Modeling and Optimization of Heavy Metals Biosorption by Low-Cost Sorbents Using Response Surface Methodology
Abstract
:1. Introduction
2. Materials and Methods
2.1. Experimental Context
2.2. Preparation and Characterization of Biosorbents
- X-ray dispersive spectrometry (EDX)—with an EDAX-TSL 32 spectrometer—which allows the determination of the elemental composition of the analyzed material. The samples were prepared and analyzed according to the protocol described in [57].
- IR spectrometry—with a Bio-Rad Spectrometer with Fourier transform—which revealed the main types of functional groups that were found on the surface of each biosorbent used. For sample preparation, a small quantity of finely powdered solid sample was mixed with 100 times its weight of KBr and compressed into a thin transparent tablet using a hydraulic press. These tablets are transparent to IR radiation, and they were used for analysis.
- Scanning Electronic Microscopy (SEM) (performed using an S-3000 N HITACHI microscope with 15 UV). Microscopic images were recorded in low vacuum conditions, with several orders of magnitude, and their analysis allows the appreciation of the roughness of the material surface adsorbent. The samples were prepared and analyzed following the procedure described in [58,59].
2.3. Preparation and Analysis of the Studied Metal Ions
2.4. Experimental Methodology Used for Batch Biosorption Studies
2.5. Establishing the Experimental Conditions and Parameter Variation Ranges
2.5.1. pH
2.5.2. Dose of Biosorbent
2.5.3. Initial Concentration of Metal Ions
2.5.4. Contact Time
2.5.5. Temperature
- Biosorption capacity, q(mg/g), which represents the amount of metal ion retained per unit mass of biosorbent under given experimental conditions, and which is calculated using Equation (1).
- Biosorption efficiency, R(%), which represents the percentage of metal ion retained in the biosorption process, and which is given by Equation (2).
3. Application of Response Surface Methodology for Modeling and Optimization of the Biosorption Process Using Natural Soy-Based Biosorbents
3.1. Preliminary Assessment of Variation Intervals for Independent Variables
3.2. Experiments Design
4. Results and Discussions
4.1. Characterization of Biosorbents
4.2. Influence of Process Parameters on Biosorption Efficiency
4.2.1. Initial pH of the Solution Containing Heavy Metal Ions
4.2.2. Dose of Biosorbent
4.2.3. Initial Concentration of Metal Ions
4.2.4. Contact Time
4.2.5. Temperature
4.3. Modeling and Optimization of Biosorption Process by Response Surface Methodology
4.3.1. Model Development and Validation
4.3.2. ANOVA Analysis
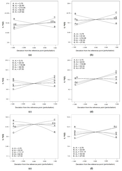
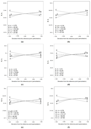
4.3.3. Sensitivity Analysis
4.3.4. Analysis of Response Surfaces and Optimization of the Biosorption Process
- The optimization of the Pb(II) biosorption process using soybean biomass as the biosorbent when considering two constraints, the minimum dose of biosorbent and the maximum Pb(II) concentration in the initial solution (the other parameters taking appropriate values in the experimental field), will result in a 49% decrease in the sorbent dose, a 120% increase in the initial concentration of the metal ions in the solution, and a 40% decrease in the operating temperature. However, the maximum separation efficiency will decrease by about 26%.
- The optimization of the Pb(II) biosorption process using soybean waste biomass as a biomass, considering the two constraints presented above, will result in a decrease in the required amount of sorbent and an increase in the initial concentration of the ion in the solution, as in the case of Pb(II) biosorption on soybean biomass. The maximum separation efficiency will also decrease by 26%.
- The optimization of the Cd(II) biosorption process on soybean biomass when considering two constraints, the minimum dose of biosorbent and the maximum Cd(II) concentration in the initial solution (the other parameters taking appropriate values in the experimental field), results in a decrease in the required amount of sorbent by 49%, increase the initial ion concentration by almost 119%, and also the operating temperature by almost 89%. Under these conditions, the maximum biosorption efficiency decreases by almost 26%.
- A similar situation is obtained in the case of Cd(II) biosorption on soybean waste biomass, in which case, for the two constraints imposed on those in Table 10, the efficiency of Cd(II) biosorption decreases by almost 22%.
- The optimization of the Zn(II) biosorption process on soybean biomass, when imposing the constraints of minimum sorbent dose and maximum Zn(II) concentration in the initial solution (similar to the previous situations), results in reducing the sorbent dose by almost 47%, an increase in the initial concentration of the metal ions in solution by about 116%, and also an increase in the operating temperature by almost 40%, as well as the reduction of the maximum value of the biosorption efficiency by almost 28%.
- The optimization of the Zn(II) biosorption process on soybean waste biomass under the abovementioned constraints results in a reduction of the biosorbent dose by almost 44%, an increase in the initial concentration of Zn(II) in the initial solution by 118%, and a decrease in the operating temperature by nearly 43%.
5. Conclusions
Supplementary Materials
Author Contributions
Funding
Institutional Review Board Statement
Informed Consent Statement
Data Availability Statement
Conflicts of Interest
References
- Minelgaitė, A.; Liobikienė, G. Waste problem in European Union and its influence on waste management behaviours. Sci. Total Environ. 2019, 667, 86–93. [Google Scholar] [CrossRef] [PubMed]
- Cappellaro, F.; Fantin, V.; Barberio, G.; Cutaia, L. Circular economy good practices supporting waste prevention: The case of Emilia-Romagna region. Environ. Eng. Manag. J. 2020, 19, 1701–1710. [Google Scholar] [CrossRef]
- Ewijk, S.; Stegemann, J.A. Recognising waste use potential to achieve a circular economy. Waste Manag. 2020, 105, 1–7. [Google Scholar] [CrossRef]
- Ma, B.; Li, X.; Jiang, Z.; Jiang, J. Recycle more, waste more? When recycling efforts increase resource consumption. J. Clean. Prod. 2018, 206, 870–877. [Google Scholar] [CrossRef]
- Gavrilescu, M.; Fortuna, M.E.; Simion, I.M.; Ghinea, C.; Petraru, M.; Cozma, P.; Apostol, L.C.; Hlihor, R.M.; Fertu, D.T. Analysis and management of specific processes from environmental engineering and protection based on sustainability indicators. Environ. Eng. Manag. J. 2012, 11, 333–350. [Google Scholar] [CrossRef]
- Bian, Y.; Song, K.; Bai, J. Market segmentation, resource misallocation and environmental pollution. J. Clean. Prod. 2019, 228, 376–387. [Google Scholar] [CrossRef]
- Premarathna, K.; Rajapaksha, A.U.; Sarkar, B.; Kwon, E.E.; Bhatnagar, A.; Ok, Y.S.; Vithanage, M. Biochar-based engineered composites for sorptive decontamination of water: A review. Chem. Eng. J. 2019, 372, 536–550. [Google Scholar] [CrossRef]
- Dai, Y.; Sun, Q.; Wang, W.; Lu, L.; Liu, M.; Li, J.; Yang, S.; Sun, Y.; Zhang, K.; Xu, J.; et al. Utilizations of agricultural waste as adsorbent for the removal of contaminants: A review. Chemosphere 2018, 211, 235–253. [Google Scholar] [CrossRef]
- Filote, C.; Roșca, M.; Hlihor, R.M.; Cozma, P.; Simion, I.M.; Apostol, M.; Gavrilescu, M. Sustainable Application of Biosorption and Bioaccumulation of Persistent Pollutants in Wastewater Treatment: Current Practice. Processes 2021, 9, 1696. [Google Scholar] [CrossRef]
- Vareda, J.P.; Valente, A.J.M.; Durães, L. Assessment of heavy metal pollution from anthropogenic activities and remediation strategies: A review. J. Environ. Manag. 2019, 246, 101–118. [Google Scholar] [CrossRef]
- Zhang, L.; Zhu, G.; Ge, X.; Xu, G.; Guan, Y. Novel insights into heavy metal pollution of farmland based on reactive heavy metals (RHMs): Pollution characteristics, predictive models, and quantitative source apportionment. J. Hazard. Mater. 2018, 360, 32–42. [Google Scholar] [CrossRef] [PubMed]
- Jacob, J.M.; Karthik, C.; Saratale, R.G.; Kumar, S.S.; Prabakar, D.; Kadirvelu, K.; Pugazhendhi, A. Biological approaches to tackle heavy metal pollution: A survey of literature. J. Environ. Manag. 2018, 217, 56–70. [Google Scholar] [CrossRef] [PubMed]
- Zhang, L.; Zhao, B.; Xu, G.; Guan, Y. Characterizing fluvial heavy metal pollutions under different rainfall conditions: Implication for aquatic environment protection. Sci. Total Environ. 2018, 635, 1495–1506. [Google Scholar] [CrossRef] [PubMed]
- EL Hammoudani, Y.; Dimane, F.; El Ouarghi, H. Removal efficiency of heavy metals by a biological wastewater treatment plant and their potential risks to human health. Environ. Eng. Manag. J. 2021, 20, 995–1002. [Google Scholar] [CrossRef]
- Gavrilescu, M. Microbial recovery of critical metals from secondary sources. Bioresour. Technol. 2021, 344, 126208. [Google Scholar] [CrossRef]
- Nakagawa, K.; Imura, T.; Berndtsson, R. Distribution of heavy metals and related health risks through soil ingestion in rural areas of western Japan. Chemosphere 2021, 290, 133316. [Google Scholar] [CrossRef] [PubMed]
- Hu, G.; Bakhtavar, E.; Hewage, K.; Mohseni, M.; Sadiq, R. Heavy metals risk assessment in drinking water: An integrated probabilistic-fuzzy approach. J. Environ. Manag. 2019, 250, 109514. [Google Scholar] [CrossRef]
- Ahluwalia, S.S.; Goyal, D. Microbial and plant derived biomass for removal of heavy metal from wastewater. Bioresour. Technol. 2007, 98, 2243–2257. [Google Scholar] [CrossRef]
- Povar, I.; Zinicovscaia, I.; Ubaldini, S.; Spinu, O.; Pintilie, B.; Lupascu, T.; Duca, G. Thermodynamic analysis of heavy metals precipitation for their recovery from industrial wastewaters. Environ. Eng. Manag. J. 2020, 19, 281–288. [Google Scholar] [CrossRef]
