Modeling and Optimization of the Flue Gas Heat Recovery of a Marine Dual-Fuel Engine Based on RSM and GA
Abstract
:1. Introduction
2. Modeling Methodology
2.1. DF Engine Modeling Methodology
2.2. Waste Heat Recovery Simulation Methodology
3. Modeling and Calibration
3.1. Simulation Model of the DF Engine
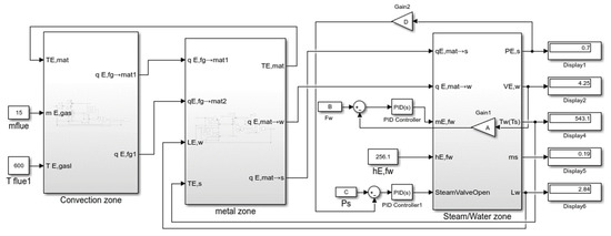
3.2. Simulation Model of the Waste Heat Boiler
3.3. Prediction Model Modeling
4. Result and Discussion
4.1. Multi-Objective Optimization
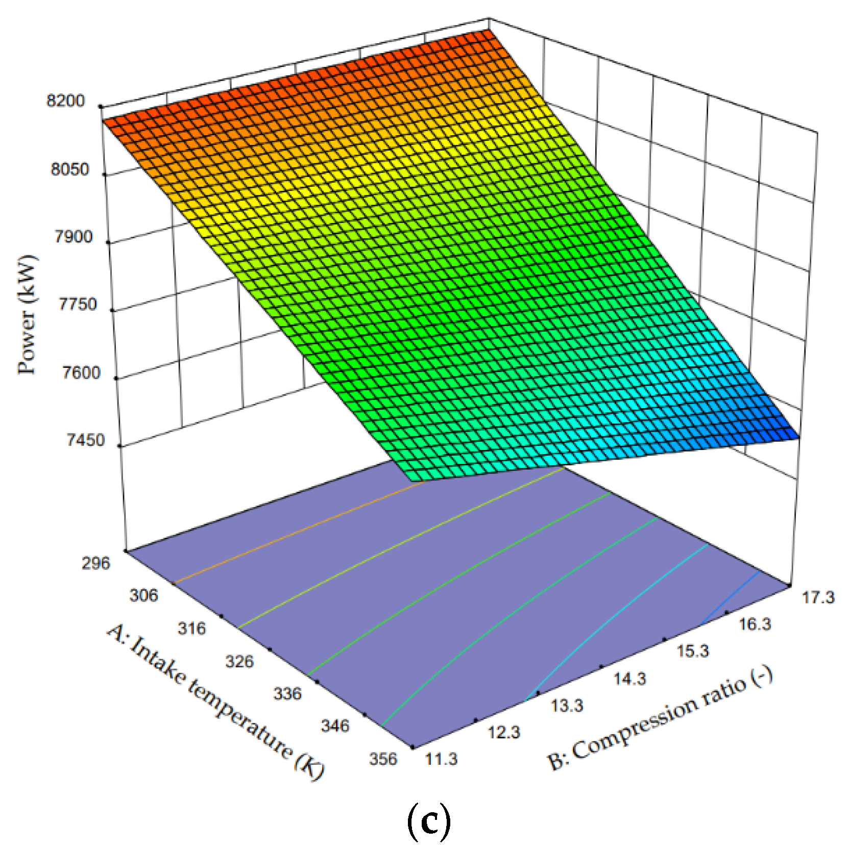
4.2. Impact Analysis of the Operating Parameters
5. Conclusions
- The 1-D model of the DF engine was established based on the GT-Power simulation modeling tool. The simulation data were checked and verified before the optimization study of the DF engine, and the maximum error was 1.96% in gas mode. Then, the main parameters of the waste heat boiler were designed, the Simulink simulation model was established, and the power generation of flue gas waste heat was calculated according to the mathematical model of the steam turbine.
