Macro-Batch and Continuously Operated Microfluidic Emulsification—Differences, Similarities and Optimization
Abstract
:1. Introduction
2. Materials and Methods
2.1. Materials
2.2. Methods
2.2.1. High Shear Batch Emulsification in a Macro-System
2.2.2. Continuously Operated Emulsification in a Microfluidic System
2.2.3. Microscopy, Average Feret Diameter and Polydispersity Index (PDI)
2.2.4. Zeta Potential of Oil-in-Water Emulsions
2.2.5. Statistical Analysis and Optimization of the Emulsification Process
Descriptive Statistical Analysis
Optimization of Emulsification by Response Surface Methodology (RSM)
3. Results and Discussion
3.1. Zeta Potential, Average Feret Diameter, Micrographs and the PDI Index
3.2. RSM Models
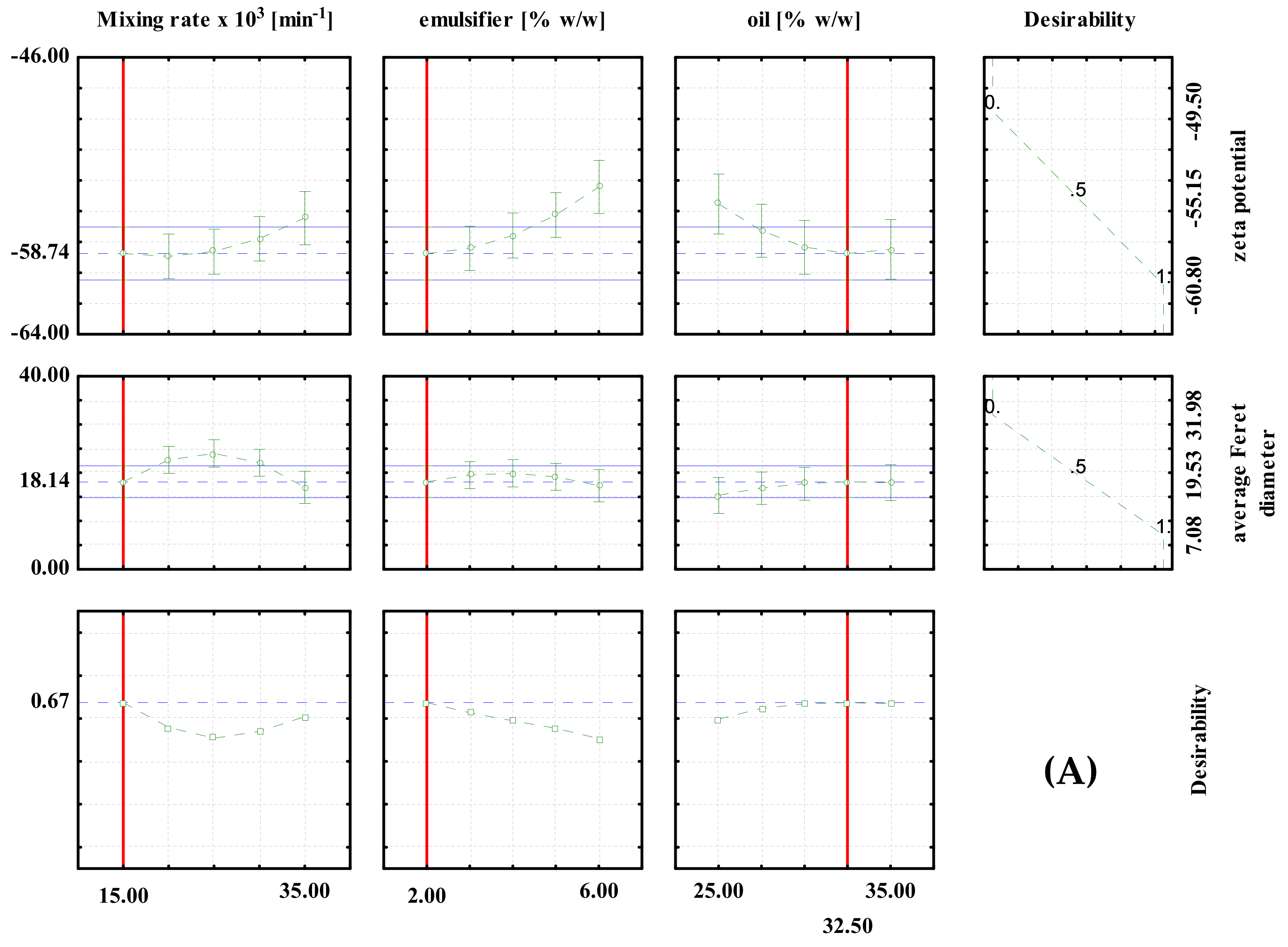
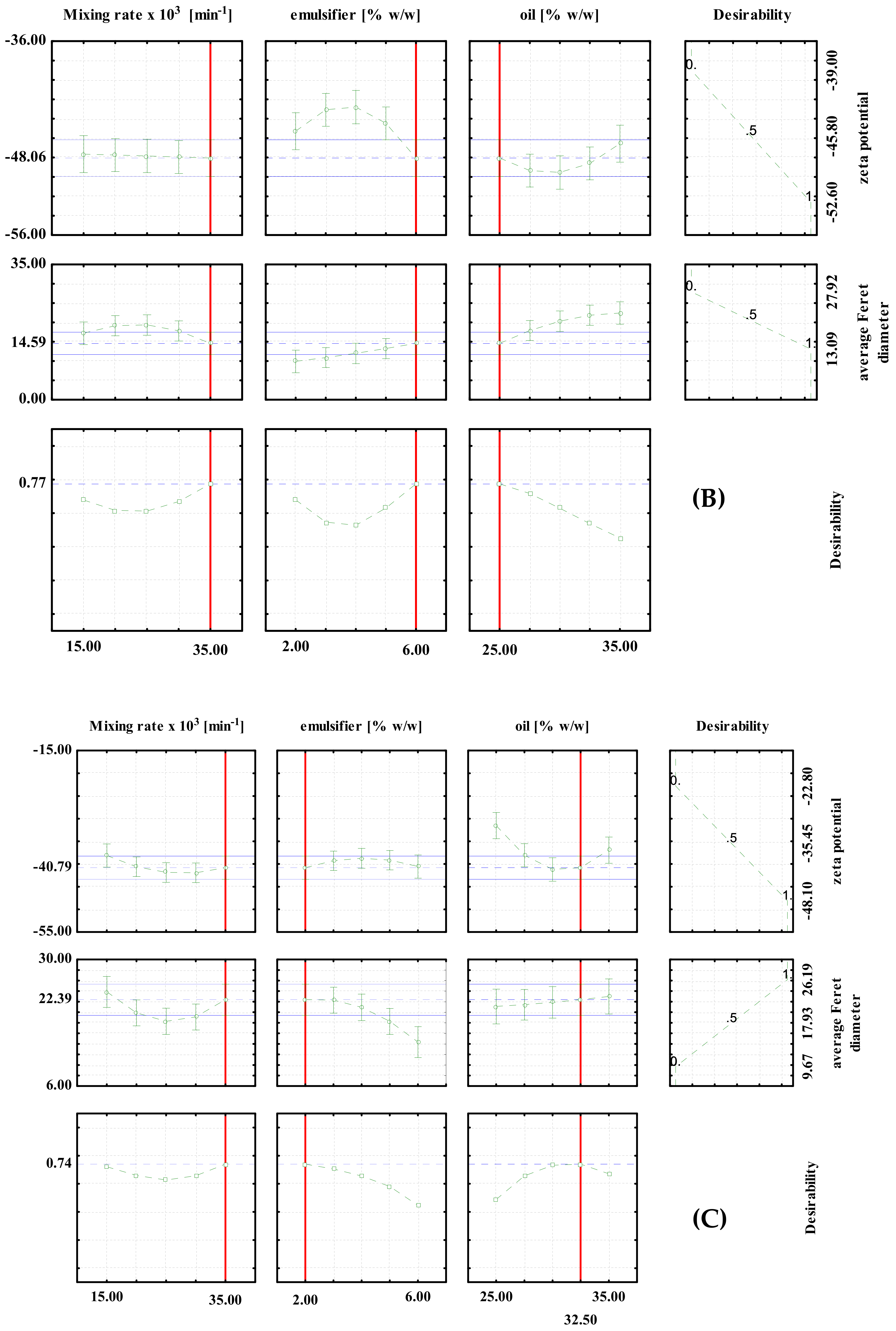
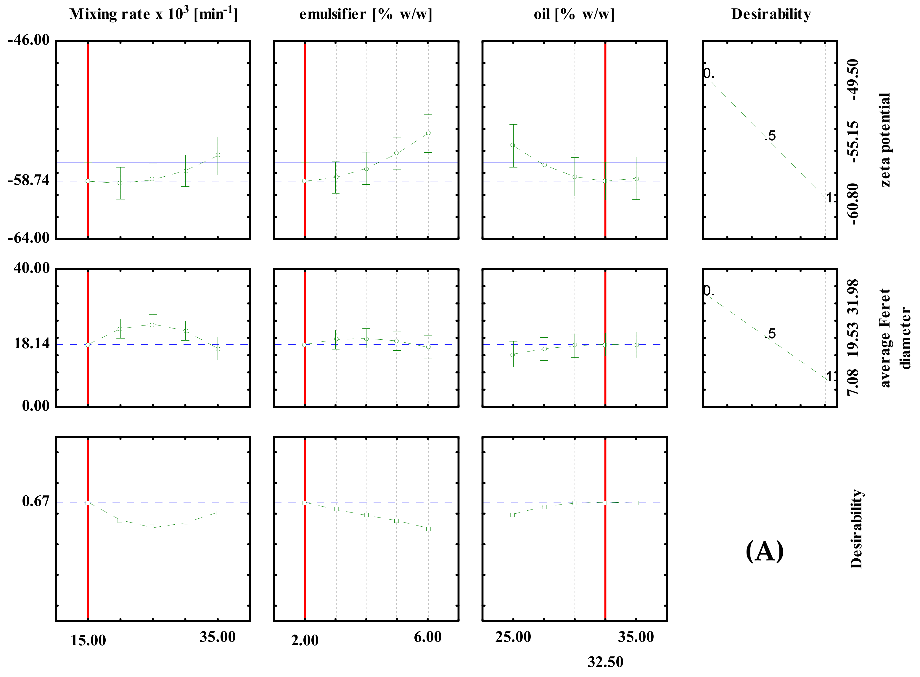
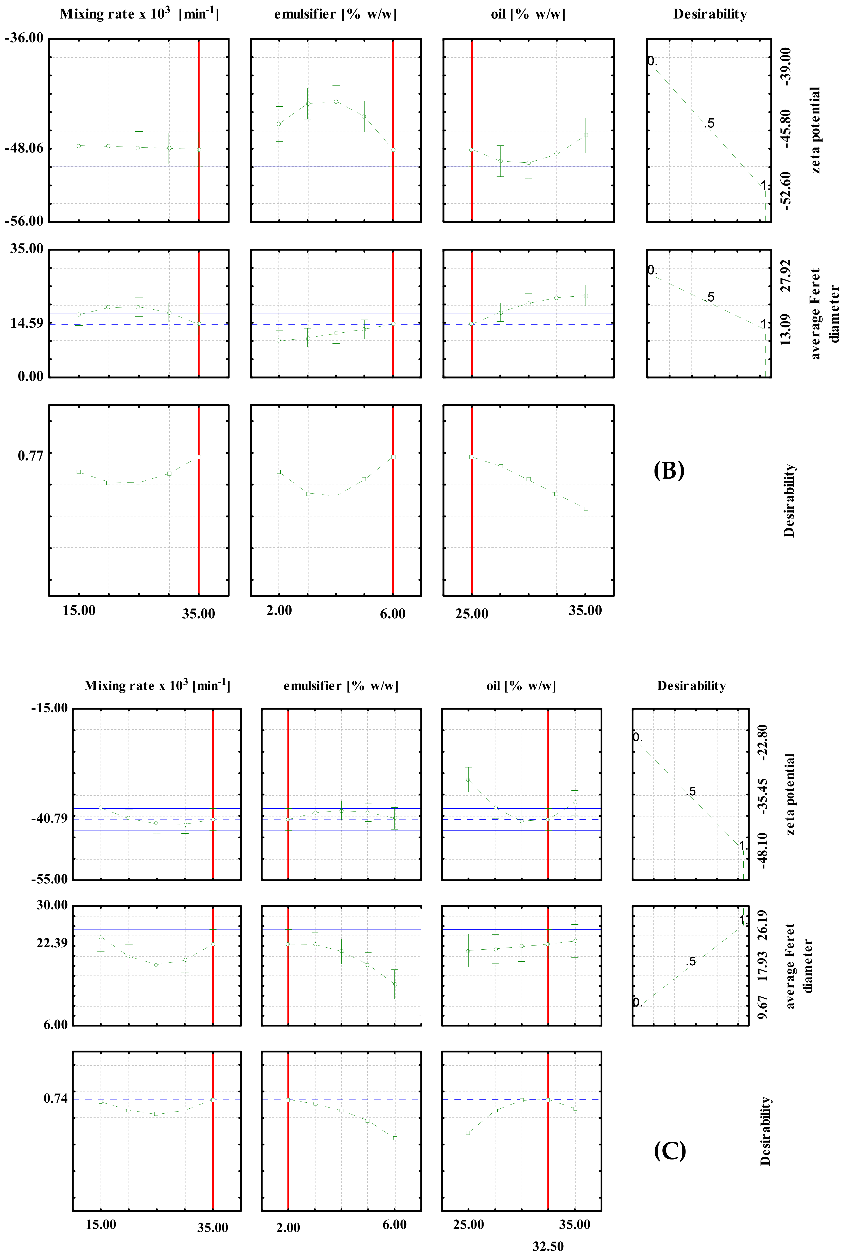
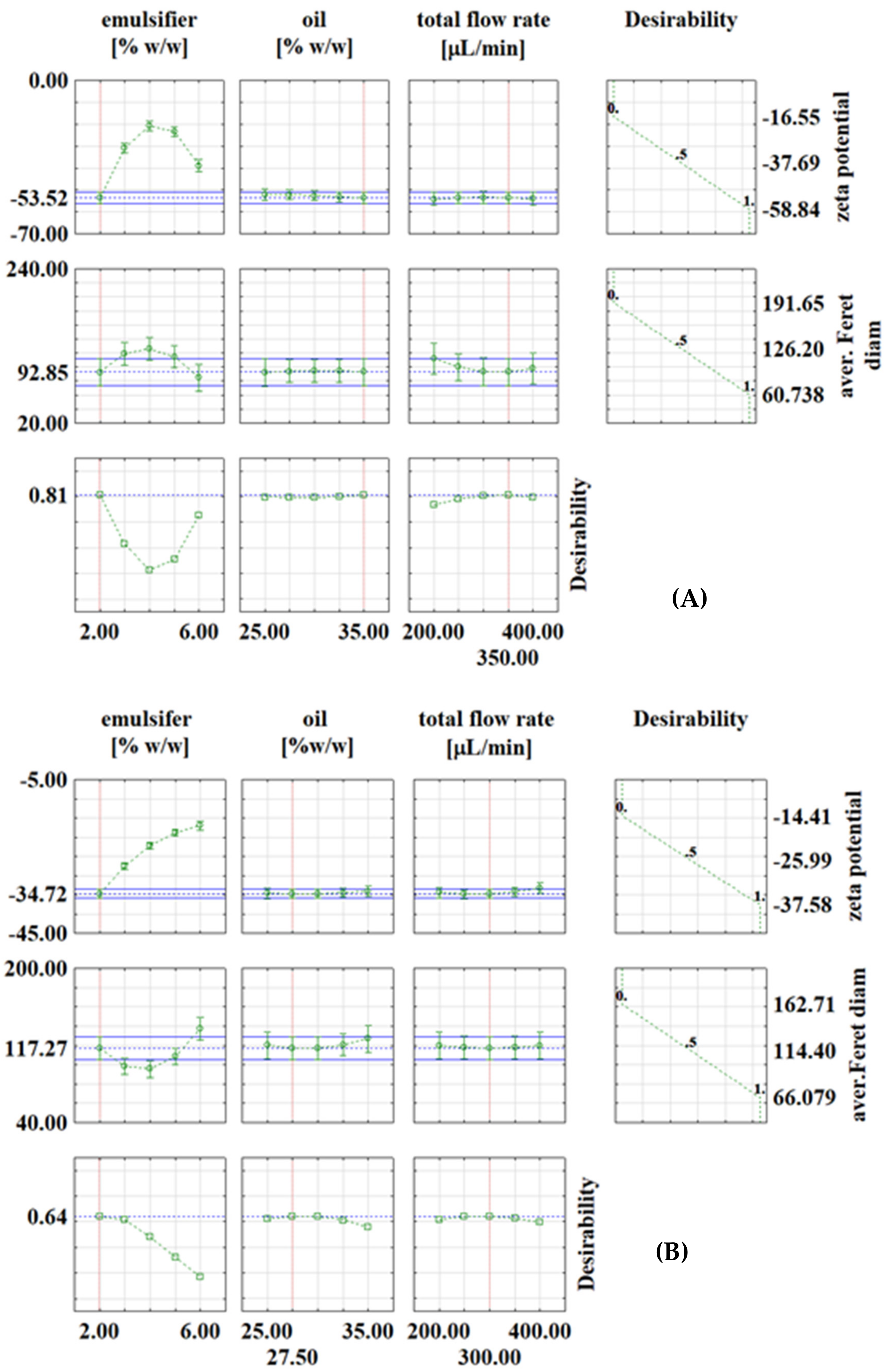
3.3. Process Optimization
4. Conclusions
Author Contributions
Funding
Institutional Review Board Statement
Informed Consent Statement
Data Availability Statement
Acknowledgments
Conflicts of Interest
References
- Lu, W.; Kelly, A.L.; Miao, S. Emulsion-based encapsulation and delivery systems for polyphenols. Trends Food Sci. Technol. 2016, 47, 1–9. [Google Scholar] [CrossRef]
- Fang, Z.; Bhandari, B. Encapsulation of polyphenols—A review. Trends Food Sci. Technol. 2010, 21, 510–523. [Google Scholar] [CrossRef]
- Seiffert, S.; Thiele, J.; Abate, A.R.; Weitz, D.A. Smart microgel capsules from macromolecular precursors. J. Am. Chem. Soc. 2010, 132, 6606–6609. [Google Scholar] [CrossRef]
- Huang, H.; Hao, S.; Li, L.; Yang, X.; Cen, J.; Lin, W.; Wei, Y. Influence of emulsion composition and spray-drying conditions on microencapsulation of tilapia oil. J. Food Sci. Technol. 2014, 51, 2148–2154. [Google Scholar] [CrossRef] [PubMed] [Green Version]
- O’Sullivan, J.; Murray, B.; Flynn, C.; Norton, I. Comparison of batch and continuous ultrasonic emulsification processes. J. Food Eng. 2015, 167, 114–121. [Google Scholar] [CrossRef] [Green Version]