- Rebello, S.; Sivaprasad, M.; Anoopkumar, A.; Jayakrishnan, L.; Aneesh, E.M.; Narisetty, V.; Sindhu, R.; Binod, P.; Pugazhendhi, A.; Pandey, A. Cleaner technologies to combat heavy metal toxicity. J. Environ. Manag. 2021, 296, 113231. [Google Scholar] [CrossRef]
- Thasneema, K.; Dipin, T.; Thayyil, M.S.; Sahu, P.K.; Messali, M.; Rosalin, T.; Elyas, K.; Saharuba, P.; Anjitha, T.; Ben Hadda, T. Removal of toxic heavy metals, phenolic compounds and textile dyes from industrial waste water using phosphonium based ionic liquids. J. Mol. Liq. 2020, 323, 114645. [Google Scholar] [CrossRef]
- Choumane, R.; Peulon, S. Development of an efficient electrochemical process for removing and separating soluble Pb(II) in aqueous solutions in presence of other heavy metals: Studies of key parameters. Chem. Eng. J. 2021, 423, 130161. [Google Scholar] [CrossRef]
- Daąbrowski, A.; Hubicki, Z.; Podkoscielny, P.; Robens, E. Selective removal of the heavy metal ions from waters and industrial wastewaters by ion-exchange method. Chemosphere 2004, 56, 91–106. [Google Scholar] [CrossRef] [PubMed]
- Rajivgandhi, G.; Gnanamangai, B.M.; Ramachandran, G.; Chackaravarthy, G.; Chelliah, C.K.; Maruthupandy, M.; Alharbi, N.S.; Kadaikunnan, S.; Li, W.-J. Effective removal of heavy metals in industrial wastewater with novel bioactive catalyst enabling hybrid approach. Environ. Res. 2021, 204, 112337. [Google Scholar] [CrossRef] [PubMed]
- Bilal, M.; Ihsanullah, I.; Younas, M.; Shah, M.U.H. Recent advances in applications of low-cost adsorbents for the removal of heavy metals from water: A critical review. Sep. Purif. Technol. 2021, 278, 119510. [Google Scholar] [CrossRef]
- Shrestha, R.; Ban, S.; Devkota, S.; Sharma, S.; Joshi, R.; Tiwari, A.P.; Kim, H.Y.; Joshi, M.K. Technological trends in heavy metals removal from industrial wastewater: A review. J. Environ. Chem. Eng. 2021, 9, 105688. [Google Scholar] [CrossRef]
- Bhatnagar, A.; Sillanpää, M. Utilization of agro-industrial and municipal waste materials as potential adsorbents for water treatment—A review. Chem. Eng. J. 2010, 157, 277–296. [Google Scholar] [CrossRef]
- Tudorache, D.I.F.; Gavrilescu, M. Application of natural zeolites as sorbents in the clean-up of aqueous streams. Environ. Eng. Manag. J. 2012, 11, 867–878. [Google Scholar]
- Gautam, R.K.; Mudhoo, A.; Lofrano, G.; Chattopadhyaya, M.C. Biomass-derived biosorbents for metal ions sequestration: Adsorbent modification and activation methods and adsorbent regeneration. J. Environ. Chem. Eng. 2014, 2, 239–259. [Google Scholar] [CrossRef]
- Zhou, Z.; Sun, Y.; Wang, Y.; Yu, F.; Ma, J. Adsorption behavior of Cu(II) and Cr(VI) on aged microplastics in antibiotics-heavy metals coexisting system. Chemosphere 2021, 291, 132794. [Google Scholar] [CrossRef]
- Apostol, L.C.; Gavrilescu, M. Application of natural materials as sorbents for persistent organic pollutants. Environ. Eng. Manag. J. 2009, 8, 243–252. [Google Scholar] [CrossRef]
- Shahrokhi-Shahraki, R.; Benally, C.; El-Din, M.G.; Park, J. High efficiency removal of heavy metals using tire-derived activated carbon vs commercial activated carbon: Insights into the adsorption mechanisms. Chemosphere 2020, 264, 128455. [Google Scholar] [CrossRef] [PubMed]
- Cao, F.; Lian, C.; Yu, J.; Yang, H.; Lin, S. Study on the adsorption performance and competitive mechanism for heavy metal contaminants removal using novel multi-pore activated carbons derived from recyclable long-root Eichhornia crassipes. Bioresour. Technol. 2019, 276, 211–218. [Google Scholar] [CrossRef]
- Ali, I.; Asim, M.; Khan, T.A. Low cost adsorbents for the removal of organic pollutants from wastewater. J. Environ. Manag. 2012, 113, 170–183. [Google Scholar] [CrossRef] [PubMed]
- De Gisi, S.; Lofrano, G.; Grassi, M.; Notarnicola, M. Characteristics and adsorption capacities of low-cost sorbents for wastewater treatment: A review. Sustain. Mater. Technol. 2016, 9, 10–40. [Google Scholar] [CrossRef] [Green Version]
- Esfandiar, N.; Suri, R.; McKenzie, E.R. Competitive sorption of Cd, Cr, Cu, Ni, Pb and Zn from stormwater runoff by five low-cost sorbents; Effects of co-contaminants, humic acid, salinity and pH. J. Hazard. Mater. 2021, 423, 126938. [Google Scholar] [CrossRef] [PubMed]
- Godage, N.H.; Gionfriddo, E. Use of natural sorbents as alternative and green extractive materials: A critical review. Anal. Chim. Acta 2020, 1125, 187–200. [Google Scholar] [CrossRef] [PubMed]
- Ata, A.; Nalcaci, O.O.; Ovez, B. Macro algae Gracilaria verrucosa as a biosorbent: A study of sorption mechanisms. Algal Res. 2012, 1, 194–204. [Google Scholar] [CrossRef]
- Demirbas, A. Heavy metal adsorption onto agro-based waste materials: A review. J. Hazard. Mater. 2008, 157, 220–229. [Google Scholar] [CrossRef] [PubMed]
- Ullrich, A.H.; Smith, M.W. The biosorption process of sewage and waste treatment. Sew. Ind. Wastes 1951, 23, 1248–1253. [Google Scholar]
- Kratochvil, D.; Volesky, B. Advances in the biosorption of heavy metals. Trends Biotechnol. 1998, 16, 291–300. [Google Scholar] [CrossRef]
- Lesmana, S.O.; Febriana, N.; Soetaredjo, V.; Sunarso, J.; Ismadji, S. Studies on potential applications of biomass for the separation of heavy metals from water and wastewater. Biochem. Eng. J. 2009, 44, 19–41. [Google Scholar] [CrossRef]
- Demey, H.; Melkior, T.; Chatroux, A.; Attar, K.; Thiery, S.; Miller, H.; Grateau, M.; Sastre, A.M.; Marchand, M. Evaluation of torrefied poplar-biomass as a low-cost sorbent for lead and terbium removal from aqueous solutions and energy co-generation. Chem. Eng. J. 2018, 361, 839–852. [Google Scholar] [CrossRef]
- Guérin, T.; Ghinet, A.; Hossart, M.; Waterlot, C. Wheat and ryegrass biomass ashes as effective sorbents for metallic and organic pollutants from contaminated water in lab-engineered cartridge filtration system. Bioresour. Technol. 2020, 318, 124044. [Google Scholar] [CrossRef]
- Bulgariu, L.; Ferţu, D.I.; Cara, I.G.; Gavrilescu, M. Efficacy of Alkaline-Treated Soy Waste Biomass for the Removal of Heavy-Metal Ions and Opportunities for Their Recovery. Materials 2021, 14, 7413. [Google Scholar] [CrossRef]
- Mobasherpour, I.; Salahi, E.; Pazouki, M. Comparative of the removal of Pb(II), Cd(II) and Ni(II) by nano crystallite hydroxyapatite from aqueous solutions: Adsorption isotherm study. Arab. J. Chem. 2012, 5, 439–446. [Google Scholar] [CrossRef]
- Al Hamouz, O.C.S.; Ali, S.A. Removal of Zinc and Cadmium ions using a cross-linked polyaminophosphonate. J. Macromol. Sci. Part A 2013, 50, 375–384. [Google Scholar] [CrossRef]
- Bashir, A.; Manzoor, T.; Malik, L.A.; Qureashi, A.; Pandith, A.H. Enhanced and Selective Adsorption of Zn(II), Pb(II), Cd(II), and Hg(II) Ions by a Dumbbell- and Flower-Shaped Potato Starch Phosphate Polymer: A Combined Experimental and DFT Calculation Study. ACS Omega 2020, 5, 4853–4867. [Google Scholar] [CrossRef]
- He, J.; Chen, P.A. A comprehensive review on biosorption of heavy metals by algal biomass: Materials, performances, chemistry, and modeling simulation tools. Bioresour. Technol. 2014, 160, 67–78. [Google Scholar] [CrossRef]
- Suzaki, P.Y.R.; Munaro, M.T.; Triques, C.C.; Kleinübing, S.J.; Klen, M.R.F.; Bergamasco, R.; Jorge, L.M.D.M. Phenomenological mathematical modeling of heavy metal biosorption in fixed-bed columns. Chem. Eng. J. 2017, 326, 389–400. [Google Scholar] [CrossRef]
- Laurent, J.; Casellas, M.; Dagot, C. Heavy metals biosorption on disintegrated activated sludge: Description of a new equilibrium model. Chem. Eng. J. 2010, 164, 63–69. [Google Scholar] [CrossRef]
- Özen, R.; Sayar, N.A.; Durmaz-Sam, S.; Sayar, A.A. A sigmoidal model for biosorption of heavy metal cations from aqueous media. Math. Biosci. 2015, 265, 40–46. [Google Scholar] [CrossRef] [PubMed]
- Moreira, V.R.; Lebron, Y.A.R.; Santos, L.V.D.S. Predicting the biosorption capacity of copper by dried Chlorella pyrenoidosa through response surface methodology and artificial neural network models. Chem. Eng. J. Adv. 2020, 4, 100041. [Google Scholar] [CrossRef]
- Blagojev, N.; Vasić, V.; Kukić, D.; Šćiban, M.; Prodanović, J.; Bera, O. Modelling and efficiency evaluation of the continuous biosorption of Cu(II) and Cr(VI) from water by agricultural waste materials. J. Environ. Manag. 2021, 281, 111876. [Google Scholar] [CrossRef] [PubMed]
- Sarubbo, L.A.; Filho, A.A.P.S.; Nascimento, L.A.D.; Rufino, R.D.; de Luna, J.M.; Brasileiro, P.P.F.; da Silva, C.F.S.; Benachour, M.; dos Santos, V.A. Study of an oily water treatment process in a pilot hybrid system combining air flotation and a constructed wetland: Data analysis, efficiency optimization and scale-up. Environ. Eng. Manag. J. 2021, 20, 247–256. [Google Scholar] [CrossRef]
- Jaafari, J.; Yaghmaeian, K. Optimization of heavy metal biosorption onto freshwater algae (Chlorella coloniales) using response surface methodology (RSM). Chemosphere 2018, 217, 447–455. [Google Scholar] [CrossRef]
- Khan, A.; Khan, M.S.; Hadi, F.; Saddiq, G.; Khan, A.N. Energy-Dispersive X-ray (EDX) fluorescence based analysis of heavy metals in marble powder, paddy soil and rice (Oryza sativa L.) with potential health risks in District Malakand, Khyber Pakhtunkhwa, Pakistan. Environ. Pollut. Bioavailab. 2021, 33, 301–316. [Google Scholar] [CrossRef]
- Lu, Z.; Hu, X.; Lu, Y. Particle Morphology Analysis of Biomass Material Based on Improved Image Processing Method. Int. J. Anal. Chem. 2017, 2017, 5840690. [Google Scholar] [CrossRef]
- UK College of Engineering. Sample Preparation for Electron Microscopy; University of Kentucky: Lexington, KY, USA; Available online: http://emc.engr.uky.edu/equipment/sample-preparation-electron-microscopy (accessed on 20 January 2022).