- The effects of the intake temperature, compression ratio, and pilot fuel injection timing on flue gas waste heat generation in the DF engine gas mode were studied. Through the analysis of the simulation data, it can be seen that with the increase in the intake temperature, the BSFC decreased first and then increased, the power decreased gradually, and the power generation decreased gradually. With the decrease in the compression ratio, the BSFC, power, and power generation increased gradually. With the advance of the pilot fuel injection timing, BSFC, power, and power generation were gradually reduced.
- MOGA was used to obtain the optimal parameter settings under the condition of maximum power and flue gas waste heat generation and minimum BSFC. First, RSM transformed the data into a nonlinear regression model for the analysis and optimization. The optimal solution set was obtained by optimizing the algorithm, and then the optimal solution was selected artificially. The reduction of BSFC is most important, so the final optimal solution was 306.18 K (intake temperature), 14.4 (compression ratio), and −16.68 °CA ATDC (pilot fuel injection timing). This corresponded to 155.18 g/kWh (BSFC), which was reduced by 3.24%, 8025.62 kW (power), and increased by 0.32%. At the same time, an additional 280.98 kW (flue gas waste heat generation) was obtained.
Author Contributions
Funding
Institutional Review Board Statement
Informed Consent Statement
Data Availability Statement
Conflicts of Interest
References
- Sun, X.; Liu, H.; Duan, X.; Guo, H.; Li, Y.; Qiao, J.; Liu, Q.; Liu, J. Effect of Hydrogen Enrichment on the Flame Propagation, Emissions Formation and Energy Balance of the Natural Gas Spark Ignition Engine. Fuel 2022, 307, 121843. [Google Scholar] [CrossRef]
- Chen, Z.; Wang, L.; Wang, X.; Chen, H.; Geng, L.; Gao, N. Experimental Study on the Effect of Water Port Injection on the Combustion and Emission Characteristics of Diesel/Methane Dual-Fuel Engines. Fuel 2022, 312, 122950. [Google Scholar] [CrossRef]
- Wen, S.; Qu, X.; Zhu, Y.L. Study on Recovery System for Marine Diesel Engine Waste Heat. Adv. Mater. Res. 2014, 912–914, 795–798. [Google Scholar] [CrossRef]
- Stoumpos, S.; Theotokatos, G.; Boulougouris, E.; Vassalos, D.; Lazakis, I.; Livanos, G. Marine dual fuel engine modelling and parametric investigation of engine settings effect on performance-emissions trade-offs. Ocean Eng. 2018, 157, 376–386. [Google Scholar] [CrossRef] [Green Version]
- Akman, M.; Ergin, S. Thermo-Environmental Analysis and Performance Optimisation of Transcritical Organic Rankine Cycle System for Waste Heat Recovery of a Marine Diesel Engine. Ships Offshore Struct. 2020, 16, 1104–1113. [Google Scholar] [CrossRef]
- Zhao, R.; Zhuge, W.; Zhang, Y.; Yong, Y.; Li, Z. Parametric study of power turbine for diesel engine waste heat recovery. Appl. Therm. Eng. 2014, 67, 308–319. [Google Scholar] [CrossRef]
- Manzela, A.A.; Hanriot, R.M.; Cabezas-Gomez, R.; Sodre, R.R. Using engine exhaust gas as energy source for an absorption refrigeration system. Appl. Energy 2010, 87, 1141–1148. [Google Scholar] [CrossRef]
- Fernández-Seara, J.; Vales, A.; Vázquez, M. Heat recovery system to power an onboard NH3-H2O absorption refrigeration plant in trawler chiller fishing vessels—ScienceDirect. Appl. Therm. Eng. 1998, 18, 1189–1205. [Google Scholar] [CrossRef]
- Kim, Y.; Negash, A.; Shamsi, S.S.M.; Shin, D.; Cho, G. Experimental Study of a Lab-Scale Organic Rankine Cycle System for Heat and Water Recovery from Flue Gas in Thermal Power Plants. Energies 2021, 14, 4328. [Google Scholar] [CrossRef]
