Abstract
The ignition temperature of a diesel oxidation catalyst (DOC) and the internal temperature-field distribution of the diesel particulate filter (DPF) during active regeneration are investigated during an engine bench test in this study. Based on the dropped to idle (DTI) test, a test method is developed to determine the safe regeneration temperature of the DPF. The results show that when the inlet temperature of the DOC is more than 240 °C, the DOC begins ignition and reaches the target temperature of 600 °C set for active regeneration of DPF; when the inlet exhaust temperature of the DOC is between 240 and 280 °C, a higher injection rate is required to reduce the secondary pollution of HC and thus make the DPF reach the set target temperature as soon as possible. The active regeneration process of the DPF is divided into three stages. During ignition, the temperature of the DPF inlet and outlet increases rapidly and successively. The internal and outlet temperatures of DPF during regeneration are approximately 50 °C higher than the inlet temperature. At the end of regeneration, the DPF inlet to outlet temperature drops rapidly. A feed-forward design and feedback algorithm are used to verify the change in the target regeneration temperature. The overshoot of the DPF control strategy was less than 3%, and the steady-state temperature control error was less than 20 °C. The results of this study provide a basis for the safe control of DPFs’ active regeneration temperatures.
1. Introduction
With increasingly stringent emission regulations, the control of particulate matter (PM) and particle numbers (PN) produced by diesel engines has become a critical issue in pollutant control [1,2,3]. The standard [4] clearly proposes strict requirements for PM and PN, which makes it necessary to install a diesel particulate filter (DPF) in aftertreatment systems to meet the PM and PN limits of the national VI Emission Regulations. A DPF reduces the diesel particulate emissions by trapping exhaust PM on the filter wall. However, accumulated particulate matter will cause a series of problems, such as DPF blockage, an increase in engine exhaust back pressure, fuel economy deterioration, and a decrease in engine power. Therefore, a DPF requires periodic active regeneration [5,6]. When the accumulated carbon load of a DPF reaches a set limit of DPF regeneration, appropriate exhaust thermal management measures can be used to increase the pre-exhaust temperature in the DPF to approximately 600 °C [7,8], which can quickly eliminate accumulated particulate matter in the DPF.
The control of the DPF’s active regeneration temperature is critical. A regeneration temperature that is too low will lead to the accumulation of carbon smoke that cannot be completely regenerated, and a high regeneration temperature will lead to the risk of burning of the DPF carriers [9,10,11,12,13,14]. Millo et al. [15] showed that high-sulfur fuel can poison the diesel oxidation catalyst (DOC) and DPF, while a high temperature can restore the catalyst desulfurization. Recker et al. [16] found that DPF regeneration by controlling the DPF’s pre-exhaust temperature can reduce the PM combustion rate and control the carrier temperature, but will increase fuel consumption and prolong the regeneration time during active regeneration. Peter et al. [17] used a combination of throttle, EGR control, injection timing and boost pressure control to reduce the peak temperature in the DPF by approximately 350 °C and the temperature gradient by approximately 66%. The method of adjusting the oxygen volume fraction and exhaust flow can effectively inhibit the peak temperature and temperature gradient in a DPF. However, due to the limited adjustment range of the exhaust flow rate at idle, the reduction of the oxygen volume fraction also leads to an increase in the HC and CO emissions.
Therefore, Boger et al. [18] proposed a phased active-regeneration control strategy for the initial phase of active regeneration due to the high carbon load in a DPF and showed that the control quality of the DPF inlet exhaust temperature during active regeneration is also critical to ensuring safe regeneration. Ensuring the dynamic response performance of the DPF inlet exhaust temperature to the target regeneration temperature and the anti-disturbance capability are helpful in promoting safe and reliable regeneration, and play an important role in improving the regeneration efficiency and fuel economy of DPFs, which has attracted widespread attention in recent years. Zang et al. [19] investigated the DPF regeneration temperature closed-loop control. Eck et al. [20] used gain scheduling technology, proposed a closed-loop robust strategy design method, and verified that the method improved the anti-disturbance performance in urban driving conditions at different ambient temperatures. Bencherif et al. [21] designed a regenerative control algorithm based on model predictive control theory and compared it with the traditional PID control method. Results showed that the maximum tracking error is equivalent to 33.2 °C with the traditional PID control method, but the overshoot is significantly reduced. Lepreux et al. [22] studied a control method for the outlet temperature of a catalytic converter for DPF regeneration using a model-based development approach and verified the control performance using the urban operation cycle part of the EU driving cycle (NEDC), showing that the control error of the target temperature was within 15 °C or less.
Therefore, effective management and reliable control of the temperature during DPF active regeneration, to reduce the risk of DPF failure, is particularly complex and thus requires systematic research and integrated development [23,24,25,26,27]. In this paper, the extreme working conditions of the DPF are simulated. When a general vehicle runs at high speed, the DPF actively regenerates; however, when the vehicle happens to encounter a toll station, the vehicle stops, and the engine enters idle speed. Currently, the exhaust flow drops rapidly and the DPF temperature rises rapidly. First of all, in the experimental study and analysis of the temperature field distribution law, this paper studied the influence of different DOC inlet temperatures and different exhaust pipe fuel injection rates on the DOC ignition temperature through bench testing, and experimentally studied the internal temperature distribution law in the DPF active regeneration process, providing a basis for the safety control of the DPF active regeneration temperature. Secondly, in the experimental research and analysis part of the temperature distribution law in the safe regeneration process of different carbon loads, in order to study the safe regeneration temperature and its peak temperature distribution of DPF under different carbon loads, the dropped to idle (DTI) regeneration process was simulated on the engine bench, and the safe regeneration temperature curve was obtained through analysis. Then, the modeling of and experiment with the regenerative temperature control algorithm are carried out. Aiming at the characteristics of a large time delay of the system, a DPF active-regeneration temperature controller structure, with engine exhaust temperature and exhaust flow as gain compensation optimization, is proposed and verified by simulation and vehicle road test. The results provide a meaningful reference for the reliable control and efficient regeneration of DPF active regeneration process.