- Box, G.E.P.; Wilson, K.B. On the experimental attainment of optimum condition. J.R. Stat. Soc. Ser. B. Methods 1951, 13, 1–45. [Google Scholar] [CrossRef]
- Witek-Krowiak, A.; Chojnacka, K.; Podstawczyk, D.; Dawiec, A.; Pokomeda, K. Application of response surface methodology and artificial neural network methods in modelling and optimization of biosorption process. Bioresour. Technol. 2014, 160, 150–160. [Google Scholar] [CrossRef]
- Leupin, O.X.; Hug, S.J. Oxidation and removal of arsenic (III) from aerated groundwater by filtration through sand and zero-valent iron. Water Res. 2005, 39, 1729–1740. [Google Scholar] [CrossRef] [PubMed]
- Sheikh, Z.; Amin, M.; Khan, N.; Khan, M.N.; Sami, S.K.; Khan, S.B.; Hafeez, I.; Khan, S.A.; Bakhsh, E.M.; Cheng, C.K. Potential application of Allium Cepa seeds as a novel biosorbent for efficient biosorption of heavy metals ions from aqueous solution. Chemosphere 2021, 279, 130545. [Google Scholar] [CrossRef] [PubMed]
- Zhang, C.; Ren, H.X.; Zhong, C.Q.; Wu, D. Biosorption of Cr(VI) by immobilized waste biomass from polyglutamic acid production. Sci. Rep. 2020, 10, 3705. [Google Scholar] [CrossRef] [PubMed] [Green Version]
- Sheng, P.X.; Ting, Y.P.; Chen, J.P.; Hong, L. Sorption of lead, copper, cadmium, zinc, and nickel by marine algal biomass: Characterization of biosorptive capacity and investigation of mechanisms. J. Colloid Interface Sci. 2004, 275, 131–141. [Google Scholar] [CrossRef] [PubMed]
- Jalali, R.; Ghafourian, H.; Asef, Y.; Davarpanah, S.; Sepehr, S. Removal and recovery of lead using nonliving biomass of marine algae. J. Hazard. Mater. 2002, 92, 253–262. [Google Scholar] [CrossRef]
- Isam, M.; Baloo, L.; Kutty, S.R.M.; Yavari, S. Optimisation and Modelling of Pb(II) and Cu (II) Biosorption onto Red Algae (Gracilaria changii) by Using Response Surface Methodology. Water 2019, 11, 2325. [Google Scholar] [CrossRef] [Green Version]
- Gavrilescu, M. Removal of Heavy Metals from the Environment by Biosorption. Eng. Life Sci. 2004, 4, 219–232. [Google Scholar] [CrossRef]
- Gavrilescu, M. Biosorption in environmental remediation. In Bioremediation Technology; Fulekar, M.H., Ed.; Springer: Dordrecht, The Netherlands, 2010; pp. 35–99. [Google Scholar]
- Beni, A.A.; Esmaeili, A. Biosorption, an efficient method for removing heavy metals from industrial effluents: A Review. Environ. Technol. Innov. 2019, 17, 100503. [Google Scholar] [CrossRef]
- Sibi, G. Biosorption of chromium from electroplating and galvanizing industrial effluents under extreme conditions using Chlorella vulgaris. Green Energy Environ. 2016, 1, 172–177. [Google Scholar] [CrossRef] [Green Version]
- Dhanarani, S.; Viswanathan, E.; Piruthiviraj, P.; Arivalagan, P.; Kaliannan, T. Comparative study on the biosorption of aluminum by free and immobilized cells of Bacillus safensis KTSMBNL 26 isolated from explosive contaminated soil. J. Taiwan Inst. Chem. Eng. 2016, 69, 61–67. [Google Scholar] [CrossRef]
- Cholico-González, D.; Lara, N.O.; Macedo, A.M.F.; Salas, J.C. Adsorption Behavior of Pb(II), Cd(II), and Zn(II) onto Agave Bagasse, Characterization, and Mechanism. ACS Omega 2020, 5, 3302–3314. [Google Scholar] [CrossRef] [PubMed]
- Salem, N.D.; Awwad, A.; Al-Dujaili, A. Biosorption of Pb(II), Zn(II), and Cd(II) from aqueous solutions by (Eriobotrya japonica) loquat bark. Int. J. Environ. Prot. 2002, 2, 1–7. [Google Scholar]
- Lezcano, J.M.; Gonzalez, F.; Ballester, A.; Blázquez, M.L.; Muñoz, J.A.; García-Balboa, C. Biosorption of Cd(II), Cu(II), Ni(II), Pb(II) and Zn(II) using different residual biomass. Chem. Ecol. 2010, 26, 1–17. [Google Scholar] [CrossRef]
- Amer, M.; Ahmad, R.A.; Awwad, A.M. Biosorption of Cu(II), Ni(II), Zn(II) and Pb(II) ions from aqueous solution by Sophora japonica pods powder. Int. J. Ind. Chem. 2015, 6, 67–75. [Google Scholar] [CrossRef] [Green Version]
- Kamar, F.H.; Nechifor, A.C.; Nechifor, G.; Al-Musawi, T.J.; Mohammed, A.H. Aqueous phase biosorption of Pb(II), Cu(II), and Cd(II) onto cabbage leaves powder. Int. J. Chem. React. Eng. 2016, 15, 20150178. [Google Scholar] [CrossRef]
- Sulaymon, A.; Mohammed, A.A.; Al-Musawi, T.J. Removal of lead, cadmium, copper, and arsenic ions using biosorption: Equilibrium and kinetic studies. Desalination Water Treat. 2013, 51, 4424–4434. [Google Scholar] [CrossRef]
- Anwar, J.; Shafique, U.; Zaman, W.U.; Salman, M.; Dar, A.; Anwar, S. Removal of Pb(II) and Cd(II) from water by adsorption on peels of banana. Bioresour. Technol. 2010, 101, 1752–1755. [Google Scholar] [CrossRef]
- Ezeonuegbu, B.A.; Machido, D.A.; Whong, C.M.; Japhet, W.S.; Alexiou, A.; Elazab, S.T.; Qusty, N.; Yaro, C.A.; Batiha, G.E.-S. Agricultural waste of sugarcane bagasse as efficient adsorbent for lead and nickel removal from untreated wastewater: Biosorption, equilibrium isotherms, kinetics and desorption studies. Biotechnol. Rep. 2021, 30, e00614. [Google Scholar] [CrossRef]
- Ozdemir, S.; Kılınç, E.; Acer, Ö.; Soylak, M. Simultaneous preconcentrations of Cu(II), Ni(II), and Pb(II) by SPE using E. profundum loaded onto Amberlite XAD-4. Microchem. J. 2021, 171, 106758. [Google Scholar] [CrossRef]
- MacFarland, T.W. Two-Way Analysis of Variance: Statistical Tests and Graphics Using R; Springer Nature: Cham, Switzerland, 2012. [Google Scholar]
- Myers, R.H.; Montgomery, D.C.; Anderson-Cook, C.M. Response Surface Methodology: Process and Product Optimization Using Designed Experiments, 4th ed.; Wiley: Hoboken, NJ, USA, 2016; ISBN 9781118916025. [Google Scholar]
- Chattoraj, N.K.; Mondal, B.; Das, P.; Roy, B.; Sadhukan, B. Biosorption of carbaryl from aqueous solution onto Pistia stratiotes biomass. Appl. Water Sci. 2014, 4, 79–88. [Google Scholar] [CrossRef] [Green Version]
- Sadhukhan, B.; Mondal, N.K.; Chattoraj, S. Optimization using central composite design (CCD) and the desirability function for sorption of methylene blue from aqueous solutions onto Lemna major. Karbala Int. J. Mod. Sci. 2016, 2, 145–155. [Google Scholar] [CrossRef] [Green Version]














| Parameter | Pb(II) | Cd(II) | Zn(II) |
|---|---|---|---|
| Color reagent | 4-(2-piridilazo)-resorcinol | Xilonolorange | Xilonolorange |
| pH | 10.0 | 6.0 | 6.0 |
| Buffer solution | Ammoniacal | HMTA + HNO3 | Acetat |
| λmax, nm | 530 | 575 | 570 |
| εmax, L/mol cm | 1.95 × 104 | 2.15 × 104 | 2.64 × 104 |
| Reference sample | witness test | witness test | witness test |
| Calibration sensitivity, mg/L | 0.1694 | 0.1718 | 0.2563 |
| Detection limit, ppm | 0.1985 | 0.1325 | 0.1554 |
| Linearity range used, mg/L | 0.75–2.93 | 0.93–3.73 | 0.65–2.62 |
| RSD% | 0.44% | 0.23% | 0.28% |
| Me(II) | pH Range | Biosorbent Dose DS, g/L | Initial Concentration of Metal Ion c0Me(II), mg/L | Contact Time, tc, h | Temperature, T °C |
|---|---|---|---|---|---|
| Pb(II) | 1.0–6.5 | 5.0 | 83.29 | 24 | 23.0 |
| Cd(II) | 1.0–6.5 | 5.0 | 46.11 | 24 | 24.5 |
| Zn(II) | 1.0–6.5 | 5.0 | 52.31 | 24 | 22.5 |
| Me(II) | pH Range | Biosorbent Dose DS, g/L | Initial Concentration of Metal Ion c0Me(II) mg/L | Contact Time, tc, h | Temperature, T °C |
|---|---|---|---|---|---|
| Pb(II) | 3.40 | 4.0–40.0 | 83.29 | 24 | 22.0 |
| Cd(II) | 3.40 | 4.0–40.0 | 46.11 | 24 | 22.5 |
| Zn(II) | 3.40 | 4.0–40.0 | 52.31 | 24 | 21.0 |
| Me(II) | pH Range | Biosorbent Dose, DS, g/L | Initial Concentration of Metal Ion c0Me(II), mg/L | Contact Time, tc, h | Temperature, T °C |
|---|---|---|---|---|---|
| Pb(II) | 3.40 | 5.0 | 11.66–416.45 | 24 | 23.0 |
| Cd(II) | 3.40 | 5.0 | 9.22–230.54 | 24 | 24.0 |
| Zn(II) | 3.40 | 5.0 | 13.08–209.25 | 24 | 22.0 |