- Lion, S.; Taccani, R.; Vlaskos, I.; Scrocco, P.; Vouvakos, X.; Kaiktsis, L. Thermodynamic analysis of waste heat recovery using Organic Rankine Cycle (ORC) for a two-stroke low speed marine Diesel engine in IMO Tier II and Tier III operation. Energy 2019, 183, 48–60. [Google Scholar] [CrossRef]
- Mohammed, A.G.; Mosleh, M.; El-Maghlany, W.M.; Ammar, N.R. Performance analysis of supercritical ORC utilizing marine diesel engine waste heat recovery. Alex. Eng. J. 2020, 59, 893–904. [Google Scholar] [CrossRef]
- Douvartzides, S.; Karmalis, I. Working fluid selection for the Organic Rankine Cycle (ORC) exhaust heat recovery of an internal combustion engine power plant. In IOP Conference Series: Materials Science and Engineering; IOP Publishing: Bristol, UK, 2016; Volume 161, p. 12087. [Google Scholar] [CrossRef] [Green Version]
- Teng, D.; Jia, X.; Yang, W.; An, L.; Shen, G.; Zhang, H. Experimental Investigation into Flue Gas Water and Waste Heat Recovery Using a Purge Gas Ceramic Membrane Condenser. ACS Omega 2022, 6, 4956–4969. [Google Scholar] [CrossRef] [PubMed]
- Ouyang, T.; Huang, G.; Su, Z.; Xu, J.; Zhou, F.; Chen, N. Design and optimisation of an advanced waste heat cascade utilisation system for a large marine diesel engine. J. Clean. Prod. 2020, 273, 123057. [Google Scholar] [CrossRef]
- Li, Y.; Jia, M.; Xu, L.; Bai, X. Multiple-objective optimization of methanol/diesel dual-fuel engine at low loads: A comparison of reactivity controlled compression ignition (RCCI) and direct dual fuel stratification (DDFS) strategies. Fuel 2020, 262, 116673. [Google Scholar] [CrossRef]
- Wang, H.; Ji, C.; Shi, C.; Ge, Y.; Meng, H.; Yang, J.; Chang, K.; Wang, S. Comparison and evaluation of advanced machine learning methods for performance and emissions prediction of a gasoline Wankel rotary engine. Energy 2022, 248, 123611. [Google Scholar] [CrossRef]
- Wang, H.; Ji, C.; Shi, C.; Ge, Y.; Hao, M.; Yang, J.; Ke, C.; Wang, S. Development of cyclic variation prediction model of the gasoline and n-butanol rotary engines with hydrogen enrichment. Fuel 2021, 299, 120891. [Google Scholar] [CrossRef]
- Wang, H.; Ji, C.; Su, T.; Shi, C.; Ge, Y.; Yang, J.; Wang, S. Comparison and implementation of machine learning models for predicting the combustion phases of hydrogen-enriched Wankel rotary engines. Fuel 2022, 310, 122371. [Google Scholar] [CrossRef]
- Ji, C.; Wang, H.; Shi, C.; Wang, S.; Yang, J. Multi-objective optimization of operating parameters for a gasoline Wankel rotary engine by hydrogen enrichment. Energy Convers. Manag. 2021, 229, 113732. [Google Scholar] [CrossRef]
- Li, Y.; Jia, M.; Han, X.; Bai, X. Towards a comprehensive optimization of engine efficiency and emissions by coupling artificial neural network (ANN) with genetic algorithm (GA). Energy 2021, 225, 120331. [Google Scholar] [CrossRef]
- Tian, Z.; Yue, Y.; Zhang, Y.; Gu, B.; Gao, W. Multi-Objective Thermo-Economic Optimization of a Combined Organic Rankine Cycle (ORC) System Based on Waste Heat of Dual Fuel Marine Engine and LNG Cold Energy Recovery. Energies 2020, 13, 1397. [Google Scholar] [CrossRef] [Green Version]
- Guan, J.; Li, Y.; Liu, J.; Duan, X.; Shen, D.; Jia, D.; Ku, C. Experimental and numerical research on the performance characteristics of OPLVCR engine based on the NSGA-II algorithm using digital twins. Energy Convers. Manag. 2021, 236, 114052. [Google Scholar] [CrossRef]
