Abstract
The monitoring and evaluation (M&E) of involuntary resettlement has been implemented for over 30 years since being introduced, achieving significant results in preventing resettlement risks and safeguarding the rights and interests of the persons affected (APs). However, the situation surrounding resettlement has changed significantly over these decades, as the interests of the APs have become more diverse and their social class differentiation has become more pronounced, implying that approaches regarding the governance of resettlement risks must be adjusted. Based on the experience of China, we intend to update the original model for M&E of involuntary resettlement, proposing that the two monitoring systems for risk-susceptible groups and the APs’ development should be set up separately in the monitoring model, and specific monitoring indicators defined within each system. In terms of the evaluation model, we introduce the meta-model of evaluation to strengthen the organic relationship among various evaluation units and enhance the overall capacity of the evaluation. Furthermore, the evaluation should be implemented in general resettlement, risk-susceptible groups resettlement and APs’ development.
1. Introduction
The monitoring and evaluation (M&E) of involuntary resettlement originated in China. As early as the early 1980s, China used its first loan from the World Bank (WB) to build the Datong River to Qinwangchuan Region Water Transferring Irrigation Project. Subsequently, in the mid-1980s, it used a loan from the WB to build the Lubuge Hydropower Station in Yunnan and the Shuikou Hydropower Station in Fujian. At that time, the WB, under pressure from international NGOs and the Congress of the United States, proposed M&E of involuntary resettlement in the development project to rehabilitate the persons affected (APs). It then commissioned sociologist Michael M. Cernea to draft a policy paper on involuntary resettlement. Cernea prepared the document titled “Relocation of Involuntary Migrants in Development Projects” after surveying projects related to water, hydropower, transportation, and urban relocation in developing countries, which accessed loans by the Bank. The WB subsequently issued the publication titled “Implementation Guideline 4.30—Involuntary Resettlement”. In the late 1980s, it issued “Implementation Guideline 10.70—Project Monitoring and Evaluation” as a follow-up. Up to that time, the WB had developed a comprehensive series of policy documents for the M&E of involuntary resettlement in development projects [1]. In Operational Directive (OD) 10.70, the WB defines monitoring as “the continuous assessment of project implementation in relation to agreed schedules and the use of inputs, infrastructure, and services by project beneficiaries”, and evaluation as “the periodic assessment of the relevance, performance, efficiency, and impact (both expected and unexpected) of the project in relation to stated objectives” [2].
The impact of that concept proposed by the WB is very broad. Accordingly, the International Finance Corporation (IFC), in its “Handbook for Preparing a Resettlement Action Plan”, advanced that project owners are required “to monitor and report on the effectiveness of the implementation of a resettlement action plan (RAP), including the physical progress of resettlement and rehabilitation activities, the disbursement of compensation fees, the effectiveness of public consultation and participation activities, and the sustainability of income restoration and development efforts among affected communities” [3]. Since then, China has adopted the M&E of resettlement for the first time in the “Flood Control of Taihu Lake Project” implemented through loans provided by the WB. Over the past four decades, China has experienced a boom in infrastructure projects and induced the world’s largest population affected by resettlement [4]. At that time, China also formed an effective technical system for the governance of resettlement risks, including the M&E of involuntary resettlement. The M&E of involuntary resettlement has been approved and achieved legitimacy at the national level, marked by two documents issued by the State Council in 2006 and 2005, respectively: Opinions on Improving the Policy of Late-stage Supporting for the APs of Large and Medium-sized Reservoirs and the Preliminary Measures on Compensation for the Resettlement of South-to-North Water Diversion Project. In particular, the latter specifies the procedure, scope, and method of the M&E of involuntary resettlement for a single project. Currently, the two documents, regarded as well-established ways of governing resettlement risks in China, have been widely used in the east line construction and central line construction of the South-to-North Water Diversion Project and other large-scaled water conservancy and hydropower projects (such as the Xiangjiaba Dam and the Xiluodu Dam).
