Transient Pressure and Temperature Analysis of a Deepwater Gas Well during a Blowout Test
Abstract
:1. Introduction
2. Mathematics Model
- (1)
- the gas–liquid flow in the pipe is one-dimensional and unsteady;
- (2)
- the gas is compressible, whereas the liquid is incompressible;
- (3)
- a high production and homogeneous flow during the blowout test; and
- (4)
- the downward direction of the wellbore flow is defined as the positive direction of the z-axis.
2.1. Steady-State Heat Transfer
2.2. Transient Heat Transfer
2.3. Temperature during Production Adjustment
3. Blowout Test Process and Model Solution
- (1)
- Input basic parameters: well depth H, tubing diameter dti, formation pressure pr, fluid extraction index IL, average wellbore temperature Tave, external pressure P0, nozzle size dchock, test fluid level Lh, and time interval dt.
- (2)
- Calculate the initial values at t = 0: bottomhole pressure pwf(0), liquid depth Lh(0), pressure at the liquid level ph(0), wellhead pressure pt(0), and liquid column mass mL(0).
- (3)
- Sort the well structure; determine the calculation step length of the formation and seawater sections; and calculate the position, temperature, and pressure of the interpolation point.
- (4)
- Set the calculation time and calculate the step length; perform the transient flow simulation calculation; and obtain the transient temperature and pressure profiles of the deepwater wellbore.
4. Application and Analysis Discussion
4.1. Transient Flow Prediction
4.2. Sensitivity Analysis of the Key Parameters of the Test
5. Conclusions
- (1)
- Coupling formation, wellbore, and surface nozzle flows as well as combining a two-phase nozzle flow model, two-phase fluid holdup model, formation productivity equation, and deepwater transient heat transfer model, a deepwater blowout wellbore transient flow model was established, which considered the characteristics of the transient flow and determines the reliable blowout test time and test system.
- (2)
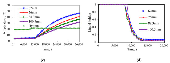
- As the blowout test continued, the bottomhole pressure decreased slightly and the wellhead pressure increased gradually. Moreover, the wellbore temperature increased gradually; however, the mudline temperature was low. The mudline temperature may be lower than the hydrate formation temperature in the cleaning process, so corresponding measures should be taken to prevent and control the hydrate formation.
- (3)
- The new model can be used to simulate the variation in the wellbore fluid level, pressure, temperature, gas production, liquid holdup, and hydrate formation temperature with time and well depth changing during the blowout period. The simulation result of gas well A showed that the calculated data agreed well with the measured values in the test, with an average error in the wellhead pressure and temperature of less than 5%, and the established model had a high calculation accuracy.
- (4)
- The sizes of the nozzles and tubing are the essential parameters in the blowout design. They significantly influence the clearance time, surface equipment, and blowout process. The transient model of the blowout test in this paper could effectively determine the nozzle regulation system during a blowout test as well as determine the reasonable injection time of the inhibitor and tubing string size. Application analysis and discussion showed that under the condition of satisfying the requirements of the test operation, choosing large nozzle and tubing sizes is necessary to accelerate the discharge of the wellbore working fluid, increase the wellbore temperature, and prevent hydrate formation.
Author Contributions
Funding
Institutional Review Board Statement
Informed Consent Statement
Data Availability Statement
Conflicts of Interest
Nomenclature
| A1~A11 | Model coefficient, dimensionless |
| CJm | Joule–Thomson coefficient, K/Pa |
| Cpm | Gas–liquid specific heat at constant pressure, J/kg/K |
| cp | Gas specific heat at constant pressure, J/(kg·K) |
| cv | Gas specific heat at constant volume, J/(kg·K) |
| cl | Liquid specific heat capacity, J/(kg·K) |
| fm | Two-phase friction coefficient, dimensionless |
| f(t) | Transient heat-conduction time function, dimensionless |
| GLR | Gas liquid ratio, m3/m3 |
| g | Gravitational acceleration, m/s2 |
| Gm | Two-phase mass flow of per unit area, kg/(m2·s) |
| hr | Convection heat transfer coefficient of annulus fluid, W/(m2·K) |
