Investigation on the Effects and Mechanisms of Alkaline Natural Mineral Water and Distilled Water on Ethanol-Induced Gastric Ulcers In Vivo and In Vitro
Abstract
1. Introduction
2. Materials and Methods
2.1. Chemicals and Reagents
2.2. Animal Experiment
2.3. Biochemical Index Analysis
2.4. Histopathological Assessment
2.5. Immunohistochemical Staining
2.6. Western Blot Analysis
2.7. Determination of Pepsin Activity
2.8. Statistical Analysis
3. Results and Discussion
3.1. Morphological and Histopathological Examinations
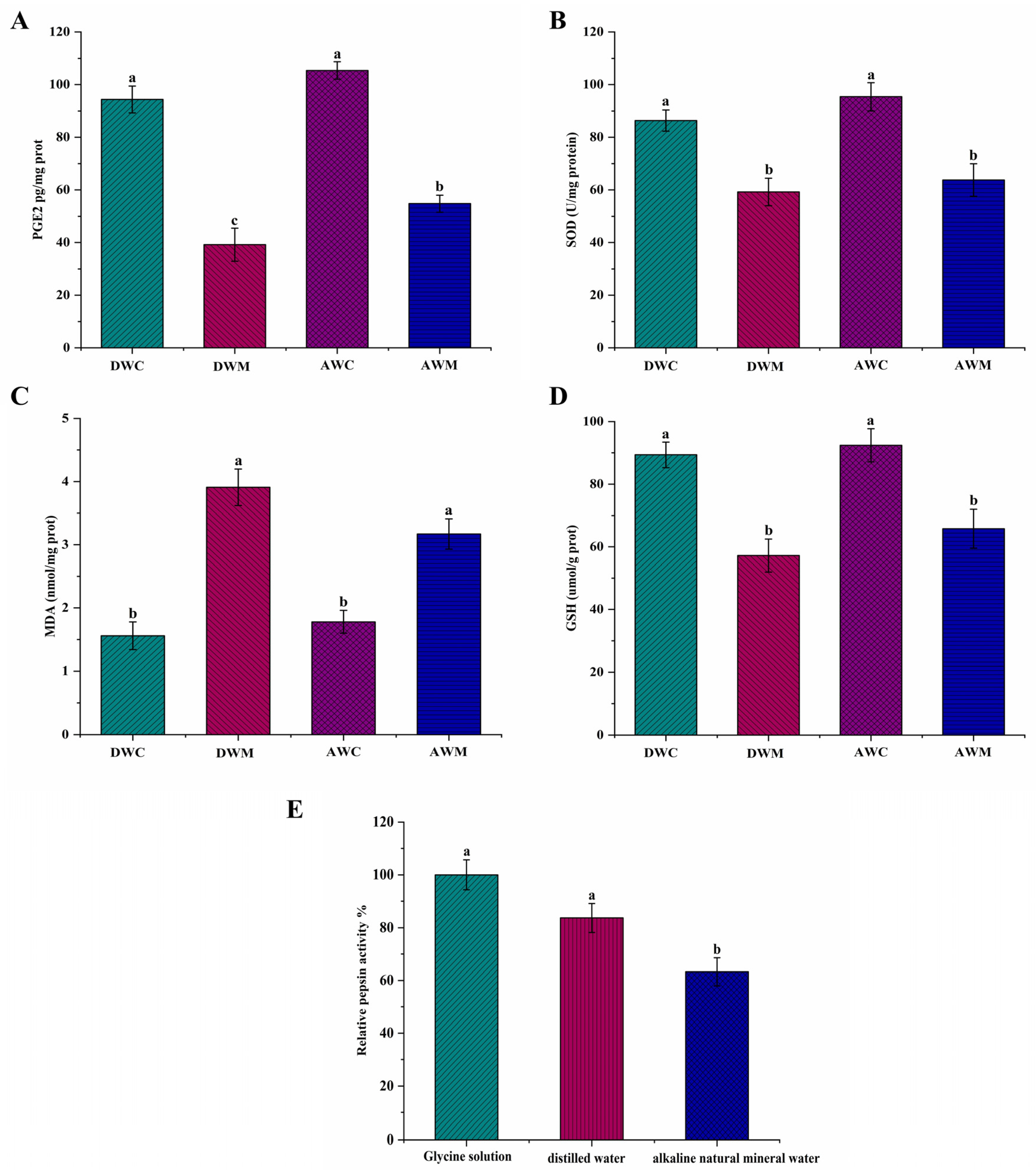
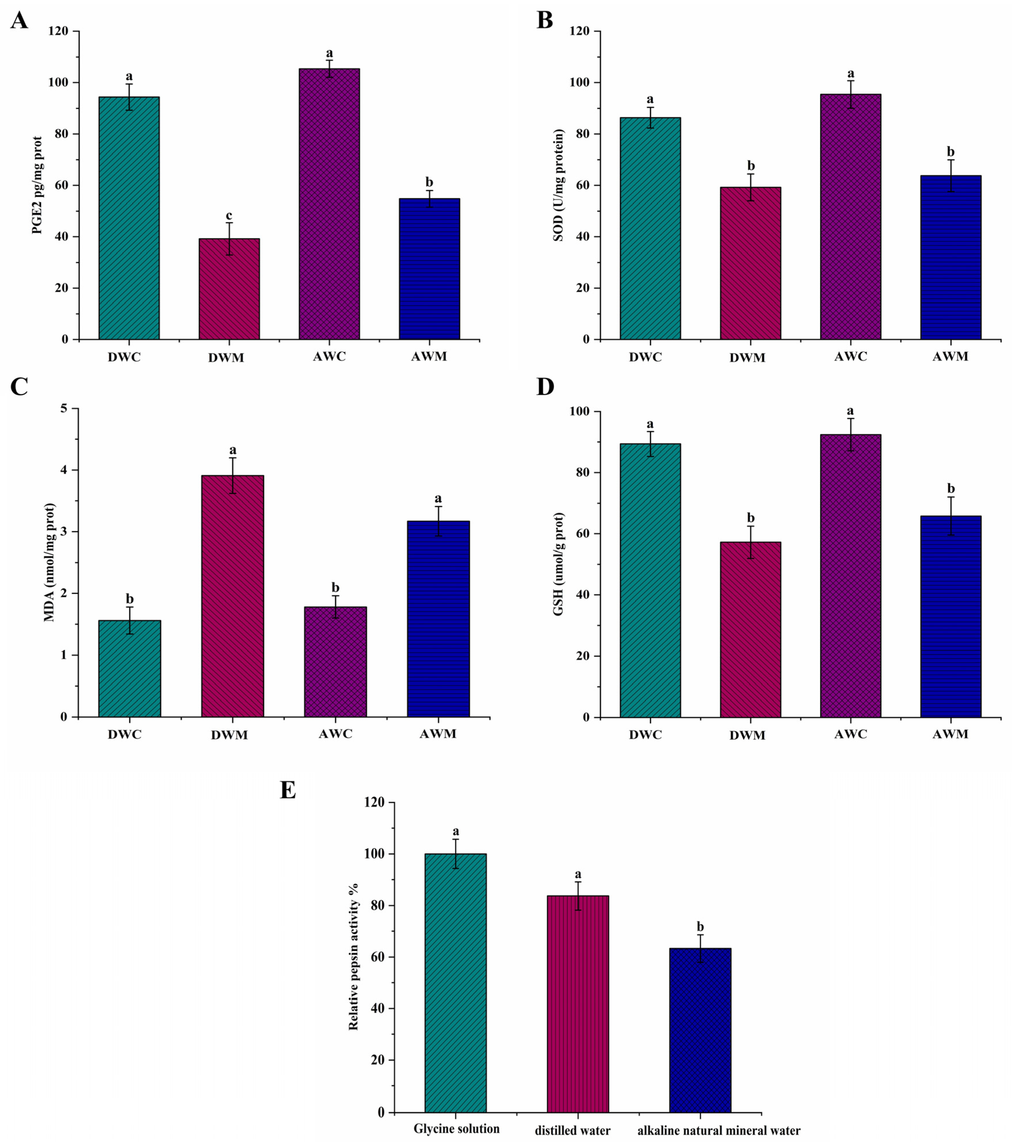
3.2. Determination of Biochemical Parameters and Pepsin Activity in Tissues
3.3. Expression of Oxidative Stress Pathway Related Proteins
3.4. Expression of HSP70
4. Conclusions
Author Contributions
Funding
Institutional Review Board Statement
Informed Consent Statement
Data Availability Statement
Conflicts of Interest
References
- Long, X.; Zhao, X.; Wang, W.; Zhang, Y.; Wang, H.; Liu, X.; Suo, H. Protective effect of silkworm pupa oil on hydrochloric acid/ethanol-induced gastric ulcers. J. Sci. Food Agric. 2018, 99, 2974–2986. [Google Scholar] [CrossRef] [PubMed]
- Golbabapour, S.; Hajrezaie, M.; Hassandarvish, P.; Majid, N.A.; Hadi, A.H.A.; Nordin, N.; Abdulla, M.A. Acute Toxicity and Gastroprotective Role of M. pruriens in Ethanol-Induced Gastric Mucosal Injuries in Rats. BioMed Res. Int. 2013, 2013, 974185. [Google Scholar] [CrossRef] [PubMed]
- Zhang, C.; Gao, F.; Gan, S.; He, Y.; Chen, Z.; Liu, X.; Fu, C.; Qu, Y.; Zhang, J. Chemical characterization and gastroprotective effect of an isolated polysaccharide fraction from Bletilla striata against ethanol-induced acute gastric ulcer. Food Chem. Toxicol. 2019, 131, 110539. [Google Scholar] [CrossRef] [PubMed]
- Xu, P.; Yang, L.; Yuan, R.-Y.; Ye, Z.-Y.; Ye, H.-R.; Ye, M. Structure and preventive effects against ethanol-induced gastric ulcer of an expolysaccharide from Lachnum sp. Int. J. Biol. Macromol. 2016, 86, 10–17. [Google Scholar] [CrossRef]
- Parvan, M.; Sajjadi, S.-E.; Minaiyan, M. Protective Effect of Two Extracts of Cydonia oblonga Miller (Quince) Fruits on Gastric Ulcer Induced by Indomethacin in Rats. Int. J. Prev. Med. 2017, 8, 58. [Google Scholar] [CrossRef]