- Hu, N.; Zhou, P.; Yang, J. Comparison and combination of NLPQL and MOGA algorithms for a marine medium-speed diesel engine optimisation. Energy Convers. Manag. 2017, 133, 138–152. [Google Scholar] [CrossRef] [Green Version]
- Shi, C.; Zhang, P.; Ji, C.; Di, L.; Zhu, Z.; Wang, H. Understanding the role of turbulence-induced blade configuration in improving combustion process for hydrogen-enriched rotary engine. Fuel 2022, 319, 123807. [Google Scholar] [CrossRef]
- Kamarulzaman, M.K.; Abdullah, A. Multi-objective optimization of diesel engine performances and exhaust emissions characteristics of Hermetia illucens larvae oil-diesel fuel blends using response surface methodology. Energy Sources Part A Recovery Util. Environ. Eff. 2020, 20, 1–14. [Google Scholar] [CrossRef]
- Hatami, M.; Jafaryar, M.; Ganji, D.D.; Gorji-Bandpy, M. Optimization of finned-tube heat exchangers for diesel exhaust waste heat recovery using CFD and CCD techniques. Int. Commun. Heat Mass Transf. 2014, 57, 254–263. [Google Scholar] [CrossRef]
- Yongming, F.; Yu, Y.; Jiang, X.; Hang, Z.W. Efficiency Improvement of the Marine Power System based on 2-Stroke Diesel Engine with Waste Heat Recovery System by Engine Tuning. In Proceedings of the International Sysposium on Marine Enginnering, Harbin, China, 15–19 September 2014. [Google Scholar]
- MAN 51/60DF. In Factory Acceptance Test; Hudong-Zhonghua Shipbuilding Group CO LTD: Shanghai, China, 2015.
- Divekar, P.; Han, X.; Tan, Q.; Asad, U.; Ming, Z. Mode Switching to Improve Low Load Efficiency of an Ethanol-Diesel Dual-Fuel Engine. In Proceedings of the WCX™ 17: SAE World Congress Experience, Detroit, MI, USA, 4–6 April 2017. [Google Scholar]
- Wang, H.; Ji, C.; Shi, C.; Ge, Y.; Meng, H.; Yang, J.; Chang, K.; Yang, Z.; Wang, S.; Wang, X. Modeling and parametric study of the performance-emissions trade-off of a hydrogen Wankel rotary engine. Fuel 2022, 318, 123662. [Google Scholar] [CrossRef]
- Woschni, G. A Universally Applicable Equation for the Instantaneous Heat Transfer Coefficient in the Internal Combustion Engine; SAE Technical Paper 670931; SAE: Warrendale, PA, USA, 1967. [Google Scholar] [CrossRef]
- Solberg, B.W. Optimisation of Marine Boilers using Model-Based Multivariable Control; Department of Electronic Systems, Aalborg University: Aalborg, Denmark, 2008. [Google Scholar]
- Wang, Z.; Zhou, S.; Li, R.; Li, X.; Zhu, Y. The exergy analysis of marine diesel engine waste heat recovery system. In Proceedings of the 27th Congress of the International Institute of Internal Combustion Engines (CIMAC), Shanghai, China, 13–16 May 2013. [Google Scholar]
- Stelmashchuk, S.V.; Sherov, E.D. Electromechanical speed control system for steam turbine generator. IOP Conf. Ser. Mater. Sci. Eng. 2021, 1089, 12014–12019. [Google Scholar] [CrossRef]
- Lamfon, N. Modeling and simulation of combined gas turbine engine and heat pipe system for waste heat recovery and utilization. Fuel Energy Abstr. 1998, 39, 81–86. [Google Scholar] [CrossRef]
- Jolly, P.S. Combined cycle heat recovery steam generators optimum capabilities and selection criteria. Heat Recovery Syst. CHP 1995, 15, 147–154. [Google Scholar]
- Wang, H.; Gan, H.; Theotokatos, G. Parametric investigation of pre-injection on the combustion, knocking and emissions behaviour of a large marine four-stroke dual-fuel engine. Fuel 2020, 281, 118744. [Google Scholar] [CrossRef]
- Turbo, M.D. 51/60DF Project Guide-Marine: Four-Stroke Dual-Fuel Engines Compliant with IMO Tier II/IMO Tier III MAN Diesel & Turbo in 2015. Available online: https://pdfcoffee.com/man-51-60df-imo-tier-ii-imo-tier-iii-marine-pdf-pdf-free.html (accessed on 25 January 2022).
