You are currently viewing a new version of our website. To view the old version click .
Processes
  • Feature Paper
  • Article
  • Open Access

Published: 29 December 2022

A Measurement Method for the Pore Structure of Coal Slime Filter Cake

,
,
and
1
China Energy Zhunneng Energy Group Co., Ltd., Ordos 010323, China
2
School of Chemical and Environmental Engineering, China University of Mining & Technology (Beijing), Beijing 100083, China
3
State Key Laboratory of Complex Nonferrous Metal Resources Clean Utilization, Kunming University of Science and Technology, Kunming 650031, China
4
China Merchants Ecological Environmental Protection Technology Co., Ltd., Chongqing 401122, China
This article belongs to the Special Issue Process Analysis and Carbon Emission of Mineral Separation Processes

Abstract

The accurate determination of the coal slime filter cake pore structure has always been a problem in the field of solid–liquid separation. An innovative measurement method for the pore structure of filter cake after filtration dehydration of coal slime water, including the preparation of coal slime filter cake, the solidification of the filter cake, and the preparation and measurement of test filter cake, was established in this paper. Epoxy resin and curing agent can ensure the strength of the filter cake, and red colorant can realize the accurate separation of coal particles and pores. The most suitable perfusate consists of epoxy resin, red colorant, and curing reagent, and the optimal ratio is 12:3:5. The application of the method to the study of the effect of filtration time on the coal slime filter cake pores shows that the modified method is effective. At the initial stage of filtration, intergranular pores formed by coarse particles are the main pores. With increasing filtration time, the macropores formed by the coarse particles are mainly filled with fine particles, and the pore size of the filter cake rapidly decreases. These measuring results and rules are accurate. This method can be conveniently used to study the microstructure of filter cake, pore channel regulation, filtration dehydration mechanisms, etc.

1. Introduction

The closed circuit of coal slime water in coal preparation plants is very important. To avoid polluting the environment, coal slime water needs to be separated into solid and liquid fractions. However, the coal slime filter cake usually has a high moisture content and a low filtration velocity, which seriously affects the processing and dewatering capacity of filtration equipment. Hence, high-efficiency filtration of coal slime water has become a major issue [1,2].
The pore structure of a filter cake is an important factor influencing the filtration process. The difficulty in measuring the pore structure is due to the coal slime filter cake being easily damaged, and it is challenging to distinguish the difference between coal particles and pores [3]. If a suitable method for measuring the pore structure of coal slime filter cakes can be developed, this will help in the examination of the mechanism of filtration, and the relationship between filtration and pore structure can be established, which is of great significance to the study of coal slime water filtration.
The pore structure of a filter cake affects percolation and the occurrence state of water in the porous medium and is the basis for studying its porosity and permeability [4,5,6,7]. The methods for measuring the pore structure include bulk density, gas adsorption, mercury intrusion porosimetry (MIP), scanning electron microscopy (SEM) and X-ray tomography [8] experiments. In the bulk density method, the porosity of the filter cake is calculated according to the percentage of the coal particle volume to the volume of the filter cake. However, the accuracy of this method is poor, and only the porosity of the filter cake can be obtained. Structural parameters, such as the size, distribution, shape, and tortuosity of the pores, cannot be obtained by this method [9,10]. Gas adsorption is a conventional technique and is widely used in the characterization of micro- and mesoporous materials. However, real pores are often miscategorized due to phenomena such as the tensile strength effect (TSE), adsorbate phase transition, and monolayer formation [11,12]. Mercury intrusion porosity measurement (MIP) is based on capillary phenomenon, so mercury must overcome the repulsive force of solid surface to enter the pores. The smaller the pores are, greater the repulsive forces are and the higher the pressure required is [13,14]. The pore structure of a porous medium can be analyzed by SEM [15] and NMR [16]. This method requires test samples with a certain strength, but the structural strength of coal slime filter cakes is low, and they are readily damaged. In addition, the distinction between coal particles and pores is very low in filter cake pore images, and the accuracy of pore extraction in subsequent images is low, which cannot truly reflect the pore structure of filter cakes. The three-dimensional X-ray tomography method can be adopted for pore measurement without damaging pore structure [17,18,19], but the convenience and accuracy of this method cannot meet the requirements of coal slime filter cakes. Therefore, the accurate measurement of the coal slime filter cake pore structure has remained a major problem in the field of solid–liquid separation.
In summary, keeping the filter cake undamaged and distinguishing between coal particles and pores are key to measuring the pore structure of coal slime filter cake; moreover, the commonly used methods for measuring the porous medium pore structure have a poor applicability to the measurement of coal slime filter cakes. In this paper, a measurement method suitable for coal slime filter cake pore structure is developed, and the influence of the filtration time on pore structure is studied using this method.