- Shah, R.K.; Shum, H.C.; Rowat, A.C.; Lee, D.; Agresti, J.J.; Utada, A.S.; Chu, L.-Y.; Kim, J.-W.; Fernandez-Nieves, A.; Martinez, C.J.; et al. Designer emulsions using microfluidics. Mater. Today 2008, 11, 18–27. [Google Scholar] [CrossRef]
- Pohar, A.; Plazl, I. Process intensification through microreactor application. Chem. Biochem. Eng. Quart. 2009, 23, 537–544. [Google Scholar]
- Löb, P.; Hessel, V.; Simoncelli, A. Microreactor applications in the consumer goods industry. In Micro Process Engineering; Hessel, V., Renken, A., Schouten, J.C., Yoshida, J., Eds.; Wiley-VCH Verlag GmbH & Co. KGaA: Weinheim, Germany, 2009; pp. 363–401. [Google Scholar]
- Dobhal, A.; Kulkarni, A.; Dandekar, P.R.; Jain, R. A microreactor-based continuous process for controlled synthesis of poly-methyl-methacrylate-methacrylic acid (PMMA) nanoparticles. J. Mater. Chem. B 2017, 2017, 3404–3417. [Google Scholar] [CrossRef]
- Plazl, I.; Lakner, M. Modelling and finite differences numerical analysis of reaction diffusion dynamics in a microreactor. Acta Chim. Slov. 2010, 57, 100–109. [Google Scholar]
- Monreau, M.; Di Miceli Raimondi, N.; Le Sauze, N.; Gourdon, C.; Cabassud, M. A new numerical method for axial dispersion characterisation in a microreactor. Chem. Eng. Sci. 2017, 168, 178–188. [Google Scholar] [CrossRef] [Green Version]
- Šalić, A.; Zelić, B. Synergy of microtechnology and biotechnology: Microreactors as an effective tool for biotransformation processes. Food Technol. Biotechnol. 2018, 56, 464–479. [Google Scholar] [CrossRef] [PubMed]
- Land, K.J.; Mbanjwa, M.; Korvink, J.G. Microfluidic channel structures rate up mixing of multiple emulsions by a factor of ten. Biomicrofluidics 2014, 8, 054101. [Google Scholar] [CrossRef] [PubMed] [Green Version]
- Bolognesi, G.; Hargreaves, A.; Ward, A.D.; Kirby, A.K.; Bain, C.D.; Ces, O. Microfluidic generation of monodisperse ultra-low interfacial tension oil droplets in water. RSC Adv. 2015, 5, 8114–8121. [Google Scholar] [CrossRef] [Green Version]
- Azarmanesh, M.; Bawazeer, S.; Mohamad, A.A.; Sanati-Nezhad, A. Rapid and highly controlled generation of monodisperse multiple emulsions via a one-step hybrid microfluidic device. Sci. Rep. 2019, 9, 12694. [Google Scholar] [CrossRef] [PubMed] [Green Version]