2. Test Apparatus and Methods
2.1. Test Apparatus
Table 1 shows the primary performance parameters of a high-pressure common rail automotive diesel engine. The layout of the engine test bench is shown in Figure 1, and the test equipment includes a dynamometer, emission test analyzer, hydrocarbon injection system, engine and aftertreatment device. The aftertreatment device consists of a DOC, a DPF and 32 thermocouple temperature sensors. Table 2 shows the DOC parameters, and Table 3 shows the DPF parameters. The thermocouple temperature sensor is the OKAZAKI HOSKINS2300 Thermocouple T34 for high temperature.
Table 1.
Primary performance parameters of the test diesel engine.
Figure 1.
Schematic diagram of the engine test bench.
Table 2.
DOC parameters.
Table 3.
DPF parameters.
As shown in Figure 1, the aftertreatment composed of DOC and DPF is installed in the exhaust pipe of the engine, and the corresponding exhaust temperature sensors are arranged at the DOC outlet, the inlet end and the DPF outlet end of the aftertreatment. To prevent the engine exhaust back pressure from being too high and deteriorating the engine performance during the test, differential pressure sensors are arranged at both ends of the DPF to monitor the exhaust back pressure in real time. The carbon soot emission from the DPF inlet and outlet is measured by the AVL483 smoke meter installed to analyze the efficiency of the DPF in trapping carbon soot particles. In the active regeneration process, the flexible multiple injection characteristics of the high-pressure common rail system are used, and the far-rear injection is set near 120 °C after the upper stop point. This part of the injection generates unburned HC in the cylinder, and then a catalytic oxidation exothermic reaction occurs in the DOC to achieve exhaust temperature control.
When the DPF is actively regenerated, the maximum internal temperature and maximum temperature gradient of the DPF will damage the DPF if they exceed the limit value. Therefore, it is necessary to study the internal temperature field of the DPF. Thermocouple-type temperature sensors are used to obtain the temperature situation in the axial direction of the DOC center and the regular temperature field variation in the DPF during active regeneration. The distribution of the thermocouple temperature sensor in the DPF is shown in Figure 2. A total of four temperature measurement positions of 1–4 are taken in the DPF axial direction, and eight temperature measurement points of Z1–Z8 are distributed at each measurement location perpendicular to the axial end, totaling 32 temperature measurement points.
Figure 2.
Temperature sampling points in DOC and DPF.
Armored thermocouple-type temperature sensors with a 1-mm probe diameter are arranged inside the DOC and DPF to axially measure the temperature of the DOC’s center and the temperature field variation regularly inside the DPF during the thermal regeneration. The distribution of the thermocouple probes inside the DOC and DPF is shown in Figure 2, and the measurement temperature ranges from 0 to 1200 °C, with a measurement error within ±0.4% and a thermal response time less than 0.2 s, which satisfies the measurement requirements.
2.2. DPF Safe Regeneration Temperature
Due to the high exhaust temperature, the in the exhaust gas and the soot particles in the DPF undergo an oxidative exothermic reaction during DPF active regeneration, and the primary product is . The chemical reaction equation is as follows:
where ΔH is the heat of the chemical reaction. This equation is based on the empirical regularity of chemical reaction kinetics [27]:
where is the oxidation rate of carbon soot particles; is the mass of carbon remaining in the DPF; is the volume fraction of in the DPF inlet exhaust; and are the chemical reaction levels of Equation (1); and is the reaction rate constant. According to the Arrhenius equation as a function of reaction temperature, the following equation is obtained:
where is the prefactor; is the reaction activation energy; is the ideal gas constant; and is the temperature inside the DPF.
Research [28,29] has shown that the oxidation rate of soot particles tends to stabilize when the volume fraction of O2 in the exhaust is greater than 5%. Due to the high volume fraction of O2 in the diesel exhaust, the effect of the O2 volume fraction on the soot oxidation rate can be ignored in Equation (2). Therefore, Equation (1) through (3) indicate that the soot oxidation rate is primarily determined by the current carbon-loading level in the DPF and the regeneration temperature: the higher the oxidation rate is, the more heat is released from the reaction per unit time; the peak temperature and maximum temperature gradient also increase within the DPF. According to the literature [25,30], the peak temperature within the DPF during active regeneration is linearly correlated with the maximum temperature gradient. Therefore, by analyzing the peak temperature within the DPF, the risk of DPF failure caused by uncontrolled regeneration during the active regeneration of the DPF can be fully evaluated, and the safe regeneration temperature can be determined.
3. Experimental Study and Analysis of a Regular Temperature Field Distribution
The effect of the different DOC inlet temperatures and different tailpipe fuel injection rates on the DOC ignition temperature is investigated using engine bench tests, and the internal temperature distribution pattern during active regeneration of the DPF is studied experimentally.
During the test, the engine speed, torque, intake air flow, DOC inlet temperature (T1), pre-DPF temperature (T2) and post-DPF temperature (T3) are recorded by this bench test system. Then, a certain fixed exhaust flow rate is selected; different DOC inlet temperatures are obtained by adjusting the engine speed and torque; and different injection rates are obtained by adjusting the parameters of the aftertreatment controller.
3.1. DOC Ignition Temperature Study
The DOC light-off temperature is the inlet temperature of the DOC when the DOC heats up the diesel fuel to the target temperature of the DPF active regeneration (600 °C), which is an important indicator of the DOC oxidation capacity: the lower the ignition temperature is, the stronger the oxidizing capacity of the DOC. The experimental study investigated the DPF pre- and post-temperature variations at different DOC inlet temperatures. Figure 3 shows the variations in the DPF pre-temperature (T2) when the exhaust flow rate is 650 kg/h, and the DOC inlet temperature (T1) is 220, 230, 240, 250, 260, 280 and 300 °C for active regeneration. The figure shows that a higher T1 temperature and a shorter time for the DOC to increase the DPF to the target temperature set for active regeneration improve the DOC catalyst activity. When T1 is 220 and 230 °C, the T2 temperature increases marginally and then decreases, and the DPF regeneration temperature cannot reach the set temperature. These results indicate that when the DOC inlet temperature is less than 240 °C, the ignition temperature cannot be reached. Figure 4 shows the trend of the temperature change after DPF (T3). When the T1 temperature is 240 °C or higher, the internal temperature of the DPF can rise to the set value of 600 °C, which can meet the requirements of active regeneration of the DPF. Thus, the ignition temperature of the DOC inlet is more than 240 °C.