| Me(II) | pH Range | Biosorbent Dose, DS, g/L | Initial Concentration of Metal Ion c0Me(II), mg/L | Contact Time, tc, h | Temperature, T °C |
|---|---|---|---|---|---|
| Pb(II) | 3.40 | 5.0 | 83.29 | 5–180 | 24.0 |
| Cd(II) | 3.40 | 5.0 | 46.11 | 5–180 | 26.0 |
| Zn(II) | 3.40 | 5.0 | 52.31 | 5–180 | 24.5 |
| Me(II) | pH Range | Biosorbent Dose, DS, g/L | Initial Concentration of Metal Ion c0Me(II), mg/L | Contact Time, tc, h | Temperature, T °C |
|---|---|---|---|---|---|
| Pb(II) | 3.40 | 5.0 | 11.66–416.45 | 3 | 5; 25; 50 |
| Cd(II) | 3.40 | 5.0 | 9.22–230.54 | 3 | 5; 25; 50 |
| Zn(II) | 3.40 | 5.0 | 13.08–209.25 | 3 | 5; 25; 50 |
| x1 | x2 | x3 | x4 | x5 | |||||||||
|---|---|---|---|---|---|---|---|---|---|---|---|---|---|
| pH (A) | DS (g/L) (B) | c0 Pb(II) (mg/L) (C) | c0 Cd(II) (mg/L) (C) | c0 Zn(II) (mg/L) (C) | tc (min) (D) | T (°C) (E) | |||||||
| min | max | min | max | min | max | min | max | min | max | min | max | min | max |
| 1 | 6.5 | 5 | 40 | 11.66 | 416.45 | 9.22 | 230.54 | 13.08 | 209.25 | 5 | 180 | 5 | 50 |
| Experiment | Coded Independent Variables | ||||
|---|---|---|---|---|---|
| A | B | C | D | E | |
| 1 | −1 | −1 | −1 | −1 | −1 |
| 2 | 1 | −1 | −1 | −1 | −1 |
| 3 | −1 | 1 | −1 | −1 | −1 |
| 4 | 1 | 1 | −1 | −1 | −1 |
| 5 | −1 | −1 | 1 | −1 | −1 |
| 6 | 1 | −1 | 1 | −1 | −1 |
| 7 | −1 | 1 | 1 | −1 | −1 |
| 8 | 1 | 1 | 1 | −1 | −1 |
| 9 | −1 | −1 | −1 | 1 | −1 |
| 10 | 1 | −1 | −1 | 1 | −1 |
| 11 | −1 | 1 | −1 | 1 | −1 |
| 12 | 1 | 1 | −1 | 1 | −1 |
| 13 | −1 | −1 | 1 | 1 | −1 |
| 14 | 1 | −1 | 1 | 1 | −1 |
| 15 | −1 | 1 | 1 | 1 | −1 |
| 16 | 1 | 1 | 1 | 1 | −1 |
| 17 | −1 | −1 | −1 | −1 | 1 |
| 18 | 1 | −1 | −1 | −1 | 1 |
| 19 | −1 | 1 | −1 | −1 | 1 |
| 20 | 1 | 1 | −1 | −1 | 1 |
| 21 | −1 | −1 | 1 | −1 | 1 |
| 22 | 1 | −1 | 1 | −1 | 1 |
| 23 | −1 | 1 | 1 | −1 | 1 |
| 24 | 1 | 1 | 1 | −1 | 1 |
| 25 | −1 | −1 | −1 | 1 | 1 |
| 26 | 1 | −1 | −1 | 1 | 1 |
| 27 | −1 | 1 | −1 | 1 | 1 |
| 28 | 1 | 1 | −1 | 1 | 1 |
| 29 | −1 | −1 | 1 | 1 | 1 |
| 30 | 1 | −1 | 1 | 1 | 1 |
| 31 | −1 | 1 | 1 | 1 | 1 |
| 32 | 1 | 1 | 1 | 1 | 1 |
| 33 | −2.38 | 0 | 0 | 0 | 0 |
| 34 | 2.38 | 0 | 0 | 0 | 0 |
| 35 | 0 | −2.38 | 0 | 0 | 0 |
| 36 | 0 | 2.38 | 0 | 0 | 0 |
| 37 | 0 | 0 | −2.38 | 0 | 0 |
| 38 | 0 | 0 | 2.38 | 0 | 0 |
| 39 | 0 | 0 | 0 | −2.38 | 0 |
| 40 | 0 | 0 | 0 | 2.38 | 0 |
| 41 | 0 | 0 | 0 | 0 | −2.38 |
| 42 | 0 | 0 | 0 | 0 | 2.38 |
| 43 | 0 | 0 | 0 | 0 | 0 |
| 44 | 0 | 0 | 0 | 0 | 0 |
| 45 | 0 | 0 | 0 | 0 | 0 |
| Measure | Value | Measure | Value |
|---|---|---|---|
| Soybean biomass, Pb(II), R(%) | |||
| Standard deviation | 4.36 | R2 | 0.8935 |
| Mean | 56.67 | R2adj | 0.8766 |
| C.V. | 7.70 | R2pred | 0.8181 |
| PRESS | 1235.51 | Accuracy | 35.286 |
| Soybean waste biomass, Pb(II), R(%) | |||
| Standard deviation | 3.79 | R2 | 0.9152 |
| Mean | 56.37 | R2adj | 0.9018 |
| C.V. | 6.72 | R2pred | 0.8611 |
| PRESS | 893.27 | Accuracy | 36.682 |
| Soybean biomass, Cd(II), R(%) | |||
| Standard deviation | 3.82 | R2 | 0.9236 |
| Mean | 65.68 | R2adj | 0.9092 |
| C.V. | 5.81 | R2pred | 0.8873 |
| PRESS | 794.87 | Accuracy | 38.598 |
| Soybean waste biomass, Cd(II), R(%) | |||
| Standard deviation | 3.76 | R2 | 0.9147 |
| Mean | 65.63 | R2adj | 0.8897 |
| C.V. | 5.73 | R2pred | 0.7760 |
| PRESS | 1265.08 | Accuracy | 32.177 |
| Soybean biomass, Zn(II), R(%) | |||
| Standard deviation | 3.68 | R2 | 0.8934 |
| Mean | 50.04 | R2adj | 0.8698 |
| C.V. | 7.35 | R2pred | 0.7975 |
| PRESS | 925.45 | Accuracy | 28.876 |
| Soybean waste biomass, Zn(II), R(%) | |||
| Standard deviation | 3.55 | R2 | 0.9179 |
| Mean | 50.84 | R2adj | 0.9024 |
| C.V. | 6.97 | R2pred | 0.8201 |
| PRESS | 1019.70 | Accuracy | 39.604 |
| Soybean biomass, Pb(II), q(mg/g) | |||
| Standard deviation | 1.58 | R2 | 0.9268 |
| Mean | 13.80 | R2adj | 0.9105 |
| C.V. | 11.45 | R2pred | 0.8705 |
| PRESS | 159.00 | Accuracy | 28.458 |
| Soybean waste biomass, Pb(II), q(mg/g) | |||
| Standard deviation | 1.53 | R2 | 0.9503 |
| Mean | 16.77 | R2adj | 0.9393 |
| C.V. | 9.12 | R2pred | 0.9115 |
| PRESS | 150.02 | Accuracy | 34.585 |
| Soybean biomass, Cd(II), q(mg/g) | |||
| Standard deviation | 0.87 | R2 | 0.9838 |
| Mean | 11.62 | R2adj | 0.9784 |
| C.V. | 7.45 | R2pred | 0.9658 |
| PRESS | 52.29 | Accuracy | 51.854 |
| Soybean waste biomass, Cd(II), q(mg/g) | |||
| Standard deviation | 1.06 | R2 | 0.9857 |
| Mean | 12.68 | R2adj | 0.9803 |
| C.V. | 8.35 | R2pred | 0.9677 |
| PRESS | 80.87 | Accuracy | 46.917 |
| Soybean biomass, Zn(II), q(mg/g) | |||
| Standard deviation | 0.71 | R2 | 0.9413 |
| Mean | 6.42 | R2adj | 0.9193 |
| C.V. | 11.09 | R2pred | 0.8056 |
| PRESS | 53.76 | Accuracy | 24.146 |
| Soybean waste biomass, Zn(II), q(mg/g) | |||
| Standard deviation | 0.88 | R2 | 0.9576 |
| Mean | 8.74 | R2adj | 0.9398 |
| C.V. | 10.07 | R2pred | 0.8555 |
| PRESS | 81.77 | Accuracy | 27.449 |
| Soybean Biomass, Pb(II), R(%) | |||||||
|---|---|---|---|---|---|---|---|
| Constraints | |||||||
| Variabile | Variation range | Lower limit | Upper limit | Minimum weight | Maximum weight | Importance | |
| x1 | experimental | 2.59 | 4.91 | 1 | 1 | 3 | |
| x2 | experimental | 15.14 | 29.86 | 1 | 1 | 3 | |
| x3 | experimental | 128.96 | 299.15 | 1 | 1 | 3 | |
| x4 | experimental | 55.71 | 129.29 | 1 | 1 | 3 | |
| x5 | experimental | 18.04 | 36.96 | 1 | 1 | 3 | |
| R | maximum | 2.59 | 4.91 | 1 | 1 | 3 | |
| Solutions | |||||||
| No. | x1 | x2 | x3 | x4 | x5 * | R(%) | Probability |
| 1 | 4.02 | 29.86 | 129.03 | 129.29 | 32.79 | 78.13 | 0.829 |
| 2 | 4.03 | 29.84 | 129.00 | 129.29 | 36.48 | 78.13 | 0.829 |
| 3 | 4.05 | 29.84 | 128.96 | 129.29 | 25.55 | 78.13 | 0.829 |
| 4 | 4.06 | 29.86 | 128.98 | 129.29 | 18.04 | 78.13 | 0.829 |
| 5 | 4.01 | 29.86 | 128.96 | 129.06 | 29.65 | 78.11 | 0.828 |
| 6 | 4.01 | 29.86 | 128.96 | 128.98 | 34.73 | 78.10 | 0.828 |
| 7 | 4.07 | 29.33 | 128.96 | 129.27 | 18.26 | 78.02 | 0.827 |
| 8 | 4.10 | 28.43 | 128.96 | 129.29 | 18.04 | 77.79 | 0.824 |
| 9 | 4.06 | 29.86 | 128.96 | 124.90 | 18.41 | 77.61 | 0.821 |
| 10 | 4.21 | 25.42 | 128.96 | 129.29 | 28.96 | 76.63 | 0.808 |
| * has no effect on optimization results | |||||||
| Soybean waste biomass, Pb(II), R(%) | |||||||
| Constraints | |||||||
| Variabile | Variation range | Lower limit | Upper limit | Minimum weight | Maximum weight | Importance | |
| x1 | experimental | 2.59 | 4.91 | 1 | 1 | 3 | |
| x2 | experimental | 15.14 | 29.86 | 1 | 1 | 3 | |
| x3 | experimental | 128.97 | 299.15 | 1 | 1 | 3 | |
| x4 | experimental | 55.71 | 129.29 | 1 | 1 | 3 | |
| x5 | experimental | 18.04 | 36.96 | 1 | 1 | 3 | |
| R | maximum | 22.8 | 83.9 | 1 | 1 | 3 | |
| Solutions | |||||||
| No. | x1 | x2 | x3 | x4 | x5 * | R(%) | Probability |
| 1 | 4.23 | 29.86 | 128.96 | 129.29 | 34.37 | 77.40 | 0.894 |
| 2 | 4.24 | 29.86 | 128.96 | 129.27 | 32.98 | 77.40 | 0.894 |
| 3 | 4.23 | 29.86 | 129.02 | 129.29 | 27.99 | 77.39 | 0.894 |
| 4 | 4.23 | 29.82 | 128.96 | 129.29 | 32.86 | 77.39 | 0.894 |
| 5 | 4.44 | 29.32 | 128.96 | 129.29 | 21.86 | 77.03 | 0.888 |
| 6 | 4.17 | 29.84 | 128.96 | 124.02 | 36.96 | 76.77 | 0.883 |
| 7 | 3.94 | 28.58 | 128.96 | 128.46 | 36.96 | 76.49 | 0.879 |
| 8 | 4.51 | 29.86 | 128.96 | 124.07 | 18.04 | 76.45 | 0.878 |
| 9 | 4.56 | 28.68 | 128.96 | 124.52 | 18.04 | 75.96 | 0.87 |
| 10 | 4.44 | 28.59 | 128.97 | 122.14 | 36.74 | 75.93 | 0.87 |
| * has no effect on optimization results | |||||||
| Soybean biomass, Cd(II), R(%) | |||||||
| Constraints | |||||||
| Variabile | Variation range | Lower limit | Upper limit | Minimum weight | Maximum weight | Importance | |
| x1 | experimental | 2.59 | 4.91 | 1 | 1 | 3 | |