2. Materials and Methods

2.1. Preparation of the Coal Slime Filter Cake

A typical bituminous coal was acquired from the Gongwusu coal preparation plant, Inner Mongolia Autonomous Region, China. The coal sample was coking coal with ash content of 20–27% and sulfur content of 2.5%. After the coal sample was crushed and screened, the −0.5 mm size fraction was taken as the test coal sample. The particle size distribution curves of the −0.5 mm coal sample are shown in Figure 1. The wet-screening technique was then applied to obtain 0.5–0.074 mm and larger-than-−0.074 mm size fractions. The coal samples studied in this paper were mixtures consisting of 40% of the 0.5–0.074 mm fraction and 60% of the −0.074 mm fraction. The coal slime filter cake was prepared with a coal slime filtration device [20], which is composed of filter equipment, a feeding pipeline, and a power source.
Figure 1. Particle size distribution curves of −0.5 mm coal sample.
The filtering device was as shown in Figure 1 of the article by Zhuo et al. [18], and includes a filter plate, a filter frame, a chamber, a head plate, and a buffer tank. The feeding pipeline includes a pneumatic diaphragm pump, a coal slime bucket, and a pipeline. The power source includes an air compressor and its associated pipeline. Filter cloth is placed on the filter plate, and the lower part of the filter plate is connected to the buffer tank. A pipeline is arranged at the bottom of the buffer tank, and the filter cloth is located under the filter frame. The upper part of the filter frame is connected to the lower part of the chamber, and the upper part of the chamber is connected to the head plate. Two pipelines are provided on the head plate: one of the lines is directly connected to the air compressor, and the other line is connected to the coal slime bucket through a pneumatic diaphragm pump. The maximum pressure of the air compressor is 0.7 MPa [20].
The steps involved in the preparation of the coal slime filter cake were as follows: ① Uniformly mix the pulverized coal and water in the coal slime bucket to form coal slime water with a concentration of 400 g/L, then transfer the coal slime water to the chamber. ② Open the valve of the air compressor, quickly adjust the valve at the cover plate, and increase the air pressure to 0.6 MPa. High pressure air forces the slime water to pass through the filter cloth and discharge into the metering cylinder through the buffer tank. ③ Take samples from top to bottom perpendicular to the filter cake surface after the coal slime filter cake has formed. ④ Dry and solidify the filter cake samples to measure the pore structure by using curing and measuring methods.

2.2. Chemical Agent

The chemical reagents used in the test and their indicators are shown in Table 1.
Table 1. The property and source of reagents used in experiments.