- Xie, L.; Guo, Y.; Chen, Y.; Zhang, L.; Wang, Z.; Zhang, T.; Wang, B. A potential drug combination of omeprazole and patchouli alcohol significantly normalizes oxidative stress and inflammatory responses against gastric ulcer in ethanol-induced rat model. Int. Immunopharmacol. 2020, 85, 106660. [Google Scholar] [CrossRef]
- Suleyman, H.; Albayrak, A.; Bilici, M.; Cadirci, E.; Halici, Z. Different Mechanisms in Formation and Prevention of Indomethacin-induced Gastric Ulcers. Inflammation 2010, 33, 224–234. [Google Scholar] [CrossRef]
- Guo, M.; Yu, H.; Meng, M.; Wang, C. Research on the structural characteristics of a novel Chinese iron Yam polysaccharide and its gastroprotection mechanism against ethanol-induced gastric mucosal lesion in a BALB/c mouse model. Food Funct. 2020, 11, 6054–6065. [Google Scholar] [CrossRef]
- Mohan, S.; Hobani, Y.H.; Shaheen, E.; Abou-Elhamd, A.S.; Abdelhaleem, A.; Alhazmi, H.A.; Abdelwahab, S.I. Ameliorative effect of Boesenbergin A, a chalcone isolated from Boesenbergia rotunda (Fingerroot) on oxidative stress and inflammation in ethanol-induced gastric ulcer in vivo. J. Ethnopharmacol. 2020, 261, 113104. [Google Scholar] [CrossRef]
- Bajgai, J.; Kim, C.-S.; Rahman, M.H.; Jeong, E.-S.; Jang, H.-Y.; Kim, K.-E.; Choi, J.; Cho, I.-Y.; Lee, K.-J.; Lee, M. Effects of Alkaline-Reduced Water on Gastrointestinal Diseases. Processes 2022, 10, 87. [Google Scholar] [CrossRef]
- Koufman, J.A.; Johnston, N. Potential benefits of pH 8.8 alkaline drinking water as an adjunct in the treatment of reflux disease. Ann. Otol. Rhinol. Laryngol. 2012, 121, 431–434. [Google Scholar] [CrossRef] [PubMed]
- Nassini, R.; Andrè, E.; Gazzieri, D.; Siena, G.D.; Zanasi, A.; Geppetti, P.; Materazzi, S. A Bicarbonate-Alkaline Mineral Water Protects from Ethanol-Induced Hemorrhagic Gastric Lesions in Mice. Biol. Pharm. Bull. 2010, 33, 1319–1323. [Google Scholar] [CrossRef] [PubMed][Green Version]
- Wu, Z.; Ma, Y.; Gong, X.; Zhang, Y.; Cai, S. Rhus chinensis Mill. fruits prevent high-fat/ethanol diet-induced alcoholic fatty liver in rats via AMPK/STREP-1/FAS signaling pathway. J. Funct. Foods 2019, 61, 103498. [Google Scholar] [CrossRef]
- Su, M.; Li, C.; Zhou, L.; Yan, Y.; Ao, L.; Wang, G.; Fang, W.; Li, Y. Anti-ulcerogenic effect of KFP-H008 against ethanol-induced gastric ulcer via p38 MAPK/NF-κB pathway. RSC Adv. 2017, 7, 49423. [Google Scholar] [CrossRef]
