Game Analysis of the Evolution of Energy Structure Transition Considering Low-Carbon Sentiment of the Decision-Makers in the Context of Carbon Neutrality
Abstract
:1. Introduction
2. Literature Review
2.1. Progress of Research on Energy Structure Transition
2.2. The Use of Evolutionary Games in Energy Structure Transformation
2.3. Progress of Emotions in Related Research
- (1)
- In the new condition of energy structure transformation, coal energy and clean energy have been in a position of reciprocal gaming with regard to carbon neutrality. This paper discuss the effects of the shift to a cleaner energy mix after analyzing the decisions chosen by energy consumers and government regulators about the usage of efficient and clean coal.
- (2)
- This paper creatively introduces the factor of low-carbon sentiment, where decision-makers are not in a fully rational state, and analyzes the impact of various low-carbon sentiments of government regulators and energy consumers on decision-making behavior and energy structural transformation. This is in contrast to other traditional studies exploring energy structural transformation.
- (3)
- It contributes to the expansion of evolutionary game theory and applications by building a sentiment model that naturally combines evolutionary game theory and the RDEU theory to explain the tactical decisions chosen by government regulators and energy consumers under various sentiments and risk aversions.
3. Theoretical Assumptions
The Rank-Dependent Expected Utility Theory
- (1)
- is a concave function when . reduces the likelihood of for any , demonstrating the participants’ pessimism.
- (2)
- is a convex function when . widens the likelihood of for any , demonstrating the participants’ optimism.
- (3)
- The possibility is unchanged when , a sign that people are in a rational mood.
4. Game Model Construction
4.1. Illustration of Relevant Gaming Concepts
4.2. Model Hypothesis
5. Model Optimization Analysis Considering Heterogeneous Emotions
5.1. Stability Analysis of Government Regulators’ Strategies Considering Low-Carbon Sentiment
5.2. Stability Analysis of Energy Consumers’ Strategies Considering Low-Carbon Sentiment
5.3. Analysis of Strategy Portfolio Stability
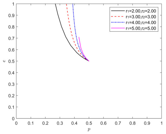
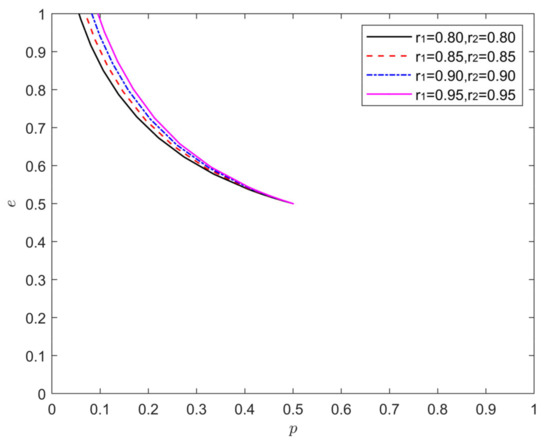
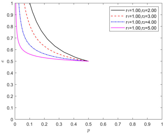
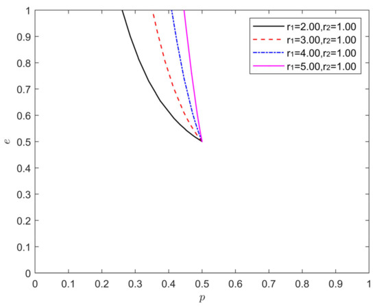
6. Analysis of Simulation
6.1. (Rational, Rational) State Analysis
6.2. (Emotion, Emotion) State Analysis
6.3. (Emotional, Rational) State Analysis
6.4. (Rational, Emotional) State Analysis
7. Summary
7.1. Conclusions
- (1)
- Emotions have an irrational impact on decision-makers’ psychological preferences, which in turn affects their choice of behavioral approach and materially alters the equilibrium state of the model. Government regulators and energy consumers are influenced by emotional and risky attitudes that cause them to make utterly irrational behavioral decisions because they feel dependent on or are unwilling to shift their energy sources too much and too early in favor of coal. The eventual evolution of the system can be impacted by changes in the psychological preferences and feelings of government regulators and energy customers using the same objective decision-making framework.