During the resettlement implementation stage, the M&E of involuntary resettlement is one of the main techniques of the governance of resettlement risks. Hence, maintaining the risk-governance capacity of the M&E of involuntary resettlement in a stable and lasting way is a matter of serious concern. Currently, involuntary resettlement has confronted some new conditions, for example, the emergence of a more differentiated social class of APs [5,6], more diversified interests among them [7,8,9,10], and more acute conflicts of interests among them [8,11,12]. More importantly, the influence of development theory on resettlement risk governance is also deepening, and the focus of the governance of resettlement risks is gradually shifting from the single goal of resettlement risk prevention to the multiple goals of resettlement risks prevention, APs’ rights and interest protection, and their enhanced development. However, the original model for the M&E of involuntary resettlement has not been updated since its implementation. Our research question proposes an updated model based on the reflection of the original model, aiming to ensure that the M&E of involuntary resettlement can have a durable and effective capacity for the governance of resettlement risks.
In terms of scientific contribution, the updated model for the M&E of involuntary resettlement can contribute to the project management knowledge base. The governance of resettlement risks was proposed as a project management technique, initially intended to avoid resettlement risks in project implementation. The impoverishment, risk and reconstruction (IRR) model proposed by American sociologist Michael Cernea, which has extensive influence in the sphere of engineering, lists eight types of involuntary resettlement risks and proposes corresponding countermeasures [13]. The proposal of the governance of resettlement risk is considered a passive option to reduce social risks in the project area [14]. However, as the understanding of the governance of resettlement risk deepens, some scholars found that this governance can promote good relations between the project and resettlement groups and can even convert involuntary resettlement into voluntary resettlement [14,15,16]. Hence, determining how to directly enhance the social benefits of the project through the effective governance of resettlement risks now constitutes a novel research direction in academia [17,18,19,20]. In fact, scholarly studies have been embodied in project practices. Taking the Three Gorges Project as an example, investment in resettlement accounts for more than 40% of the total investment [21], and a large proportion of the investment in resettlement is spent on improving the production and living standards of the APs after their relocation and resettlement [7,22]. The M&E of involuntary resettlement is the main approach underpinning the governance of resettlement risks in the implementation phase of resettlement. It can directly affect matters such as employment, poverty, women, the elderly, childcare, and medical care for the APs, which can have direct implications for enhancing the social benefits of the project. M&E can contribute scientifically to the knowledge base of project management through timely reflection on the continuity and effectiveness of the M&E of involuntary resettlement according to the resettlement circumstances surrounding the present stage and making necessary updates to the model.
2. A Literature Review
2.1. Reflection of Modernity: The Logical Basis for the Monitoring and Evaluation of Resettlement
The risk of involuntary resettlement remains a type of modernity risk, while the logical basis underpinning the governance of involuntary resettlement risk is also the theory of risk society, which still essentially reflects the modernity of engineering. The German sociologist Udrich Beck developed his famous theory of the “risk society”. For Beck, the concept of risk is closely related to the reflection on modernization, and the risk could be defined as a systematic way of dealing with the dangers and insecurities caused by modernization [23]. Anthony Giddens argued that the emergence of the concept of risk and its development embodied the evolutionary process of modernity and demonstrated the fundamental differences between traditional and modern societies. He argued that with the shift from “external risk” to “manufactured risk” and the massive proliferation of “manufactured risk”, people were increasingly living in a “risk society” [24].
Construction projects are regarded as a kind of modern technology-intensive practice. Beck and Giddens also interpreted the riskiness of modern technology. In this regard, Beck highlighted that, while examining the superiority of the technological economy and the various associated opportunities, humans should also be aware of the formidable destructive power and potential risks associated with the negative effects of modern science and technology [25]. Giddens agreed that scientific and technological progress did not always manifest itself as a positive force. The development of science and technology was closely related to the issue of risk [24]. Niklas Luhmann believed that although the development of science and technology brought people comfortable living conditions, it also brought unique contingencies, uncertainty, and a growing sense of insecurity. Thus, it was very likely to be transformed into the actual existence of risk [26]. However, it is also important to acknowledge that they are so concerned about the risks of modern technology, when in fact, they are more concerned about the dual effects of modern technology, expecting that technology and rationality tend to avoid harm to serve and benefit humankind.
As for the countermeasures against risks, both Beck and Giddens advocated that the reflection of modernity should be used to counteract the risk society, i.e., to resolve the impact of risk through the spirit of reflective rationality, which they believe could both provide perceptivity to various risks and dilemmas brought about by modernity and apply reflective rationality to overcome and resolve these risks. For modern technology, to effectively govern and control various risks, Beck reminded people of the need to enhance vigilance regarding the possibility of damage in the behavioral process, for which he suggested establishing decision-making mechanisms and safety evidence mechanisms. Additionally, he also suggested promoting a positive welfare social system [27], shaping an ethic of risk and responsibility [28], building an international cooperation mechanism for risk governance [25], and initiating eco-democratic politics [29].