- Wang, X.-Y.; Yin, J.-Y.; Zhao, M.-M.; Liu, S.-Y.; Nie, S.-P.; Xie, M.-Y. Gastroprotective activity of polysaccharide from Hericium erinaceus against ethanol-induced gastric mucosal lesion and pylorus ligation-induced gastric ulcer, and its antioxidant activities. Carbohydr. Polym. 2018, 186, 100–109. [Google Scholar] [CrossRef]
- Zhang, Y.; Wang, H.; Mei, N.; Ma, C.; Lou, Z.; Lv, W.; He, G. Protective effects of polysaccharide from Dendrobium nobile against ethanol-induced gastric damage in rats. Int. J. Biol. Macromol. 2018, 107, 230–235. [Google Scholar] [CrossRef]
- Li, S.; Zhou, S.; Yang, W.; Meng, D. Gastro-protective effect of edible plant Artemisia argyi in ethanol-induced rats via normalizing inflammatory responses and oxidative stress. J. Ethnopharmacol. 2018, 214, 207–217. [Google Scholar] [CrossRef]
- El-Ghffar, E.A.A.; Al-Sayed, E.; Shehata, S.M.; Eldahshan, O.A.; Efferth, T. The protective role of Ocimum basilicum L. (Basil) against aspirin-induced gastric ulcer in mice: Impact on oxidative stress, inflammation, motor deficits and anxiety-like behavior. Food Funct. 2018, 9, 4457–4468. [Google Scholar] [CrossRef]
- Ding, Y.; Chen, M.; Wang, M.; Li, Y.; Wen, A.D. Posttreatment with 11-Keto-β-Boswellic Acid Ameliorates Cerebral Ischemia-Reperfusion Injury: Nrf2/HO-1 Pathway as a Potential Mechanism. Mol. Neurobiol. 2015, 52, 1430–1439. [Google Scholar] [CrossRef]
- Liu, Y.; Sui, D.; Fu, W.; Sun, L.; Li, Y.; Yu, P.; Yu, X.; Zhou, Y.; Xu, H. Protective effects of polysaccharides from panax ginseng on acute gastric ulcer induced by ethanol in rats. Food Funct. 2021, 12, 2741–2749. [Google Scholar] [CrossRef]
- Logozzi, M.; Mizzoni, D.; Raimo, R.D.; Andreotti, M.; Macchia, D.; Spada, M.; Fais, S. In vivo antiaging effects of alkaline water supplementation. J. Enzym. Inhib. Med. Chem. 2020, 35, 657–664. [Google Scholar] [CrossRef] [PubMed]
- Astigiano, S.; Puglisi, A.; Mastracci, L.; Fais, S.; Barbieri, O. Systemic alkalinisation delays prostate cancer cell progression in TRAMP mice. J. Enzym. Inhib. Med. Chem. 2017, 32, 363–368. [Google Scholar] [CrossRef] [PubMed]