| x2 | experimental | 15.14 | 29.86 | 1 | 1 | 3 | |
| x3 | experimental | 73.35 | 166.41 | 1 | 1 | 3 | |
| x4 | experimental | 55.71 | 129.29 | 1 | 1 | 3 | |
| x5 | experimental | 18.04 | 36.96 | 1 | 1 | 3 | |
| R | maximum | 25.6 | 92.8 | 1 | 1 | 3 | |
| Solutions | |||||||
| No. | x1 | x2 | x3 | x4 | x5 | R(%) | Probability |
| 1 | 4.06 | 29.86 | 73.35 | 129.28 | 18.25 | 89.62 | 0.953 |
| 2 | 4.02 | 29.86 | 73.35 | 128.89 | 18.11 | 89.60 | 0.952 |
| 3 | 3.83 | 29.25 | 73.35 | 129.29 | 18.04 | 89.04 | 0.944 |
| 4 | 4.22 | 28.08 | 73.35 | 129.29 | 18.04 | 88.47 | 0.936 |
| 5 | 4.62 | 28.81 | 73.35 | 129.29 | 18.13 | 87.4 | 0.919 |
| 6 | 4.25 | 29.85 | 73.39 | 129.29 | 30.11 | 86.85 | 0.911 |
| 7 | 3.20 | 29.86 | 73.35 | 129.29 | 18.15 | 85.99 | 0.899 |
| 8 | 4.27 | 24.14 | 73.35 | 129.29 | 18.32 | 85.98 | 0.898 |
| 9 | 4.76 | 29.86 | 73.35 | 115.78 | 18.12 | 85.68 | 0.894 |
| 10 | 3.84 | 29.80 | 73.35 | 66.33 | 18.04 | 82.57 | 0.848 |
| Soybean biomass waste, Cd(II), R(%) | |||||||
| Constraints | |||||||
| Variabile | Variation range | Lower limit | Upper limit | Minimum weight | Maximum weight | Importance | |
| x2 | experimental | 15.14 | 29.86 | 1 | 1 | 3 | |
| x3 | experimental | 76.095 | 167.53 | 1 | 1 | 3 | |
| x4 | experimental | 55.71 | 129.29 | 1 | 1 | 3 | |
| x5 | experimental | 18.04 | 36.96 | 1 | 1 | 3 | |
| R | maximum | 32.6 | 87.2 | 1 | 1 | 3 | |
| Solutions | |||||||
| No. | x1 | x2 | x3 | x4 | x5 | R(%) | Probability |
| 1 | 3.93 | 29.86 | 76.09 | 128.04 | 18.06 | 85.03 | 0.960 |
| 2 | 4.03 | 28.73 | 76.09 | 126.19 | 18.04 | 84.89 | 0.958 |
| -3 | 3.94 | 28.50 | 78.89 | 125.74 | 18.04 | 84.29 | 0.947 |
| 4 | 4.24 | 26.63 | 78.30 | 121.66 | 18.04 | 83.45 | 0.931 |
| 5 | 4.03 | 27.94 | 76.09 | 129.29 | 36.96 | 82.64 | 0.916 |
| 6 | 3.96 | 28.94 | 77.41 | 129.29 | 36.96 | 82.53 | 0.914 |
| 7 | 4.14 | 29.27 | 76.09 | 129.29 | 36.95 | 82.53 | 0.914 |
| 8 | 3.08 | 28.14 | 76.09 | 129.28 | 18.24 | 81.73 | 0.899 |
| 9 | 3.76 | 27.06 | 76.09 | 62.49 | 18.04 | 79.55 | 0.859 |
| 10 | 3.87 | 23.43 | 76.09 | 74.48 | 18.04 | 79.51 | 0.859 |
| Soybean biomass, Zn(II), R(%) | |||||||
| Constraints | |||||||
| Variabile | Variation range | Lower limit | Upper limit | Minimum weight | Maximum weight | Importance | |
| x1 | experimental | 2.59 | 4.91 | 1 | 1 | 3 | |
| x2 | experimental | 15.14 | 29.86 | 1 | 1 | 3 | |
| x3 | experimental | 69.93 | 152.41 | 1 | 1 | 3 | |
| x5 | experimental | 18.04 | 36.96 | 1 | 1 | 3 | |
| R | maximum | 23.7 | 79.4 | 1 | 1 | 3 | |
| Solutions | |||||||
| No. | x1 | x2 | x3 | x4 | x5 | R(%) | Probability |
| 1 | 4.18 | 29.86 | 70.60 | 129.22 | 18.04 | 69.39 | 0.82 |
| 2 | 3.71 | 29.75 | 69.93 | 129.29 | 18.04 | 69.3 | 0.819 |
| 3 | 3.83 | 29.86 | 69.98 | 122.99 | 18.04 | 68.98 | 0.813 |
| 4 | 3.92 | 29.79 | 69.93 | 121.40 | 18.04 | 68.93 | 0.812 |
| 5 | 3.92 | 29.86 | 69.93 | 129.29 | 21.43 | 68.9 | 0.812 |
| 6 | 3.52 | 29.51 | 69.93 | 129.29 | 18.04 | 68.71 | 0.808 |
| 7 | 4.26 | 26.23 | 69.93 | 129.28 | 18.04 | 68.5 | 0.804 |
| 8 | 3.81 | 29.86 | 70.63 | 104.65 | 18.04 | 67.27 | 0.782 |
| 9 | 4.02 | 29.86 | 69.93 | 129.29 | 35.61 | 65.97 | 0.759 |
| 10 | 3.97 | 29.86 | 69.93 | 102.36 | 36.20 | 63.54 | 0.715 |
| Soybean waste biomass, Zn(II), R(%) | |||||||
| Constraints | |||||||
| Variabile | Variation range | Lower limit | Upper limit | Minimum weight | Maximum weight | Importance | |
| x1 | experimental | 2.59 | 4.91 | 1 | 1 | 3 | |
| x2 | experimental | 15.14 | 29.86 | 1 | 1 | 3 | |
| x3 | experimental | 69.93 | 152.4 | 1 | 1 | 3 | |
| x4 | experimental | 55.71 | 129.29 | 1 | 1 | 3 | |
| x5 | experimental | 18.04 | 36.96 | 1 | 1 | 3 | |
| R | maximum | 21.9 | 82.8 | 1 | 1 | 3 | |
| Solutions | |||||||
| No. | x1 | x2 | x3 | x4 | x5 | R(%) | Probability |
| 1 | 4.18 | 27.30 | 69.93 | 118.59 | 33.02 | 69.97 | 0.789 |
| 2 | 4.19 | 27.31 | 69.93 | 118.51 | 34.70 | 69.97 | 0.789 |
| 3 | 4.18 | 27.28 | 69.93 | 118.68 | 36.72 | 69.97 | 0.789 |
| 4 | 4.19 | 27.25 | 69.93 | 118.28 | 22.52 | 69.97 | 0.789 |
| 5 | 4.19 | 27.28 | 69.93 | 118.97 | 28.27 | 69.97 | 0.789 |
| 6 | 4.19 | 27.24 | 69.93 | 118.93 | 21.21 | 69.97 | 0.789 |
| 7 | 4.18 | 27.24 | 69.93 | 119.12 | 21.51 | 69.97 | 0.789 |
| 8 | 4.19 | 27.31 | 69.93 | 117.73 | 22.54 | 69.96 | 0.789 |
| 9 | 4.17 | 27.51 | 69.93 | 118.70 | 21.78 | 69.96 | 0.789 |
| 10 | 4.00 | 29.85 | 72.76 | 101.50 | 18.04 | 68.65 | 0.768 |
| Soybean Biomass, Pb(II), q(mg/g) | |||||||
| Constraints | |||||||
| Variabile | Variation range | Lower limit | Upper limit | Minimum weight | Maximum weight | Importance | |
| x1 | experimental | 2.59 | 4.91 | 1 | 1 | 3 | |
| x2 | experimental | 15.14 | 29.86 | 1 | 1 | 3 | |
| x3 | experimental | 128.96 | 299.15 | 1 | 1 | 3 | |
| x4 | experimental | 55.71 | 129.29 | 1 | 1 | 3 | |
| x5 | experimental | 18.04 | 36.96 | 1 | 1 | 3 | |
| q | maximum | 2.9 | 27.8 | 1 | 1 | 3 | |
| Solutions | |||||||
| No. | x1 | x2 | x3 | x4 | x5 | q(mg/g) | Probability |
| 1 | 4.50 | 15.14 | 297.55 | 129.23 | 36.96 | 25.04 | 0.889 |
| 2 | 4.90 | 15.33 | 299.15 | 129.29 | 36.96 | 24.96 | 0.886 |
| 3 | 4.85 | 15.14 | 293.04 | 129.29 | 36.96 | 24.76 | 0.878 |
| 4 | 4.16 | 15.14 | 299.15 | 129.29 | 30.92 | 24.31 | 0.86 |
| 5 | 4.91 | 15.14 | 299.15 | 111.25 | 35.56 | 24.13 | 0.853 |
| 6 | 4.91 | 15.14 | 299.12 | 115.73 | 27.83 | 23.47 | 0.826 |
| 7 | 4.79 | 15.14 | 299.15 | 129.26 | 19.03 | 23.13 | 0.812 |
| 8 | 4.78 | 15.14 | 299.15 | 119.95 | 18.20 | 22.64 | 0.793 |
| 9 | 3.00 | 16.62 | 299.14 | 129.29 | 36.68 | 22.22 | 0.776 |
| 10 | 4.61 | 22.13 | 299.15 | 86.15 | 18.06 | 17.99 | 0.606 |
| Soybean waste biomass, Pb(II), q(mg/g) | |||||||
| Constraints | |||||||
| Variabile | Variation range | Lower limit | Upper limit | Minimum weight | Maximum weight | Importance | |
| x1 | experimental | 2.59 | 4.91 | 1 | 1 | 3 | |
| x2 | experimental | 15.14 | 29.86 | 1 | 1 | 3 | |
| x3 | experimental | 128.96 | 299.15 | 1 | 1 | 3 | |
| x4 | experimental | 55.71 | 129.29 | 1 | 1 | 3 | |
| x5 | experimental | 18.04 | 36.96 | 1 | 1 | 3 | |
| q | maximum | 2.8 | 29.4 | 1 | 1 | 3 | |
| Solutions | |||||||
| No. | x1 | x2 | x3 | x4 | x5 | q(mg/g) | Probability |
| 1 | 4.29 | 15.16 | 299.15 | 73.55 | 36.96 | 28.36 | 0.961 |
| 2 | 3.91 | 15.14 | 299.15 | 58.68 | 36.96 | 28.27 | 0.958 |
| 3 | 4.26 | 15.16 | 298.54 | 86.18 | 36.96 | 28.2 | 0.955 |
| 4 | 3.81 | 15.14 | 299.15 | 57.03 | 36.96 | 28.16 | 0.954 |
| 5 | 4.55 | 15.14 | 299.15 | 129.29 | 27.23 | 27.5 | 0.929 |
| 6 | 3.83 | 17.37 | 299.15 | 56.66 | 36.94 | 26.94 | 0.907 |
| 7 | 4.67 | 15.14 | 287.63 | 129.29 | 32.83 | 26.91 | 0.906 |
| 8 | 4.91 | 18.64 | 299.15 | 89.55 | 36.96 | 25.86 | 0.867 |
| 9 | 4.91 | 19.75 | 299.15 | 61.52 | 36.96 | 25.5 | 0.854 |
| 10 | 3.38 | 23.18 | 299.15 | 55.71 | 36.96 | 22.82 | 0.753 |
| Soybean biomass, Cd(II), q(mg/g) | |||||||
| Constraints | |||||||
| Variabile | Variation range | Lower limit | Upper limit | Minimum weight | Maximum weight | Importance | |
| x1 | experimental | 2.59 | 4.91 | 1 | 1 | 3 | |
| x2 | experimental | 15.14 | 29.86 | 1 | 1 | 3 | |
| x3 | experimental | 73.35 | 166.41 | 1 | 1 | 3 | |
| x4 | experimental | 55.71 | 129.29 | 1 | 1 | 3 | |
| x5 | experimental | 18.02 | 36.96 | 1 | 1 | 3 | |
| q | maximum | 0.8 | 25.2 | 1 | 1 | 3 | |
| Solutions | |||||||
| No. | x1 | x2 | x3 | x4 | x5 | q(mg/g) | Probability |
| 1 | 4.44 | 15.14 | 166.41 | 129.29 | 36.96 | 24.08 | 0.954 |
| 2 | 4.04 | 15.14 | 166.41 | 129.29 | 36.95 | 23.86 | 0.945 |
| 3 | 4.83 | 15.90 | 166.40 | 129.29 | 36.96 | 23.75 | 0.94 |
| 4 | 4.02 | 16.55 | 166.41 | 129.29 | 36.96 | 23.32 | 0.923 |