2.3. Measurement Device and Method for the Pore Structure

Since the coal slime filter cake is gradually formed from fine particles, its structure is very loose, and a small force exerted on it will affect its pore structure. Therefore, the filter cake needs to be solidified. After solidification, the filter cake can be freely cut and observed. It has been found that the drag and capillary actions of the liquid flowing through the particles during solidification cannot be neglected [21]. Therefore, the coal slime filter cake needs to be pretreated before solidification, that is, the filter cake is reinforced before solidification to preserve the filter cake structure during the solidification process.
The pretreatment method adopted in this experiment was proposed by Zhang [22]. During the pretreatment process, air is first passed through a reagent bottle containing a strong adhesive (Loctite-415) and is then slowly passed through the filter cake. The strong adhesive becomes attached to the internal structure of the filter cake to form a thin layer on the surface of the particles inside the filter cake. The adhesive force generated by this thin layer attains a certain strength, which ensures that the pore structure of the filter cake does not change in the subsequent solidification process. In addition, the coal slime filter cake is formed under the impact of air at a certain flow velocity and can thus sustain the impact of a certain airflow. During the experiment, the rate of air flow is very low, so the pore structure of the coal slime filter cake is not destroyed. After pretreatment, the coal slime filter cake pore structure does not change considerably, but a notable change in hardness does occur, and the soft filter cake achieves a certain strength after pretreatment.
In order to improve the strength of slime filter cake, a device was designed to solidify the filter cake. The device was composed of a vacuum pump, a separation funnel, a suction filter bottle, a filter, a sampler, an iron stand, and a rubber tube, as shown in Figure 2.
Figure 2. Schematic diagram of the filter cake solidification device. 1—separation funnel; 2—sampler; 3—filter bottle; 4—rubber tube; 5—vacuum pump.
The steps of the solidification process were as follows: ① Connect the sampler and filter to the filter bottle and fasten the separation funnel containing perfusate to the iron stand. Move the filter bottle such that the sampler is located directly below the outlet of the separation funnel and connect the filter bottle to the vacuum pump via the rubber tube. ② Open the valve of the separation funnel and, when 2/3 of the perfusate has dripped into the sampler, activate the vacuum pump. After the perfusate has completely penetrated the filter cake, switch off the vacuum pump. ③ When the filter cake is completely submerged in the perfusate, remove the sampler from the filter, place it in a drying box, and dry at 40–45 °C for 12 h to obtain a solidified filter cake. After the coal slime filter cake has solidified, it is cut and numbered along the thickness direction of the filter cake. Then, the cut surface of the filter cake is ground using aluminum oxide powder with a particle size of 10 and 5 μm. Finally, the surface is polished using an aluminum oxide solution with a particle size of −0.1 μm.
The pore structure of the coal slime filter cake was measured with a polarization microscope (Zeiss Axio Scope A1 pol). The polished filter cake was then placed under the polarization microscope for observation. The filter cake was moved at fixed step intervals of 0.5 mm, and each point was photographed using ProgRes CapturePro software (JENOPTIK Industrial Metrology, Jena, Germany, 2018). These photographs were first denoised and binarized, and image analysis software (Image-Pro Plus 6.0, Media Cybernetics, Inc., Rockville, MD 20852 USA, 2016) was then used to measure and calculate the pore diameter, circumference, and area, and other parameters of the filter cake [20].

3. Results and Discussion

3.1. Effect of the Different Perfusates on Solidification

To enhance the distinction between the coal particles and pores, different combinations of infusion solutions were tested. The effects of different perfusion solutions, such as shellac, epoxy resin and red ink, and epoxy resin and colorant, on curing were studied.

3.1.1. Shellac

Shellac is a kind of thermosetting natural resin that readily dissolves in alcohol. Zhang previously used shellac as a binder and mixed coal and shellac at certain proportions, after which the mixture was heated to fabricate a polished section, and the content of each component was measured under a polarization microscope [3]. Inspired by these experiments, shellac was tested as a perfusion fluid to check its influence on the solidification of slime filter cake.
To avoid damaging the structure of the coal slime filter cake, shellac was added to anhydrous ethanol and dissolved for 2–5 h to prepare a shellac solution. The shellac solution was applied as the perfusate in the solidification process. A pore image of the filter cake solidified with shellac and its grayscale value distribution are shown in Figure 3.
Figure 3. Image and binary image of filter cake under polarizing microscope. (a) The image of filter cake; (b) the binary image of filter cake.
Via experiments and Figure 3, it was found that coal particles and shellac are easy to distinguish under a polarizing microscope. The gray values of coal particles and shellac in the image are obviously different, and the segmentation accuracy becomes after binarization. However, the test results showed that the shellac solution only adheres to the surface of the coal particles. The pores are not filled, and the pore structure is still easily damaged. The results reveal that it is not feasible to use the shellac solution as the perfusate for the solidification of coal slime filter cake.