- Azzarito, T.; Lugini, L.; Spugnini, E.P.; Canese, R.; Gugliotta, A.; Fidanza, S.; Fais, S. Effect of Modified Alkaline Supplementation on Syngenic Melanoma Growth in CB57/BL Mice. PLoS ONE 2016, 11, e0159763. [Google Scholar] [CrossRef] [PubMed]
- Zhou, D.; Yang, Q.; Tian, T.; Chang, Y.; Li, Y.; Duan, L.; Li, H.; Wang, S. Gastroprotective effect of gallic acid against ethanol-induced gastric ulcer in rats: Involvement of the Nrf2/HO-1 signaling and anti-apoptosis role. Biomed. Pharmacother. 2020, 126, 110075. [Google Scholar] [CrossRef]
- Rahman, Z.; Dwidevi, D.; Jena, G. Ethanol-induced gastric ulcer in rats and intervention of tert-butylhydroquinone: Involvement of Nrf2/HO-1 signalling pathway. Hum. Exp. Toxicol. 2020, 39, 547–562. [Google Scholar] [CrossRef] [PubMed]
- Nguyen, T.; Nioi, P.; Pickett, C.B. The Nrf2-Antioxidant Response Element Signaling Pathway and Its Activation by Oxidative Stress. J. Biol. Chem. 2009, 284, 13291. [Google Scholar] [CrossRef]
- Ryter, S.W.; Alam, J.; Choi, A.M.K. Heme Oxygenase-1/Carbon Monoxide: From Basic Science to Therapeutic Applications. Physiol. Rev. 2006, 86, 583–650. [Google Scholar] [CrossRef]
- Zhu, H.; Jia, Z.; Mahaney, J.E.; Ross, D.; Misra, H.P.; Trush, M.A.; Li, Y. The Highly Expressed and Inducible Endogenous NAD(P)H:quinone Oxidoreductase 1 in Cardiovascular Cells Acts as a Potential Superoxide Scavenger. Cardiovasc. Toxicol. 2007, 7, 202–211. [Google Scholar] [CrossRef]
- Yang, Y.; Sun, Y.; Zhang, N.; Li, J.; Zhang, C.; Duan, X.; Ding, Y.; Zhao, R.; Zheng, Z.; Geng, D.; et al. The up-regulation of two identified wound healing specific proteins-HSP70 and lysozyme in regenerated Eisenia fetida through transcriptome analysis. J. Ethnopharmacol. 2019, 237, 64–73. [Google Scholar] [CrossRef]
- Sidahmed, H.M.A.; Vadivelu, J.; Loke, M.F.; Arbab, I.A.; Abdul, B.; Sukari, M.A.; Abdelwahab, S.I. Anti-ulcerogenic activity of dentatin from clausena excavata Burm. f. against ethanol-induced gastric ulcer in rats: Possible role of mucus and anti-oxidant effect. Phytomedicine 2019, 55, 31–39. [Google Scholar] [CrossRef]
- Mohan, S.; Hobani, Y.H.; Shaheen, E.; Abou-Elhamd, A.S.; Abdelhaleem, A.; Alhazmi, H.A.; Abdelwahab, S.I. Girinimbine from curry leaves promotes gastroprotection against ethanol induced peptic ulcers and improves healing via regulation of anti-inflammatory and antioxidant mechanisms. Food Funct. 2020, 11, 3493–3505. [Google Scholar] [CrossRef] [PubMed]