- Wang, J.; Li, Y.; Wang, X.; Wang, J.; Tian, H.; Zhao, P.; Tian, Y.; Gu, Y.; Wang, L.; Wang, C. Droplet microfluidics for the production of microparticles and nanoparticles. Micromachines 2017, 2017, 22. [Google Scholar] [CrossRef]
- Raval, N.; Maheshwari, R.; Kalyane, D.; Youngren-Ortiz, S.; Chougule, M.B.; Tekade, R.K. Importance of physicochemical characterization of nanoparticles in pharmaceutical product development. In Advances in Pharmaceutical Product Development and Research, Basic Fundamentals of Drug Delivery; Tekade, R.K., Ed.; Academic Press: Cambridge, MA, USA, 2019; pp. 369–400. [Google Scholar]
- Pinto, I.; Buss, A. Zeta potential as a measure of asphalt emulsion stability. Energ. Fuels 2020, 34, 2143–2151. [Google Scholar] [CrossRef]
- Sharma, D.; Maheshwari, D.; Philip, G.; Rana, R.; Bhatia, S.; Singh, M.; Gabrani, R.; Sharma, S.K.; Ali, J.; Sharma, R.K.; et al. Formulation and optimization of polymeric nanoparticles for intranasal delivery of lorazepam using Box-Behnken design: In vitro and in vivo evaluation. BioMed Res. Int. 2014, 2014, 156010. [Google Scholar] [CrossRef] [Green Version]
- Kim, K.M.; Oh, H.M.; Lee, J.H. Controlling the emulsion stability of cosmetics through shear mixing process. Korea-Aust. Rheol. J. 2020, 32, 243–249. [Google Scholar] [CrossRef]
- Toro-Mendoza, J.; Petsev, D.N. Brownian dynamics of emulsion film formation and droplet coalescence. Phys. Rev. E 2010, 81, 051404. [Google Scholar] [CrossRef]
- Urbina-Villalba, G. An algorithm for emulsion stability simulations: Account of flocculation, coalescence, surfactant adsorption and the process of Ostwald ripening. Int. J. Mol. Sci. 2009, 10, 761–804. [Google Scholar] [CrossRef] [Green Version]
- Wang, Z.; Song, J.; Zhang, S.; Xu, X.; Wang, Y. Formulating polyethylene glycol as supramolecular emulsifiers for one-step double emulsions. Langmuir 2017, 33, 9160–9169. [Google Scholar] [CrossRef] [PubMed]
- Cheng, Y.; Liu, M.; Hu, H.; Liu, D.; Zhou, S. Development, optimization, and characterization of PEGylated nanoemulsion of prostaglandin E1 for long circulation. AAPS PharmSciTech 2016, 17, 409–417. [Google Scholar] [CrossRef] [PubMed] [Green Version]