Figure 3.
Variations in pre-DPF temperature (T2) at different DOC inlet temperatures.
Figure 4.
Variations in post-DPF temperature (T3) at different DOC inlet temperatures.
3.2. Effect of Fuel Injection Rate on DOC Ignition Temperature
Figure 5 shows the temperature change before and after the DOC corresponding to the change of fuel injection rate: the larger the injection rate, the faster the exhaust temperature rises after DOC, and the shorter the time to reach the target temperature of active regeneration set by the DPF. As shown in Figure 5, the DPF active regeneration requirements can be met when the injection rate is 16.3–22.2 g/min. When the DOC inlet exhaust temperature is more than 300 °C, a low injection rate of 16.3~18.1 g/min can be used to inject the right amount of fuel to achieve the DPF active-regeneration target temperature. When the vehicle DOC inlet exhaust temperature is 240–280 °C, a higher injection rate of 20.3~22.2 g/min is required. When the vehicle DOC inlet temperature is 240–280 °C, a higher injection rate of 20.3–22.2 g/min is required to make the DPF reach the set target temperature quickly to reduce the secondary pollution caused by hydrocarbon leakage. When the DOC inlet temperature is less than 240 °C, the DPF active regeneration cannot be performed.
Figure 5.
Diesel fuel injection rate corresponding to the temperature variation before and after DOC.
3.3. DPF Active Regeneration Temperature Distribution Regular
Figure 6 shows the temperature distribution inside the DPF during regeneration. The red line in the figure indicates the temperature inside the DPF (positions 2 and 3), and the green and blue lines indicate the DPF inlet (position 1) and outlet (position 4) temperatures, respectively. The figure shows that during the DPF regeneration process, the internal and outlet temperatures of the DPF are higher than the inlet temperature of DPF, and the outlet temperature is approximately 50 °C higher than the inlet temperature. This result likely occurs because, when the DPF regenerates actively, the exhaust temperature is raised to approximately 600 °C, and the particles exothermically react via oxidation inside the DPF, which leads to higher DPF internal and outlet temperatures than the inlet temperature. The black line in Figure 6 indicates the temperature curves of the four positions corresponding to point Z7. The average exhaust temperature at Z7 is approximately 80 °C lower than the temperature of the measurement point inside the DPF, primarily because Z7 is near the edge of the end face, and its temperature is lower due to thermal convection with the ambient environment.
Figure 6.
DPF active regeneration internal temperature variation.
3.4. DPF Active Regeneration Temperature Field Study
The active regeneration process of DPF can be divided into three phases: ignition, regeneration, and the end of regeneration. Ignition occurs from 30 to 120 s in Figure 6, during which the DPF temperature rises from 280 to 580 °C within 90 s with a temperature rise gradient of 3.3 °C/s. Regeneration occurs from 120 to 1250 s in Figure 6, and the temperature change is small at this stage. The end of regeneration occurs from 1250 to 1350 s in Figure 6, when the diesel injection is stopped, the temperature in the DPF rapidly drops to the current exhaust temperature, and the active regeneration of the DPF ends.
Figure 7, Figure 8 and Figure 9 show the variations in the internal temperature in the DPF at different stages, which are plotted to collect the data of thirty-two thermocouple temperature sensors inside the DPF. The internal temperature field variation of the DPF during the ignition stage is shown in Figure 7, which shows the temperature distribution pattern on the axial cross section of the DPF. As shown in the figure, the temperature rises first at the DPF inlet and reaches its maximum value along the axis. The temperature gradually rises from the exhaust inlet to the exhaust outlet and along the axis to the edge, and the DPF internal temperature rises to the DPF active-regeneration target temperature of approximately 600 °C at 120 s.
Figure 7.
Temperature field variation in DPF during ignition stage. (a) t = 50 s; (b) t = 60 s; (c) t = 70 s; (d) t = 80 s; (e) t = 100 s; (f) t = 120 s.
Figure 8.
Temperature field variation in DPF during the regeneration stage. (a) t = 200 s; (b) t = 500 s; (c) t = 1000 s.
Figure 9.
Temperature field variation in DPF at the end of regeneration. (a) t = 1250 s; (b) t = 1260 s; (c) t = 1270 s; (d) t = 1280 s; (e) t = 1300 s; (f) t = 1350 s.
The variations in the DPF internal temperature in the regeneration stage are shown in Figure 8. During regeneration, the internal temperature of the DPF tends to change slowly and stabilizes at the DPF active regeneration setting temperature of 600 °C. At this time, the DPF axis temperature is maximized, and the edge temperature is lower than the axis temperature, primarily because the carbon load accumulated in the DPF axis is higher than the carbon load accumulated at the edge, and the carbon accumulated in the DPF regeneration stage is oxidized to release a large amount of heat energy.
The temperature change inside the DPF at the end of the regeneration stage is shown in Figure 9. At this stage, the active regeneration system stops injecting diesel fuel, the engine exhaust flow rapidly removes the heat inside the DPF, and the internal temperature of the DPF drops rapidly from 600 °C to approximately 300 °C in approximately 100 s. The temperature of the DPF begins to decrease from the DPF inlet, and the temperature drops fastest along the center axis because the central axis of the DPF undergoes a faster thermal transfer than the edge thermal convection, due to the effect of the exhaust. With time, the overall DPF temperature decreases to the temperature before the active regeneration under the action of thermal convection.
4. Experimental Study and Analysis of a Regular Temperature Distribution during Safe Regeneration with Different Carbon Loading Levels
To investigate the safe regeneration temperature and the distribution of the peak temperature of a DPF at different carbon-load levels, an experimental study was performed by simulating the DTI regeneration process on an engine bench. In the experiment, the regeneration temperature of a DPF was taken at 25 °C intervals from 550 to 650 °C, the carbon load was based on the theoretical carbon-load limit (SML) of 9 g/L, and the measurement points were designed at 30% to 150% SML with equal intervals. The design of the selected test points is shown in Table 4. In general, an excessive DPF carbon load should be avoided at high regeneration temperatures to prevent the DPF from being burned frequently, which would affect the test progress [31,32,33,34,35,36,37]. At the beginning of each test point, the DPF is regenerated thoroughly, and then, the DPF is loaded with soot particles under specific conditions until the desired carbon-loading level is reached. After the constant temperature treatment, the DPF was weighed by a high-precision electronic balance to obtain the initial carbon load of the DPF. In the test, the engine is first adjusted to the target operating condition (speed = 2350 r/min, torque = 80 N·m); the DPF is then triggered to regenerate actively; and the throttle position is reset immediately when the DPF inlet exhaust temperature reaches the set regeneration temperature so that the engine runs at idle speed. Thereafter, the DPF internal temperature field stabilizes, and the test is completed. Before and after the test, an AVL483 smoke meter was used to detect the soot emission at the inlet and outlet ends of the DPF to determine whether the DPF was damaged.