Influenced and inspired by the reflection of risk, the engineering community has reflected on the social and resettlement risk related to engineering, and promoted the social impact assessment (SIA), whose scope goes beyond environmental assessment. According to the study by Dr. Salim Momtaz, the term “social impact assessment” was first used in 1973 in the US Energy Information Administration’s documents on the Trans-Alaska Pipeline project, and the first official document on SIA guidelines, titled “Guidelines and Principles for Social Impact Assessment”, was prepared in the US by the Interorganizational Committee on Guidelines and Principles for Social Impact [30]. Prof. Frank Vanclay summarized, “The objective of SIA is to ensure that development maximizes its benefits and minimizes its costs, especially those costs borne by people (including those in other places and in the future)” [31]. The guidelines published by the International Association for Impact Assessment in 2003 clarified the main elements of SIA and are considered a critical standard for SIA implementation [30]. SIA has been highly valued in some developed countries (e.g., the USA, Canada, Australia, and New Zealand). For example, New Zealand has an environmental court empowered to demand an SIA, and Canada has robust SIA requirements for most provinces [32]. International development partners such as the WB, the Asian Development Bank (ADB), and the United Nations Development Program have embraced SIA, incorporating it into their projects and programs in developing countries and making associated policies [30]. The issue of involuntary resettlement has, naturally, also received special attention.
2.2. The Governance of the Risk of Involuntary Resettlement
The governance of involuntary resettlement risk is an action requiring anticipating, preventing, managing, and addressing the risk of involuntary resettlement based on the reflection of involuntary resettlement. The objects of involuntary resettlement are the persons affected by land acquisition and house demolition. The governance of involuntary resettlement is simply about reducing the impact of land acquisition and displacement on those affected and preventing their livelihoods from being affected. Accordingly, the M&E of involuntary resettlement is a process of both information collection and quality evaluation of the risk governance.
2.2.1. Risk Prevention and Control: An Engineering Practice of the Governance of the Risk of Involuntary Resettlement
The initial proposal for the governance of resettlement risk still essentially comes from the need for project construction. According to Prof. Shi Guoqing’s (2005) study, the issue of involuntary resettlement has become the primary constraint for project construction [33] and is accountable for the highest percentage of project investment. For example, as reported by the Ministry of Water Resources of the Peoples Republic of China, more than CNY 40 billion has been injected as resettlement investment in the Three Gorges Project, accounting for 45% of gross project investment [21]. From the perspective of project owners, the governance of the resettlement risk has become a kind of engineering practice whose implementation aims to reduce the social cost of the project and ensure its smooth implementation [34]. Based on cost–benefit analyses, project owners prefer to minimize resettlement risk to avoid high resettlement costs. To some extent, controlling project costs through resettlement risk governance is the most important motivator to engage in resettlement work. Additionally, project owners also feel pressured to uphold engineering ethics [35,36].
The governance of involuntary resettlement risk is generally divided into three stages based on the project cycle. The first stage is the preparation of resettlement action planning (RAP) before project construction, which specifies how APs would be resettled, fully considering various possible resettlement risks and formulating corresponding countermeasures. The second stage is the M&E of involuntary resettlement during the project construction, which involves collecting related information and evaluating the implementation quality of RAP, discovering possible resettlement risks, and proposing corresponding suggestions for improvements to the project owners. The third stage involves the late-stage support for APs after the project construction, including support for production and living, social reconstruction, and even cultural reconstruction for resettled APs. These three aspects are interlinked, together forming the engineering practice system for the governance of resettlement risk. The M&E of involuntary resettlement is the intermediate stage of this process and is the only way for quality supervision and quality evaluation during the implementation of resettlement.
As a kind of engineering practice, the nature of the M&E of involuntary resettlement is the same in other engineering practices. Although specifically entrusted to third-party agencies with industrial and professional capabilities and qualifications for implementation, project owners are the main agents facilitating its implementation. The WB initially developed specific policies for conducting the M&E of involuntary resettlement, including Operational Directive 10.70 (OD 10.70) and Operational Policy (OP 4.12)/Bank Procedure (BP 13.05). Likewise, each project is adapted to the specific situation of the project’s host region or country. In the Interim Measures for Monitoring and Evaluation of Resettlement of the South-to-North Water Diversion Project, the M&E of involuntary resettlement is composed of six aspects, including the “Implementation Progress of Resettlement”, “Management, and Use of Resettlement Funds”, the “Resettlement of the APs’ Productivity”, “Resettlement of the APs’ Lives”, “Public Participation, Appeal, and Grievance”, and “Workings and Efficiency of the Agencies responsible for Resettlement”. These six aspects constitute the framework model for the M&E of involuntary resettlement.
