Advances on the Antioxidant Activity of a Phytocomplex Product Containing Berry Extracts from Romanian Spontaneous Flora
Abstract
1. Introduction
2. Materials and Methods
2.1. Materials
2.2. Methods
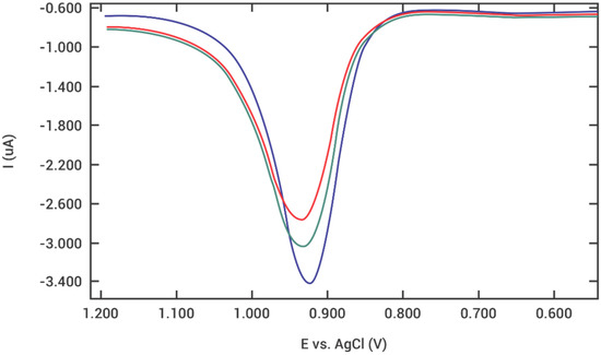
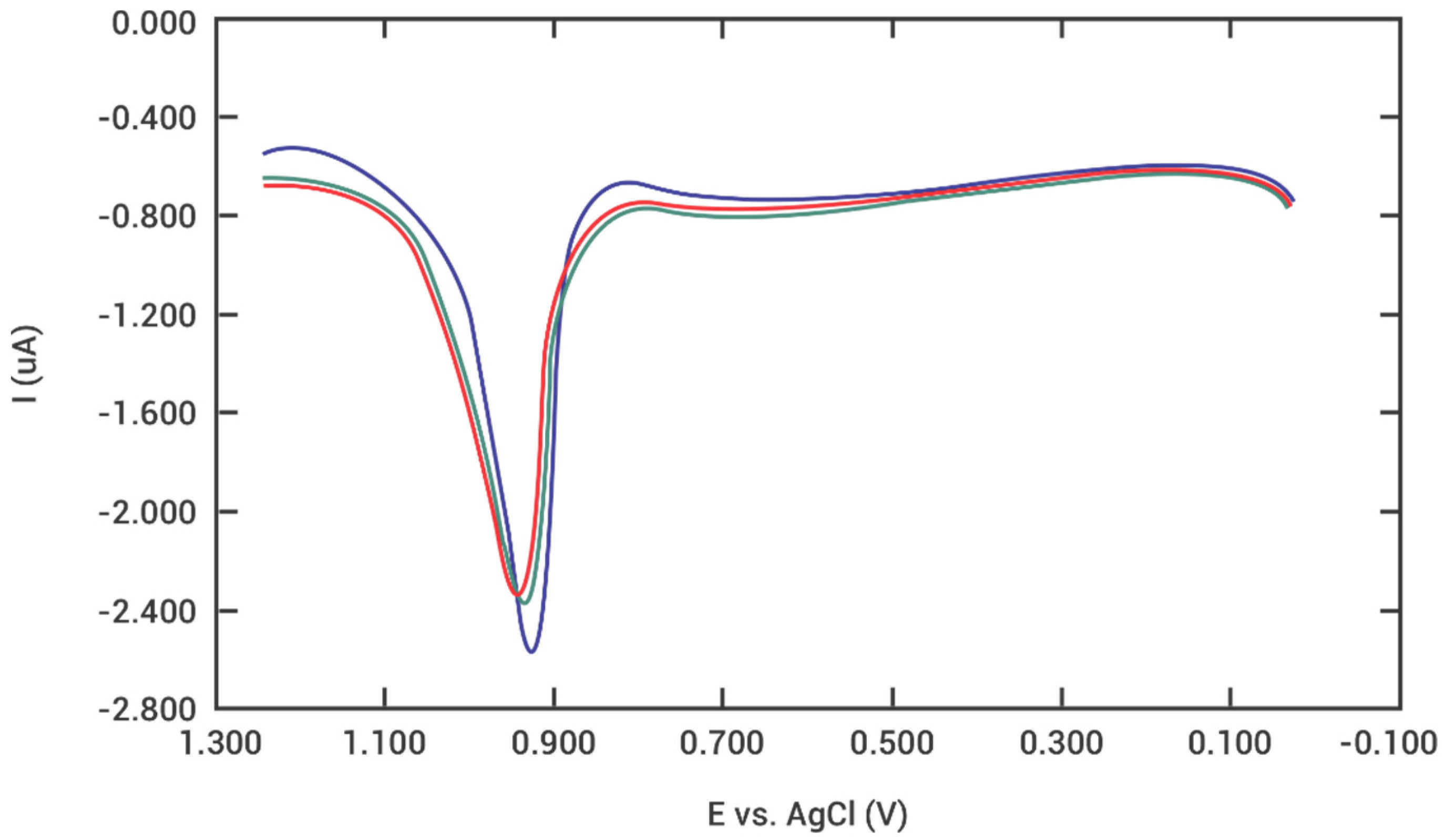
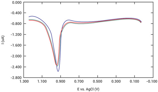
3. Results
4. Discussion
5. Conclusions
Supplementary Materials
Author Contributions
Funding
Institutional Review Board Statement
Informed Consent Statement
Conflicts of Interest
References
- Forman, H.J.; Zhang, H. Targeting oxidative stress in disease: Promise and limitations of antioxidant therapy. Nat. Rev. Drug Discov. 2021, 20, 689–709. [Google Scholar] [CrossRef]
- Pizzino, G.; Irrera, N.; Cucinotta, M.; Pallio, G.; Mannino, F.; Arcoraci, V.; Squadrito, F.; Altavilla, D.; Bitto, A. Oxidative Stress: Harms and Benefits for Human Health. Oxid. Med. Cell. Longev. 2017, 2017, 8416763. [Google Scholar] [CrossRef]
- Lobo, V.; Patil, A.; Phatak, A.; Chandra, N. Free radicals, antioxidants and functional foods: Impact on human health. Pharmacogn. Rev. 2010, 4, 118–126. [Google Scholar] [CrossRef]
- Pham-Huy, L.A.; He, H.; Pham-Huy, C. Free radicals, antioxidants in disease and health. Int. J. Biomed. Sci. IJBS 2008, 4, 89–96. [Google Scholar] [PubMed]
- Di Meo, S.; Venditti, P. Evolution of the Knowledge of Free Radicals and Other Oxidants. Oxid. Med. Cell. Longev. 2020, 2020, 9829176. [Google Scholar] [CrossRef] [PubMed]
- Khan, F.; Garg, V.K.; Singh, A.K.; Tinku, T. Role of free radicals and certain antioxidants in the management of huntington’s disease: A review. J. Anal. Pharm. Res. 2018, 7, 386–392. [Google Scholar] [CrossRef]
- Balaci, T.; Velescu, B.; Karampelas, O.; Musuc, A.M.; Nitulescu, G.M.; Ozon, E.A.; Nitulescu, G.; Gird, C.E.; Fita, C.; Lupuliasa, D. Physico-Chemical and Pharmaco-Technical Characterization of Inclusion Complexes Formed by Rutoside with beta-Cyclodextrin and Hydroxypropyl-beta-Cyclodextrin Used to Develop Solid Dosage Forms. Processes 2021, 9, 26. [Google Scholar] [CrossRef]
- Nicoară, A.C.; Cazacincu, R.G.; Lupuleasa, D.; Miron, D.S.; Rădulescu, F.S. Formulation and in-vitro release testing of rectal suppositories containing nimesulide. Farmacia 2015, 63, 111–117. [Google Scholar]
- Pizzino, G.; Bitto, A.; Interdonato, M. Oxidative stress and DNA repair and detoxification gene expression in adolescents exposed to heavy metals living in the Milazzo-Valle del Mela area (Sicily, Italy). Redox Biol. 2014, 2, 686–693. [Google Scholar] [CrossRef]
- Rajendran, P.; Nandakumar, N.; Rengarajan, T.; Palaniswami, R.; Gnanadhas, E.N.; Lakshminarasaiah, U.; Gopas, J.; Nishigaki, I. Antioxidants and human diseases. Clin. Chim. Acta 2014, 436, 332–347. [Google Scholar] [CrossRef]
