Investigations of Middle-Caliber Anti-Aircraft Cannon Interior Ballistics including Heat Transfer Problem in Estimation of Critical Burst Length
Abstract
:1. Introduction
2. Experimental Investigations
2.1. Propellant Characteristics
2.2. Ballistics Characteristics
3. Numerical Simulations
3.1. Interior Ballistics Model
- Projectile trajectory equation:where vp is the projectile velocity, lp is its displacement, t stands for time.
- Projectile equation of motion [4]:where pp is the propellant gas pressure acting on the projectile base, pbr is the barrel resistance pressure, pair is the pressure of air compressed in front of the projectile, sp is the projectile cross-section area and mp is the projectile mass.
- Propellant gases generation rate equation (4).
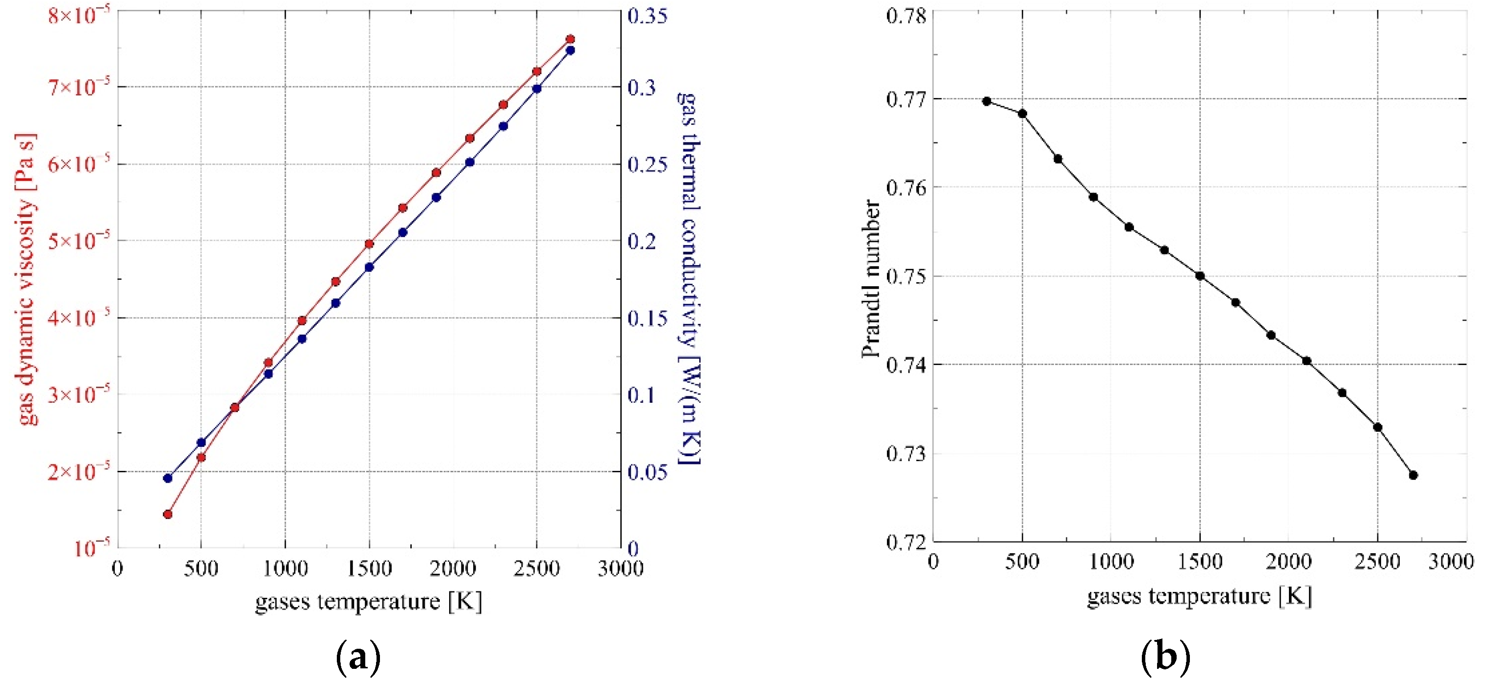
- Equation defining the gas temperature changes rate [14]:where Tg is the propellant gases temperature, ω is the propellant mass, qpow is the isochoric heat of combustion, cvg denotes the specific heat of propellant gases at constant volume, Wsum is the total work made by gases, ξ is the relative mass of outflowed gases, mair is the mass of air initially present in the case, cvair is the air specific heat at constant volume, Hout is the enthalpy of outflowing gases. Moreover, the following differential equations describing the enthalpy of outflowing gases were applied [14]:where cpg and cpair are the specific heat of the propellant gases and air at constant pressure, respectively. The rate of change of the total work made by gases was expressed by the following differential equation:where Ekin is the total kinetic energy of projectile and propellant-gas mixture, Wbr is the work done against barrel resistance, Wair is the work done against the pressure of air in front of the projectile, Wterm is the heat losses. The above-described change rates can be estimated by the following formulae [3,4,14]:where Ip is the projectile moment of inertia, η denotes the rifling twist, sint is the heat exchange surface, hterm is the heat transfer coefficient, Tbs is the barrel internal wall temperature. The heat transfer coefficient was estimated using the form of approximation available in the literature for pipe interior flows [15,16]:where x is the axial coordinate, db denotes barrel internal diameter, µgas is the dynamic viscosity coefficient of propellant gases, vgas is the propellant gases velocity.