3.1.2. Epoxy Resin and Red Ink

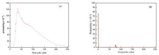
Epoxy resin (378A) has the characteristics of a strong adhesion, low viscosity, and long solidification time, which make it suitable for the solidification of filter cake with a long perfusion time. To increase the differentiation between the coal particles and pores under the microscope, red ink was added to the epoxy resin. The perfusate was prepared according to a mass ratio of epoxy resin to red ink to curing reagent of 12:3:5. A pore image of the filter cake solidified with epoxy resin and red ink and its grayscale value distribution are shown in Figure 4.
Figure 4. Pore image and grayscale value distribution of the filter cake solidified with epoxy resin and red ink. (a) Pore image of the filter cake; (b) the grayscale value distribution.
The grayscale value distribution of the pore image reflects the probability that a pixel point with a certain grayscale value occupies the total pixel point. The more notable the difference in grayscale value between the coal particles and pores is, the higher the segmentation accuracy will be in the case of image binarization and the more accurate the measurement of the filter cake pore structure will be. As shown in Figure 5, the color difference between the coal particles and pores in the pore image is not notable, and the color depth of the pores is uneven. The grayscale distribution curve of the filter cake pore image only exhibits one main peak, and there is no notable difference between the coal particle and pore grayscale values. The results show that the epoxy resin and red ink combination is not feasible to be used as the perfusate for the solidification of coal slime filter cake.
Figure 5. Pore images of filter cake solidified by epoxy resin and color paste. (a) Epoxy resin and black colorant; (b) epoxy resin and blue colorant t; (c) epoxy resin and yellow colorant; (d) epoxy resin and red colorant.

3.1.3. Epoxy Resin and Colorant

Colorant has a good stability, dispersibility and strong coloring power and is soluble in epoxy resin. In this paper, four kinds of colorant, namely, black, blue, yellow, and red, were studied.
The colorant was added to the epoxy resin, and the perfusion solution was prepared according to a mass ratio of epoxy resin to colorant to curing reagent of 12:3:5. The pore image of slime filter cake cured by epoxy resin and colorant is shown in Figure 5.
The Figure 5 shows that when black, blue, and yellow colorants are added to the epoxy resin, the difference between the coal particles and pores in the pore image is small. When red colorants are added to the epoxy resin, the difference between the coal particles and pores is notable. The preliminary surface of the red colorants can improve the difference between the coal particles and pores. To further study the effect of the colorants on the image binarization segmentation accuracy, grayscale value distributions of the pore images obtained by perfusing coal slime filter cakes with epoxy resin and yellow colorant, epoxy resin and red colorant were generated, as shown in Figure 6.
Figure 6. Pore images of the filter cake solidified with epoxy resin and red colorants and their grayscale value distribution. (a) Epoxy resin and yellow colorant; (b) epoxy resin and red colorant).
As shown in Figure 6, when yellow colorant is added, there is only one main peak in the gray distribution curve of the solidified coal slime filter cake pore image, there is no significant difference between the gray values of coal particles and pores, and the accuracy of image binary segmentation is poor. When red colorant is added, there are two peaks in the grayscale curve of the pore image of solidified slime filter cake, and there are significant differences between the two peaks, indicating that the gray value of coal particles and pores is significantly different. Therefore, the use of red colorant to solidify filter cake can achieve accurate segmentation of coal particles and pores.
The best conditions of perfusion liquid for filter cake solidification were obtained through experimentation. The perfusion liquid was composed of epoxy resin, red colorant and curing agent, and the optimal ratio was 12:3:5.

3.2. The Effectiveness of the Method for the Pore Structure of Coal Slime Filter Cake

In order to verify the effectiveness of the method for the pore structure of coal slime filter cake, this method was used to study the effect of the filtration time on the pore structure of coal slime filter cake.
The coal slime filter cake pores are the channels for the filter liquor and are also the storage space of water. These pores determine the difficulty of filtration and the moisture characteristics of the coal slime filter cake. Based on the above method, the variation in the filter cake pore structure with the filtration time was examined. In this study, filtration experiments were carried out for 10 s, 20 s or 40 s. The pore structure was measured to study the variation in the filter cake pore structure with the filtration time. The pore structure (including the pore size and distribution) at 5 mm along the direction of the filter cake thickness was measured to study the variation in the filter cake pore structure with the filtration time.