- Halliwell, B. Biochemistry of oxidative stress. Biochem. Soc. Trans. 2007, 35, 1147–1150. [Google Scholar] [CrossRef] [PubMed]
- Zorov, D.B.; Juhaszova, M.; Sollott, S.J. Mitochondrial Reactive Oxygen Species (ROS) and ROS-Induced ROS Release. Physiol. Rev. 2014, 94, 909–950. [Google Scholar] [CrossRef] [PubMed]
- Adam-Vizi, V.; Chinopoulos, C. Bioenergetics and the formation of mitochondrial reactive oxygen species. Trends Pharmacol. Sci. 2006, 27, 639–645. [Google Scholar] [CrossRef] [PubMed]
- Bae, Y.S.; Oh, H.; Rhee, S.G.; Yoo, Y.D. Regulation of reactive oxygen species generation in cell signaling. Mol. Cells 2011, 32, 491–509. [Google Scholar] [CrossRef]
- Dikalov, S. Cross talk between mitochondria and NADPH oxidases. Free Radic. Biol. Med. 2011, 51, 1289–1301. [Google Scholar] [CrossRef]
- Kurutas, E.B. The importance of antioxidants which play the role in cellular response against oxidative/nitrosative stress: Current state. Nutr. J. 2016, 15, 71. [Google Scholar] [CrossRef]
- Valko, M.; Leibfritz, D.; Moncol, J.; Cronin, M.T.D.; Mazur, M.; Telser, J. Free radicals and antioxidants in normal physiological functions and human disease. Int. J. Biochem. Cell Biol. 2007, 39, 44–84. [Google Scholar] [CrossRef]
- Năstăsescu, V.; Mititelu, M.; Goumenou, M.; Docea, A.O.; Renieri, E.; Udeanu, D.I.; Oprea, E.; Arsene, A.L.; Dinu-Pîrvu, C.E.; Ghica, M. Heavy metal and pesticide levels in dairy products: Evaluation of human health risk. Food Chem. Toxicol. 2020, 146, 111844. [Google Scholar] [CrossRef]
- Singh, A.; Kukreti, R.; Saso, L.; Kukreti, S. Oxidative Stress: A Key Modulator in Neurodegenerative Diseases. Molecules 2019, 24, 1583. [Google Scholar] [CrossRef]
- Tan, B.L.; Norhaizan, M.E.; Liew, W.-P.-P.; Rahman, H.S. Antioxidant and Oxidative Stress: A Mutual Interplay in Age-Related Diseases. Front. Pharmacol. 2018, 9, 1162. [Google Scholar] [CrossRef]
- Akash, M.S.H.; Rehman, K.; Chen, S. Spice plant Allium cepa: Dietary supplement for treatment of type 2 diabetes mellitus. Nutrition 2014, 30, 1128–1137. [Google Scholar] [CrossRef] [PubMed]
- Aoki, A.; Inoue, M.; Nguyen, E.; Obata, R.; Kadonosono, K.; Shinkai, S.; Hashimoto, H.; Sasaki, S.; Yanagi, Y. Dietary n-3 Fatty Acid, α-Tocopherol, Zinc, vitamin D, vitamin C and β-carotene are Associated with Age-Related Macular Degeneration in Japan. Sci. Rep. 2016, 6, 20723. [Google Scholar] [CrossRef] [PubMed]
- Hovanet, M.V.; Ancuceanu, R.; Dinu, M.; Oprea, E.; Budura, E.A.; Negreṣ, S.; Velescu, B.; Duṭu, L.; Anghel, I.; Ancu, I.; et al. Toxicity and anti-inflammatory activity of Ziziphus jujuba Mill. leaves. Farmacia 2016, 64, 802–808. [Google Scholar]