- Equation of state in form (1). To include the influence of the multicomponent nature of the mixture, Dalton’s law was applied. In the case of air, the perfect gas equation of state was assumed (i.e., α = 0). The propellant gases density was estimated using the following relation [14]:
3.2. Projectile–Barrel Interaction Model
- fixed barrel inlet;
- gas pressure acting on the projectile bottom;
- all parts of the projectile tied;
- contact between the rotating band and the barrel imposed with a penalty-based formulation including erosion of the failed elements.
3.3. 3-Dimensional Heat Transfer Model
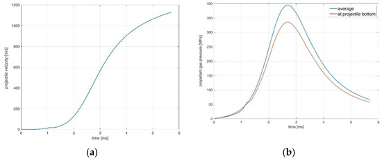
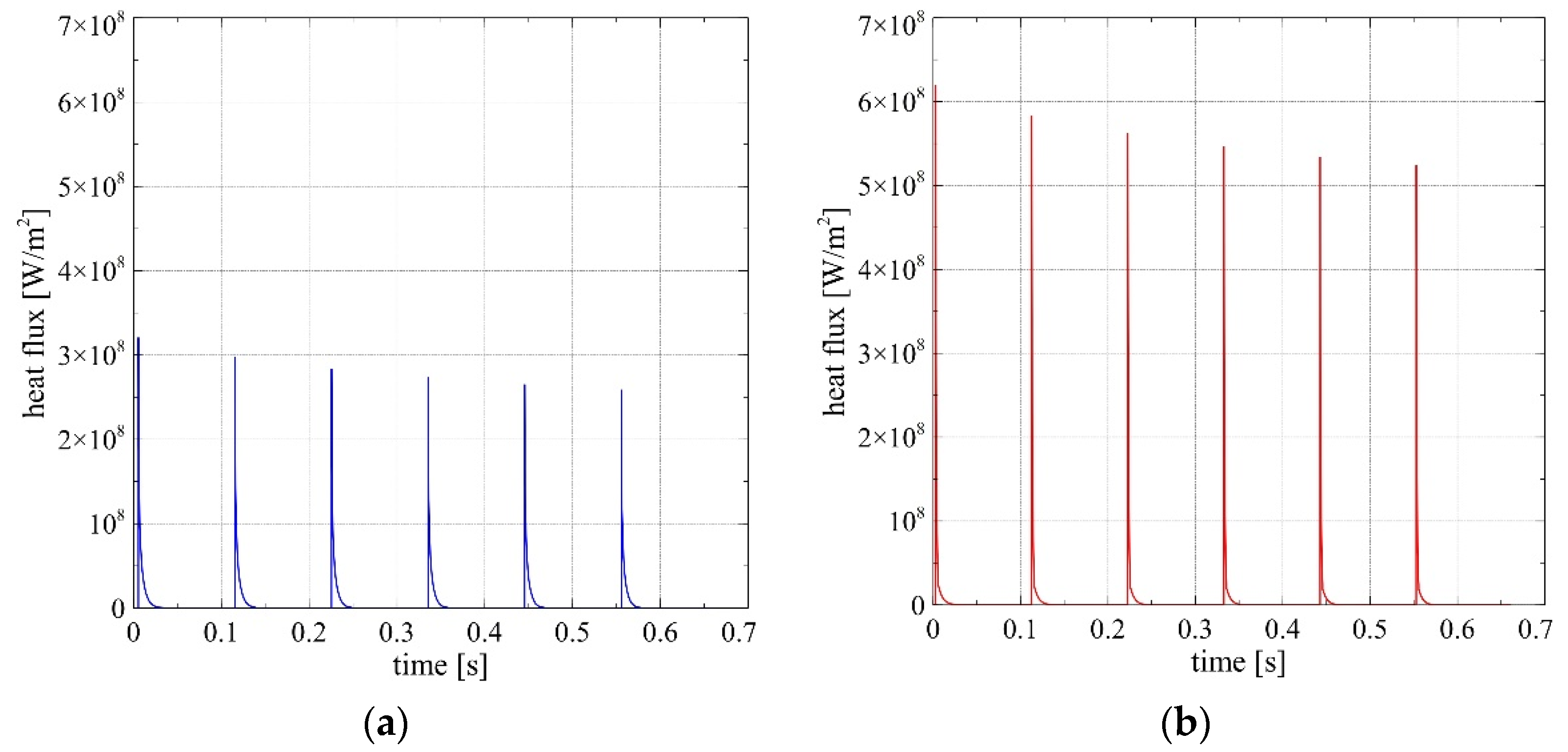
3.4. Model Parameters and Results of Numerical Simulations
4. Discussion
5. Conclusions
- data obtained directly from closed vessel tests enable modeling of the interior ballistics problems for artillery systems (due to relatively coarse propellant grains), providing sufficient accuracy of the theoretical results;
- as a novelty, we can conclude, that the applied iterative process of barrel resistance estimation and involving it in a numerical model (hybrid approach) seems to provide an acceptable force estimation without fully-coupled models;
- the theoretical estimation of barrel temperature increase (using simplified expressions defining heat flux between gases and barrel surface) provided acceptable discrepancy with the experimental data and can be recommended in similar analyses;