- (2)
- In terms of the individual consequences of different emotional attitudes, pessimism may raise the decision-maker’s psychological preference for the strategy selection process, while optimism can lower this desire. Decision-makers can avoid making judgments with significant mistakes that differ from the system’s outcomes by controlling their rational emotions. Pessimism affects decision-makers, increases the likelihood that they will take action, and makes them more likely to choose effective strategies by avoiding acts of omission, but too much pessimism will have a negative impact on the motivation behind decision-making. Appropriate optimism will enable decision-makers to actively adjust to the energy structure transition and intentionally increase the likelihood of attaining the best possible allocation of societal resources. However, overly optimistic decision-makers are prone to arrogance, which can result in motivation loss and inactive behavior.
- (3)
- The interaction of different emotional attitudes results in a more complicated and dynamic synergistic relationship than a simple addition. The effect of pessimism is stronger than that of optimism in this process of synergistic relationships. One of the two sides of the energy structure transformation game displays a rational state, while the other side, regardless of melancholy or optimism, exhibits a state that simply impacts the system’s equilibrium state and evolutionary pace rather than the strategy’s direction of development. The deepening pessimism of one side will change the evolution rate and equilibrium state of the system as a whole in a relatively positive direction if the optimism of the other side remains unchanged; the deepening optimism of the other side will change the evolution rate and equilibrium state of the system as a whole in a relatively negative direction if the optimism of the other side remains unchanged.
7.2. Revelation
- (1)
- Guiding the appropriate decision-makers to generate appropriate emotional attitudes for decision-makers and regulating the degree of performance of different emotional attitudes to prevent excessive emotions from influencing decision-makers and to strengthen the role of emotions as an irrational factor to support energy structure transformation. Decision-makers are in rational emotions while making judgments about energy structure transformation, and psychological preferences and emotions can influence those decisions in either a positive or a negative way. This is a fact that does exist, and we cannot ignore it. Therefore, we need to take the irrational factor of emotion into full consideration in the overall planning when formulating energy structure transformation strategies and transformation paths. Given that government regulators and energy consumers are adequate at uplifting emotional counseling, preventing the influence of excessive emotions through social monitoring, establishing suitable energy cleanliness standards, etc., they may play a good role.
- (2)
- Increase the pressure, responsibility, and anxiety of both parties appropriately in the energy structure transition in the context of carbon neutrality, so that the pessimism of government regulators and energy consumers gives them the option to take a more proactive approach to opportunities and challenges from all directions. The system for regulating CO2 emissions can be properly opened up to the public, the relevant data can be made public and clear, the public can be encouraged to get involved, and the public can be asked for their opinions. All stakeholders will naturally cooperate and actively participate in innovation as a result of being made to feel more stressed, anxious, and responsible. This will result in a more reasonable and effective change to the energy system.
- (3)
- Government regulators and energy consumers can release appropriate favorable information to the outside world. As a long-term goal of China’s high-quality development, carbon neutrality is not a restriction on energy development, but a strategic goal to achieve carbon neutrality through the transformation and development of the energy structure. Government regulators should, thus, implement relevant regulations, together with subsidies and incentives, during the process of energy structure transition in order to encourage support for the change. Additionally, energy consumers should actively promote low-carbon innovation, actively demonstrate support for pertinent transition policies in regards to implementation and effectiveness, and consistently fortify the linkages and collaboration between various organizations.