| hc | Annular fluid radiation coefficient, W/(m2·K) |
| hw | Convective heat transfer coefficient of seawater, W/(m2·K) |
| H | Well depth, m |
| Hf | Fluid enthalpy per unit mass, J/kg |
| Ke | Formation thermal conductivity, W/(m·K) |
| kcern | Cement thermal conductivity, W/(m·K) |
| Lr | Relaxation distance parameter, m−1 |
| p | Wellbore pressure, Pa |
| R | Gas constant, 8315 Pa·m3·kmol−1·K−1 |
| rto | Outer tubing radius, m |
| rw | Wellbore radius, m |
| rco | Outer casing radius, m |
| t | Time, s |
| T | Wellbore temperature, K |
| Te | Ambient temperature, K |
| Tpr | Pseudo-reduced temperature, dimensionless |
| Uto1 | Total heat transfer coefficient of formation, W/(m2·K) |
| Uto2 | Total heat transfer coefficient of seawater, W/(m2·K) |
| vm | Mixture velocity, m/s |
| wt | Total mass flow, kg/s |
| xg | Gas phase mass fraction, decimal |
| z | Well depth, m |
| Zm | Mixture deviation coefficient, dimensionless |
| υL | Liquid specific volume before nozzle, m3/kg |
| υg1/υg2 | Gas specific volume before/after nozzle, m3/kg |
| ρm | Two-phase flow density, kg/m3 |
| ρmr | Pseudo-reduced density, dimensionless |
| θ | Angle of inclination, rad |
| γm | Mixture relative density, dimensionless |
| γg | Gas relative density, dimensionless |
| γL | Liquid relative density, dimensionless |
References
- Wang, Y.; Tang, H.; Chen, F. Testing practice and process analysis of high productivity gas Wells in deep water. J. Oil Gas Technol. 2009, 31, 148–151. [Google Scholar]
- Wendler, C.; Maia, C. Planning and conducting well tests in deep and ultra-deep water to mitigate potential risks and justify expense for the operator. In Brasil Offshore; SPE-143810-MS; OnePetro: Macaé, Brazil, 2011. [Google Scholar]
- Guo, Y.; Sun, B.; Gao, Y.; Zhao, X.; Li, Q.; Zhang, H. Analysis of wellbore flow parameters during shut-in period in deepwater gas well. In Proceedings of the 27th National Symposium on Hydrodynamics, Nanjing, China, 6–8 November 2015; pp. 590–596. [Google Scholar]
- Meng, W.; Zhang, C.; Yu, Y.; Ren, G.; Dong, Z. Evaluation to Well Testing Blowout Capability of Deep Water and High Yield Gas Well. Well Test. 2015, 24, 33–38. [Google Scholar]
- Wu, M.; Yang, H.; Liang, H.; Jiang, H.; Chen, M. Key techniques and practices of critical flow based tests for deep water exploration wells: A case study of deep water area in the Qiongdongnan Basin. Nat. Gas Ind. 2015, 35, 65–70. [Google Scholar]
- Churchill, S.W.; Chu, H.H.S. Correlating equations for laminar and turbulent free convection from a vertical plate. Int. J. Heat Mass Transf. 1975, 18, 1323–1329. [Google Scholar] [CrossRef]
- Mathews, K.J. Fluid flow and heat transfer in the top hat oil recovery system. In Proceedings of the SPE Annual Technical Conference and Exhibition, San Antonio, TX, USA, 8–10 October 2012. SPE-160913-STU. [Google Scholar]
- Chin, Y.; Wang, X. Mechanics of heat loss in dry tree top-tensioned risers. In Proceedings of the Offshore Technology Conference, Houston, TX, USA, 3–6 May 2004. OTC-16501-MS. [Google Scholar]
- Hasan, A.R.; Kabir, C.S.; Lin, D. Analytic Wellbore Temperature Model for Transient Gas-Well Testing. SPE Reserv. Eval. Eng. 2005, 8, 240–247. [Google Scholar] [CrossRef]
- Stiles, D.; Trigg, M.J. Mathematical temperature simulators for drilling deepwater HTHP wells: Comparisons, applications and limitations. In Proceedings of the SPE/IADC Drilling Conference, Amsterdam, The Netherlands, 20–22 February 2007. SPE-105437-MS. [Google Scholar]
- Izgec, B.; Kabir, C.S.; Zhu, D.; Hansan, A.R. Transient Fluid and Heat Flow Modeling in Coupled Wellbore/Reservoir Systems. SPE Res. Eval. Eng. 2007, 10, 294–301. [Google Scholar] [CrossRef] [Green Version]
- Izgec, B.; Cribbs, M.E.; Pace, S.V.; Zhu, D.; Kabir, C.S. Placement of Permanent Downhole-Pressure Sensors in Reservoir Surveillance. SPE Prod. Oper. 2009, 24, 87–95. [Google Scholar] [CrossRef]
- Izgec, B.; Hasan, A.R.; Lin, D.; Kabir, C.S. Flow-rate estimation from wellhead-pressure and temperature data. SPE Prod. Oper. 2010, 25, 31–39. [Google Scholar] [CrossRef]
- Ismadi, D.; Kabir, C.S.; Hasan, A.R. The use of combined static-and dynamic-material-balance methods with real-time surveillance data in volumetric gas reservoirs. SPE Reserv. Eval. Eng. 2012, 15, 351–360. [Google Scholar] [CrossRef]
- Spindler, R. Analytical models for wellbore-temperature distribution. SPE J. 2011, 16, 125–133. [Google Scholar] [CrossRef]
