelength dependent photoanisotropy in amorphous azobenzene polymers. Opt. Express 2013, 21, 1812–1819. [Google Scholar] [CrossRef]






Disclaimer/Publisher’s Note: The statements, opinions and data contained in all publications are solely those of the individual author(s) and contributor(s) and not of MDPI and/or the editor(s). MDPI and/or the editor(s) disclaim responsibility for any injury to people or property resulting from any ideas, methods, instructions or products referred to in the content. |
© 2023 by the authors. Licensee MDPI, Basel, Switzerland. This article is an open access article distributed under the terms and conditions of the Creative Commons Attribution (CC BY) license (https://creativecommons.org/licenses/by/4.0/).
Share and Cite
Toshchevikov, V.; Saphiannikova, M. Photo-Ordering and Deformation in Azobenzene-Containing Polymer Networks under Irradiation with Elliptically Polarized Light. Processes 2023, 11, 129. https://doi.org/10.3390/pr11010129
Toshchevikov V, Saphiannikova M. Photo-Ordering and Deformation in Azobenzene-Containing Polymer Networks under Irradiation with Elliptically Polarized Light. Processes. 2023; 11(1):129. https://doi.org/10.3390/pr11010129
Chicago/Turabian StyleToshchevikov, Vladimir, and Marina Saphiannikova. 2023. "Photo-Ordering and Deformation in Azobenzene-Containing Polymer Networks under Irradiation with Elliptically Polarized Light" Processes 11, no. 1: 129. https://doi.org/10.3390/pr11010129
APA StyleToshchevikov, V., & Saphiannikova, M. (2023). Photo-Ordering and Deformation in Azobenzene-Containing Polymer Networks under Irradiation with Elliptically Polarized Light. Processes, 11(1), 129. https://doi.org/10.3390/pr11010129