2.2.2. Rights and Benefits Guarantee: A Social Practice of the Governance of the Risk of Involuntary Resettlement
Risk governance of involuntary resettlement has been bestowed some significance in sociology, which can be regarded as a social practice. Michael M. Cernea (1997) summarized the risk governance of involuntary resettlement as constituting the basic processes surrounding livelihood reconstruction, including from landlessness to land-based reestablishment, from joblessness to reemployment, from homelessness to house reconstruction, from disarticulation to community reconstruction, from marginalization to social inclusion, from expropriation to restoration of community assets or services, from food insecurity to adequate nutrition, and from increased morbidity to better health care [37]. In fact, Cernea’s theory has been transferred as a policy tool of some lending institutions (such as the WB and ADB) to regulate and guide the behavior of borrowers. In recent years, some scholars, reflecting on Cernea’s theory, have proposed new ideas [12], which have assisted lending institutions in continuously improving their policies.
The governance of involuntary resettlement risk is accorded a considerable sense of “justice”. In this regard, it seeks to ensure that the legal rights of all persons involved in the project are observed, that their interests are protected, and that they are less likely to suffer from the project’s negative effects. Reducing or avoiding livelihood risks due to land acquisition and relocation has become the foremost priority of the governance of resettlement risk [17,38,39]. This principle was initially promoted by lending institutions, which essentially sought to inject “justice” into their loan funds, resulting in binding terms for borrowers. Nowadays, seeking “not to affect the legal rights of the APs due to the project” is regarded as the project’s bottom line [3,40] and has become the most important engineering ethics [41].
The focus on “livelihood security and livelihood restoration for vulnerable groups” is the most important manifestation of this justice principle. Vulnerability refers to “the characteristics and circumstances of a community, system, or asset that make it susceptible to the damaging effects of a hazard” [42]. In the practice of the M&E of involuntary resettlement, vulnerable groups are more exposed to the impact of resettlement and are in a livelihood crisis. These people commonly include women, the elderly, left-behind children, disabled persons, and ethnic minorities. Some policies or policy-related items specifically regarding these vulnerable groups have been made or improved, such as the Handbook for Preparing a Resettlement Action Plan (issued by the IFC), the Handbook on Poverty and Social Analysis: A Working Document (issued by the ADB) and The Equator Principles July 2020. Some potential resettlement risks cannot be identified and discovered in the preparation stage of the RAP [43] but will only be ascertained in the implementation stage of resettlement. The reflection and re-examination of these groups have been ongoing for some time [44,45]. The target and scope of these groups are dynamic rather than static. The RAP is essentially used to estimate the target and scope of the vulnerable groups, while the M&E of involuntary resettlement is essentially used to adjust this target and scope according to the conditions of resettlement implementation, securing these groups’ legitimate rights and interests. The significance of the M&E of involuntary resettlement is that it is endowed with a value orientation that respects and protects all APs’ rights and interests and is deemed an essential tool for quality management in resettlement work. It has two fundamental functions: the first is to monitor whether project owners can effectively protect the rights and interests of APs and ensure that their livelihoods and health are not affected by the project. The second function involves promoting the project owners to further improve the resettlement work by evaluating their resettlement protection behaviors.