- Taboada, H.A.; Espiritu, J.F.; Coit, D.W. MOMS-GA: A Multi-Objective Multi-State Genetic Algorithm for System Reliability Optimization Design Problems. IEEE Trans. Reliab. 2008, 57, 182–191. [Google Scholar] [CrossRef]
- Wang, Q.; Yuan, J.; Yao, S. Modeling and Simulation of Marine Auxiliary Boiler Based on Matlab/Simulink. J. Jiangsu Univ. Sci. Technol. 2005, 19, 16–20. [Google Scholar]
- Wang, Z.; Zhang, Z.; Sanfei, H. Analysis of the current state of application of saturated steam power generation technology. Energy Conserv. 2013, 31, 326–330. [Google Scholar]
- Wang, H.; Gan, H.; Wang, G.; Zhong, G. Emission and Performance Optimization of Marine Four-Stroke Dual-Fuel Engine Based on Response Surface Methodology. Math. Probl. Eng. 2020, 2020, 5268314. [Google Scholar] [CrossRef]
- Kumar, B.R.; Saravanan, S.; Rana, D.; Nagendran, A. Combined effect of injection timing and exhaust gas recirculation (EGR) on performance and emissions of a DI diesel engine fuelled with next-generation advanced biofuel—Diesel blends using response surface methodology. Energy Convers. Manag. 2016, 123, 470–486. [Google Scholar] [CrossRef]
- Borhani, M. Evolutionary multi-objective network optimization algorithm in trajectory planning. Ain Shams Eng. J. 2020, 12, 677–686. [Google Scholar] [CrossRef]
- Guazzelli, P.; Pereira, W.C.A.; Oliveira, C.; Castro, A.G.; Aguiar, M.L. Weighting Factors Optimization of Predictive Torque Control of Induction Motor by Multi-objective Genetic Algorithm. IEEE Trans. Power Electron. 2018, 34, 6628–6638. [Google Scholar] [CrossRef]
- Yin, Z. Research on Modulation of Marine Two-Stroke Diesel Engine and Its Waste Heat Recovery and Utilization; Harbin Engineering University: Harbin, China, 2016. [Google Scholar]


















| Engine Parameters | Unit | Values |
|---|---|---|
| Cylinder | [–] | 8 |
| Bore | [mm] | 510 |
| Stroke | [mm] | 600 |
| Compression ratio | [–] | 13.3 |
| Power | [kW] | 8000 |
| Speed | [rpm] | 514 |
| BSFC | [g/kWh] | 189.1 |
| BMEP | [bar] | 19.1 |
| Fire order | [–] | 1-4-7-6-8-5-2-3 |
| Terms | Unit | Values |
|---|---|---|
| Steam flow rate | [kg/h] | 700 |
| Steam pressure | [MPa] | 0.7 |
| Steam temperature | [°C] | 270 |
| Feed water temperature | [°C] | 80 |
| Exhaust gas flow rate | [kg/h] | 54,300 |
| Exhaust gas temperature | [°C] | 326 |
| Type of heat exchange tube | [–] | Threaded pipe |
| Engine Load [%] | 100 | 75 | 50 | 25 |
|---|---|---|---|---|
| Mode | Gas Mode Error (%) | |||
| Power [kW] | −0.34 | 1.59 | 1.74 | 1.35 |
| BSFC [g/kWh] | −0.53 | 0.03 | −1.53 | −1.17 |
| Peak firing press. [bar] | −0.58 | 1.96 | −0.87 | −0.34 |
| BMEP [bar] | −0.52 | 0 | −1.05 | 0 |
| Exhaust temp. [K] | 0.38 | 1.55 | −1.01 | 1.40 |
| Intake flow [kg/s] | 0.06 | 1.02 | 0.72 | −1.23 |
| Design Value | Simulation Value | Error | |
|---|---|---|---|
| Steam pressure | 0.7 MPa | 0.7 MPa | 0 |