3.2.1. Pore Size

The thickness of the filter cake increases with increasing filtration time, and the filter cake pore structure will change if fine particles enter the established pores [18,21,22]. When the filtration time is very short, the intergranular pores formed by coarse particles are the main pores. As filtration proceeds, the pores previously formed by the coarse particles are filled with fine particles, which leads to a decrease in the number of macropores and an increase in the number of small pores in the filter cake. The pore sizes of the filter cake at the different filtration times are listed in Table 2.
Table 2. Pore size of the filter cake at the different filtration times.
As indicated in Table 2, when the filtration time increases from 10 to 40 s, the pore diameter of the filter cake decreases from 1.49 to 1.35 μm, the pore area decreases from 9.54 to 7.30 μm, the pore circumference decreases from 10.88 to 9.24 μm, and the filter cake total porosity decreases from 25.23% to 23.50%. With increasing filtration time, the effect of the filtration time on the pore size, pore area, pore circumference and porosity gradually decrease. This rule of change in pore structure is consistent with that measured by three-dimensional X-ray microanalysis by Li et al. [16] and Lai et al. [19].
The intergranular pores formed by the coarse particles are the dominant pores at the initial stage of filtration, and the pore size, pore area, pore circumference and porosity of the filter cake are high. As filtration progresses, the intergranular pores formed by the coarse particles are filled with fine particles, and the pore size of the filter cake rapidly decreases. Finally, the large pores become nearly filled [23]. At this time, the −0.074 mm grain size fraction mainly fills the intergranular pores previously formed by the coarse and fine particles. These pores are much smaller than the pores formed by the coarse particles. At this time, the intergranular pores formed by the fine particles of the −0.074 mm fraction are the main pores. These pores are much smaller, resulting in a gradual decrease in the pore size, pore area, pore circumference and porosity.

3.2.2. Pore Distribution

The sizes of the filter cake pores are not equal, and the pore size distribution is an important characteristic of the filter cake pores. In a similar way to the method of particle size distribution, a pore size cumulative distribution curve was adopted to describe the distribution of the filter cake pores. Figure 7 shows the pore diameter cumulative distribution curve of the filter cake pores at the different filtration times.
Figure 7. Pore diameter cumulative distribution curve of the filter cake pores at the different filtration times.
Figure 7 shows that when the filtration time increases from 10 s to 40 s, the proportion of pore diameters less than 0.3 μm increases from 24.37% to 29.62%. The same trend was observed by Guo et al. [23], that is, the peak value of the pore size distribution curve gradually increased, and the number of small holes increased with the increase of filtering time. The pore distribution of the filter cake can be quantitatively described by some characteristic points on the pore cumulative distribution curve. In this paper, the characteristic parameters were the sorting coefficient (Sp), skewness (Skp), and kurtosis (Kp) [18].
The separation coefficient is a parameter that characterizes the uniformity of pore distribution. Its physical significance is equivalent to the standard deviation in statistics. A small separation coefficient indicates uniform pore distribution. The calculation method is as follows:
S p = ϕ 84 ϕ 16 4 + ϕ 95 ϕ 5 6.6 ϕ i = log 2 D i
where i is the percentage on the negative cumulative distribution curve and Di is the corresponding pore diameter when the negative cumulative pore content is i.
The skewness characterizes the degree of pore distribution curve deviation from the coarse pore size or the fine pore size. The calculation method is as follows:
S k p = ϕ 84 + ϕ 16 2 ϕ 50 2 ( ϕ 84 ϕ 16 ) + ϕ 95 + ϕ 5 2 ϕ 50 2 ( ϕ 95 ϕ 5 )
If the pore distribution curve is symmetrical, Skp is zero. A positive value of Skp indicates that the pore distribution is biased towards the coarse pores, and a negative value of Skp indicates that the pore distribution curve is biased towards the fine pores.
Kurtosis is a parameter intended to measure the steepness of the pore distribution curve. The calculation method is as follows:
K p = ϕ 95 ϕ 5 2.44 ( ϕ 75 ϕ 25 )
The results of the characteristic parameters are summarized in Table 3.
Table 3. Characteristic parameters of the pore size distribution at the different filtration times.
As indicated in Table 3, when the filtration time increases from 10 s to 40 s, the sorting coefficient increases from 1.5559 to 1.5806, indicating that the content of small pores increases with increasing filtration time. A decrease in content leads to an increase in the unevenness of the filter cake pore distribution. When the filtration time is 10, 20 and 40 s, the skewness is 0.0944, 0.0670 and 0.0639, respectively. The same trend was observed by Zhuo et al. [24] and Hu et al. [25], this indicates that the pore size distribution curve is biased towards the coarse pores, and the longer the filtration time is, the less the pore distribution curve deviates from the coarse pores [25]. As the filtration time increases, the kurtosis decreases from 1.0482 to 1.0119, remaining between 0.9 and 1.11, which is a moderate degree of kurtosis. The shorter the filtration time is, the larger the pore size and the thicker the tail of the probability density curve are. These measured results are consistent with the results of filtration experiments using NMR [19] and 3-D XRM [23,25].