2.2.3. People’s Development: A Political Practice of the Governance of the Risk of Involuntary Resettlement
The governance of involuntary resettlement is also a type of political practice. The issue of involuntary resettlement has always been taken seriously by many countries, whether in developed countries, such as Canada, New Zealand, the United States, and Japan; or developing countries, such as China and India. These countries attach great importance to the possible impact of involuntary resettlement on social stability and have integrated the governance of resettlement risk into their social governance systems. With the further influence of development theory, effectively promoting the development of involuntary resettlement has constituted the mainstream perspective regarding the governance of involuntary resettlement risk. After experiencing a simple view of development centered on economic development, to a comprehensive view of development centered on people, and then to a sustainable development view, development theory has become increasingly well-established and has profoundly influenced all areas of the society and economy and has also driven the evolution of the meaning of the governance of resettlement risk. Since the 1980s, the WB has promoted resettlement with development in its loan projects, reflecting that the governance of involuntary resettlement risk is endowed with developmental attributes. The integration of resettlement with development is regarded as the most crucial goal of the governance of resettlement risk. According to the study by Pro. Elisabeth J. Croll, “resettlement with development” is the new term employed to emphasize a more comprehensive development approach that includes productive activities, such as forestry, vegetables, fruit, fisheries, and local enterprises [46]. The process of the resettlement includes the “mobilization or education and persuasion aimed at winning the co-operation of relocatees; relocation or the payment of compensation for old houses and land prior to the allocation of new land, the construction of new houses and new site infrastructure; and production development or providing the means of production to generate improved incomes” [46]. The governance of resettlement risk is no longer simply to prevent and control this risk but to afford APs better opportunities for development [47,48]. In fact, the governance of resettlement risk has been transformed into an opportunity for promoting the development of Aps [49].
This transformation is not only embodied in the mode of resettlement but also the resettlement process. The state is vested with the power to design diversified modes for the resettlement of APs, and APs are afforded the freedom to choose the most suitable mode for their personal development. For example, China has designed various methods for reservoir resettlement, such as agricultural resettlement, urbanization resettlement, social security resettlement, and shareholding resettlement [50]. As for the resettlement process, greater emphasis is placed on resettlement with development during the RAP design phase, of which offering enough development opportunities to APs equates to affording them reasonable compensation [3,51]. Public participation is regarded as a significant way to better guarantee the development of APs’ livelihoods [51,52] and garners much attention in the implementation phase for the M&E of involuntary resettlement, affording APs a greater voice. Furthermore, the orientation toward late-stage support has completely changed from preventing the recurrence of resettlement risks to the sustainable development of all APs.
Under these circumstances, the advantage of the timeliness of the M&E of involuntary resettlement is highlighted. M&E can promptly identify the demands of the APs’ development and propose timely amendments or improvements to the implementation of related policies. In addition, it can provide related experiences that can be used as a reference for developing late-stage support. Thus, the M&E of involuntary resettlement is attributed to a function of the consultation for decision-making and should be responsible for both the prevention and minimization of resettlement risk and the sustainable development of APs.
The governance of involuntary resettlement risk is driven by project owners, lending institutions, and state power and can be regarded as a kind of engineering, social, and political practice. Figure 1 shows the basic structure of the governance of involuntary resettlement risk. Any activity involved in the governance of resettlement risk should reflect engineering practices in risk prevention and control, social practices guaranteeing rights and interests, and political practices regarding “people’s development”. The M&E of involuntary resettlement is a kind of resettlement risk governance undertaken by independent agencies during the resettlement implementation phase and should be endowed with the three previously mentioned characteristics. In terms of risk prevention and control, it is important to collect, predict, and anticipate various possible resettlement risks as fully and comprehensively as possible and guarantee the timeliness of the information collected. The M&E of involuntary resettlement should safeguard all legitimate rights and interests of APs from being affected and propose corresponding measures. In particular it must prevent the vulnerable groups from being affected to fully achieve fairness. Regarding “people’s development”, the M&E of involuntary resettlement is used to promote APs’ access to development opportunities, which means that their development possibilities can be best captured from the M&E-based information so that related suggestions for the APs’ more stable development can be made and provided to governments responsible for resettlement. In a word, reflecting and updating the M&E of involuntary resettlement should ideally follow the principles of comprehensiveness, fairness, and development.
Figure 1.
Basic Structure of the Governance of Involuntary Resettlement Risk.
Our research methodology requires reflecting on the original model for the M&E of involuntary resettlement, identifying and addressing problems, and then proposing an updated model, referring to the practical experience and the challenges of the governance of resettlement risk.
3. Reflection on and Updating of the Framework for the Monitoring and Evaluation of Resettlement Based on the AGIL Scheme
A famous American sociologist, Talcott Parsons, proposed the AGIL scheme. He believed that there are four imperative, functional characteristics or functions of all systems: Adaptation (A), Goal Attainment (G), Integration (I), and Latency (L). Furthermore, he argued that any system must perform these four functions as follows:
- Adaptation: a system must cope with external situational exigencies and adapt to its environment according to its needs.