Table 4.
Design of experimental point.
Analysis of Test Data and Results
Figure 10 shows the variations in the engine speed, torque and temperature field in the DPF with the time during DTI regeneration at test measurement point E (Table 4), where the initial carbon load was approximately 150% of the SML limit, and the regeneration target temperature was 575 °C. The active regeneration of the DPF was started at 30 s into the test. With the rise of the regeneration target temperature, the far-back injection volume gradually increased. When the DPF inlet temperature reached the target temperature (575 °C), the far-back injection volume reached the maximum value of approximately 10.5 mg/strk (the test far-back injection timing was set to 120 °C after the upper stop), at which time the throttle position was quickly reset, and the far-back injection volume was closed, thus triggering the DTI regeneration. The test results show that the maximum peak temperature near P7 at the back end of the DPF axis after the DTI regeneration is triggered at approximately 950 °C, which indicates that a large number of the soot particles accumulated in the central area of the back-end of the DPF during the loading process, while the exhaust flow decreased after the idling speed was lowered and the convection heat dissipation became weaker. These phenomena resulted in a rapid increase in the temperature of the rear-end of the carrier, due to heat accumulation, which in turn promoted the oxidation reaction of soot particles and caused the high temperature in the center of the rear end of the DPF. The results of other test measurement points are similar.
Figure 10.
DTI testing results of test point E.
The maximum peak temperature at each test point is statistically analyzed, as shown in Figure 11. The variation graphs of the peak temperature, carbon load, regeneration temperature and the peak temperature isotherm distribution are shown in Figure 12. According to the test results shown in Figure 11, the peak temperature in the DPF increases with the increasing carbon loading at the same regeneration temperature; under the same carbon loading, the peak temperature in the DPF increases gradually with the increasing regeneration temperature. When the regeneration temperature is above 575 °C, the peak temperature in the DPF increases rapidly. This result likely occurs because of the following reasoning. According to formula (2), the active regeneration rate of the DPF is an exponential function of the regeneration temperature; thus, the higher the regeneration temperature is, the more intense the regeneration reaction, and the exothermic rate of the regeneration reaction increases significantly. When the DPF works at a temperature above 800 °C for a long time, it is likely to cause condensation of the active point of the catalyst on the surface coating of the carrier, leading to degradation of the catalyst and further affecting the performance and service life of the DPF [38]. Therefore, the 800 °C isotherm in Figure 12 is considered to be the reference. In addition, considering the combined error of approximately ±14 °C in the exhaust temperature sensor and the A/D sampling channel of the ECU control unit, as well as the error of approximately 10% between the carbon load calculated based on the DPF differential pressure sensor and the real DPF carbon load [29], the DPF safe regeneration temperature curve can be obtained after eliminating the cumulative error. To create the DPF safe regeneration temperature profile, a polynomial equation is fitted to obtain the DPF safe regeneration temperature, as shown by the dashed line in Figure 12:
where is the level of carbon load; is the safe regeneration temperature; and are the fitting coefficients.
Figure 11.
DPF peak temperature vs. soot load level and regeneration temperature. (a) Carbon loads; (b) Regeneration temperature.
Figure 12.
DPF peak temperature isotherm and safety regeneration temperature.
In practical applications, the carbon load in a DPF can be calculated based on the DPF pressure-drop signal or theoretical model, which is used as the basis for judging the regeneration time and active regeneration management. Therefore, based on the determined safe regeneration temperature curve, a lower regeneration temperature is selected when the carbon-load level in DPF is high in the initial stage of regeneration, thus reducing the system working risk and ensuring safe and reliable regeneration, which provides a basis for determining a reasonable regeneration target temperature in the different regeneration stages of the DPF active regeneration control process.
5. Modeling and Experiment of the Regenerative Temperature Control Algorithm
5.1. Modeling the Regenerative Temperature Control Algorithm
The DPF temperature control adopts feedforward plus PI regulation plus closed-loop control. The DPF target temperature is 600 °C. After the active regeneration of DPF is triggered, fuel is injected into the cylinder at the end of the expansion stroke, which is not involved in combustion. The fuel is atomized to produce primarily unburned HC, which is fully mixed with the exhaust gas and undergoes a catalytic oxidative-exothermic reaction in the DOC unit, thereby raising the exhaust gas temperature and assisting in the active regeneration of the DPF. The reaction equation occurring in the DOC is as follows:
5.1.1. Feed-Forward Control Algorithm Modeling
Feed-forward control provides predictive control, which can quickly perform compensation based on the amount of disturbance or a given target amount, independent of the object lag factor. Therefore, the feed-forward control can ensure the dynamic response quality in systems with large inertia and hysteresis characteristics. Considering that under steady-state working conditions, the exhaust temperature at the DOC outlet and inlet end and the carrier temperature maintain a relative equilibrium state under the action of oxidation and heat release of the given fuel injection flow in the cylinder, and that the exhaust temperature at the DOC outlet end reaches the target regeneration temperature, the formula for feed-forward control can be described as follows:
where is the target regeneration temperature; is the DOC inlet-exhaust temperature; is the current engine exhaust mass-flow rate, excluding the in-cylinder post-injection fuel wandering component; is the exhaust constant-pressure specific-heat capacity, as a function of temperature; is the in-cylinder post-injection fuel volume per unit time; is the fuel low-heat value, which is considered to be 4.285 × 104 J/g; and is the DOC conversion thermal efficiency, which can be measured experimentally as the two-dimensional interpolation MAP of the DOC airspeed and temperature.