- Hovanet, M.V.; Dociu, N.; Dinu, M.; Ancuceanu, R.; Moroṣan, E.; Oprea, E. A Comparative Physico-chemical Analysis of Acer platanoides and Acer pseudoplatanus Seed Oils. Rev. Chim. 2015, 66, 987–991. [Google Scholar]
- Manolescu, B.N.; Oprea, E.; Mititelu, M.; Ruta, L.L.; Farcasanu, I.C. Dietary Anthocyanins and Stroke: A Review of Pharmacokinetic and Pharmacodynamic Studies. Nutrients 2019, 11, 1479. [Google Scholar] [CrossRef]
- Popescu, M.L.; Costea, T.; Gird, C.E.; Fierascu, I.; Balaci, T.D.; Fierascu, R.C. Antioxidant activity of romanian Agaricus Blazei Murrill. and Agaricus Bisporus J.E. Lange mushrooms. Farmacia 2017, 65, 329–335. [Google Scholar]
- Maulik, N.; Yoshida, T.; Das, D.K. Oxidative Stress Developed During the Reperfusion of Ischemic Myocardium Induces Apoptosis. Free Radic. Biol. Med. 1998, 24, 869–875. [Google Scholar] [CrossRef]
- Ioniță, A.C.; Ghica, M.; Moroşan, E.; Nicolescu, F.; Mititelu, M. In Vitro effects of some synthesized aminoacetanilide N’-Substituted on human leukocytes separated from peripheral blood. Farmacia 2019, 67, 684–690. [Google Scholar] [CrossRef]
- Ciolan, D.F.; Mînea, A.; Andrieș, A.; Nicoară, A.C.; Rădulescu, F.S.; Miron, D.S. The influence of compendial cells design and experimental setup on the in-vitro similarity of ketoconazole topical creams. Farmacia 2015, 63, 865–871. [Google Scholar]
- Oskarsson, H.J.; Coppey, L.; Weiss, R.M.; Li, W.-G. Antioxidants attenuate myocyte apoptosis in the remote non-infarcted myocardium following large myocardial infarction. Cardiovasc. Res. 2000, 45, 679–687. [Google Scholar] [CrossRef]
- Teringova, E.; Tousek, P. Apoptosis in ischemic heart disease. J. Transl. Med. 2017, 15, 87. [Google Scholar] [CrossRef]
- Sun, L.; Fan, H.; Yang, L.; Shi, L.; Liu, Y. Tyrosol Prevents Ischemia/Reperfusion-Induced Cardiac Injury in H9c2 Cells: Involvement of ROS, Hsp70, JNK and ERK, and Apoptosis. Molecules 2015, 20, 3758–3775. [Google Scholar] [CrossRef] [PubMed]
- Wang, W.; Kang, P.M. Oxidative Stress and Antioxidant Treatments in Cardiovascular Diseases. Antioxidants 2020, 9, 1292. [Google Scholar] [CrossRef] [PubMed]
- Elahi, M.M.; Kong, Y.X.; Matata, B.M. Oxidative Stress as a Mediator of Cardiovascular Disease. Oxid. Med. Cell. Longev. 2009, 2, 259–269. [Google Scholar] [CrossRef] [PubMed]
- Lushchak, V.I. Glutathione Homeostasis and Functions: Potential Targets for Medical Interventions. J. Amino Acids 2012, 2012, 736837. [Google Scholar] [CrossRef]