- Goal attainment: a system must define and achieve its primary goals.
- Integration: a system must regulate the interrelationship of its parts. It must also manage the relationship among the other three functional imperatives.
- Latency (pattern maintenance): a system must furnish, maintain, and renew both the motivation of individuals and the cultural patterns that create and sustain the motivation [53].
Parsons believes there are also interactions among these four functional imperatives, showing the relationship of control between “energy transfer” and “information control”. Concretely, the low-position imperative provides the power of action and the means of expression to the higher-position imperative. Thus, “adaptation–goal attainment–integration–latency” has a relationship with energy transfer. Meanwhile, the higher-position imperative offers information guidance and action regulation to the lower-position imperative, which means that “latency–integration–goal attainment–adaptation” has a relationship with information control.
The risk of resettlement is a systematic risk [54,55], which means that the framework for the M&E model of involuntary resettlement is a whole that can systematically analyze and predict resettlement risk. As the scale is huge, the South-to-North Water Diversion Project adopts a general M&E framework for resettlement that is widely recognized in the industry and includes the following six units:
- Implementation Process of Land Acquisition and House Demolition: this is an overall statement of the overall progress regarding land acquisition and house demolition of the project and objectively describes the overall process of involuntary implementation. In general, this term can also be named as resettlement implementation process.
- Management and Use of the Resettlement Fund: this is an overall description of the use of resettlement funds, facilitating the formation of a preliminary judgment on the quality of APs resettlement.
- Resettlement of APs’ Productivity: this refers to collecting the conditions regarding the resettlement of APs’ productivity, judging the recovery of the associated productivity, communicating, in a timely manner, with the project owners on the problems found, and making corresponding suggestions for improvement.
- Resettlement of APs’ Lives: this unit is involved with collecting the conditions of the resettlement of APs’ lives, judging the recovery of APs’ lives, communicating, in a timely manner with project owners on the problems found, and making corresponding suggestions for improvement.
- Public Participation, Appeal, and Grievance: this unit requires collecting relevant information about APs’ participation, appeal, and grievance in the overall resettlement process to examine, analyze, and judge the performance, problems, and effectiveness of APs’ resettlement.
- Workings and Efficiency of Agencies Responsible for Resettlement: this unit requires collecting relevant information about the operations of the resettlement agencies to examine and judge their effectiveness and the level of related institutional safeguards for resettlement.
Based on the perspective of the AGIL scheme, each unit of this framework embodies the nature of AGIL; that is, all units essentially correspond to the following related functional imperatives, which is shown in Figure 2.
Figure 2.
The Functional Distribution of the Present Monitoring and Evaluation of Resettlement Based on the AGIL Scheme.
- The progress in implementing land acquisition and house demolition, and the management and use of the resettlement fund, constitute the functional imperative of the “Adoption” function. This imperative can indicate whether the resettlement work conducted by project owners has been effectively adapted to the resettlement process in general.
- The “Resettlement of the APs’ Productivity and Resettlement of the APs’ Lives” is the functional imperative of the Goal Attainment” function. This imperative can indicate whether the resettlement has achieved the defined objectives and the quality of the achieved objectives.
- “Public Participation, Appeal, and Grievance” represents the functional imperative of the “Integration” function, indicating whether conflicts have emerged in the resettlement process and whether they have been effectively resolved.
- The workings and efficiency of the agencies responsible for resettlement is the functional imperative of the “Latency” function and can reveal whether the present mechanism effectively ensures the smooth implementation of the resettlement process.
Meanwhile, each unit of this framework has an interactive relationship. Therefore, they all embody the relationship between energy transfer and information control, which is also shown in Figure 2. The units regarding “Implementation Progress of Land Acquisition and House Demolition” and “Management and Use of the Resettlement Fund” can assist in examining and analyzing the resettlement of the unit on “APs’ Productivity and the Resettlement of the APs’ Lives”. The former assists the latter in deriving more objective and accurate conclusions, while the latter can verify the authenticity and validity of the former with a certain information correction effect. “The Productivity Resettlement” and “The Livelihood Resettlement” units will provide information support for “Public Participation and Appeal”, while the latter will assist in assessing and judging the quality and accomplishment of the former. “Public Participation and Appeal” can largely facilitate the construction and operation of the agencies responsible for resettlement, and the good operation of these agencies can also support the effectiveness of resolving issues pertaining to the “Appeal and Grievance” unit.