| 5 | 4.22 | 15.14 | 166.41 | 87.18 | 36.96 | 22.67 | 0.896 |
| 6 | 4.73 | 19.73 | 166.41 | 55.71 | 36.96 | 22.12 | 0.874 |
| 7 | 4.91 | 20.87 | 166.39 | 55.79 | 36.96 | 21.59 | 0.852 |
| 8 | 2.94 | 15.89 | 166.41 | 55.71 | 36.96 | 21.49 | 0.848 |
| 9 | 4.82 | 26.92 | 166.41 | 55.71 | 36.96 | 19.29 | 0.758 |
| 10 | 4.85 | 27.03 | 166.41 | 129.29 | 36.74 | 19.29 | 0.758 |
| Soybean waste biomass, Cd(II), q(mg/g) | |||||||
| Constraints | |||||||
| Variabile | Variation range | Lower limit | Upper limit | Minimum weight | Maximum weight | Importance | |
| x1 | experimental | 2.59 | 4.91 | 1 | 1 | 3 | |
| x2 | experimental | 15.14 | 29.86 | 1 | 1 | 3 | |
| x3 | experimental | 73.35 | 166.41 | 1 | 1 | 3 | |
| x4 | experimental | 55.71 | 129.29 | 1 | 1 | 3 | |
| x5 | experimental | 18.04 | 36.96 | 1 | 1 | 3 | |
| q | maximum | 1.1 | 29.5 | 1 | 1 | 3 | |
| Solutions | |||||||
| No. | x1 | x2 | x3 | x4 | x5 | q(mg/g) | Probability |
| 1 | 4.19 | 19.18 | 166.03 | 55.71 | 36.94 | 28.18 | 0.959 |
| 2 | 3.83 | 19.74 | 166.41 | 129.26 | 36.96 | 28.17 | 0.953 |
| 3 | 3.80 | 16.76 | 166.41 | 55.71 | 36.96 | 28.09 | 0.95 |
| 4 | 3.92 | 17.97 | 166.41 | 121.58 | 36.96 | 28.03 | 0.948 |
| 5 | 3.65 | 16.45 | 166.21 | 55.71 | 36.96 | 27.86 | 0.942 |
| 6 | 4.08 | 18.51 | 166.41 | 104.52 | 36.96 | 27.76 | 0.939 |
| 7 | 3.46 | 16.98 | 166.29 | 129.29 | 36.96 | 27.65 | 0.935 |
| 8 | 3.03 | 15.30 | 166.41 | 55.71 | 36.96 | 26.33 | 0.889 |
| 9 | 2.91 | 21.76 | 166.38 | 129.29 | 36.96 | 25.93 | 0.874 |
| 10 | 2.70 | 15.52 | 166.41 | 55.71 | 36.96 | 25.17 | 0.847 |
| Soybean biomass, Zn(II), q(mg/g) | |||||||
| Constraints | |||||||
| Variabile | Variation range | Lower limit | Upper limit | Minimum weight | Maximum weight | Importance | |
| x1 | experimental | 2.59 | 4.91 | 1 | 1 | 3 | |
| x2 | experimental | 15.14 | 29.86 | 1 | 1 | 3 | |
| x3 | experimental | 69.92 | 152.41 | 1 | 1 | 3 | |
| x4 | experimental | 55.71 | 129.29 | 1 | 1 | 3 | |
| x5 | experimental | 18.04 | 36.96 | 1 | 1 | 3 | |
| q | maximum | 1.1 | 10.5 | 1 | 1 | 3 | |
| Solutions | |||||||
| No. | x1 | x2 | x3 | x4 | x5 | q(mg/g) | Probability |
| 1 | 3.87 | 16.76 | 150.20 | 115.39 | 23.68 | 10.97 | 1 |
| 2 | 3.14 | 15.75 | 147.19 | 124.67 | 34.68 | 10.72 | 1 |
| 3 | 4.41 | 16.43 | 150.60 | 102.61 | 26.94 | 10.8 | 1 |
| 4 | 4.17 | 15.44 | 141.70 | 90.41 | 22.14 | 10.62 | 1 |
| 5 | 3.94 | 15.79 | 146.89 | 91.32 | 34.57 | 10.81 | 1 |
| 6 | 4.60 | 16.16 | 151.60 | 117.36 | 21.50 | 10.8 | 1 |
| 7 | 3.53 | 19.65 | 147.86 | 121.46 | 18.98 | 10.5 | 1 |
| 8 | 4.20 | 17.77 | 152.09 | 117.92 | 18.32 | 10.87 | 1 |
| 9 | 3.19 | 15.29 | 140.39 | 94.78 | 36.42 | 10.62 | 1 |
| 10 | 3.71 | 16.71 | 148.00 | 123.95 | 19.30 | 10.9 | 1 |
| Soybean waste biomass, Zn(II), q(mg/g) | |||||||
| Constraints | |||||||
| Variabile | Variation range | Lower limit | Upper limit | Minimum weight | Maximum weight | Importance | |
| x1 | experimental | 2.59 | 4.91 | 1 | 1 | 3 | |
| x2 | experimental | 15.14 | 29.86 | 1 | 1 | 3 | |
| x3 | experimental | 69.93 | 152.41 | 1 | 1 | 3 | |
| x4 | experimental | 55.71 | 129.29 | 1 | 1 | 3 | |
| x5 | experimental | 18.04 | 36.96 | 1 | 1 | 3 | |
| q | maximum | 1.9 | 15.9 | 1 | 1 | 3 | |
| Solutions | |||||||
| No. | x1 | x2 | x3 | x4 | x5 | q(mg/g) | Probability |
| 1 | 3.83 | 15.46 | 143.90 | 98.83 | 36.78 | 15.98 | 1 |
| 2 | 3.96 | 15.16 | 152.07 | 93.99 | 34.73 | 15.93 | 1 |
| 3 | 4.41 | 15.38 | 146.40 | 62.19 | 36.24 | 15.98 | 1 |
| 4 | 3.89 | 15.68 | 147.73 | 61.19 | 35.16 | 15.96 | 1 |
| 5 | 4.42 | 15.21 | 147.40 | 64.41 | 36.71 | 16.21 | 1 |
| 6 | 3.88 | 15.80 | 139.80 | 70.79 | 36.80 | 16.04 | 1 |
| 7 | 3.63 | 16.06 | 145.80 | 84.59 | 36.82 | 16.11 | 1 |
| 8 | 3.56 | 15.23 | 147.60 | 59.05 | 35.35 | 16.11 | 1 |
| 9 | 3.67 | 15.14 | 152.40 | 55.73 | 31.56 | 15.25 | 0.954 |
| 10 | 3.49 | 15.14 | 152.40 | 81.88 | 24.65 | 13.77 | 0.848 |
| Soybean Biomass, Pb(II), R(%) | |||||||
| Constraints | |||||||
| Variabile | Variation range | Lower limit | Upper limit | Minimum weight | Maximum weight | Importance | |
| x1 | experimental | 2.59 | 4.91 | 1 | 1 | 3 | |
| x2 | minimum | 15.14 | 29.86 | 1 | 1 | 3 | |
| x3 | maximum | 128.96 | 299.15 | 1 | 1 | 3 | |
| x4 | experimental | 55.71 | 129.29 | 1 | 1 | 3 | |
| x5 | experimental | 18.04 | 36.96 | 1 | 1 | 3 | |
| R | maximum | 18.7 | 90.4 | 1 | 1 | 3 | |
| Solutions | |||||||
| No. | x1 | x2 | x3 | x4 | x5 * | R(%) | Probability |
| 1 | 4.03 | 15.14 | 299.15 | 129.29 | 19.77 | 57.78 | 0.817 |
| 2 | 4.01 | 15.14 | 299.12 | 129.26 | 19.25 | 57.78 | 0.817 |
| 3 | 4.09 | 15.14 | 299.15 | 129.29 | 21.81 | 57.76 | 0.817 |
| 4 | 4.03 | 15.16 | 299.11 | 129.29 | 33.56 | 57.80 | 0.817 |
| 5 | 4.13 | 15.14 | 299.15 | 129.29 | 28.56 | 57.72 | 0.816 |
| 6 | 3.67 | 15.14 | 295.31 | 129.29 | 21.68 | 57.39 | 0.808 |
| 7 | 3.99 | 15.14 | 299.15 | 110.01 | 21.73 | 55.51 | 0.8 |
| 8 | 4.83 | 15.14 | 299.06 | 129.29 | 36.42 | 54.46 | 0.793 |
| 9 | 4.11 | 15.27 | 298.58 | 81.83 | 18.04 | 52.31 | 0.774 |
| 10 | 3.56 | 15.14 | 299.15 | 55.72 | 27.69 | 48.00 | 0.742 |
| * has no effect on optimization results | |||||||
| Soybean waste biomass, Pb(II), R(%) | |||||||
| Constraints | |||||||
| Variabile | Variation range | Lower limit | Upper limit | Minimum weight | Maximum weight | Importance | |
| x1 | experimental | 2.59 | 4.91 | 1 | 1 | 3 | |
| x2 | minimum | 15.14 | 29.86 | 1 | 1 | 3 | |
| x3 | maximum | 128.96 | 299.15 | 1 | 1 | 3 | |
| x4 | experimental | 55.71 | 129.29 | 1 | 1 | 3 | |
| x5 | experimental | 18.04 | 36.96 | 1 | 1 | 3 | |
| R | maximum | 22.8 | 83.9 | 1 | 1 | 3 | |
| Solutions | |||||||
| No. | x1 | x2 | x3 | x4 | x5 * | R(%) | Probability |
| 1 | 4.18 | 15.14 | 299.15 | 129.29 | 29.25 | 57.21 | 0.826 |
| 2 | 4.22 | 15.14 | 299.07 | 129.29 | 29.55 | 57.21 | 0.826 |
| 3 | 4.22 | 15.14 | 299.03 | 129.29 | 19.57 | 57.21 | 0.826 |
| 4 | 4.28 | 15.14 | 297.40 | 128.42 | 36.96 | 57.21 | 0.823 |
| 5 | 3.94 | 15.14 | 299.15 | 127.44 | 18.04 | 56.62 | 0.821 |
| 6 | 4.59 | 15.14 | 299.15 | 128.16 | 24.74 | 56.49 | 0.82 |
| 7 | 3.81 | 15.14 | 299.13 | 129.29 | 30.40 | 56.43 | 0.819 |
| 8 | 3.74 | 15.14 | 299.15 | 129.29 | 27.29 | 56.15 | 0.817 |
| 9 | 4.12 | 15.14 | 299.08 | 101.16 | 18.04 | 53.89 | 0.798 |
| 10 | 4.42 | 17.45 | 299.15 | 129.29 | 22.97 | 59.18 | 0.795 |
| * has no effect on optimization results | |||||||
| Soybean biomass, Cd(II), R(%) | |||||||
| Constraints | |||||||
| Variabile | Variation range | Lower limit | Upper limit | Minimum weight | Maximum weight | Importance | |
| x1 | experimental | 2.59 | 4.91 | 1 | 1 | 3 | |
| x2 | minimum | 15.14 | 29.86 | 1 | 1 | 3 | |
| x3 | maximum | 73.35 | 166.41 | 1 | 1 | 3 | |
| x4 | experimental | 55.71 | 129.29 | 1 | 1 | 3 | |
| x5 | experimental | 18.04 | 36.96 | 1 | 1 | 3 | |
| R | maximum | 25.6 | 92.8 | 1 | 1 | 3 | |
| Solutions | |||||||
| No. | x1 | x2 | x3 | x4 | x5 | R(%) | Probability |
| 1 | 4.03 | 15.14 | 166.31 | 129.29 | 34.12 | 66.49 | 0.847 |
| 2 | 4.42 | 15.14 | 166.41 | 129.29 | 33.83 | 65.78 | 0.842 |
| 3 | 4.03 | 15.14 | 166.41 | 129.05 | 27.52 | 65.5 | 0.841 |
| 4 | 3.95 | 15.14 | 166.40 | 129.29 | 20.91 | 64.53 | 0.834 |
| 5 | 4.17 | 15.14 | 166.41 | 127.01 | 21.74 | 64.39 | 0.833 |
| 6 | 4.09 | 15.14 | 166.24 | 129.29 | 18.04 | 64.19 | 0.831 |
| 7 | 4.10 | 16.04 | 166.41 | 129.24 | 18.04 | 64.69 | 0.817 |
| 8 | 4.33 | 15.14 | 166.41 | 99.57 | 23.57 | 61.36 | 0.81 |
| 9 | 3.86 | 15.14 | 164.99 | 106.79 | 18.04 | 61.8 | 0.81 |
| 10 | 2.59 | 15.15 | 165.27 | 79.44 | 21.71 | 48.82 | 0.699 |
| Soybean waste biomass, Cd(II), R(%) | |||||||
| Constraints | |||||||