- Moroșan, E.; Mititelu, M.; Drăgănescu, D.; Lupuliasa, D.; Ozon, E.A.; Karampelas, O.; Gîrd, C.E.; Aramă, C.; Hovaneț, M.V.; Musuc, A.M.; et al. Investigation into the Antioxidant Activity of Standardized Plant Extracts with Pharmaceutical Potential. Appl. Sci. 2021, 11, 8685. [Google Scholar] [CrossRef]
- Puupponen-Pimiä, R.; Nohynek, L.; Alakomi, H.-L.; Oksman-Caldentey, K.-M. Bioactive berry compounds?novel tools against human pathogens. Appl. Microbiol. Biotechnol. 2005, 67, 8–18. [Google Scholar] [CrossRef]
- Cieślik, E.; Gręda, A.; Adamus, W. Contents of polyphenols in fruit and vegetables. Food Chem. 2006, 94, 135–142. [Google Scholar] [CrossRef]
- Szajdek, A.; Borowska, E.J. Bioactive Compounds and Health-Promoting Properties of Berry Fruits: A Review. Plant Foods Hum. Nutr. 2008, 63, 147–156. [Google Scholar] [CrossRef]
- Benvenuti, S.; Pellati, F.; Melegari, M.; Bertelli, D. Polyphenols, anthocyanins, ascorbic acid, and radical scavenging activity of Rubus, Ribes, and Aronia. J. Food Sci. 2004, 69, FCT164–FCT169. [Google Scholar] [CrossRef]
- Häkkinen, S.H.; Törrönen, A.R. Content of flavonols and selected phenolic acids in strawberries and Vaccinium species: Influence of cultivar, cultivation site and technique. Food Res. Int. 2000, 33, 517–524. [Google Scholar] [CrossRef]
- Wang, S.Y.; Lin, H.S. Antioxidant Activity in Fruits and Leaves of Blackberry, Raspberry and Strawberry Varies with Cultivar and Developmental Stage. J. Agric. Food Chem. 2000, 48, 140–146. [Google Scholar] [CrossRef] [PubMed]
- Connor, A.M.; Luby, J.J.; Hancock, J.F.; Berkheimer, S.; Hanson, E.J. Changes in Fruit Antioxidant Activity among Blueberry Cultivars during Cold-Temperature Storage. J. Agric. Food Chem. 2002, 50, 893–898. [Google Scholar] [CrossRef] [PubMed]
- Hakala, M.; Lapveteläinen, A.; Huopalahti, R.; Kallio, H.; Tahvonen, R. Effects of varieties and cultivation conditions on the composition of strawberries. J. Food Compos. Anal. 2003, 16, 67–80. [Google Scholar] [CrossRef]
- Skupień, K.; Oszmiański, J. Comparison of six cultivars of strawberries (Fragaria × ananassa Duch.) grown in northwest Poland. Eur. Food Res. Technol. 2004, 219, 66–70. [Google Scholar] [CrossRef]
- Carr, A.C.; Frei, B. Toward a new recommended dietary allowance for vitamin C based on antioxidant and health effects in humans. Am. J. Clin. Nutr. 1999, 69, 1086–1107. [Google Scholar] [CrossRef] [PubMed]
- Englard, S.; Seifter, S. The biochemical functions of ascorbic acid. Annu. Rev. Nutr. 1986, 6, 365–406. [Google Scholar] [CrossRef]
- Pullar, J.M.; Carr, A.C.; Vissers, M.C.M. The Roles of Vitamin C in Skin Health. Nutrients 2017, 9, 866. [Google Scholar] [CrossRef]