- Khopade, A.J.; Jain, N.K. Long-circulating multiple-emulsion system for improved delivery of an anticancer agent. Drug Deliv. 1997, 6, 107–110. [Google Scholar] [CrossRef]
- Khalid, N.; Kobayashi, I.; Neves, M.A.; Uemura, K.; Nakajima, M.; Nabetani, H. Microchannel emulsification study on formulation and stability characterization of monodisperse oil-in-water emulsions encapsulating quercetin. Food Chem. 2016, 212, 27–34. [Google Scholar] [CrossRef] [PubMed]
- Manickam, S.; Sivakumar, K.; Pang, C.H. Investigations on the generation of oil-in-water (O/W) nanoemulsions through the combination of ultrasound and microchannel. Ultrason. Sonochem. 2020, 69, 105258. [Google Scholar] [CrossRef]
- Nehme, R.; Blel, W.; Montillet, A.; Bellettre, J.; Marchal, L. Production of oil in water emulsions in microchannels at high throughput: Evaluation of emulsions in view of cosmetic, nutraceutical or pharmaceutical applications. Chem. Eng. Process. 2021, 161, 108301. [Google Scholar] [CrossRef]
- Gharidzahedi, S.M.T.; Mousavi, S.M.; Hamedi, M.; Ghasemlou, M. Response surface modeling for optimization of formulation variables and physical stability assessment of walnut oil-in-water beverage emulsions. Food Hydrocol. 2012, 26, 293–301. [Google Scholar] [CrossRef]
- Pongsumpun, P.; Iwamoto, S.; Siripatrawan, U. Response surface methodology for optimization of cinnamon essential oil nanoemulsion with improved stability and antifungal activity. Ultrason. Sonochem. 2020, 60, 104604. [Google Scholar] [CrossRef]
- Feng, J.; Schroën, K.; Fogliano, V.; Berton-Carabin, C. Antioxidant potential of non-modified and glycated soy proteins in the continuous phase of oil-in-water emulsions. Food Hydrocol. 2021, 114, 106564. [Google Scholar] [CrossRef]
- Caporaso, N.; Genovese, A.; Burke, R.; Barry-Ryan, C.; Sacchi, R. Effect of olive mill wastewater phenolic extract, whey protein isolate and xanthan gum on the behaviour of olive O/W emulsions using response surface methodology. Food Hydrocol. 2016, 61, 66–76. [Google Scholar] [CrossRef] [Green Version]