4. Conclusions

A method for measuring the pore structure of filter cake after filtration dehydration of coal slime water was established. This method included the solidification of the filter cake and the measurement of the filter cake pores. Epoxy resin and a curing agent can ensure the strength of filter cake, and red colorant can realize the accurate separation of coal particles and pores. It was determined that the most suitable perfusate is composed of epoxy resin, red colorant and curing reagent, at an optimal ratio of 12:3:5. The application of the method to the study of the effect of the filtration time on the coal slime filter cake pores shows that the modified method is effective. It is more convenient and accurate to use this method to study pore structure. As filtration progresses, the macropores are gradually filled with fine particles. These pores are much smaller than the intergranular pores previously formed by the coarse particles. This method solves the difficult problem of measuring the pore structure parameters of filter cake. The results demonstrate that this method can be used to study the mechanism of coal slime water filtration.

Author Contributions

Conceptualization, H.X.; methodology, L.L. and H.X.; validation, Q.Z. and D.W.; formal analysis, L.L.; investigation, D.W.; data curation, L.L.; writing—original draft preparation, L.L.; writing—review and editing, Q.Z. and H.X.; supervision, H.X.; project administration, Q.Z.; funding acquisition, H.X. All authors have read and agreed to the published version of the manuscript.

Funding

This research was financially supported by the National Key R&D Program of China (No. 2021YFC2902601), the National Natural Science Foundation of China (No. 52104281), the Fundamental Research Funds for the Central Universities (No. 2022XJHH01 and No. 2020QN08) and the Foundation of State Key Laboratory of Complex Nonferrous Metal Resources Clean Utilization (CNMRCUKF2107).

Data Availability Statement

Not applicable.

Conflicts of Interest

The authors declare no conflict of interest.

Notations

Sp      sorting coefficient
Skpskewness
Kpkurtosis
ipercentage on the negative cumulative distribution curve
Dicorresponding pore diameter when the negative cumulative pore content is i.