- Li, H.-B.; Jiang, Y.; Wong, C.-C.; Cheng, K.-W.; Chen, F. Evaluation of two methods for the extraction of antioxidants from medicinal plants. Anal. Bioanal. Chem. 2007, 388, 483–488. [Google Scholar] [CrossRef]
- Association of Oficial Agricultural Chemists (AOAC). Official Methods of Analysis, 16th ed.; AOAC International: Washington, DC, USA, 1997. [Google Scholar]
- Maity, S.; Chatterjee, S.; Variyar, P.S.; Sharma, A.; Adhikari, S.; Mazumder, S. Evaluation of Antioxidant Activity and Characterization of Phenolic Constituents of Phyllanthus amarus Root. J. Agric. Food Chem. 2013, 61, 3443–3450. [Google Scholar] [CrossRef]
- Chai, W.-M.; Shi, Y.; Feng, H.-L.; Qiu, L.; Zhou, H.-C.; Deng, Z.-W.; Yan, C.-L.; Chen, Q.-X. NMR, HPLC-ESI-MS, and MALDI-TOF MS Analysis of Condensed Tannins from Delonix regia (Bojer ex Hook.) Raf. and Their Bioactivities. J. Agric. Food Chem. 2012, 60, 5013–5022. [Google Scholar] [CrossRef] [PubMed]
- López, A.; Javier, G.-A.; Fenoll, J.; Hellín, P.; Flores, P. Chemical composition and antioxidant capacity of lettuce: Comparative study of regular-sized (Romaine) and baby-sized (Little Gem and Mini Romaine) types. J. Food Compos. Anal. 2014, 33, 39–48. [Google Scholar] [CrossRef]
- Ahn, C.-B.; Shin, T.-S.; Seo, H.K.; Je, J.-Y. Phenolic composition and antioxidant effect of aqueous extract of Arisaema cum Bile, the Oriental Herb Medicine, in human fibroblast cells. Immunopharmacol. Immunotoxicol. 2012, 34, 661–666. [Google Scholar] [CrossRef] [PubMed]
- Sunmonu, T.O.; Afolayan, A.J. Evaluation of Polyphenolic Content and Antioxidant Activity of Artemisia afra Jacq. Ex Willd. Aqueous Extract. Pak. J. Nutr. 2012, 11, 618–623. [Google Scholar] [CrossRef][Green Version]
- Rodriguez, M.A.R.; Oderiz, M.L.V.; Lopez-Hernandez, J.; Lozano, J.S. Determination of Vitamin C and Organic Acids in Various Fruits by HPLC. J. Chromatogr. Sci. 1992, 30, 433–437. [Google Scholar] [CrossRef]
- Robitaille, L.; Hoffer, L.J. A simple method for plasma total vitamin C analysis suitable for routine clinical laboratory use. Nutr. J. 2015, 15, 40. [Google Scholar] [CrossRef]
- Luo, S.; Jiang, X.; Jia, L.; Tan, C.; Li, M.; Yang, Q.; Du, Y.; Ding, C. In Vivo and In Vitro Antioxidant Activities of Methanol Extracts from Olive Leaves on Caenorhabditis elegans. Molecules 2019, 24, 704. [Google Scholar] [CrossRef]
- Kim, S.J.; Han, D.; Moon, K.D.; Rhee, J.S. Measurement of Superoxide Dismutase-like Activity of Natural Antioxidants. Biosci. Biotechnol. Biochem. 1995, 59, 822–826. [Google Scholar] [CrossRef]
- Deepika, S.; Rajagopal, S.V. Evaluation of in vitro antioxidant activity of flowers of Blepharis Molluginifolia. IJPSR 2014, 5, 2225–2229. [Google Scholar] [CrossRef]