| Variabile | Variation range | Lower limit | Upper limit | Minimum weight | Maximum weight | Importance | |
| x1 | experimental | 2.59 | 4.91 | 1 | 1 | 3 | |
| x2 | minimum | 15.14 | 29.86 | 1 | 1 | 3 | |
| x3 | maximum | 76.09 | 167.52 | 1 | 1 | 3 | |
| x4 | experimental | 55.71 | 129.29 | 1 | 1 | 3 | |
| x5 | experimental | 18.04 | 36.96 | 1 | 1 | 3 | |
| R | maximum | 32.6 | 87.2 | 1 | 1 | 3 | |
| Solutions | |||||||
| No. | x1 | x2 | x3 | x4 | x5 | R(%) | Probability |
| 1 | 4.00 | 15.18 | 167.52 | 129.29 | 36.96 | 67.08 | 0.857 |
| 2 | 3.78 | 15.14 | 167.51 | 129.17 | 36.96 | 66.93 | 0.857 |
| 3 | 4.08 | 15.61 | 167.53 | 128.57 | 36.96 | 67.44 | 0.852 |
| 4 | 4.03 | 15.14 | 167.52 | 96.14 | 36.96 | 64.36 | 0.835 |
| 5 | 3.70 | 15.14 | 167.53 | 90.66 | 36.96 | 63.71 | 0.829 |
| 6 | 4.01 | 15.14 | 167.53 | 122.99 | 26.14 | 63.16 | 0.824 |
| 7 | 3.80 | 15.29 | 167.53 | 129.29 | 18.04 | 63.45 | 0.824 |
| 8 | 4.12 | 15.14 | 167.52 | 72.07 | 36.77 | 62.25 | 0.819 |
| 9 | 4.00 | 15.14 | 167.53 | 63.65 | 36.96 | 61.79 | 0.812 |
| 10 | 3.83 | 15.14 | 167.53 | 73.06 | 19.15 | 58.75 | 0.782 |
| Soybean biomass, Zn(II), R(%) | |||||||
| Constraints | |||||||
| Variabile | Variation range | Lower limit | Upper limit | Minimum weight | Maximum weight | Importance | |
| x1 | experimental | 2.59 | 4.91 | 1 | 1 | 3 | |
| x2 | minimum | 15.14 | 29.86 | 1 | 1 | 3 | |
| x3 | maximum | 69.93 | 152.4 | 1 | 1 | 3 | |
| x4 | experimental | 55.71 | 129.29 | 1 | 1 | 3 | |
| x5 | experimental | 18.04 | 36.96 | 1 | 1 | 3 | |
| R | maximum | 23.7 | 79.4 | 1 | 1 | 3 | |
| Solutions | |||||||
| No. | x1 | x2 | x3 | x4 | x5 | R(%) | Probability |
| 1 | 4.05 | 15.72 | 152.40 | 129.29 | 35.07 | 49.76 | 0.766 |
| 2 | 4.05 | 15.14 | 152.40 | 129.29 | 26.53 | 48.69 | 0.765 |
| 3 | 4.00 | 15.16 | 152.40 | 129.27 | 25.06 | 48.59 | 0.764 |
| 4 | 4.01 | 15.60 | 152.40 | 129.26 | 29.28 | 49.27 | 0.763 |
| 5 | 4.38 | 15.14 | 152.40 | 117.63 | 36.96 | 47.96 | 0.756 |
| 6 | 3.72 | 15.18 | 152.40 | 98.05 | 18.04 | 45.11 | 0.726 |
| 7 | 3.81 | 15.14 | 152.40 | 75.24 | 35.81 | 44.65 | 0.722 |
| 8 | 4.33 | 15.17 | 152.40 | 68.19 | 36.70 | 43.87 | 0.712 |
| 9 | 3.80 | 15.14 | 152.39 | 62.25 | 36.96 | 43.62 | 0.71 |
| 10 | 4.00 | 15.28 | 152.40 | 71.49 | 18.17 | 43.22 | 0.703 |
| Soybean biomass, Zn(II), R(%) | |||||||
| Constraints | |||||||
| Variabile | Variation range | Lower limit | Upper limit | Minimum weight | Maximum weight | Importance | |
| x1 | experimental | 2.59 | 4.91 | 1 | 1 | 3 | |
| x2 | minimum | 15.14 | 29.86 | 1 | 1 | 3 | |
| x3 | maximum | 69.93 | 152.4 | 1 | 1 | 3 | |
| x4 | experimental | 55.71 | 129.29 | 1 | 1 | 3 | |
| x5 | experimental | 18.04 | 36.96 | 1 | 1 | 3 | |
| R | maximum | 21.9 | 82.8 | 1 | 1 | 3 | |
| Solutions | |||||||
| No. | x1 | x2 | x3 | x4 | x5 * | R(%) | Probability |
| 1 | 4.19 | 15.14 | 152.40 | 118.38 | 18.67 | 51 | 0.782 |
| 2 | 4.19 | 15.14 | 152.40 | 118.35 | 34.03 | 51 | 0.782 |
| 3 | 4.18 | 15.14 | 152.40 | 118.86 | 36.56 | 51 | 0.782 |
| 4 | 4.19 | 15.15 | 152.40 | 118.71 | 25.27 | 51 | 0.782 |
| 5 | 4.19 | 15.15 | 152.40 | 117.83 | 36.89 | 51 | 0.782 |
| 6 | 4.19 | 15.14 | 152.28 | 117.96 | 24.99 | 51.02 | 0.782 |
| 7 | 4.22 | 15.14 | 152.40 | 129.14 | 29.26 | 50.84 | 0.78 |
| 8 | 4.25 | 15.14 | 152.40 | 107.70 | 19.35 | 50.82 | 0.78 |
| 9 | 4.21 | 15.53 | 152.40 | 115.01 | 32.83 | 51.45 | 0.779 |
| 10 | 3.52 | 15.17 | 152.40 | 122.77 | 36.96 | 48.98 | 0.763 |
| * has no effect on optimization results | |||||||
| Soybean Biomass, Pb(II), q(mg/g) | |||||||
| Constraints | |||||||
| Variabile | Variation range | Lower limit | Upper limit | Minimum weight | Maximum weight | Importance | |
| x1 | experimental | 2.59 | 4.91 | 1 | 1 | 3 | |
| x2 | minimum | 15.14 | 29.86 | 1 | 1 | 3 | |
| x3 | maximum | 128.96 | 299.15 | 1 | 1 | 3 | |
| x4 | experimental | 55.71 | 129.29 | 1 | 1 | 3 | |
| x5 | experimental | 18.04 | 36.96 | 1 | 1 | 3 | |
| q | maximum | 2.9 | 27.8 | 1 | 1 | 3 | |
| Solutions | |||||||
| No. | x1 | x2 | x3 | x4 | x5 | q(mg/g) | Probability |
| 1 | 4.03 | 15.14 | 299.15 | 110.38 | 36.96 | 24.07 | 0.947 |
| 2 | 4.90 | 15.14 | 299.13 | 106.96 | 36.56 | 24.06 | 0.947 |
| 3 | 4.33 | 15.14 | 299.10 | 95.85 | 36.96 | 23.65 | 0.941 |
| 4 | 3.32 | 15.14 | 299.15 | 118.21 | 36.96 | 23.35 | 0.937 |
| 5 | 3.39 | 15.14 | 299.15 | 128.56 | 30.42 | 23.21 | 0.934 |
| 6 | 4.91 | 15.14 | 299.15 | 95.92 | 33.00 | 23.19 | 0.934 |
| 7 | 4.71 | 15.19 | 299.15 | 129.29 | 18.09 | 23.02 | 0.93 |
| 8 | 3.75 | 15.15 | 299.10 | 76.92 | 36.96 | 22.31 | 0.92 |
| 9 | 3.19 | 15.14 | 299.15 | 121.70 | 18.04 | 21.12 | 0.901 |
| 10 | 4.67 | 15.14 | 299.10 | 75.91 | 18.54 | 20.81 | 0.896 |
| Soybean waste biomass, Pb(II), q(mg/g) | |||||||
| Constraints | |||||||
| Variabile | Variation range | Lower limit | Upper limit | Minimum weight | Maximum weight | Importance | |
| x1 | experimental | 2.59 | 4.91 | 1 | 1 | 3 | |
| x2 | minimum | 15.14 | 29.86 | 1 | 1 | 3 | |
| x3 | maximum | 128.96 | 299.15 | 1 | 1 | 3 | |
| x4 | experimental | 55.71 | 129.29 | 1 | 1 | 3 | |
| x5 | experimental | 18.04 | 36.96 | 1 | 1 | 3 | |
| q | maximum | 2.8 | 29.4 | 1 | 1 | 3 | |
| Solutions | |||||||
| No. | x1 | x2 | x3 | x4 | x5 | q(mg/g) | Probability |
| 1 | 4.38 | 15.14 | 299.15 | 67.04 | 36.96 | 28.44 | 0.988 |
| 2 | 4.24 | 15.14 | 299.15 | 94.63 | 36.94 | 28.15 | 0.984 |
| 3 | 4.16 | 15.14 | 299.15 | 121.50 | 35.20 | 27.78 | 0.979 |
| 4 | 4.57 | 15.14 | 299.15 | 64.80 | 32.50 | 27.67 | 0.978 |
| 5 | 4.33 | 15.14 | 299.15 | 118.99 | 31.69 | 27.65 | 0.978 |
| 6 | 3.64 | 15.14 | 299.15 | 108.99 | 36.96 | 27.39 | 0.974 |
| 7 | 3.81 | 15.14 | 299.15 | 116.03 | 18.04 | 26.52 | 0.962 |
| 8 | 4.03 | 15.14 | 299.15 | 82.37 | 22.77 | 26.34 | 0.96 |
| 9 | 3.85 | 15.14 | 299.13 | 62.19 | 24.89 | 26.1 | 0.957 |
| 10 | 2.87 | 15.14 | 299.15 | 55.71 | 36.04 | 25.61 | 0.95 |
| Soybean biomass, Cd(II), q(mg/g) | |||||||
| Constraints | |||||||
| Variabile | Variation range | Lower limit | Upper limit | Minimum weight | Maximum weight | Importance | |
| x1 | experimental | 2.59 | 4.91 | 1 | 1 | 3 | |
| x2 | minimum | 15.14 | 29.86 | 1 | 1 | 3 | |
| x3 | maximum | 73.35 | 166.41 | 1 | 1 | 3 | |
| x4 | experimental | 55.71 | 129.29 | 1 | 1 | 3 | |
| x5 | experimental | 18.04 | 36.96 | 1 | 1 | 3 | |
| q | maximum | 0.8 | 25.2 | 1 | 1 | 3 | |
| Solutions | |||||||
| No. | x1 | x2 | x3 | x4 | x5 | q(mg/g) | Probability |
| 1 | 4.37 | 15.14 | 166.39 | 128.73 | 36.96 | 24.024 | 0.984 |
| 2 | 4.91 | 15.14 | 166.41 | 128.82 | 35.56 | 23.17 | 0.971 |
| 3 | 3.54 | 15.14 | 166.41 | 128.11 | 36.96 | 23.16 | 0.972 |
| 4 | 4.49 | 15.14 | 166.41 | 78.10 | 36.96 | 22.9 | 0.968 |
| 5 | 3.83 | 15.14 | 166.41 | 55.71 | 26.16 | 18.29 | 0.895 |
| 6 | 3.84 | 15.14 | 166.41 | 129.29 | 21.53 | 16.97 | 0.872 |
| 7 | 4.19 | 15.14 | 166.24 | 55.71 | 18.99 | 16.44 | 0.862 |
| 8 | 2.59 | 17.87 | 165.80 | 56.24 | 36.96 | 19.63 | 0.855 |
| 9 | 3.36 | 15.14 | 166.13 | 129.22 | 18.04 | 15.35 | 0.841 |
| 10 | 2.67 | 21.87 | 166.41 | 55.71 | 18.14 | 10.88 | 0.608 |
| Soybean waste biomass, Cd(II), q(mg/g) | |||||||
| Constraints | |||||||
| Variabile | Variation range | Lower limit | Upper limit | Minimum weight | Maximum weight | Importance | |
| x1 | experimental | 2.59 | 4.91 | 1 | 1 | 3 | |
| x2 | minimum | 15.14 | 29.86 | 1 | 1 | 3 | |
| x3 | maximum | 73.35 | 166.41 | 1 | 1 | 3 | |
| x4 | experimental | 55.71 | 129.29 | 1 | 1 | 3 | |
| x5 | experimental | 18.04 | 36.96 | 1 | 1 | 3 | |
| q | maximum | 1.1 | 29.5 | 1 | 1 | 3 | |
| Solutions | |||||||
| No. | x1 | x2 | x3 | x4 | x5 | q(mg/g) | Probability |
| 1 | 4.29 | 15.14 | 166.41 | 129.29 | 36.95 | 27.78 | 0.979 |