- Ahn, S.; Chogsom Lee, Y.-K.; Kwak, H.-S.; Chang, Y.H. Optimization of the conditions for producing water-in-oil-in-water microemulsions and spray-dried microcapsule of tomato extract powder. Food Sci. Technol. 2019, 39, 202–210. [Google Scholar] [CrossRef] [Green Version]
- Fathordoobady, F.; Sannikova, N.; Guo, Y.; Singh, A.; Kitts, D.D.; Pratap-Singh, A. Comparing microfluidics and ultrasonication as formulation methods for developing hempseed oil nanoemulsions for oral delivery applications. Sci. Rep. 2021, 11, 72. [Google Scholar] [CrossRef] [PubMed]
- Nieves, E.; Vite, G.; Kozina, A.; Olguin, L.F. Ultrasound-assisted production and optimization of mini-emulsions in a microfluidic chip in continuous-flow. Ultrason. Sonochem. 2021, 74, 105556. [Google Scholar] [CrossRef] [PubMed]





| Exp. | Emulsifier Concentration (%) | Oil Concentration (%) | Mixing Rate (1/min) |
|---|---|---|---|
| B1 | 2 (−1) | 30 (0) | 15,000 (−1) |
| B2 | 2 (−1) | 30 (0) | 35,000 (1) |
| B3 | 6 (1) | 30 (0) | 15,000 (−1) |
| B4 | 6 (1) | 30 (0) | 35,000 (1) |
| B5 | 4 (0) | 25 (−1) | 15,000 (−1) |
| B6 | 4 (0) | 25 (−1) | 35,000 (1) |
| B7 | 4 (0) | 35 (1) | 15,000 (−1) |
| B8 | 4 (0) | 35 (1) | 35,000 (1) |
| B9 | 2 (−1) | 25 (−1) | 25,000 (0) |
| B10 | 6 (1) | 25 (−1) | 25,000 (0) |
| B11 | 2 (−1) | 35 (1) | 25,000 (0) |
| B12 | 6 (1) | 35 (1) | 25,000 (0) |
| B13 | 4 (0) | 30 (0) | 25,000 (0) |
| B14 | 4 (0) | 30 (0) | 25,000 (0) |
| B15 | 4 (0) | 30 (0) | 25,000 (0) |
| B16 | 4 (0) | 30 (0) | 25,000 (0) |
| B17 | 4 (0) | 30 (0) | 25,000 (0) |
| Exp. | Emulsifier Concentration (%) | Oil Concentration (%) | Total Flow Rate (μL/min) |
|---|---|---|---|
| M1 | 2 (−1) | 30 (0) | 200 (−1) |
| M2 | 6 (1) | 30 (0) | 200 (−1) |
| M3 | 2 (−1) | 30 (0) | 400 (1) |
| M4 | 6 (1) | 30 (0) | 400 (1) |
| M5 | 2 (−1) | 25 (−1) | 300 (0) |
| M6 | 6 (1) | 25 (−1) | 300 (0) |
| M7 | 2 (−1) | 35 (1) | 300 (0) |
| M8 | 6 (1) | 35 (1) | 300 (0) |
| M9 | 4 (0) | 25 (−1) | 200 (−1) |
| M10 | 4 (0) | 25 (−1) | 400 (1) |
| M11 | 4 (0) | 35 (1) | 200 (−1) |
| M12 | 4 (0) | 35 (1) | 400 (1) |
| M13 | 4 (0) | 30 (0) | 300 (0) |
| M14 | 4 (0) | 30 (0) | 300 (0) |
| M15 | 4 (0) | 30 (0) | 300 (0) |
| M16 | 4 (0) | 30 (0) | 300 (0) |