These six M&E units have formed four functional imperatives. Furthermore, the units and functional imperatives are both independent and interconnected, reflecting the systematic and comprehensive nature of the framework. It can be assumed that this framework can still meet the requirements regarding the governance of resettlement risks for some time to come. Therefore, this framework model can be maintained.
4. Reflection on and Updating of the Monitoring Model of Involuntary Resettlement Based on “Comprehensiveness, Fairness, and Development”
4.1. Reflection on the Monitoring Model of Involuntary Resettlement
Monitoring the resettlement is a process of information collection that provides a reliable basis for the evaluation by setting scientific monitoring indicators. The governance of resettlement risks requires comprehensive and timely control of various risks [54,56] and specialized capability to manage those risks [56]. On the one hand, this process requires that the monitoring of the resettlement generates a monitoring indicator system that reasonably aligns with the project’s characteristics and the conditions of the project area. On the other hand, M&E agencies should adopt proper information collection methods according to the circumstances of risk occurrence and guarantee that the information collected is “true and reliable”.
Appendix A Table A1 shows the monitoring indicators for the resettlement and information collection methods adopted by the South-to-North Water Diversion Project, which is regarded as the most popularized pattern in China. Although this monitoring model has been widely used in the South-to-North Water Diversion Project and is believed to be able to collect effective information, it must be acknowledged that the following problems associated with the principle of comprehensiveness, fairness, and development still exist: First, the focus on the vulnerable groups is still weak. Second, the attention to development opportunities for the APs is still lacking. Third, the efficiency of monitoring information collection is still comparatively low, and the problem of information lag still exists. We will explain these three aspects in detail in the following sections.
4.1.1. The Ineffectiveness of Support for Vulnerable Groups
Vulnerable groups are sensitive to the risks induced by land acquisition and house demolition. Central to the governance of resettlement risks is reducing or even eliminating the project’s negative impacts on these groups [57,58,59]. Vulnerable groups are also called key groups. Due to their vulnerability, project owners, the governments responsible for resettlement, and M&E agencies naturally believe that these groups include the elderly, women, left-behind children, disabled persons, low-income persons, and ethnic minorities. As a result, the scope of key groups is almost fixed at the practical level of the M&E of involuntary resettlement. The impact of resettlement of projects is dynamic; that is, the impact of resettlement induced by the project varies among different periods, and the vulnerability impacts involved are inherently and continuously changing. It is necessary to constantly examine and adjust the scope of the key groups. Some people with a stable livelihood are more sensitive to resettlement. Their vulnerability will only appear when they are affected by resettlement, and even their vulnerability may be more serious than that of the “vulnerable groups”. Surveying the East Line Sub-project of the South-North Water Transfer Project revealed people who were suffering a livelihood crisis, as they were highly dependent on the local consumer market. Most of them were engaged in self-employed small businesses and traditional handicrafts. Regrettably, this group is not brought into the scope of the key groups in the current M&E. Accordingly, it was assumed that the designation of vulnerable groups does not precisely reflect the necessity of adjustment. We propose replacing the designation of vulnerable groups with that of risk-susceptible groups to embody the variation and encourage project owners and the governments responsible for resettlement to pay significantly more attention to the changing nature of key groups.
4.1.2. The Lack of Attention to People’s Development
The current M&E of involuntary resettlement still lacks focus on “people’s development” and remains focused on preventing resettlement risks. As mentioned above, seeking more development opportunities for the APs has become very important for the governance of resettlement risks. The M&E of involuntary resettlement, as an essential means for the governance of resettlement risk, still requires a conceptual change to develop more opportunities for APs during resettlement implementation. APs’ development entails the APs gaining a more stable and productive life [60], including sustainable livelihoods based on their individual capabilities [10,19,61,62], orderly social integration based on social support [63,64,65], and stable social security based on government support [48,66,67]. In fact, the APs are increasingly concerned about their individual development during project construction and resettlement implementation. We surveyed a sample of 895 households in the Dongping-Nansi Section, one part of the South-to-North Water Diversion Project, on the following nine items. Accordingly, the results are depicted in Figure 3.
Figure 3.
A Sampling of Statistics on Development Opportunities for the APs in the Dongping-Nansi Section of the South-to-North Water Diversion Project (Note: the data are sourced from a field study on the resettlement implementation of the Dongping-Nansi Section of the South-to-North Water Diversion Project, which is conducted by National Research Centre for Resettlement of Hohai University from 2009 to 2019).