After Equation (6) is set up, the corresponding feed-forward control quantity is described as follows:
Due to the complexity and variability of the load and environment in the process of vehicle operation, the DPF thermal-regeneration control process is a time-varying process of nonlinear distribution parameters with strong inertia and a large lag, which is disturbed by highly random factors. In addition, the control of the target regeneration temperature from the perspective of the physical boundary of the system is primarily affected by the current exhaust temperature and exhaust flow. Therefore, the control-gain compensation method based on the engine exhaust temperature and exhaust flow is studied to solve the uncertainty problems caused by the difference in the boundary conditions, such as cooling water temperature, inlet temperature and pressure, and the large hysteresis characteristics of the system under the same engine working conditions. Figure 13 shows the top-level schematic of the designed control algorithm structure, which consists of two parts: feed-forward control path and feedback control path. The feed-forward control quantity signal and the feedback control quantity signal are superimposed and processed by limiting the first-order filters to generate the final control quantity output.
Figure 13.
Diagram of the target regeneration temperature control algorithm.
As shown in Equation (7), the feed-forward control path algorithm can combine the current engine flow, exhaust temperature and target regeneration temperature under engine acceleration and deceleration conditions to immediately respond and compensate for the control volume output.
5.1.2. Feedback Control Algorithm Modeling
The feedback control path algorithm adopts the classical form of PID, and its regular control can be described as follows:
where is the deviation input; is the output of the PID controller; and , and are the proportional gain, integral gain and differential gain, respectively. The gain parameters of each of the control components, proportional, integral and differential control gains, are designed as a function of the current exhaust flow and exhaust temperature (Figure 13) and are calculated using interpolation.
To ensure the dynamic response performance under the condition of low exhaust flow, feed-forward control is required to play a dominant role, and small PID control-gain parameters are used to weaken the feedback control effect and avoid oscillation. The reverse is true at high exhaust flow rates. Therefore, the use of exhaust flow and temperature-gain compensation also makes the calibration optimization work more operable and regular.
Figure 14 shows the detailed internal design of the PID feedback control path, in which the filtered deviations are combined with the proportional control gain, the integral control gain and the differential control gain to form each individual control component output, and the control components are superimposed and limited to form the final feedback control quantity. To prevent integral saturation, an anti-saturation module is designed in the integral control path to ensure the control performance of the system.
Figure 14.
Algorithm design of PID feedback control path.
5.2. DOC Simulation Model and Simulation Analysis
Specialized software has been developed and related studies have supported the modeling of DOC objects [39]. These simulation object models often consider various exhaust-component factors and the spatial distribution of numerous state parameters, which require the solving of complex systems of partial differential equations and are generally unsuitable for developing real-time control algorithms. To simulate an auxiliary control algorithm, both computational accuracy and efficiency must be considered. Therefore, on the premise of neglecting the heat loss from the DOC surface and the environment, because this portion of the energy can be compensated for by the integral path designed by the controller, and considering only the oxidation reactions of the unburned HC components in each engine exhaust component inside the DOC, we refer to the literature [40,41] and make reasonable assumptions and simplifications. Based on the physical principle of energy conservation, the set parameter model is:
where and are the specific heat capacity of exhaust gas and DOC carrier material at constant pressure, respectively; and are the densities of exhaust gas and DOC carrier material, respectively; is the manifest volume of DOC carrier; is the total volume share of DOC airway; and are the exhaust gas temperatures at the inlet and outlet ends of DOC, respectively; is the exhaust mass flow rate, including in-cylinder post-injection fuel flow rate during active regeneration of DPF; is the DOC carrier temperature; is the in-cylinder post-injection fuel oxidation exothermic rate; is the conversion efficiency of DOC to HC as a function of air speed and temperature, which can be obtained experimentally and calculated by linear interpolation; is the convective heat transfer coefficient of the contact surface between exhaust gas and DOC carrier; and is the total area of DOC airway surface, which can be calculated by the following equation:
where is the number of DOC airways; is the DOC airway aperture; and is the carrier length.
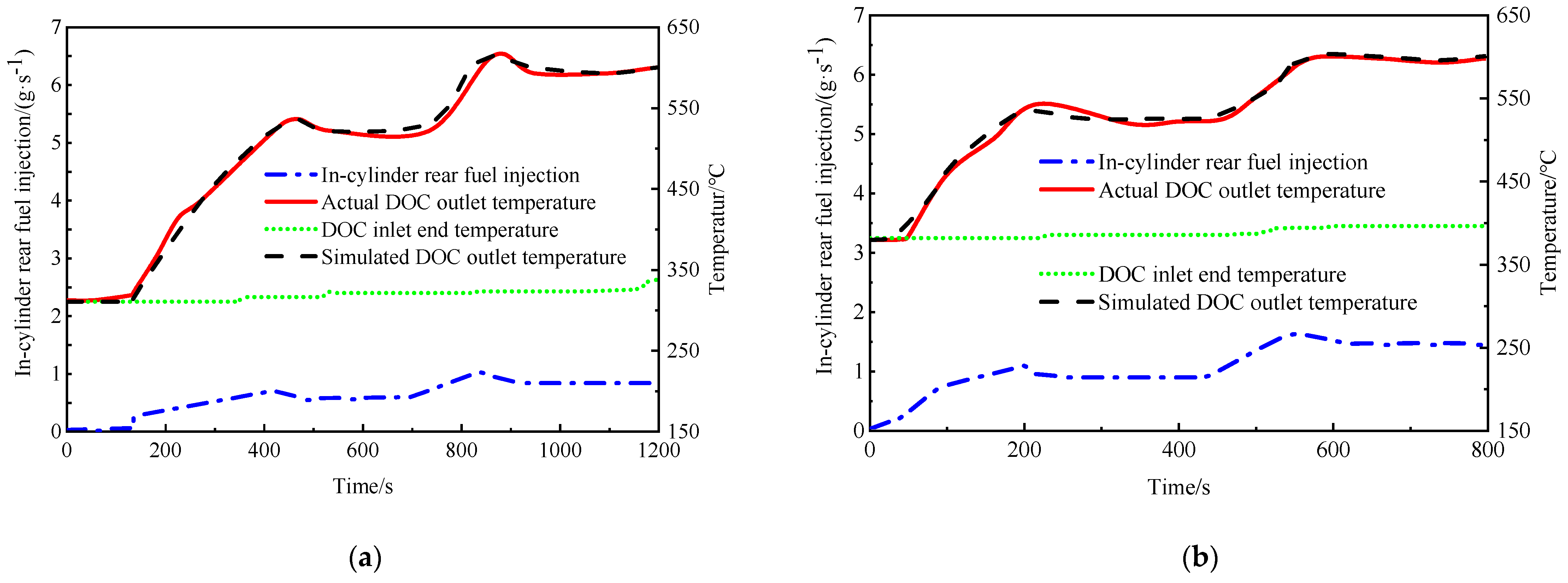
To reduce this simulation model’s steady-state error and improve its dynamic performance, the model is calibrated to perform the simulation analysis in detail. Figure 15 shows the model simulation calculation and bench test results under different airspeed conditions. To enhance the comparability of the results, the same boundary conditions, such as the DOC inlet exhaust temperature and air speed, were set during the simulation and test, and the fuel was injected according to the established in-cylinder back injection volume. The simulated DOC outlet temperature and the real DOC outlet temperature of the test results maintain the same dynamic and static response characteristics at both higher and lower airspeed conditions. This fact indicates that the established simulation model has satisfactory calculation accuracy and provides a favorable basis for the research and development of regenerative temperature control algorithms.