- heat transfer between the propellant gases and the barrel wall is one of the most important losses and it is necessary to include this effect in simulations of interior ballistics of artillery (even middle caliber) systems;
- the conducted analyses enabled estimation of the critical burst length, equal to ca. 14 shots, which agrees with the producer’s recommendations. In our opinion, the fire regime proposed by the producer should not be changed.
Author Contributions
Funding
Institutional Review Board Statement
Informed Consent Statement
Data Availability Statement
Acknowledgments
Conflicts of Interest
References
- Płatek, P.; Damaziak, K.; Małachowski, J.; Kupidura, P.; Woźniak, R.; Zahor, M. Numerical Study of Modular 5.56 mm Standard Assault Rifle Referring to Dynamic Characteristics. Def. Sci. J. 2015, 65, 431–437. [Google Scholar] [CrossRef] [Green Version]
- Surma, Z.; Szmit, Ł.; Torecki, S.; Woźniak, R. Mathematical Model of Gas Operated Weapon Jump. Probl. Mechatron. Armament Aviat. Saf. Eng. 2010, 2, 51–63. [Google Scholar]
- Serebryakov, M. Internal Ballistics; Oborongiz: Moscow, Russia, 1949. (In Russian) [Google Scholar]
- STANAG 4367 LAND (Edition 2); Thermodynamic Interior Ballistic Model with Global Parameters. Military Agency of Standardization: Brussels, Belgiu, 2000.