7.3. Shortcomings and Prospects
Supplementary Materials
Author Contributions
Funding
Institutional Review Board Statement
Data Availability Statement
Conflicts of Interest
References
- Guan, D.; Klasen, S.; Hubacek, K.; Feng, K.; Liu, Z.; He, K.; Geng, Y.; Zhang, Q. Determinants of stagnating carbon intensity in China. Nat. Clim. Chang. 2014, 4, 1017–1023. [Google Scholar] [CrossRef]
- Wang, D.; Huangfu, Y.; Dong, Z.; Dong, Y. Research Hotspots and Evolution Trends of Carbon Neutrality—Visual Analysis of Bibliometrics Based on CiteSpace. Sustainability 2022, 14, 1078. [Google Scholar] [CrossRef]
- Lange, M.; O’Hagan, A.M.; Devoy, R.R.; Le Tissier, M.; Cummins, V. Governance barriers to sustainable energy transitions—Assessing Ireland’s capacity towards marine energy futures. Energy Policy 2018, 113, 623–632. [Google Scholar] [CrossRef]
- Geels, F.W.; Berkhout, F.; van Vuuren, D.P. Bridging analytical approaches for low-carbon transitions. Nat. Clim. Chang. 2016, 6, 576–583. [Google Scholar] [CrossRef]
- Nilsson, M.; Nykvist, B. Governing the electric vehicle transition—Near term interventions to support a green energy economy. Appl. Energy 2016, 179, 1360–1371. [Google Scholar] [CrossRef]
- Kuriqi, A.; Pinheiro, A.N.; Sordo-Ward, A.; Garrote, L. Flow regime aspects in determining environmental flows and maximising energy production at run-of-river hydropower plants. Appl. Energy 2019, 256, 113980. [Google Scholar] [CrossRef]
- Shi, R.-J.; Fan, X.-C.; He, Y. Comprehensive evaluation index system for wind power utilization levels in wind farms in China. Renew. Sustain. Energy Rev. 2017, 69, 461–471. [Google Scholar] [CrossRef]
- Wang, G.; Wang, T.; Jiang, T.; Chen, Z. Influence estimate of liquid lead–bismuth eutectic temperatures on operation and mechanical behaviors of sensible heat storage tank. Energy Rep. 2021, 7, 4388–4396. [Google Scholar] [CrossRef]
- Guo, X.; Zheng, S.; Zhang, G.; Xiao, X.; Li, X.; Xu, Y.; Xue, H.; Pang, H. Nanostructured graphene-based materials for flexible energy storage. Energy Storage Mater. 2017, 9, 150–169. [Google Scholar] [CrossRef]
- Priya, A.D.; Deva, S.; Shalini, P.; Setty, Y.P. Antimony-tin based intermetallics supported on reduced graphene oxide as anode and MnO2@rGO as cathode electrode for the study of microbial fuel cell performance. Renew. Energy 2019, 150, 156–166. [Google Scholar] [CrossRef]
- Gomez, A.; Azzaro-Pantel, C.; Domenech, S.; Pibouleau, L.; Latgé, C.; Haubensack, D.; Dumaz, P. Exergy analysis for Generation IV nuclear plant optimization. Int. J. Energy Res. 2010, 34, 609–625. [Google Scholar] [CrossRef]
- Tsibulskiy, V.F.; Andrianova, E.A.; Davidenko, V.D.; Rodionova, E.V.; Tsibulskiy, S.V. Advantages of Production of New Fissionable Nuclides for the Nuclear Power Industry in Hybrid Fusion-Fission Reactors. Phys. At. Nucl. 2017, 80, 1220–1226. [Google Scholar] [CrossRef]
- Zhao, F.; Liu, X.; Zhang, H.; Liu, Z. Automobile Industry under China’s Carbon Peaking and Carbon Neutrality Goals: Challenges, Opportunities, and Coping Strategies. J. Adv. Transp. 2022, 2022, 1–13. [Google Scholar] [CrossRef]
- Huang, S.-Z. The effect of natural resources and economic factors on energy transition: New evidence from China. Resour. Policy 2022, 76, 102620. [Google Scholar] [CrossRef]