Figure 15.
Comparison of the model simulation results with the testing results; (a) DOC airspeed is 5 × 104 h−1; (b) DOC airspeed is 10 × 104 h−1.
The proposed simulation model and control algorithm model are connected in a series to form a closed loop, which can be used for model-level integrated simulation testing. In the simulation test, the systematic tests and simulation optimization are performed for the control parameters of proportional, integral, differential and feed-forward links of the control algorithm, which is beneficial to evaluate the dynamic and static control performance of the algorithm. Figure 16 shows the dynamic simulation results under a sudden change in the engine torque. The target regeneration temperature is 600 °C, and the exhaust flow rate comes from the test data of the engine bench as the input of the simulation. According to the simulation test results, the real DOC outlet temperature still maintains good tracking characteristics to the target temperature and tends to stablize rapidly when the exhaust flow rate changes markedly at 180 and 360 s after the beginning of the simulation. The control error during the simulation remains within ±20 °C without static error, which provides a guarantee for the application of the control algorithm in the real environment and avoids the potential test risk caused by an improper temperature control.
Figure 16.
Simulation results under sudden change of exhaust flow.
5.3. Vehicle Road Test Verification
Most of the vehicles in actual road conditions undergo transient operating conditions, such as rapid acceleration or deceleration, and there are drastic changes in the vehicles’ driving speed, road load conditions, engine exhaust flow, exhaust temperature and other disturbing factors in the transient conditions. Therefore, to analyze the performance of the proposed control algorithm strategy in practical applications, real road testing was performed on a light pickup truck with a diesel engine and a DPF aftertreatment system that met the national VI Emission Regulations. Figure 17 shows the road test results under two typical driving conditions, which are divided into urban and suburban driving conditions with average speeds of approximately 40 and 70 km/h, respectively. Analyzing the experimental results shown in Figure 10, the designed algorithm strategy shows the same dynamic response quality and anti-disturbance performance as the aforementioned simulation results, when the disturbances such as vehicle speed, exhaust temperature and exhaust flow rate at the inlet end of the DOC change rapidly during real road driving. The overshoot caused by the change in the target regeneration temperature at the beginning of the regeneration phase is less than 3%, and the system quickly stabilizes without static errors. The target regeneration temperature is set to 580 °C after 300 s of the test. The temperature control algorithm has strong anti-interference power for the changes in vehicle speed and engine exhaust temperature. The tracking error of the real DOC outlet temperature to the target temperature remains within ±20 °C, which ensures the safe, reliable and efficient regeneration of the DPF.
Figure 17.
Testing results under city-road and suburban driving conditions; (a) Working conditions of the city; (b) Working conditions of the suburbs.
6. Conclusions
In this paper, the ignition temperature of the diesel oxidation catalyst (DOC) and the internal temperature distribution of the diesel particulate filter (DPF) during the active regeneration process were studied in an engine bench test. In addition, feedforward design and a feedback algorithm were used to verify the change in the regeneration temperature.
The results showed that when the inlet temperature of DOC exceeds 240 °C, the DOC starts to ignite and reaches the target temperature of active regeneration of DPF at 600 °C. When the DOC inlet exhaust temperatures are between 240 °C and 280 °C, higher injection rates are required to reduce the HC secondary contamination and enable the DPF to reach the target temperature as soon as possible.
Concurrently, during ignition in the DPF, the temperature of the DPF increases gradually from its inlet to outlet. During regeneration, the DPF internal carbon soot burns, the temperature change tends to slow down, and the DPF axial temperature is the highest. At the end of the regeneration, the HC injection stops, the internal temperature of the DPF drops rapidly, and the temperature of the DPF decreases gradually from inlet to outlet. An experimental method for determining the safe regeneration temperature of DPFs is discussed. Via the quantitative analysis of the DTI regeneration test results, the DPF safe-regeneration temperature curve is determined, and a reasonable active-regeneration target temperature is determined based on the current DPF carbon loading, thus reducing the risk of DPF failure and ensuring safe and reliable regeneration.
To describe the characteristics of the DPF active regeneration process with large inertia and large hysteresis, an optimized DPF active-regeneration temperature controller structure, using engine exhaust temperature and exhaust flow as gain compensation, is investigated. Good dynamic control performance and complex operating condition adaptability are verified by both the simulations and vehicle road tests. The overshoot of the real exhaust temperature control in DPF active regeneration is shown to be less than 3%, and the steady-state control error is less than 20 °C, ensuring safe regeneration and improving regeneration efficiency. The proposed method also plays an important role in improving engine fuel economy and realizing the systematic and efficient application of DPF.
In future research, machine learning methods and the latest advances in meta-heuristics, such as the red deer algorithm or a social engineering optimizer, can be applied to carry out the relevant research work.
Author Contributions
Data curation, H.S., Y.L., N.L. and J.T.; form analysis, H.S. and N.L.; funding acquisition, J.T.; software, H.S., Y.L. and J.T.; writing—original draft, H.S.; writing—review and editing, H.S., Y.L and N.L. All authors have read and agreed to the published version of the manuscript.