| M17 | 4 (0) | 30 (0) | 300 (0) |
| Exp. | PEG1500 | PEG6000 | PEG20000 | |||
|---|---|---|---|---|---|---|
| ζ/mV | d/μm (PDI) | ζ/mV | d/μm (PDI) | ζ/mV | d/μm (PDI) | |
| B1 | −58.97 ± 1.08 | 14.66 ± 14.00 (0.970) | −48.00 ± 0.89 | 15.91 ± 7.89 (0.252) | −39.57 ± 0.99 | 25.87 ± 12.45 (0.228) |
| B2 | −58.23 ± 0.58 | 20.83 ± 13.15 (0.405) | −45.83 ± 0.55 | 13.97 ± 9.89 (0.530) | −40.17 ± 0.91 | 23.87 ± 9.34 (0.159) |
| B3 | −52.93 ± 0.38 | 12.73 ± 6.59 (0.264) | −51.23 ± 1.46 | 22.64 ± 10.20 (0.203) | −38.00 ± 0.10 | 13.62 ± 5.88 (0.188) |
| B4 | −49.97 ± 0.50 | 18.85 ± 10.53 (0.334) | −46.67 ± 1.10 | 24.76 ± 8.45 (0.121) | −41.13 ± 1.03 | 11.12 ± 4.77 (0.191) |
| B5 | −54.33 ± 1.04 | 21.23 ± 10.42 (0.253) | −39.93 ± 0.78 | 13.57 ± 7.59 (0.300) | −23.20 ± 0.36 | 23.57 ± 9.52 (0.165) |
| B6 | −50.57 ± 0.47 | 7.38 ± 0.27 (0.271) | −45.60 ± 0.46 | 14.88 ± 6.63 (0.224) | −31.13 ± 0.84 | 18.40 ± 6.54 (0.131) |
| B7 | −57.80 ± 0.82 | 22.63 ± 9.31 (0.170) | −39.57 ± 0.60 | 26.25 ± 9.21 (0.124) | −34.93 ± 1.30 | 19.93 ± 4.42 (0.049) |
| B8 | −56.07 ± 1.34 | 19.80 ± 8.09 (0.172) | −42.27 ± 1.00 | 14.28 ± 8.94 (0.378) | −33.97 ± 0.32 | 23.54 ± 9.77 (0.175) |
| B9 | −56.60 ± 1.65 | 22.94 ± 9.86 (0.183) | −43.23 ± 0.21 | 17.41 ± 10.67 (0.426) | −36.67 ± 0.25 | 11.06 ± 4.92 (0.209) |
| B10 | −51.40 ± 1.40 | 22.75 ± 11.68 (0.271) | −49.30 ± 0.80 | 14.83 ± 7.67 (0.285) | −30.07 ± 0.55 | 13.81 ± 6.00 (0.154) |
| B11 | −54.33 ± 1.02 | 20.92 ± 12.21 (0.338) | −44.63 ± 1.01 | 23.93 ± 11.36 (0.218) | −33.83 ± 1.17 | 20.40 ± 12.89 (0.405) |
| B12 | −56.53 ± 0.30 | 21.75 ± 11.46 (0.293) | −45.63 ± 1.18 | 27.69 ± 13.33 (0.235) | −40.00 ± 0.10 | 10.53 ± 4.39 (0.176) |
| B13 | −58.97 ± 1.71 | 22.17 ± 12.42 (0.306) | −44.17 ± 1.55 | 20.75 ± 10.77 (0.287) | −38.50 ± 0.72 | 10.08 ± 5.79 (0.321) |
| B14 | −58.33 ± 2.10 | 22.26 ± 12.42 (0.311) | −41.07 ± 0.76 | 21.51 ± 10.29 (0.209) | −39.37 ± 0.76 | 13.89 ± 6.62 (0.256) |
| B15 | −54.80 ± 1.18 | 30.38 ± 11.00 (0.142) | −44.73 ± 0.47 | 27.46 ± 10.64 (0.151) | −36.43 ± 0.80 | 20.18 ± 7.89 (0.155) |
| B16 | −56.50 ± 0.69 | 23.00 ± 12.07 (0.283) | −44.27 ± 1.44 | 21.27 ± 10.33 (0.228) | −47.37 ± 0.64 | 20.73 ± 10.12 (0.223) |