- Choi, J.M.; Hahm, E.; Park, K.; Jeong, D.; Rho, W.-Y.; Kim, J.; Jeong, D.H.; Lee, Y.-S.; Jhang, S.H.; Chung, H.J.; et al. SERS-Based Flavonoid Detection Using Ethylenediamine-β-Cyclodextrin as a Capturing Ligand. Nanomaterials 2017, 7, 8. [Google Scholar] [CrossRef]
- Fan, R.; Huang, X.; Wang, Y.; Chen, X.; Ren, P.; Ji, H.; Xie, Y.; Zhang, Y.; Huang, W.; Qiu, X.; et al. Ethnopharmacokinetic- and Activity-Guided Isolation of a New Antidepressive Compound from Fructus Aurantii Found in the Traditional Chinese Medicine Chaihu-Shugan-San: A New Approach and Its Application. Evid.-Based Complement. Altern. Med. 2012, 2012, 607584. [Google Scholar] [CrossRef] [PubMed]
- Kumar, S.; Pandey, A.K. Chemistry and Biological Activities of Flavonoids: An Overview. Sci. World J. 2013, 2013, 162750. [Google Scholar] [CrossRef] [PubMed]
- Paduraru, D.N.; Coman, F.; Ozon, E.A.; Gherghiceanu, F.; Andronic, O.; Ion, D.; Stanescu, M.; Bolocan, A. The use of nutritional supplement in romanian patients–attitudes and beliefs. Farmacia 2019, 67, 1060–1065. [Google Scholar] [CrossRef]
- Melendez-Martinez, A.J.; Vicario, I.M.; Heredia, F.J. Provitamin A carotenoids and ascorbic acid contents of the different types of orange juices marketed in Spain. Food Chem. 2007, 101, 177–184. [Google Scholar] [CrossRef]
- Yao, X.; Wang, Y.T.; Chen, G. Simultaneous determination of am aminothiols, ascorbic acid and uric acid in biological samples by capillary electrophoresis with electrochemical detection. Biomed. Chromatogr. 2007, 21, 520–526. [Google Scholar] [CrossRef]
- Costantino, L.; Albasini, A.; Rastelli, G.; Benvenuti, S. Activity of polyphenolic crude extracts as scavengers of superoxide radicals and inhibitors of xanthine oxidase. Planta Med. 1992, 58, 342–344. [Google Scholar] [CrossRef]
- Rotundo, A.; Bounous, G.; Benvenuti, S.; Vampa, G.; Melegari, M.; Soragni, F. Quality and yield of ribes and rubus cultivars grown in Southern Italy hilly locations. Phytother. Res. 1998, 12, S135–S137. [Google Scholar] [CrossRef]
- Ancos, B.; Gonzáles, E.M.; Cano, M.P. Ellagic acid, vitamin C, and total phenolic contents and radical scavenging capacity affected by freezing and frozen storage in raspberry fruit. J. Agric. Food Chem. 2000, 48, 4565–4570. [Google Scholar] [CrossRef]
- Moyer, R.A.; Hummer, K.E.; Finn, C.E.; Frei, B.; Wrolstad, R.E. Anthocyanins, phenolics, and antioxidant capacity in diverse small fruits: Vaccinium, Rubus, and Ribes. J. Agric. Food Chem. 2002, 50, 519–525. [Google Scholar] [CrossRef]
- Kalt, W.; Forney, C.F.; Martin, A.; Prior, R.L. Antioxidant capacity, vitamin C, phenolics, and anthocyanins after fresh storage of small fruits. J. Agric. Food Chem. 1999, 47, 4638–4644. [Google Scholar] [CrossRef]