- Sheu, T.W.H.; Lee, S.M. Analysis of combustion processes in a gun interior ballistics. Int. J. Comput. Fluid Dyn. 1995, 4, 57–71. [Google Scholar] [CrossRef]
- Shen, C.; Zhou, K.-D.; Lu, Y.; Li, J.-S. Modeling and simulation of bullet-barrel interaction process for the damaged gun barrel. Def. Technol. 2019, 15, 972–986. [Google Scholar] [CrossRef]
- Liu, Q.; Wang, Y.; Zhao, N.; Guo, Y. Research on influence regular of bore structure diversification on band engraving resistance. In Proceedings of the 31st International Symposium on Ballistics, Hyderabad, India, 4–8 November 2019; Saraswat, V.K., Reddy, G.S., Woodley, C., Eds.; Destech Publications Inc.: Lancaster, PA, USA, 2019. [Google Scholar]
- Turczyńska, A. Numerical Investigations of Shell-Barrel Interaction Phenomenon for Selected Artillery Shell. Master Degree Thesis, Military University of Technology, Warsaw, Poland, 2021. (In Polish). [Google Scholar]
- Li, Z.; Ge, J.; Yang, G.; Tang, J. Modeling and dynamic simulation on engraving process of rotating band into rifled barrel using three different numerical methods. J. Vibroengineering 2016, 18, 768–780. [Google Scholar]
- Sun, Q.; Yang, G.; Ge, J. Modeling and simulation on engraving process of projectile rotating band under different charge cases. J. Vib. Control 2017, 23, 1044–1054. [Google Scholar] [CrossRef]
- Fikus, B.; Płatek, P.; Surma, Z.; Sarzyński, M.; Trębiński, R. Preliminary numerical and experimental investigations of 9 mm pistol bullet and barrel interaction. In Proceedings of the 31st International Symposium on Ballistics, Hyderabad, India, 4–8 November 2019; Saraswat, V.K., Reddy, G.S., Woodley, C., Eds.; Destech Publications Inc.: Lancaster, PA, USA, 2019. [Google Scholar]
- Trębiński, R.; Fikus, B.; Surma, Z. Investigations of Ballistic Characteristics of N340 Propellant. Probl. Mechatronics. Armament Aviat. Saf. Eng. 2017, 8, 9–22. [Google Scholar] [CrossRef]
- Trębiński, R.; Leciejewski, Z.; Surma, Z.; Fikus, B. Some Considerations on the Methods of Analysis of Closed Vessel Test Data. In Proceedings of the 29th International Symposium on Ballistics, Edinburgh, UK, 9–13 May 2016; Woodley, C., Cullis, I., Eds.; Destech Publications Inc.: Lancaster, PA, USA, 2016. [Google Scholar]
- Fikus, B.; Surma, Z.; Trębiński, R. Preliminary Application Correctness Assessment of Physical Burning Law in Interior Ballistics Phenomena Modeling in Small-Caliber Guns. In Proceedings of the 31st International Symposium on Ballistics, Hyderabad, India, 4–8 November 2019; Saraswat, V.K., Reddy, G.S., Woodley, C., Eds.; Destech Publications Inc.: Lancaster, PA, USA, 2019. [Google Scholar]
- Łazowski, J.; Małachowski, J.; Kamiński, R. FE analysis of thermal loads during a shot. Bull. MUT 2008, 57, 215–228. (In Polish) [Google Scholar]
- Torecki, S.; Leciejewski, Z.; Surma, Z. Calculation of the barrel temperature of a 35 mm remotely controlled anti-aircraft system for the adopted firing cycle. Prob. Arm. Technol. 2011, 118. (In Polish) [Google Scholar]
- Surma, Z. Calculations of gun propellants parameters (in Polish). Bull. MUT 2006, 55, 171–179. [Google Scholar]
- Fikus, B.; Surma, Z.; Leciejewski, Z.; Trębiński, R. Influence of Relations Defining Propellant Gases—Barrel Heat Transfer on Critical Burst Length of 35 mm Anti-Aircraft Cannon. In Proceedings of the 32nd Symposium on Ballistics, Reno, NV, USA, 9–14 May 2022. [Google Scholar]
- Johnson, G.R.; Cook, W.H. An constitutive model and data for metals subjected to large strains, high strain rates and high temperatures. In Proceedings of the 7th International Symposium on Ballistics, The Hague, The Netherlands, 19–21 April 1983. [Google Scholar]
- 35 × 228 mm TP-T Projectile Datasheet. Available online: https://www.mesko.com.pl/medium-caliber-ammunition/35-x-228-mm-en/35x228-tp-t-en.html (accessed on 8 April 2021).