References

  1. Fan, Y.; Dong, X.; Hui, H. Dewatering effect of fine coal slurry and filter cake structure based on particle characteristics. Vacuum 2015, 114, 54–57. [Google Scholar] [CrossRef]
  2. Bourcier, D.; Feraud, J.P.; Colson, D.; Mandrick, K.; Ode, D. Influence of particle size and shape properties on cake resistance and compressibility during pressure filtration. Chem. Eng. Sci. 2016, 144, 176–187. [Google Scholar] [CrossRef]
  3. Zhang, L.; Liu, W.; Men, D.; Han, X. Effects of maceral composition on vitrinite reflectance distribution of blended coals. J. Min. Sci. Technol. 2017, 2, 90–98. [Google Scholar]
  4. Yang, F.; Ning, Z.; Hu, C. Microscopic pore structure characteristics of shale reservoirs. J. Pet. 2013, 34, 301–311. [Google Scholar]
  5. Li, T.; Wu, C. The grain size effect on pores structure characteristics of high-rank coal before and after the methane adsorption. J. Nat. Gas Geosci. 2021, 6, 111–120. [Google Scholar] [CrossRef]
  6. Fuller, K.P.; Gaspar, D.; Delgado, L.M.; Pandit, A. Influence of porosity and pore shape on structural, mechanical and biological properties of poly ϵ-caprolactone electro-spun fibrous scaffolds. Nanomedicine 2016, 11, 1031–1040. [Google Scholar] [CrossRef]
  7. Ghanbarian, B.; Hunt, A.G.; Ewing, R.P.; Sahimi, M. Tortuosity in Porous Media: A Critical Review. Soil Sci. Soc. Am. J. 2013, 77, 1461–1477. [Google Scholar] [CrossRef]
  8. Chen, Y. Preparation and Characterization of Porous Materials; University of Science and Technology of China Press: Hefei, China, 2010. [Google Scholar]
  9. Fan, W.; Wu, J.; Ahmed, S.; Hu, J.; Chen, X.; Li, X.; Zhu, W.; Opoku-Kwanowaa, Y. Short-term effects of different straw returning methods on the soil physicochemical properties and quality index in dryland farming in NE china. Sustainability 2020, 12, 2631. [Google Scholar] [CrossRef]
  10. Cresswell, H.P.; Hamilton, G.J. Bulk Density and Pore Space Relations; CSIRO: Canberra, Australia, 2002. [Google Scholar]
  11. Fernandes, A.C.; Pinto, R.; Carvalho, S.; Mafra, L.; Pires, J. Storage and delivery of h2s by microporous and mesoporous materials. Microporous Mesoporous Mater. 2021, 320, 111093. [Google Scholar] [CrossRef]
  12. Clarkson, C.R.; Solano, N.R.; Bustin, R.M.; Bustin AM, M. Pore structure characterization of North American shale gas reservoirs using USANS/SANS, gas adsorption, and mercury intrusion. Fuel 2013, 103, 606–616. [Google Scholar] [CrossRef]
  13. Sun, M.; Wang, Q.; Yan, H.; Song, S. Research on pore microstructure features for dredger fill based on mercury intrusion method. Glob. Geol. 2013, 16, 48–53. [Google Scholar]
  14. Zauer, M.; Hempel, S.; Pfriem, A.; Mechtcherine, V.; Wagenfuhr, A. Investigations of the pore-size distribution of wood in the dry and wet state by means of mercury intrusion porosimetry. Wood Sci. Technol. 2014, 48, 1229–1240. [Google Scholar] [CrossRef]
  15. Liu, J.; Qiu, Q.; Xing, F.; Pan, D. Permeation Properties and Pore Structure of Surface Layer of Fly Ash Concrete. Materials 2014, 7, 4282–4296. [Google Scholar] [CrossRef]
  16. Lai, Q.; Liao, Y.; Liu, Z. Enhanced low-rank coal slime dewatering by adjustment of channel wall structure and surface wettability. Sep. Purif. Technol. 2020, 248, 116970. [Google Scholar] [CrossRef]
  17. Grayze, S.D.; Jassogne, L.; Six, J.; Bossuyt, H.; Wevers, M. Pore structure changes during decomposition of fresh residue: X-ray tomography analyses. Geoderma 2006, 134, 82–96. [Google Scholar] [CrossRef]
  18. Yao, Y.B.; Liu, D.M.; Cai, Y.D.; Li, J. Advanced characterization of pores and fractures in coals by nuclear magnetic resonance and X-ray computed tomography. Sci. China Earth Sci. 2010, 53, 854–862. [Google Scholar] [CrossRef]
  19. Li, Y.; Chen, Y.; Xia, W.; Xie, G. Filtration of kaolinite and coal mixture suspension: Settling behavior and filter cake structure analysis. Powder Technol. 2021, 381, 122–128. [Google Scholar] [CrossRef]
  20. Zhuo, Q.; Liu, W.; Xu, H.; Wang, D. Effect of particle size distribution on filter cake pore structure and coal slurry dewatering process. Int. J. Coal Prep. Util. 2020, 42, 1879–1894. [Google Scholar] [CrossRef]
  21. Schmidt, E.; Loffler, F. Preparation of dust cakes for microscopic examination. Powder Technol. 1990, 60, 173–177. [Google Scholar] [CrossRef]
  22. Zhang, C. Study on Particle Layer Compression Phenomenon in Filtration Process by Solidification Method; Tsinghua University: Beijing, China, 2005. [Google Scholar]
  23. Guo, Z.; Liang, L.; Hu, P. Application of low-field NMR in the study of flocculant-aided filtration process of coal tailings. Physicochem. Probl. Miner. Process. 2021, 57, 1–7. [Google Scholar] [CrossRef]
  24. Zhuo, Q.; Wang, D.; Xu, H.; Liu, W.; Gao, L. Pore structure and permeability of filter cake in coal slurry filtration. Int. J. Coal Prep. Util. 2022, 42, 155–170. [Google Scholar] [CrossRef]
  25. Hu, P.; Liang, L.; Xie, G.; Zhou, S.; Peng, Y. Effect of slurry conditioning on flocculant-aided filtration of coal tailings studied by low-field nuclear magnetic resonance and X-ray micro-tomography. Int. J. Min. Sci. Technol. 2020, 30, 859–864. [Google Scholar] [CrossRef]
Disclaimer/Publisher’s Note: The statements, opinions and data contained in all publications are solely those of the individual author(s) and contributor(s) and not of MDPI and/or the editor(s). MDPI and/or the editor(s) disclaim responsibility for any injury to people or property resulting from any ideas, methods, instructions or products referred to in the content.

Article Metrics

Citations

Article Access Statistics

Multiple requests from the same IP address are counted as one view.