| 2 | 4.04 | 15.14 | 166.41 | 74.01 | 36.96 | 27.43 | 0.975 |
| 3 | 4.24 | 15.14 | 166.41 | 89.03 | 36.96 | 27.23 | 0.973 |
| 4 | 3.82 | 15.14 | 166.41 | 87.43 | 36.96 | 27.21 | 0.972 |
| 5 | 4.73 | 15.14 | 166.41 | 129.29 | 36.95 | 27.15 | 0.972 |
| 6 | 3.53 | 15.14 | 166.41 | 67.79 | 36.96 | 27.13 | 0.972 |
| 7 | 3.89 | 15.49 | 166.41 | 120.96 | 36.96 | 27.68 | 0.97 |
| 8 | 4.70 | 15.14 | 165.22 | 55.73 | 36.96 | 26.99 | 0.966 |
| 9 | 4.13 | 15.14 | 165.36 | 129.29 | 35.45 | 26.6 | 0.961 |
| 10 | 4.91 | 15.14 | 166.41 | 70.72 | 32.11 | 23.46 | 0.923 |
| Soybean biomass, Zn(II), q(mg/g) | |||||||
| Constraints | |||||||
| Variabile | Variation range | Lower limit | Upper limit | Minimum weight | Maximum weight | Importance | |
| x1 | experimental | 2.59 | 4.91 | 1 | 1 | 3 | |
| x2 | minimum | 15.14 | 29.86 | 1 | 1 | 3 | |
| x3 | maximum | 69.93 | 152.4 | 1 | 1 | 3 | |
| x4 | experimental | 55.71 | 129.29 | 1 | 1 | 3 | |
| x5 | experimental | 18.04 | 36.96 | 1 | 1 | 3 | |
| q | maximum | 1.1 | 10.5 | 1 | 1 | 3 | |
| Solutions | |||||||
| No. | x1 | x2 | x3 | x4 | x5 | q(mg/g) | Probability |
| 1 | 3.66 | 15.14 | 152.40 | 88.17 | 29.02 | 10.97 | 0.999 |
| 2 | 3.04 | 15.14 | 152.40 | 96.51 | 25.09 | 10.84 | 0.999 |
| 3 | 3.78 | 15.14 | 152.40 | 86.51 | 32.88 | 10.93 | 0.999 |
| 4 | 4.35 | 15.14 | 152.40 | 74.83 | 33.35 | 10.55 | 0.999 |
| 5 | 4.13 | 15.14 | 152.40 | 69.14 | 30.73 | 10.5 | 0.999 |
| 6 | 3.43 | 15.14 | 152.40 | 71.43 | 31.49 | 10.55 | 0.999 |
| 7 | 3.90 | 15.14 | 152.40 | 67.72 | 31.00 | 10.5 | 0.999 |
| 8 | 4.73 | 15.14 | 152.40 | 125.03 | 18.82 | 10.76 | 0.999 |
| 9 | 4.00 | 15.14 | 152.40 | 114.03 | 20.21 | 11.18 | 0.999 |
| 10 | 2.72 | 15.21 | 152.38 | 55.71 | 18.87 | 9.63 | 0.966 |
| Soybean waste biomass, Zn(II), q(mg/g) | |||||||
| Constraints | |||||||
| Variabile | Variation range | Lower limit | Upper limit | Minimum weight | Maximum weight | Importance | |
| x1 | experimental | 2.59 | 4.91 | 1 | 1 | 3 | |
| x2 | minimum | 15.14 | 29.85 | 1 | 1 | 3 | |
| x3 | maximum | 69.93 | 152.41 | 1 | 1 | 3 | |
| x4 | experimental | 55.71 | 129.29 | 1 | 1 | 3 | |
| x5 | experimental | 18.04 | 36.96 | 1 | 1 | 3 | |
| q | maximum | 1.9 | 15.9 | 1 | 1 | 3 | |
| Solutions | |||||||
| No. | x1 | x2 | x3 | x4 | x5 | q(mg/g) | Probability |
| 1 | 3.73 | 15.14 | 152.40 | 87.21 | 36.40 | 16.55 | 0.999 |
| 2 | 4.16 | 15.14 | 152.40 | 87.47 | 34.66 | 15.91 | 0.999 |
| 3 | 3.97 | 15.14 | 152.40 | 101.60 | 35.39 | 15.99 | 0.999 |
| 4 | 3.40 | 15.14 | 152.40 | 85.39 | 36.19 | 16.37 | 0.999 |
| 5 | 3.60 | 15.14 | 152.40 | 128.91 | 36.96 | 15.66 | 0.994 |
| 6 | 3.53 | 15.14 | 152.06 | 55.71 | 30.48 | 14.89 | 0.974 |
| 7 | 4.15 | 15.81 | 152.27 | 129.07 | 36.96 | 15.34 | 0.971 |
| 8 | 3.84 | 15.14 | 152.40 | 55.71 | 26.20 | 13.96 | 0.951 |
| 9 | 4.30 | 15.14 | 152.40 | 105.00 | 24.33 | 13.47 | 0.938 |
| 10 | 4.36 | 15.14 | 152.36 | 55.72 | 23.63 | 13.14 | 0.929 |
| (a) | ||||||||||||
| No. | x1 (pH) | x2 (DS) | x3 (c0) | x4 (tc) | x5 (T) | Rexp (%) | Rcalc (%) | |||||
| calc | exp | calc | exp | calc | exp | calc | exp | calc | exp | |||
| Soybean biomass, Pb(II), R(%) | ||||||||||||
| 1 | 4.02 | 4.00 | 29.86 | 30.00 | 129.03 | 124.93 | 129.29 | 129.00 | 32.79 | 30.00 | 73.17 | 78.13 |
| Soybean waste biomass, Pb(II) R(%) | ||||||||||||
| 2 | 4.23 | 4.20 | 29.86 | 30.00 | 128.96 | 124.93 | 129.29 | 129.00 | 34.37 | 30.00 | 78.12 | 77.40 |
| Soybean biomass, Cd(II), R(%) | ||||||||||||
| 3 | 4.06 | 4.00 | 29.86 | 30.00 | 73.35 | 74.96 | 129.28 | 129.00 | 18.25 | 20.00 | 72.31 | 89.62 |
| Soybean waste biomass, Cd(II), R(%) | ||||||||||||
| 4 | 3.93 | 4.00 | 29.86 | 30.00 | 76.89 | 74.96 | 128.04 | 128.00 | 18.06 | 20.00 | 72.67 | 85.03 |
| Soybean biomass, Zn(II), R(%) | ||||||||||||
| 5 | 4.18 | 4.20 | 29.86 | 30.00 | 70.60 | 72.32 | 129.22 | 129.00 | 18.04 | 20.00 | 58.79 | 69.39 |
| Soybean waste biomass, Zn(II), R(%) | ||||||||||||
| 6 | 4.18 | 4.20 | 27.3 | 30.00 | 69.93 | 72.32 | 118.59 | 119.00 | 33.02 | 30.00 | 59.03 | 69.97 |
| (b) | ||||||||||||
| No. | x1 (pH) | x2 (DS) | x3 (c0) | x4 (tc) | x5 (T) | qexp (mg/g) | qcalc (mg/g) | |||||
| calc | exp | calc | exp | calc | exp | calc | exp | calc | exp | |||
| Soybean biomass, Pb(II), q(mg/g) | ||||||||||||
| 7 | 4.50 | 4.50 | 15.14 | 15.00 | 297.55 | 291.51 | 129.23 | 129.00 | 36.96 | 30.00 | 19.86 | 25.04 |
| Soybean waste biomass, Pb(II), q(mg/g) | ||||||||||||
| 8 | 4.29 | 4.30 | 15.16 | 15.00 | 299.15 | 291.51 | 73.55 | 74.00 | 36.96 | 30.00 | 20.12 | 28.36 |
| Soybean biomass, Cd(II), q(mg/g) | ||||||||||||
| 9 | 4.44 | 4.50 | 15.14 | 15.00 | 166.41 | 165.08 | 129.29 | 129.00 | 36.96 | 30.00 | 15.91 | 24.08 |
| Soybean waste biomass, Cd(II), q(mg/g) | ||||||||||||
| 10 | 4.19 | 4.20 | 19.18 | 19.00 | 166.03 | 165.08 | 55.71 | 56.00 | 36.94 | 30.00 | 15.93 | 28.18 |
| Soybean biomass, Zn(II), q(mg/g) | ||||||||||||
| 11 | 3.87 | 4.00 | 16.76 | 17.00 | 150.2 | 146.17 | 115.39 | 115.00 | 23.68 | 20.00 | 9.08 | 10.97 |
| Soybean waste biomass, Zn(II), q(mg/g) | ||||||||||||
| 12 | 3.83 | 4.00 | 15.46 | 15.50 | 143.90 | 146.17 | 98.83 | 99.00 | 36.78 | 30.00 | 10.25 | 15.98 |
| No. | x1 (pH) | x2 (DS) | x3 (c0) | x4 (tc) | x5 (T) | Rexp (%) | Rcalc (%) | |||||
|---|---|---|---|---|---|---|---|---|---|---|---|---|
| calc | exp | calc | exp | calc | exp | calc | exp | calc | exp | |||
| Soybean biomass, Pb(II), R(%) | ||||||||||||
| 1 | 4.03 | 4.00 | 15.14 | 15.00 | 299.15 | 291.51 | 129.29 | 129.00 | 19.77 | 20.00 | 62.07 | 57.78 |
| Soybean waste biomass, Pb(II), R(%) | ||||||||||||
| 2 | 4.18 | 4.20 | 15.14 | 15.00 | 299.15 | 291.51 | 129.29 | 129.00 | 29.25 | 30.00 | 65.18 | 57.21 |
| Soybean biomass, Cd(II), R(%) | ||||||||||||
| 3 | 4.03 | 4.00 | 15.14 | 15.00 | 166.31 | 165.08 | 129.29 | 129.00 | 34.12 | 30.00 | 59.91 | 66.49 |
| Soybean waste biomass, Cd(II), R(%) | ||||||||||||
| 4 | 4.00 | 4.00 | 15.18 | 15.00 | 167.52 | 165.08 | 129.29 | 129.00 | 36.96 | 30.00 | 63.17 | 67.08 |
| Soybean biomass, Zn(II), R(%) | ||||||||||||
| 5 | 4.05 | 4.00 | 15.72 | 16.00 | 152.40 | 146.17 | 129.29 | 129.00 | 35.07 | 30.00 | 42.46 | 49.76 |
| Soybean waste biomass, Zn(II), R(%) | ||||||||||||
| 6 | 4.19 | 4.20 | 15.14 | 15.00 | 152.40 | 146.17 | 118.38 | 119.00 | 18.67 | 20.00 | 53.07 | 51.00 |
Publisher’s Note: MDPI stays neutral with regard to jurisdictional claims in published maps and institutional affiliations. |
© 2022 by the authors. Licensee MDPI, Basel, Switzerland. This article is an open access article distributed under the terms and conditions of the Creative Commons Attribution (CC BY) license (https://creativecommons.org/licenses/by/4.0/).
Share and Cite
Fertu, D.I.; Bulgariu, L.; Gavrilescu, M. Modeling and Optimization of Heavy Metals Biosorption by Low-Cost Sorbents Using Response Surface Methodology. Processes 2022, 10, 523. https://doi.org/10.3390/pr10030523
Fertu DI, Bulgariu L, Gavrilescu M. Modeling and Optimization of Heavy Metals Biosorption by Low-Cost Sorbents Using Response Surface Methodology. Processes. 2022; 10(3):523. https://doi.org/10.3390/pr10030523
Chicago/Turabian StyleFertu, Daniela Ionela, Laura Bulgariu, and Maria Gavrilescu. 2022. "Modeling and Optimization of Heavy Metals Biosorption by Low-Cost Sorbents Using Response Surface Methodology" Processes 10, no. 3: 523. https://doi.org/10.3390/pr10030523
APA StyleFertu, D. I., Bulgariu, L., & Gavrilescu, M. (2022). Modeling and Optimization of Heavy Metals Biosorption by Low-Cost Sorbents Using Response Surface Methodology. Processes, 10(3), 523. https://doi.org/10.3390/pr10030523