| B17 | −56.63 ± 2.75 | 29.05 ± 16.98 (0.349) | −45.97 ± 1.25 | 21.74 ± 13.19 (0.355) | −39.20 ± 0.35 | 16.73 ± 7.60 (0.216) |
| Exp. | PEG1500 | PEG6000 | PEG20000 | |||
|---|---|---|---|---|---|---|
| ζ/mV | d/μm (PDI) | ζ/mV | d/μm (PDI) | ζ/mV | d/μm (PDI) | |
| M1 | −55.60 ± 2.48 | 123.93 ± 8.64 (0.0049) | −32.32 ± 2.12 | 113.83 ± 5.05 (0.0020) | −23.26 ± 3.51 | 118.73 ± 3.59 (0.0009) |
| M2 | −36.54 ± 2.69 | 89.53 ± 28.24 (0.0994) | −17.10 ± 0.26 | 139.53 ± 12.14 (0.0076) | −13.50 ± 0.16 | 127.23 ± 21.55 (0.0287) |
| M3 | −53.75 ± 3.15 | 90.23 ± 20.13 (0.0498) | −34.13 ± 1.46 | 127.27 ± 25.21 (0.0392) | −27.74 ± 1.90 | 114.13 ± 23.11 (0.0410) |
| M4 | −37.29 ± 2.41 | 108.00 ±22.03 (0.0416) | −15.84 ± 1.42 | 140.60 ± 14.14 (0.0101) | −8.33 ± 0.77 | 129.37 ± 31.47 (0.0592) |
| M5 | −46.38 ± 7.52 | 96.33 ± 30.05 (0.0973) | −33.99 ± 2.02 | 117.03 ± 32.52 (0.0772) | −19.94 ± 2.69 | 141.90 ± 3.71 (0.0007) |
| M6 | −40.15 ± 2.60 | 85.77 ± 25.03 (0.0852) | −16.35 ± 0.41 | 158.13 ± 4.58 (0.0008) | −9.05 ± 0.46 | 124.33 ± 11.93 (0.0092) |
| M7 | −55.79 ± 3.04 | 89.73 ± 27.78 (0.0958) | −35.73 ± 1.85 | 129.37 ± 6.04 (0.0022) | −22.11 ± 6.21 | 125.97 ± 13.22 (0.0110) |
| M8 | −38.75 ± 0.63 | 85.40 ± 20.55 (0.0579) | −15.85 ± 0.59 | 131.07 ± 2.74 (0.0004) | −8.42 ± 0.54 | 144.40 ± 5.58 (0.0024) |
| M9 | −20.82 ± 0.56 | 144.81 ± 46.85 (0.1047) | −22.97 ± 1.31 | 100.37 ± 13.53 (0.0182) | −14.15 ± 0.85 | 127.87 ± 3.73 (0.0009) |
| M10 | −21.25 ± 1.18 | 126.89 ± 8.61 (0.0046) | −20.72 ± 0.39 | 87.77 ± 19.43 (0.0490) | −13.58 ± 1.42 | 130.87 ± 29.73 (0.0516) |
| M11 | −20.11 ± 0.55 | 152.08 ± 12.46 (0.0067) | −21.66 ± 1.46 | 116.03 ± 9.16 (0.0062) | −15.14 ± 1.45 | 127.00 ± 9.11 (0.0051) |
| M12 | −20.14 ± 1.58 | 128.73 ± 10.42 (0.0066) | −18.56 ± 2.19 | 114.73 ± 11.59 (0.0101) | −12.69 ± 0.99 | 111.57 ± 20.41 (0.0335) |
| M13 | −17.94 ± 1.39 | 127.77 ± 15.89 (0.0155) | −23.12 ± 0.47 | 104.00 ± 3.94 (0.0014) | −15.24 ± 0.44 | 137.33 ± 21.68 (0.0249) |
| M14 | −20.42 ± 1.17 | 112.30 ± 25.11 (0.0500) | −20.78 ± 1.49 | 95.53 ± 29.43 (0.0949) | −14.69 ± 0.67 | 131.53 ± 6.29 (0.0023) |