- Hasan, A.R.; Kabir, C.S. Wellbore heat-transfer modeling and applications. J. Pet. Sci. Eng. 2012, 86–87, 127–136. [Google Scholar] [CrossRef]
- Kabir, C.S.; Yi, X.; Jakymec, M.; Hasan, A.R. Interpreting Distributed-Temperature Measurements Gathered in Deepwater Gas-Well Testing. In Proceedings of the SPE Annual Technical Conference and Exhibition, New Orleans, LA, USA, 30 September–2 October 2013. SPE-166333-MS. [Google Scholar]
- Chen, Z.; Xie, L. Special considerations for deepwater well temperature prediction. In Proceedings of the SPE/IATMI Asia Pacific Oil & Gas Conference and Exhibition, Nusa Dua, Bali, Indonesia, 20–22 October 2015. SPE-176089-MS. [Google Scholar]
- Zhou, X.; Duan, Y.; He, Y.; Yuan, Y.; Guo, L.; Ke, D. The Flow Assurance of Deep Water Gas-well Testing. J. Oil Gas Technol. 2014, 36, 149–152. [Google Scholar]
- Zhang, C.; Ren, G.; Dong, Z.; Yi, Y.; Jiang, W. Establishment and application of a wellbore temperature field prediction model for deep water gas well testing. China Offshore Oil Gas 2016, 28, 78–84. [Google Scholar]
- Liu, T.; Zhong, H.; Li, Y. Transient Simulation of Wellbore Pressure and Temperature During Gas-Well Testing. ASME J. Energy Resour. Technol. 2014, 136, 032902. [Google Scholar] [CrossRef]
- Kabir, C.S.; Izgec, B.; Hasan, A.R.; Wang, X. Computing flow profiles and total flow rate with temperature surveys in gas wells. J. Nat. Gas Sci. Eng. 2012, 4, 1–7. [Google Scholar] [CrossRef]
- Tarom, N.; Hossain, M.M. A practical method for the evaluation of the Joule Thomson effects to predict flowing temperature profile in gas producing wells. J. Nat. Gas Sci. Eng. 2015, 26, 1080–1090. [Google Scholar] [CrossRef]
- Li, J.; Guo, B.; Li, B. A closed form mathematical model for predicting gas temperature in gas-drilling unconventional tight reservoirs. J. Nat. Gas Sci. Eng. 2015, 27 Pt 1, 284–289. [Google Scholar] [CrossRef]
- Xu, Z. Study on Transient Flow Numerical Algorithm and Response Characteristics of Multiphase Flow in Wellbore; Southwest Petroleum University: Chengdu, China, 2015. [Google Scholar]
- He, Y.; Li, Z.; Gao, F.; Zhang, B.; Huang, J.; Li, Y. Simulation of transient flow in deep water gas wells. Nat. Gas Ind. 2018, 38, 59–64. [Google Scholar]












| Parameter | Value | Unit |
|---|---|---|
| Well depth | 3350.7 | m |
| Water depth | 1447 | m |
| Production pressure | 40 | MPa |
| Shut-in wellhead pressure | 1.5 | MPa |
| Production temperature | 95 | °C |
| Mudline temperature | 4 | °C |
| Surface seawater temperature | 15 | °C |
| Geothermal gradient | 3.87 | °C/100 m |
| Outer diameter of testing pipe | 114.3 | mm |
| Inner diameter of testing pipe | 76.2 | mm |
| Outer diameter of cement | 317.5 | mm |
| Inner diameter of cement | 244.5 | mm |
| Heat transfer coefficients of formation section | 20 | W/(m2·°C) |
| Heat transfer coefficients of seawater section | 45 | W/(m2·°C) |
| Formation thermal conductivity | 4.2 | W/(m·°C) |
| Dimensionless heat storage coefficient | 5 | - |
| Induced fluid specific density | 1.16 | - |
| Gas specific weight | 0.6 | - |
| Hole drift angle | 0 | rad |
Publisher’s Note: MDPI stays neutral with regard to jurisdictional claims in published maps and institutional affiliations. |
© 2022 by the authors. Licensee MDPI, Basel, Switzerland. This article is an open access article distributed under the terms and conditions of the Creative Commons Attribution (CC BY) license (https://creativecommons.org/licenses/by/4.0/).
Share and Cite
Zhong, H.; Zheng, C.; Li, M.; Liu, T.; He, Y.; Li, Z. Transient Pressure and Temperature Analysis of a Deepwater Gas Well during a Blowout Test. Processes 2022, 10, 846. https://doi.org/10.3390/pr10050846
Zhong H, Zheng C, Li M, Liu T, He Y, Li Z. Transient Pressure and Temperature Analysis of a Deepwater Gas Well during a Blowout Test. Processes. 2022; 10(5):846. https://doi.org/10.3390/pr10050846
Chicago/Turabian StyleZhong, Haiquan, Chuangen Zheng, Miao Li, Tong Liu, Yufa He, and Zihan Li. 2022. "Transient Pressure and Temperature Analysis of a Deepwater Gas Well during a Blowout Test" Processes 10, no. 5: 846. https://doi.org/10.3390/pr10050846
APA StyleZhong, H., Zheng, C., Li, M., Liu, T., He, Y., & Li, Z. (2022). Transient Pressure and Temperature Analysis of a Deepwater Gas Well during a Blowout Test. Processes, 10(5), 846. https://doi.org/10.3390/pr10050846