Funding
This research is financially supported by the National Natural Science Foundation of China (No. 51508304 and No. 41275133).
Institutional Review Board Statement
Not applicable.
Informed Consent Statement
Not applicable.
Data Availability Statement
Data are contained within the article.
Acknowledgments
This work was supported by the National Natural Science Foundation of China (No. 51508304 and No. 41275133). The authors are grateful to the China Environmental Monitoring Center for their cooperation.
Conflicts of Interest
The authors declare no conflict of interest.
References
- Liu, Y.; Ge, Y.; Tan, J.W. Research on ammonia emissions characteristics from light-duty gasoline vehicles. J. Environ. Sci. 2021, 106, 182–193. [Google Scholar] [CrossRef] [PubMed]
- Johnson, T.V. Review of Diesel Emissions and Control. Int. J. Engine Res. 2013, 10, 275–285. [Google Scholar] [CrossRef]
- Liu, Y.; Ge, Y.; Tan, J.W. Emission characteristics of offshore fishing ships in the Yellow Bo Sea, China. J. Environ. Sci. 2018, 65, 86–94. [Google Scholar] [CrossRef] [PubMed]
- Science and Technology Standards Department State Environmental Protection Administration. Emission Limits and Measurement Methods of Heavy Diesel Vehicles; (China Sixth Stage): GB17691-2018[S]; Environmental Science Press: Beijing, China, 2018.
- Oliveira, L.M.; Savvidis, D.; Pecqueu, M., Sr. Controlling Particulate Matter Emissions in Vehicles Using Different Strategies under the Heavy-Duty Test Cycle. SAE Tech. Pap. 2012, 1, 0885. [Google Scholar]
- Mayer, A.; Lutz, T.; Lmmle, C. Engine Intake Throttling for Active Regeneration of Diesel Particle Filters. In Proceedings of the SAE 2003 World Congress & Exhibition in United States, Detroit, MI, USA, 3–6 March 2003; Available online: https://www.sae.org/publications/technical-papers/content/2003-01-0381/ (accessed on 20 May 2022).
- Liu, Y.; Tan, J.W. Green Traffic-Oriented Heavy-Duty Vehicle Emission Characteristics of China VI Based on Portable Emission Measurement Systems. IEEE Access 2020, 8, 106639–106647. [Google Scholar] [CrossRef]
- Boger, T.; Rose, D.; Tilgner, I.C.; Heibel, A.K. Regeneration Strategies for an Enhanced Thermal Management of Oxide Diesel Particulate Filters. Sae Int. J. Fuels Lubr. 2009, 1, 162–172. [Google Scholar] [CrossRef]
- Yu, Q.S.; Tan, J.W.; Ge, Y.S. Application of Diesel Particulate Filter on in-use On-road Vehicles. Energy Procedia 2017, 105, 1730–1736. [Google Scholar]
- Liu, Y.; Tan, J.W. Experimental Study on Solid SCR Technology to Reduce NOx Emissions from Diesel Engines. IEEE Access 2020, 8, 151106–151115. [Google Scholar] [CrossRef]
- Li, N.; Zhang, J.; Zhang, S. The influence of accessory energy consumption on evaluation method of braking energy recovery contribution rate. Energy Convers. Manag. 2018, 166, 545–555. [Google Scholar] [CrossRef]
- Huang, J.; Liu, Y.; Meng, Z. Effect of Different Aging Conditions on the Soot Oxidation by Thermogravimetric Analysis. ACS Omega 2020, 5, 30568–30576. [Google Scholar] [CrossRef]
- Shuai, S.; Tang, T.; Zhao, Y.; Hua, L. State of the art and outlook of diesel vehicle emission regulations and aftertreatment technologies. J. Automot. Saf. Energy 2012, 3, 200–217. [Google Scholar]
- Ju, P.; Jiang, T.Y.; Li, H.Y. Hierarchical Control of Air-Conditioning Loads for Flexible Demand Response in the Short Term. IEEE Access 2019, 11, 184611–184621. [Google Scholar] [CrossRef]
- Millo, F.; Rafigh, M.; Andreata, M. Impact of high sulfur fuel and de-sulfation process on a close-coupled diesel oxidation catalyst and diesel particulate filter. Fuel 2017, 198, 56–67. [Google Scholar] [CrossRef]
- Patrick, R.; Stefan, P. Thermal Shock Protection for Diesel Particulate Filters. SAE Int. J. Engines 2011, 5, 112–118. [Google Scholar]
- Peter, F.; Zink, U.; Cutler, W. DPF Regeneration Concept to Avoid Uncontrolled Regeneration during Idle; SAE Paper; SAE: Rosemount, IL, USA, 2004; pp. 377–384. [Google Scholar]
- Tian, J.; Cheng, Y.L.; Liu, Z.C.; Wang, D.; Liu, J.W. Carrier temperature controlling strategies of diesel particulate filter during drop-to-idle regeneration process. Trans. CSICE 2013, 31, 154–158. [Google Scholar]
- Zang, Z.C.; Zhu, L.; Chen, L.Y. The Electronic Control Unit Development of Fuel Injection Combustion Active and Passive DPF Regeneration System. Chin. Intern. Combust. Engine Eng. 2016, 37, 74–79. [Google Scholar]
- Eck, C.; Nakano, F. Robust DPF Regeneration Control for Cost-Effective Small Commercial Vehicles; SAE Paper; No. 2017-24-0123; SAE: Detroit, MI, USA, 2017. [Google Scholar]
- Bencherif, K.; Wissel, D.; Lansky, L. Model Predictive Control as a Solution for Standardized Controller Synthesis and Reduced Development Time Application Example to Diesel Particulate Filter Temperature Control; SAE Paper; No. 2015-01-1632; SAE: Detroit, MI, USA, 2015. [Google Scholar]
- Lepreux, O.; Creff, Y.; Petit, N. Model-based temperature control of a diesel oxidation catalyst. J. Process Control. 2012, 22, 41–50. [Google Scholar] [CrossRef] [Green Version]