- Badawy, S.A.E.; Ogaly. H., A.; Abd-Elsalam, R.M.; Azouz, A.A. Benzyl isothiocyanates modulate inflammation, oxidative stress, and apoptosis via Nrf2/HO-1 and NF-κB signaling pathways on indomethacin-induced gastric injury in rats. Food Funct. 2021, 12, 6001–6013. [Google Scholar] [CrossRef] [PubMed]
- Leu, J.I.-J.; Barnoud, T.; Zhang, G.; Tian, T.; Wei, Z.; Herlyn, M.; Murphy, M.E.; George, D. Inhibition of stress-inducible HSP70 impairs mitochondrial proteostasis and function. Oncotarget 2017, 8, 45656–45669. [Google Scholar] [CrossRef] [PubMed]
- Ishihara, T.; Suemasu, S.; Asano, T.; Tanaka, K.I.; Mizushima, T. Stimulation of gastric ulcer healing by heat shock protein 70. Biochem. Pharmacol. 2011, 82, 728–736. [Google Scholar] [CrossRef]





Publisher’s Note: MDPI stays neutral with regard to jurisdictional claims in published maps and institutional affiliations. |
© 2022 by the authors. Licensee MDPI, Basel, Switzerland. This article is an open access article distributed under the terms and conditions of the Creative Commons Attribution (CC BY) license (https://creativecommons.org/licenses/by/4.0/).
Share and Cite
Sun, Y.; Zheng, J.; Yi, J.; Cai, S. Investigation on the Effects and Mechanisms of Alkaline Natural Mineral Water and Distilled Water on Ethanol-Induced Gastric Ulcers In Vivo and In Vitro. Processes 2022, 10, 498. https://doi.org/10.3390/pr10030498
Sun Y, Zheng J, Yi J, Cai S. Investigation on the Effects and Mechanisms of Alkaline Natural Mineral Water and Distilled Water on Ethanol-Induced Gastric Ulcers In Vivo and In Vitro. Processes. 2022; 10(3):498. https://doi.org/10.3390/pr10030498
Chicago/Turabian StyleSun, Yilin, Jingyi Zheng, Junjie Yi, and Shengbao Cai. 2022. "Investigation on the Effects and Mechanisms of Alkaline Natural Mineral Water and Distilled Water on Ethanol-Induced Gastric Ulcers In Vivo and In Vitro" Processes 10, no. 3: 498. https://doi.org/10.3390/pr10030498
APA StyleSun, Y., Zheng, J., Yi, J., & Cai, S. (2022). Investigation on the Effects and Mechanisms of Alkaline Natural Mineral Water and Distilled Water on Ethanol-Induced Gastric Ulcers In Vivo and In Vitro. Processes, 10(3), 498. https://doi.org/10.3390/pr10030498