- Johnson, G.R.; Cook, W.H. Fracture characteristics of three metals subjected to various strains, strain rates, temperatures and pressures. Eng. Frac. Mech. 1985, 21, 31–48. [Google Scholar] [CrossRef]
- Dębski, A.; Koniorczyk, P.; Leciejewski, Z.; Preiskorn, M.; Surma, Z.; Zmywaczyk, J. Analysis of Heat Transfer in a 35 mm Barrel of an Anti-Aircraft Cannon. Probl. Mechatron. Armament Aviat. Saf. Eng. 2016, 7, 71–86. [Google Scholar] [CrossRef]
- Dębski, A.; Koniorczyk, P.; Leciejewski, Z.; Preiskorn, M.; Surma, Z.; Zmywaczyk, J. Heat Transfer Calculations in Barrel Cover of 35 mm Naval Armament System Gun. Probl. Mechatron. Armament Aviat. Saf. Eng. 2018, 9, 57–74. [Google Scholar]
- Hallquist, J.O. LS-Dyna. Theoretical Manual; Livermore Software Technology Corporation: Livermore, CA, USA, 2006. [Google Scholar]
- Steinberg, D.J. LLNL Report no UCRL-MA-106439—Equation of State and Strength Properties of Selected Materials; LLNL: San Francisco, CA, USA, 1996. [Google Scholar]
- Basic Material Properties. Available online: https://www.engineeringtoolbox.com/material-properties-t_24.html (accessed on 8 April 2021).
- Steel Material Properties Provided by Producer. Available online: https://files.abrams-industries.com/steel/en_eu/1.2365.pdf (accessed on 8 April 2021).
- Mishra, A.; Hameed, A.; Lawton, B. A Novel Scheme for Computing Gun Barrel Temperature History and Its Experimental Validation. J. Press. Vessel Technol. 2010, 132, 061202. [Google Scholar] [CrossRef]
- Trębiński, R.; Czyżewska, M. Estimation of the Increase in Projectile Velocity in the Intermediate Ballistics Period. Cent. Eur. J. Energetic Mater. 2015, 12, 63–76. [Google Scholar]
- Yong-hai, W. Analysis of the Temperature Field of a Gun Tube Based on Thermal-Solid Coupling. Res. J. Appl. Sci. 2013, 16, 4110–4117. [Google Scholar] [CrossRef]
- Conroy, P.J.; Bundy, M.L.; Kennedy, J.L. ARL Report no ARL-TR-770—Simulated and Experimental In-Wall Temperatures for 120-mm Ammunition; U.S. Army Research Laboratory: Aberdeen Proving Ground, MD, USA, 1995. [Google Scholar]
- Wang, W.; Liu, B.; Kodur, V. Effect of Temperature on Strength and Elastic Modulus of High-Strength Steel. J. Mater. Civ. Eng. 2013, 25, 174–182. [Google Scholar] [CrossRef]





















| Parameter | Value |
|---|---|
| Grain type | single-perforated |
| External diameter [mm] | 2 |
| Perforation diameter [mm] | 0.15 |
| Grain length [mm] | 2.8 |
| Web thickness [mm] | 0.925 |
| Parameter | Value |
|---|---|
| (E) f = RgTg0 [kJ/kg] | 826 |
| (Q) f = RgTg0 [kJ/kg] | 895 |
| (E) α, [dm3/kg] | 1.366 |
| (Q) α, [dm3/kg] | 1.153 |
| No. of Shots | Value of Projectile Velocity [m/s] | |
|---|---|---|
| High Speed Camera | Doppler Radar * | |
| 1 | 1172 | 1175 |
| 2 | 1170 | 1170 |
| 3 | 1175 | 1180 |
| 4 | 1170 | 1178 |
| 5 | 1174 | 1171 |
| 6 | 1173 | 1182 |
| 7 | 1162 | 1160 |
| average | 1170.9 | 1173.7 |
| standard deviation | 4.34 | 7.50 |
| max–min | 13 | 22 |
| No. of Shots in Burst | Value of Temperature [deg. C] | Temperature Increase [deg. C] | |
|---|---|---|---|
| Before Burst | After Burst | ||
| 6 | 20.4 | 58.0 | 37.6 |
| 6 | 29.3 | 78.9 | 49.6 |
| 6 | 60.4 | 101.4 | 41.0 |
| average temperature increase for burst | 42.7 | ||
| max–min | 12.0 | ||
| Compound | Mass Fraction [%] | Molar Fraction [%] |
|---|---|---|
| CO2 | 17.4 | 9.4 |
| CO | 53.0 | 44.9 |
| H2O | 15.8 | 20.8 |
| H2 | 1.2 | 14.2 |
| N2 | 12.6 | 10.7 |
| Parameter | Value |
|---|---|
| Barrel caliber [mm] | 35 |
| Barrel length [mm] | 3150 |