- Su, C.; Urban, F. Circular economy for clean energy transitions: A new opportunity under the COVID-19 pandemic. Appl. Energy 2021, 289, 116666. [Google Scholar] [CrossRef]
- BP. BP Statistical Review of World Energy 2021; BP: London, UK, 2021. [Google Scholar]
- Boucher, O.; Reddy, M. Climate trade-off between black carbon and carbon dioxide emissions. Energy Policy 2008, 36, 193–200. [Google Scholar] [CrossRef]
- Melikoglu, M. Clean coal technologies: A global to local review for Turkey. Energy Strat. Rev. 2018, 22, 313–319. [Google Scholar] [CrossRef]
- Wang, X.; Zhang, C.; Deng, J.; Su, C.; Gao, Z. Analysis of Factors Influencing Miners’ Unsafe Behaviors in Intelligent Mines using a Novel Hybrid MCDM Model. Int. J. Environ. Res. Public Health 2022, 19, 7368. [Google Scholar] [CrossRef]
- Xu, H.; Lai, X.; Shan, P.; Yang, Y.; Zhang, S.; Yan, B.; Zhang, Y.; Zhang, N. Energy dissimilation characteristics and shock mechanism of coal-rock mass induced in steeply-inclined mining: Comparison based on physical simulation and numerical calculation. Acta Geotech. 2022, 92, 22. [Google Scholar] [CrossRef]
- Wang, G.; Xu, Y.; Ren, H. Intelligent and ecological coal mining as well as clean utilization technology in China: Review and prospects. Int. J. Min. Sci. Technol. 2019, 29, 161–169. [Google Scholar] [CrossRef]
- Li, Y.; Zhang, B.; Wang, B.; Wang, Z. Evolutionary trend of the coal industry chain in China: Evidence from the analysis of I-O and APL model. Resour. Conserv. Recycl. 2019, 145, 399–410. [Google Scholar] [CrossRef]
- Wang, G.; Chao, Y.; Chen, Z. Promoting developments of hydrogen powered vehicle and solar PV hydrogen production in China: A study based on evolutionary game theory method. Energy 2021, 237, 121649. [Google Scholar] [CrossRef]
- Wang, G.; Chao, Y.; Lin, J.; Chen, Z. Evolutionary game theoretic study on the coordinated development of solar power and coal-fired thermal power under the background of carbon neutral. Energy Rep. 2021, 7, 7716–7727. [Google Scholar] [CrossRef]
- Hou, J.; Zhang, R.; Liu, P.; Zhou, L. A review and comparative analysis on energy transition in major industrialized countries. Int. J. Energy Res. 2021, 45, 1246–1268. [Google Scholar] [CrossRef]
- Gao, A.M.-Z.; Fan, C.-T.; Liao, C.-N. Application of German energy transition in Taiwan: A critical review of unique electricity liberalisation as a core strategy to achieve renewable energy growth. Energy Policy 2018, 120, 644–654. [Google Scholar] [CrossRef]
- Chen, W.; Hu, Z.-H. Analysis of Multi-Stakeholders’ Behavioral Strategies Considering Public Participation under Carbon Taxes and Subsidies: An Evolutionary Game Approach. Sustainability 2020, 12, 1023. [Google Scholar] [CrossRef]
- Chang, L.; Song, Y.; Yu, T. Optimization of Financial Penalties for Environmental Pollution by Chinese Traditional Energy Enterprises. Front. Environ. Sci. 2020, 11, 11. [Google Scholar] [CrossRef]
- Yang, Y.; Yang, W.; Chen, H.; Li, Y. China’s energy whistleblowing and energy supervision policy: An evolutionary game perspective. Energy 2020, 213, 118774. [Google Scholar] [CrossRef]
- Zhao, X.; Ren, L.; Zhang, Y.; Wan, G. Evolutionary game analysis on the behavior strategies of power producers in renewable portfolio standard. Energy 2018, 162, 505–516. [Google Scholar] [CrossRef]