- Wu, X.; Beecher, G.R.; Holden, J.M.; Haytowitz, D.B.; Gebhardt, S.E.; Prior, R.L. Concentrations of Anthocyanins in Common Foods in the United States and Estimation of Normal Consumption. J. Agric. Food Chem. 2006, 54, 4069–4075. [Google Scholar] [CrossRef] [PubMed]
- Padayatty, S.J.; Katz, A.; Wang, Y.; Eck, P.; Kwon, O.; Lee, J.H.; Chen, S.; Corpe, C.; Dutta, A.; Dutta, S.K.; et al. Vitamin C as an antioxidant: Evaluation of its role in disease prevention. J. Am. Coll. Nutr. 2003, 22, 18–35. [Google Scholar] [CrossRef] [PubMed]
- Angela, M.; Meireles, A. Extracting Bioactive Compounds for Food Products: Theory and Applications; CRC Press: London, UK, 2008. [Google Scholar]
- Peschel, W.; Dieckmann, W.; Sonnenschein, M.; Plescher, A. High antioxidant potential of pressing residues from evening primrose in comparison to other oilseed cakes and plant antioxidants. Ind. Crops Prod. 2007, 25, 44–54. [Google Scholar] [CrossRef]







| Sample | Dry Residue/g% | SOD Like/(U/mL) |
|---|---|---|
| Ribes nigri fructus | 17.5 | 1000 |
| Rubi idaei fructus | 2.2 | 1000 |
| Rubi fruticosi fructus | 2.44 | 120 |
| Fragariae moschatae fructus | 3.3 | 1000 |
| Phytocomplex | 5 | 120 |
| Reagents | Sample/mL | Blank/mL |
| Phosphate buffer 0.05 M pH 7.8 | 2.6 mL | 2.7 mL |
| TMED 0.78 M | 0.05 mL | 0.05 mL |
| AM 2 × 10−4 M | 0.05 mL | 0.05 mL |
| NBT 3 × 10−3 M | 0.2 mL | 0.2 mL |
| Vegetable extract | 0.1 mL | - |
| Extractive Solution | Flavone | Anthocyanins | Proanthocyanins | Tannin |
|---|---|---|---|---|
| Ribes nigri fructus | + | ++ | ++ | ++ |
| Rubi fruticosi fructus | + | + | ++ | + |
| Rubi idaei fructus | − | ++ | + | + |
| Fragariae moschatae fructus | − | + | + | + |
| Extractive Solution | Anthocyanins/(mg%) | Proanthocyanins/(LA‰/100 mL) |
|---|---|---|
| Ribes nigri fructus | 0.1760 ± 0.0031 | 0.0150 ± 0.0018 |
| Rubi fruticosi fructus | 0.1040 ± 0.0028 | 0.0720 ± 0.0023 |
| Rubi idaei fructus | 0.0733 ± 0.0015 | 0.0092 ± 0.0009 |
| Fragariae moschatae fructus | 0.0244 ± 0.0011 | 0.0100 ± 0.0012 |
| Sample | Number of Analyses | Ascorbic Acid after 60 Days (at Room Temperature) | RSD % (Relative Standard Deviation) | Ascorbic Acid after 60 Days (In Refrigerator) | ||
|---|---|---|---|---|---|---|
| mg/mL | % | mg/mL | % | |||
| Antioxidant phytocomplex | 10 | 13.66 | 96.60 | 1.18 | 13.85 | 95.47 |
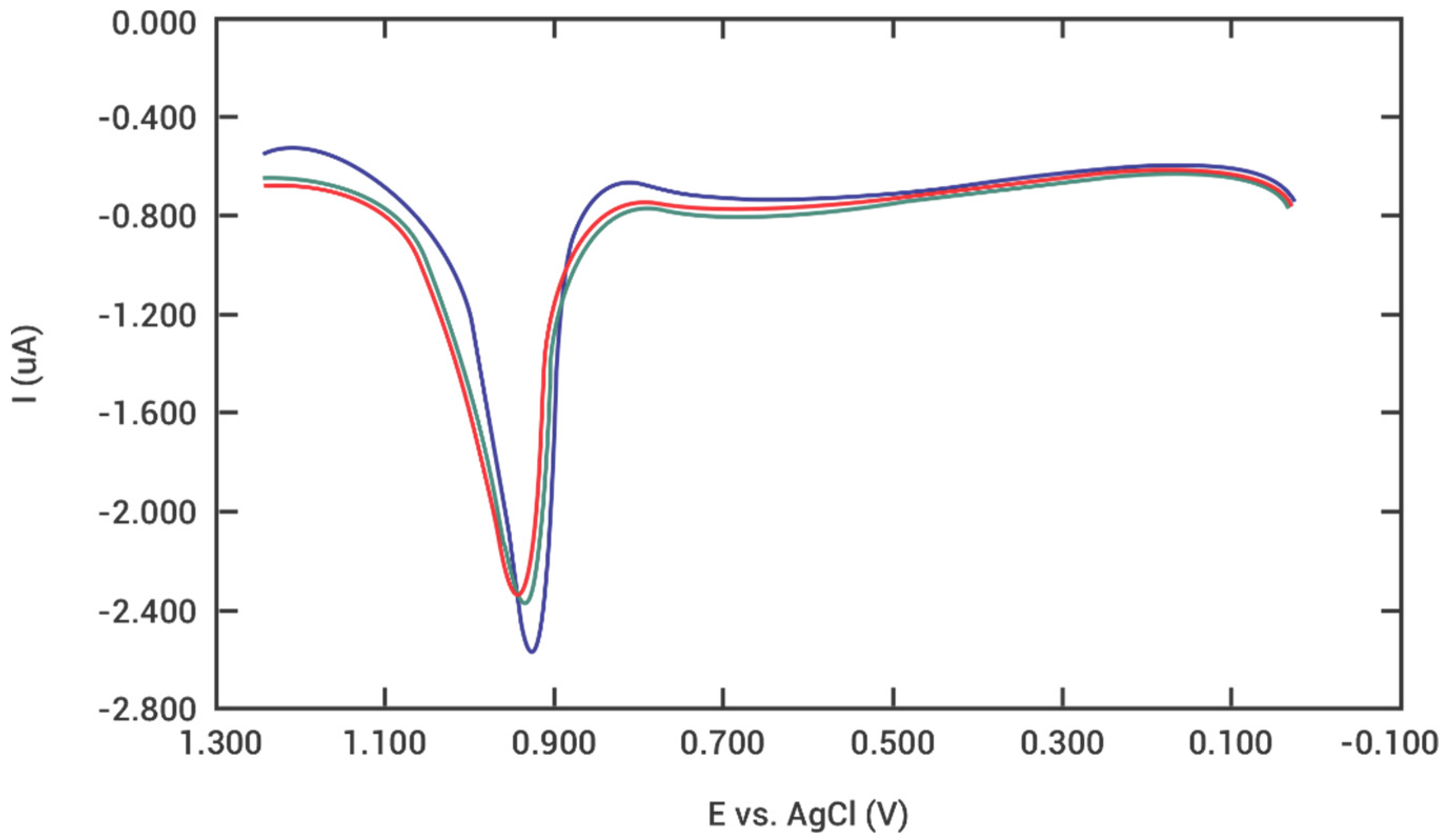
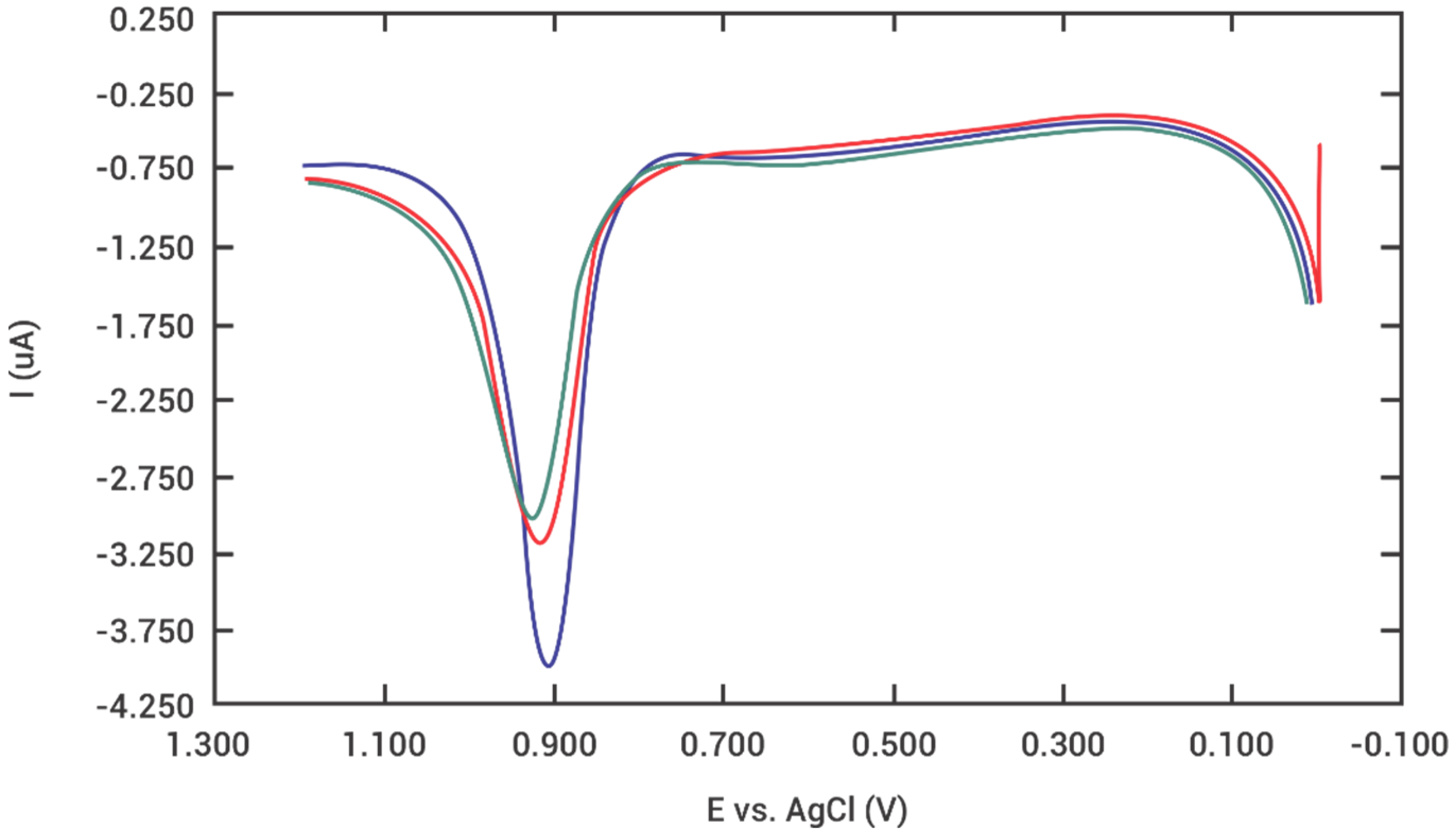
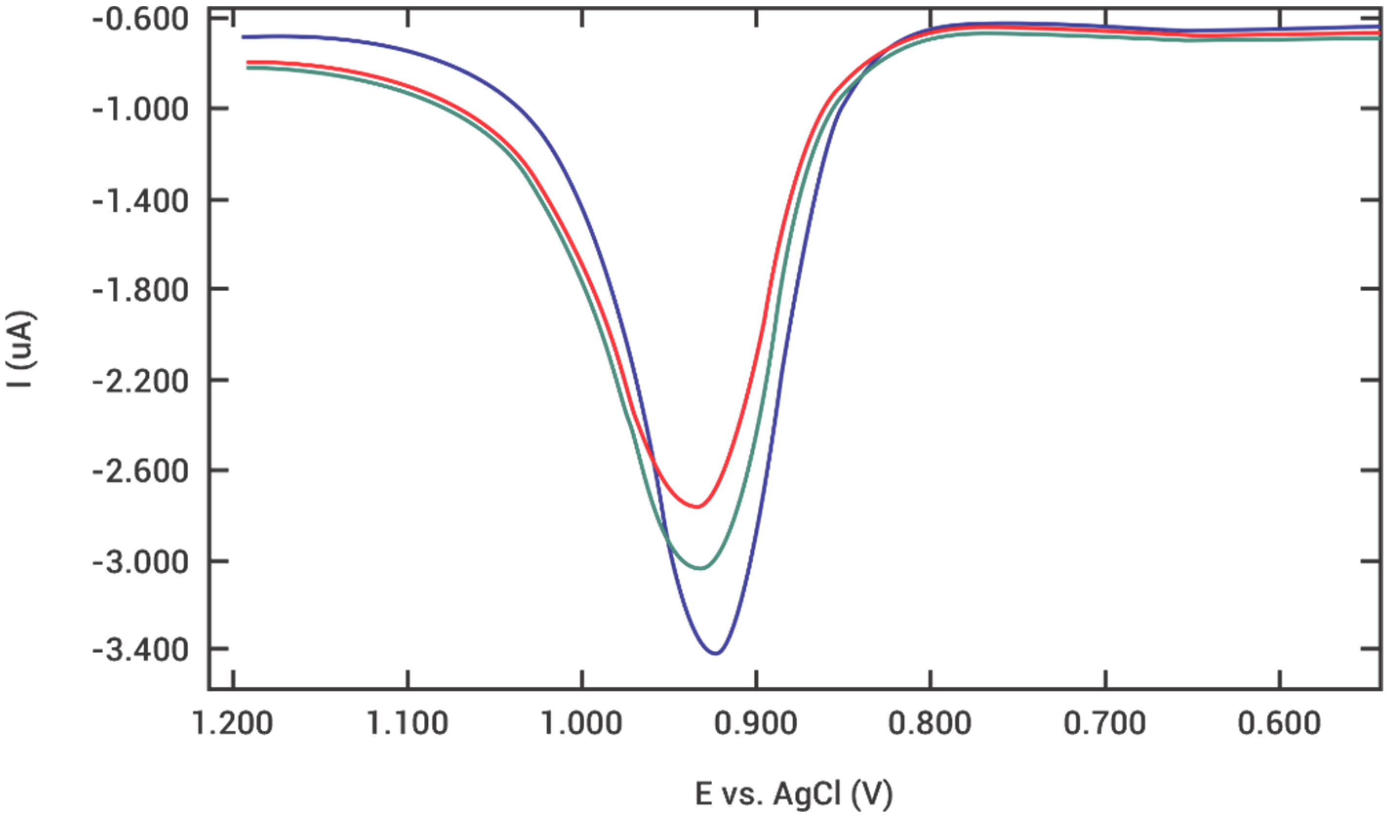
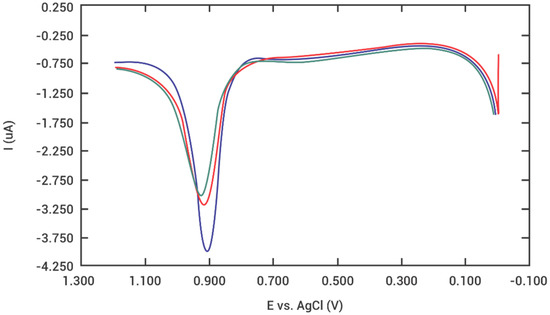
| Sample | Ip | AA% | v (s−1) |