| M15 | −18.61 ± 0.48 | 130.07 ± 29.43 (0.0512) | −21.93 ± 1.97 | 82.57 ± 16.49 (0.0399) | −14.96 ± 0.12 | 133.53 ± 18.10 (0.0184) |
| M16 | −18.72 ± 0.67 | 135.70 ± 39.70 (0.0856) | −23.32 ± 1.03 | 100.30 ± 9.07 (0.0082) | −14.32 ± 0.23 | 121.90 ± 9.12 (0.0056) |
| M17 | −23.31 ± 0.39 | 138.27 ±1 9.23 (0.0193) | −21.83 ± 1.70 | 97.07 ± 19.07 (0.0386) | −14.34 ± 2.13 | 108.53 ± 8.53 (0.0062) |
| Process | Emulsifier | RSM Model | R2 |
|---|---|---|---|
| Batch emulsification | PEG1500 | 0.5557 | |
| 0.4817 | |||
| PEG6000 | 0.6110 | ||
| 0.6220 | |||
| PEG20000 | 0.6843 | ||
| 0.5763 | |||
| Continuously operated emulsification in micro fluidics system | PEG1500 | 0.9535 | |
| 0.4495 | |||
| PEG6000 | 0.9437 | ||
| 0.5667 | |||
| PEG20000 | 0.8428 | ||
| 0.4461 |
Publisher’s Note: MDPI stays neutral with regard to jurisdictional claims in published maps and institutional affiliations. |
© 2022 by the authors. Licensee MDPI, Basel, Switzerland. This article is an open access article distributed under the terms and conditions of the Creative Commons Attribution (CC BY) license (https://creativecommons.org/licenses/by/4.0/).
Share and Cite
Grgić, F.; Benković, M.; Valinger, D.; Jurina, T.; Kljusurić, J.G.; Tušek, A.J. Macro-Batch and Continuously Operated Microfluidic Emulsification—Differences, Similarities and Optimization. Processes 2022, 10, 449. https://doi.org/10.3390/pr10030449
Grgić F, Benković M, Valinger D, Jurina T, Kljusurić JG, Tušek AJ. Macro-Batch and Continuously Operated Microfluidic Emulsification—Differences, Similarities and Optimization. Processes. 2022; 10(3):449. https://doi.org/10.3390/pr10030449
Chicago/Turabian StyleGrgić, Filip, Maja Benković, Davor Valinger, Tamara Jurina, Jasenka Gajdoš Kljusurić, and Ana Jurinjak Tušek. 2022. "Macro-Batch and Continuously Operated Microfluidic Emulsification—Differences, Similarities and Optimization" Processes 10, no. 3: 449. https://doi.org/10.3390/pr10030449
APA StyleGrgić, F., Benković, M., Valinger, D., Jurina, T., Kljusurić, J. G., & Tušek, A. J. (2022). Macro-Batch and Continuously Operated Microfluidic Emulsification—Differences, Similarities and Optimization. Processes, 10(3), 449. https://doi.org/10.3390/pr10030449