- Qiao, W.; Yin, X. Understanding the impact on energy transition of consumer behavior and enterprise decisions through evolutionary game analysis. Sustain. Prod. Consum. 2021, 28, 231–240. [Google Scholar] [CrossRef]
- Pingkuoa, L.; Huan, P.; Zhiwei, W. Orderly-synergistic development of power generation industry: A China’s case study based on evolutionary game model. Energy 2020, 211, 118632. [Google Scholar] [CrossRef]
- Shang, B.; Huang, T.; Du, X. Impact of government regulation of RPS on China’s power market under carbon abatement constraints. J. Intell. Fuzzy Syst. 2020, 39, 2947–2975. [Google Scholar] [CrossRef]
- Stewart, N.; Chater, N.; Stott, H.P.; Reimers, S. Prospect relativity: How choice options influence decision under risk. J. Exp. Psychol. Gen. 2003, 132, 23–46. [Google Scholar] [CrossRef] [PubMed]
- Zhang, Z.; Wang, X.; Su, C.; Sun, L. Evolutionary Game Analysis of Shared Manufacturing Quality Synergy under Dynamic Reward and Punishment Mechanism. Appl. Sci. 2022, 12, 6792. [Google Scholar] [CrossRef]
- Szasz, P.L.; Hofmann, S.G.; Heilman, R.M.; Curtiss, J. Effect of regulating anger and sadness on decision-making. Cogn. Behav. Ther. 2016, 45, 479–495. [Google Scholar] [CrossRef]
- Bandyopadhyay, D.; Pammi, V.C.; Srinivasan, N. Role of affect in decision making. Prog. Brain Res. 2013, 202, 37–53. [Google Scholar] [CrossRef]
- Ghossoub, M.; He, X.D. Comparative risk aversion in RDEU with applications to optimal underwriting of securities issuance. Insur. Math. Econ. 2021, 101, 6–22. [Google Scholar] [CrossRef]
- Zhang, Z.; Wang, X.; Su, C.; Sun, L. Evolutionary Game Analysis of Shared Manufacturing Quality Innovation Synergetic Behavior Considering a Subject’s Heterogeneous Emotions. Processes 2022, 10, 1233. [Google Scholar] [CrossRef]
- Ni, S.; Zou, S.; Chen, J. Evolutionary Game Model of Internal Threats to Nuclear Security in Spent Fuel Reprocessing Plants Based on RDEU Theory. Sustainability 2022, 14, 2163. [Google Scholar] [CrossRef]
- Quiggin, J. A theory of anticipated utility. J. Econ. Behav. Organ. 1982, 3, 323–343. [Google Scholar] [CrossRef]
- Ferro, G.M.; Kovalenko, T.; Sornette, D. Quantum decision theory augments rank-dependent expected utility and Cumulative Prospect Theory. J. Econ. Psychol. 2021, 86, 102417. [Google Scholar] [CrossRef]
- Starmer, C. Developments in Non-Expected Utility Theory: The Hunt for a Descriptive Theory of Choice under Risk. J. Econ. Lit. 2000, 38, 332–382. [Google Scholar] [CrossRef]
- Quiggin, J. Comparative statics for rank-dependent expected utility theory. J. Risk Uncertain. 1991, 4, 339–350. [Google Scholar] [CrossRef]
- Li, W.; Huang, S.; Qi, Y.; An, H. RDEU hawk-dove game analysis of the China-Australia iron ore trade conflict. Resour. Policy 2022, 77, 102643. [Google Scholar] [CrossRef]
- Liu, J.; Lyu, Y.; Zhao, H.; Chen, J. Game analysis of nuclear wastewater discharge under different attitudes: Seeking a potential equilibrium solution. Sci. Total Environ. 2021, 801, 149762. [Google Scholar] [CrossRef]
- Hong, K.; Zou, Y.; Zhang, Y.; Duan, K. The Weapon of the Weak: An Analysis of RDEU Game in the Conflict of Farmland Expropriation under the Influence of Emotion. Sustainability 2020, 12, 3367. [Google Scholar] [CrossRef]
- Hartl, B.; Sabitzer, T.; Hofmann, E.; Penz, E. “Sustainability is a nice bonus” the role of sustainability in carsharing from a consumer perspective. J. Clean. Prod. 2018, 202, 88–100. [Google Scholar] [CrossRef]