- Barataud, C.; Bardon, S.; Bouteiller, B. Diesel Particulate Filter Optimization; SAE Paper; No. 2003-01-0376; SAE: Detroit, MI, USA, 2003. [Google Scholar]
- Seo, J.M.; Park, W.S.; Lee, M.J. The Best Choice of Gasoline/Diesel Particulate Filter to Meet Future Particulate Matter Regulation; SAE Paper; No. 2012-01-1255; SAE: Detroit, MI, USA, 2012. [Google Scholar]
- Andreata, M.; Millo, F.; Mallamo, F. Experimental Investigation on Three Different Ceramic Substrate Materials for a Diesel Particulate Filter; SAE Paper; No. 2013-24-0160; SAE: Detroit, MI, USA, 2013. [Google Scholar]
- Tian, G.; Liu, Y.; Ke, H.; Chu, J. Energy evaluation method and its optimization models for process planning with stochastic characteristics: A case study in disassembly decision-making. Comput. Ind. Eng. 2012, 63, 553–563. [Google Scholar] [CrossRef]
- Tian, G.; Chu, J.; Liu, Y.; Ke, H.; Zhao, X.; Xu, G. Expected energy analysis for industrial process planning problem with fuzzy time parameters. Comput. Chem. Eng. 2011, 35, 2905–2912. [Google Scholar] [CrossRef]
- Yang, S.; Lee, K.; Chong, H. Characterization of Oxidation Behaviors and Chemical-Kinetics Parameters of Diesel Particulates Relevant to DPF Regeneration; SAE Paper; No. 2010-01-2166; SAE: Detroit, MI, USA, 2010. [Google Scholar]
- Messerer, A.; Niessner, R.; Poschl, U. Comprehensive kinetic characterization of the oxidation and gasification of model and real diesel soot by nitrogen oxides and oxygen under engine exhaust conditions: Measurement, Langmuir-Hinshelwood and Arrhenius parameters. Carbon 2006, 44, 307–324. [Google Scholar] [CrossRef]
- Singh, N.; Mandarapu, S. DPF Soot Estimation Challenges and Mitigation Strategies and Assessment of Available DPF Technologies; SAE Paper; No. 2013-01-0838; SAE: Detroit, MI, USA, 2013. [Google Scholar]
- Mohammadi, M.; Gheibi, M.; Fathollahi-Fard, A.M.; Eftekhari, M.; Kian, Z.; Tian, G. A hybrid computational intelligence approach for bioremediation of amoxicillin based on fungus activities from soil resources and aflatoxin B1 controls. J. Environ. Manag. 2021, 299, 113594. [Google Scholar] [CrossRef] [PubMed]
- Ghadami, N.; Gheibi, M.; Kian, Z.; Faramarz, M.G.; Naghedi, R.; Eftekhari, M.; Fathollahi-Fard, A.M.; Dulebenets, M.A.; Tian, G. Implementation of solar energy in smart cities using an integration of artificial neural network, photovoltaic system and classical Delphi methods. Sustain. Cities Soc. 2021, 74, 103149. [Google Scholar] [CrossRef]
- Tian, G.; Ren, Y.; Feng, Y.; Zhou, M.; Zhang, H.; Tan, J. Modeling and planning for dual-objective selective disassembly using AND/OR graph and discrete artificial bee colony. IEEE Trans. Ind. Inform. 2018, 15, 2456–2468. [Google Scholar] [CrossRef]
- Pasha, J.; Dulebenets, M.A.; Fathollahi-Fard, A.M.; Tian, G.; Lau, Y.Y.; Singh, P.; Liang, B. An integrated optimization method for tactical-level planning in liner shipping with heterogeneous ship fleet and environmental considerations. Adv. Eng. Inform. 2021, 48, 101299. [Google Scholar] [CrossRef]
- Tian, G.; Hao, N.; Zhou, M.; Pedrycz, W.; Zhang, C.; Ma, F.; Li, Z. Fuzzy grey choquet integral for evaluation of multicriteria decision making problems with interactive and qualitative indices. IEEE Trans. Syst. Man Cybern. Syst. 2019, 51, 1855–1868. [Google Scholar] [CrossRef]
- Fallahpour, A.; Nayeri, S.; Sheikhalishahi, M.; Wong, K.Y.; Tian, G.; Fathollahi-Fard, A.M. A hyper-hybrid fuzzy decision-making framework for the sustainable-resilient supplier selection problem: A case study of Malaysian Palm oil industry. Environ. Sci. Pollut. Res. 2021. [Google Scholar] [CrossRef]
- Fathollahi-Fard, A.M.; Hajiaghaei-Keshteli, M.; Tian, G.; Li, Z. An adaptive Lagrangian relaxation-based algorithm for a coordinated water supply and wastewater collection network design problem. Inf. Sci. 2020, 512, 1335–1359. [Google Scholar] [CrossRef]
- Higuchi, N.; Mochida, S.; Kojima, M. Optimized Regeneration Conditions of Ceramic Honeycomb Diesel Particulate Filters; SAE Paper; SAE: Detroit, MI, USA, 1983; p. 830078. [Google Scholar]
- Ge, Y.S.; Wang, A.J.; Wang, M.; Ding, Y.; Tan, J.W.; Song, Y.C. Application of Portable Emission Measurement System (PEMS) on the Emission Measurement of Urban Vehicles On-road. Automot. Saf. Energy 2010, 2, 141–145. [Google Scholar]
- Kabir, M.; Alginahi, Y.; Islam, K. Simulation of oxidation catalyst converter for after-treatment in diesel engines. Int. J. Automot. Technol. 2015, 16, 193–199. [Google Scholar] [CrossRef] [Green Version]
- Nagar, N.; He, X.; Iyengar, V. Real time implementation of DOC-DPF models on a production-intent ECU for controls and diagnostics of a PM emission control system. SAE Int. J. Commer. Veh. 2010, 2, 222–233. [Google Scholar] [CrossRef]
Publisher’s Note: MDPI stays neutral with regard to jurisdictional claims in published maps and institutional affiliations. |
© 2022 by the authors. Licensee MDPI, Basel, Switzerland. This article is an open access article distributed under the terms and conditions of the Creative Commons Attribution (CC BY) license (https://creativecommons.org/licenses/by/4.0/).
