| Steam temperature | 270 °C | 275 °C | 1.81% |
| Steam flow | 700 kg/h | 717.97 kg/h | 2.56% |
| Source | BSFC [g/kWh] | Power [kW] | Power Generation [kW] |
|---|---|---|---|
| Type | Quadratic | ||
| p Value | |||
| Model | <0.0001 | <0.0001 | <0.0001 |
| <0.0001 | <0.0001 | <0.0001 | |
| <0.0001 | <0.0001 | <0.0001 | |
| <0.0001 | <0.0001 | <0.0001 | |
| 0.0031 | 0.0298 | 0.5373 | |
| 0.5240 | 0.0103 | 0.8204 | |
| 0.1909 | 0.6479 | 0.0045 | |
| <0.0001 | <0.0001 | 0.2078 | |
| <0.0001 | <0.0001 | 0.0012 | |
| 0.0040 | 0.0123 | 0.0236 | |
| 0.9977 | 0.9819 | 0.9940 | |
| 0.9974 | 0.9812 | 0.9931 | |
| 0.9972 | 0.9807 | 0.9923 | |
| Parameter | Type | Value |
|---|---|---|
| Population size | Randomly initialized | 1500 |
| Selection | Tournament | 2 |
| Crossover | Intermediate | 0.80 |
| Mutation | Adaptive feasible | - |
| Pareto Fraction | - | 0.35 |
| Distance measurement | Distance crowding | - |
| Stopping criteria | Number of generations | 200 |
| Intake Temperature | Compression Ratio | Pilot Fuel Inject Timing | BSFC | Power | Power Generation |
|---|---|---|---|---|---|
| [K] | [−] | [°CA ATDC] | [g/kWh] | [kW] | [kW] |
| 297.18 | 14.63 | −16.41 | 159.49 | 8118.86 | 280.49 |
| 315.62 | 12.76 | −16.72 | 158.95 | 8015.40 | 306.79 |
| 308.06 | 13.81 | −16.59 | 157.80 | 8059.15 | 290.76 |
| 304.43 | 14.31 | −16.98 | 156.79 | 8048.75 | 276.85 |
| 306.18 | 14.40 | −16.68 | 155.53 | 8024.91 | 273.31 |
| Terms | △Power (kW) | △BSFC (g/kWh) | △Power Generation (kW) | Power Generation (kW) |
|---|---|---|---|---|
| MOGA | +0.31% | −3.24% | +4.73% | 273.31 |
| Simulation | +0.32% | −3.01% | +7.68% | 280.98 |
Publisher’s Note: MDPI stays neutral with regard to jurisdictional claims in published maps and institutional affiliations. |
© 2022 by the authors. Licensee MDPI, Basel, Switzerland. This article is an open access article distributed under the terms and conditions of the Creative Commons Attribution (CC BY) license (https://creativecommons.org/licenses/by/4.0/).
Share and Cite
Meng, D.; Gan, H.; Wang, H. Modeling and Optimization of the Flue Gas Heat Recovery of a Marine Dual-Fuel Engine Based on RSM and GA. Processes 2022, 10, 674. https://doi.org/10.3390/pr10040674
Meng D, Gan H, Wang H. Modeling and Optimization of the Flue Gas Heat Recovery of a Marine Dual-Fuel Engine Based on RSM and GA. Processes. 2022; 10(4):674. https://doi.org/10.3390/pr10040674
Chicago/Turabian StyleMeng, Deyu, Huibing Gan, and Huaiyu Wang. 2022. "Modeling and Optimization of the Flue Gas Heat Recovery of a Marine Dual-Fuel Engine Based on RSM and GA" Processes 10, no. 4: 674. https://doi.org/10.3390/pr10040674
APA StyleMeng, D., Gan, H., & Wang, H. (2022). Modeling and Optimization of the Flue Gas Heat Recovery of a Marine Dual-Fuel Engine Based on RSM and GA. Processes, 10(4), 674. https://doi.org/10.3390/pr10040674