|---|---|---|---|
| Ribes nigri fructus | 396.2 | 79.50 | 79.2 |
| Rubi fruticosi fructus | 1084 | 51.04 | 216.8 |
| Rubi idaei fructus | 287.7 | 83.8 | 57.6 |
| Fragariae moschatae fructus | 1272 | 40.54 | 254.4 |
| Phytocomplex | 2820 | 68.54 | 564.0 |
| Sample | IDPPH (mA) | Time (min) | Intensity |
|---|---|---|---|
| Ribes nigri fructus | 3.444 | t = 0 | 0.628 |
| 3.208 | t = 2 | 0.864 | |
| Rubi fruticosi fructus | 2.261 | t = 0 | 0.317 |
| 2.24 | t = 2 | 0.338 | |
| Rubi idaei fructus | 3.445 | t = 0 | 0.620 |
| 3.205 | t = 2 | 0.856 | |
| Fragariae moschatae fructus | 2.801 | t = 0 | 0.096 |
| 2.743 | t = 2 | 0.154 | |
| Phytocomplex | 2.338 | t = 0 | 0.437 |
| 2.064 | t = 2 | 0.711 |
| Sample | Dilutions | Dilutions | Dilutions |
|---|---|---|---|
| 1/10 | 1/100 | 1/1000 | |
| Ribes nigri fructus | 75 | 49 | 37 |
| Rubi fruticosi fructus | 91 | 48 | 37 |
| Rubi idaei fructus | 51 | 37 | 37 |
| Fragariae moschatae fructus | 100 | 49 | 43 |
| Antioxidant phytocomplex | 81 | 43 | 11 |
Publisher’s Note: MDPI stays neutral with regard to jurisdictional claims in published maps and institutional affiliations. |
© 2022 by the authors. Licensee MDPI, Basel, Switzerland. This article is an open access article distributed under the terms and conditions of the Creative Commons Attribution (CC BY) license (https://creativecommons.org/licenses/by/4.0/).
Share and Cite
Moroșan, E.; Secăreanu, A.A.; Musuc, A.M.; Mititelu, M.; Ioniță, A.C.; Ozon, E.A.; Dărăban, A.M.; Karampelas, O. Advances on the Antioxidant Activity of a Phytocomplex Product Containing Berry Extracts from Romanian Spontaneous Flora. Processes 2022, 10, 646. https://doi.org/10.3390/pr10040646
Moroșan E, Secăreanu AA, Musuc AM, Mititelu M, Ioniță AC, Ozon EA, Dărăban AM, Karampelas O. Advances on the Antioxidant Activity of a Phytocomplex Product Containing Berry Extracts from Romanian Spontaneous Flora. Processes. 2022; 10(4):646. https://doi.org/10.3390/pr10040646
Chicago/Turabian StyleMoroșan, Elena, Ana Andreea Secăreanu, Adina Magdalena Musuc, Magdalena Mititelu, Ana Corina Ioniță, Emma Adriana Ozon, Adriana Maria Dărăban, and Oana Karampelas. 2022. "Advances on the Antioxidant Activity of a Phytocomplex Product Containing Berry Extracts from Romanian Spontaneous Flora" Processes 10, no. 4: 646. https://doi.org/10.3390/pr10040646
APA StyleMoroșan, E., Secăreanu, A. A., Musuc, A. M., Mititelu, M., Ioniță, A. C., Ozon, E. A., Dărăban, A. M., & Karampelas, O. (2022). Advances on the Antioxidant Activity of a Phytocomplex Product Containing Berry Extracts from Romanian Spontaneous Flora. Processes, 10(4), 646. https://doi.org/10.3390/pr10040646