- Zhang, Y.; Wang, J.; Chen, J.; Liu, W. Does environmental regulation policy help improve business performance of manufacturing enterprises? evidence from China. Environ. Dev. Sustain. 2022, 185, 1–30. [Google Scholar] [CrossRef]










| the Effectiveness of Government Regulators’ Strategies | Probability | Rank | Decision Weights |
|---|---|---|---|
| Energy Consumers Strategy Utility | Probability | Rank | Decision Weights |
|---|---|---|---|
| Equilibrium Point | Consistency | ||||||
|---|---|---|---|---|---|---|---|
| Unstable | |||||||
| Unstable | |||||||
| Unstable | |||||||
| Saddle Point | |||||||
| Saddle Point | |||||||
| Equilibrium Point | Consistency | ||||||
|---|---|---|---|---|---|---|---|
| Unstable | |||||||
| Unstable | |||||||
| Unstable | |||||||
| Saddle Point | |||||||
| Specific values and emotional intensity are necessary for stability | |||||||
| Equilibrium Point | Consistency | ||||||
|---|---|---|---|---|---|---|---|
| Unstable | |||||||
| Unstable | |||||||
| Unstable | |||||||
| Saddle Point | |||||||
| Specific values and emotional intensity are necessary for stability | |||||||
| Equilibrium Point | Consistency | ||||||
|---|---|---|---|---|---|---|---|
| Unstable | |||||||
| Unstable | |||||||
| Unstable | |||||||
| Saddle Point | |||||||
| Specific values and emotional intensity are necessary for stability | |||||||
| Parameters | |||||||||||||||
|---|---|---|---|---|---|---|---|---|---|---|---|---|---|---|---|
| Initial Value | 0.5 | 0.5 | 2 | 2 | 3 | 1.5 | 1.5 | 2 | 2 | 1.5 | 1.5 | 5 | 3 | 2 | 2 |
| Parameters | |||||||||||||||
| Initial Value | 0.7 | 0.3 | 0.5 | 5 | 1 | 1 | 0.5 | 0.5 | 0.2 |
Publisher’s Note: MDPI stays neutral with regard to jurisdictional claims in published maps and institutional affiliations. |
© 2022 by the authors. Licensee MDPI, Basel, Switzerland. This article is an open access article distributed under the terms and conditions of the Creative Commons Attribution (CC BY) license (https://creativecommons.org/licenses/by/4.0/).
Share and Cite
Wang, X.; Guo, Z.; Zhang, Z.; Li, B.; Su, C.; Sun, L.; Wang, S. Game Analysis of the Evolution of Energy Structure Transition Considering Low-Carbon Sentiment of the Decision-Makers in the Context of Carbon Neutrality. Processes 2022, 10, 1650. https://doi.org/10.3390/pr10081650
Wang X, Guo Z, Zhang Z, Li B, Su C, Sun L, Wang S. Game Analysis of the Evolution of Energy Structure Transition Considering Low-Carbon Sentiment of the Decision-Makers in the Context of Carbon Neutrality. Processes. 2022; 10(8):1650. https://doi.org/10.3390/pr10081650
Chicago/Turabian StyleWang, Xinping, Zhenghao Guo, Ziming Zhang, Boying Li, Chang Su, Linhui Sun, and Shihui Wang. 2022. "Game Analysis of the Evolution of Energy Structure Transition Considering Low-Carbon Sentiment of the Decision-Makers in the Context of Carbon Neutrality" Processes 10, no. 8: 1650. https://doi.org/10.3390/pr10081650
APA StyleWang, X., Guo, Z., Zhang, Z., Li, B., Su, C., Sun, L., & Wang, S. (2022). Game Analysis of the Evolution of Energy Structure Transition Considering Low-Carbon Sentiment of the Decision-Makers in the Context of Carbon Neutrality. Processes, 10(8), 1650. https://doi.org/10.3390/pr10081650