| Rifling twist [deg] | linearly variable from 0 to 6.5 |
| Projectile mass [g] | ~550 |
| Projectile muzzle velocity obtained using ballistic barrel [m/s] | 1180 ± 15 |
| Average maximum gas pressure estimated based on series of shots [MPa] | ≤420 |
| Parameter | Value | ||
|---|---|---|---|
| Material | OFHC Copper | Steel | Aluminum Alloy |
| Material density [kg/m3] | 8960 | 7850 | 2710 |
| Young’s modulus [GPa] | 124 | 210 | 69 |
| Poisson’s ratio | 0.34 | 0.30 | 0.30 |
| Specific heat [J/(kg∙K)] | 383 | ||
| Shear modulus [GPa] | 45 | ||
| Yield strength [MPa] | 830 | ||
| Melting temperature [K] | 1356 | ||
| Initial (room) temperature [K] | 300 | ||
| Constant A [MPa] | 90 | ||
| Constant B [MPa] | 292 | ||
| Constant C [-] | 0.025 | ||
| Exponent n [-] | 0.31 | ||
| Exponent m [-] | 1.09 | ||
| Reference strain rate [s−1] | 1 | ||
| Parameter | D1 | D2 | D3 | D4 | D5 |
| Value [-] | 0.540 | 4.889 | −3.030 | 0.014 | 1.120 |
| Parameter | Value |
|---|---|
| Initial chamber volume W0 [dm3] | 0.360 |
| Projectile displacement to the muzzle lm [mm] | 2930 |
| Projectile mass mp [kg] | 0.550 |
| Propellant mass ω [kg] | 0.345 |
| Propellant “force” f [kJ/kg] | 895 |
| Co-volume coefficient α [dm3/kg] | 1.153 |
| Burning law exponent n [-] | 0.961 |
| Propellant gases specific heat ratio γg [-] | 1.2 |
| Propellant heat of combustion qpow [MJ/kg] | 4.48 |
| Propellant density δ [kg/m3] | 1550 |
| Gas constant of propellant gases Rg [J/kg∙K] | 350 |
| Gas constant of air Rair [J/kg∙K] | 287 |
| Isochoric specific heat of propellant gases cvg [J/kg∙K] | 1750 |
| Isochoric specific heat of air cv air [J/kg∙K] | 750 |
| Primer pressure pign [MPa] | 7 |
| Parameter | Value |
|---|---|
| Material density [kg/m3] | 7850 |
| Thermal conductivity [W/(m∙K)] | 19 + 0.014(T-293) |
| Hardening temperature [K] | 1200–1250 |
| Tempering temperature [K] | 800–930 |
Publisher’s Note: MDPI stays neutral with regard to jurisdictional claims in published maps and institutional affiliations. |
© 2022 by the authors. Licensee MDPI, Basel, Switzerland. This article is an open access article distributed under the terms and conditions of the Creative Commons Attribution (CC BY) license (https://creativecommons.org/licenses/by/4.0/).
Share and Cite
Fikus, B.; Dorochowicz, A.; Surma, Z.; Kijewski, J.; Leciejewski, Z.; Michalski, J.; Trębiński, R. Investigations of Middle-Caliber Anti-Aircraft Cannon Interior Ballistics including Heat Transfer Problem in Estimation of Critical Burst Length. Processes 2022, 10, 607. https://doi.org/10.3390/pr10030607
Fikus B, Dorochowicz A, Surma Z, Kijewski J, Leciejewski Z, Michalski J, Trębiński R. Investigations of Middle-Caliber Anti-Aircraft Cannon Interior Ballistics including Heat Transfer Problem in Estimation of Critical Burst Length. Processes. 2022; 10(3):607. https://doi.org/10.3390/pr10030607
Chicago/Turabian StyleFikus, Bartosz, Alicja Dorochowicz, Zbigniew Surma, Jacek Kijewski, Zbigniew Leciejewski, Jakub Michalski, and Radosław Trębiński. 2022. "Investigations of Middle-Caliber Anti-Aircraft Cannon Interior Ballistics including Heat Transfer Problem in Estimation of Critical Burst Length" Processes 10, no. 3: 607. https://doi.org/10.3390/pr10030607
APA StyleFikus, B., Dorochowicz, A., Surma, Z., Kijewski, J., Leciejewski, Z., Michalski, J., & Trębiński, R. (2022). Investigations of Middle-Caliber Anti-Aircraft Cannon Interior Ballistics including Heat Transfer Problem in Estimation of Critical Burst Length. Processes, 10(3), 607. https://doi.org/10.3390/pr10030607