It can be found that the concern regarding the reconstruction of political power, commercial opportunities, employment opportunities, and pre-employment training is increasing annually. In particular, the concern of the last three items presents an increasing trend, which may be due to the growing demand for development as the livelihoods of APs are gradually being stabilized. In fact, it has become a new requirement for M&E agencies to push project owners and governments to provide more development opportunities for the APs. “The compensation of land acquisition is completely insufficient for our further development. The project brings more adequate water resources in our relocated region, which would bring some potential opportunities that we expect for. We especially want our children to have a better chance to develop through the project. After all, we made the sacrifices”. (Interviewee: XJL, a common person affected; Interview time: September 2017).
4.1.3. The Deficiency in the Timeliness of Information Collection
The current method adopted for information collection is the traditional field study. In particular, M&E agencies are still accustomed to conducting face-to-face interviews to investigate APs, project owners, project resettlement units, or organizations responsible for implementation. Furthermore, the information collection still occurs at a fixed period, e.g., once every three months or once every six months, due to cost constraints. This approach will easily result in the loss of critical information as the changes involved in resettlement are much faster at present. The efficiency of the information collection must be improved by introducing some modern technologies. “The timeliness of information is really a problem presently. We can only implement regular M&E once every six months now while the APs are changing so fast now, which makes it easy to miss some key information. For example, the issue of land adjustment for APs, some conflicts between APs and village councils may arise when the issue of land adjustment is involved due to some unexpected factors (such as land acquisition for other projects) and the land cannot be adjusted to APs while there is no certain compensation. Therefore, it is difficult to investigate the problem clearly with only the semi-annual M&E. In addition, the compensation of resettlement funds, for example, some local governments send the funds down and collect them back up, which involves the flow of some funds”. (Interviewee: CGQ, a member of the specialist group of the Dongping-Nansi Section; Interview time: August 2018). (Note: the data are sourced from the same field study mentioned above).
4.2. A Strategy for Updating the Monitoring Model of Involuntary Resettlement
4.2.1. More Attention to Risk-Susceptible Groups
Although risk-susceptible groups are dynamic in nature, their scope is not difficult to identify. The vulnerable groups mentioned in the current M&E can be regarded as a basis for determining the scope of risk-susceptible groups. These groups can be the focus of attention in the background survey, and the scope of the risk-susceptible groups can be dynamically adjusted in the subsequent M&E. Generally, the scope of these groups, including groups in poverty, older persons, left-behind children, women, and ethnic minority groups, also includes groups with difficulties in livelihood transition. The main points concerning risk-susceptible groups are reflected as follows:
- Groups in poverty: their income conditions before and after resettlement, comparison of employment structures under which they are engaged, and their income satisfaction.
- Older persons: their social support from the government, society, and family members; their daily life and social protections; and their satisfaction with their current situations.
- Left-behind children: their social support from the government and society; their educational status; and their satisfaction with the current situation.
- Women: their income conditions before and after resettlement; the changes in their family status; the guarantee of their legal rights and interests; and their satisfaction with the current situation.
- Ethnic minority groups: their adaptability to the altered cultural environment, i.e., whether their traditional culture can be preserved after resettlement (for those with religious beliefs, it is necessary to verify the extent to which their religious life is affected); their cultural adaptation to the resettlement; and their satisfaction with the current situation.
- Groups with difficulties in livelihood transition: their income conditions before and after resettlement; comparison of the employment structures under which they operate; and their income satisfaction.
Risk-susceptible groups are a special kind of APs, and an independent and special monitoring indicator system that focuses on them must be established. This system is mainly used to identify their productivity and living conditions before and after resettlement, as well as their views, opinions, or suggestions on the project, and, additionally, to collect information on the effectiveness of the resettlement agencies. This system is specifically set up in the four units on “Resettlement of the APs’ Productivity”, “Resettlement of the APs’ Lives”, “Public Participation, Appeal and Grievance”, and “Workings and Efficiency of the Agencies responsible for Resettlement”. Information collection relies on the ability of M&E agencies to perform a better field study, using traditional methods. The model for monitoring of risk-susceptible groups is shown in Table 1.
Table 1.
Monitoring of Risk-susceptible Groups.
4.2.2. More Attention to the Development of APs
The development of resettlement is a long-term staged process. In each stage, the connotation of the development is different, requiring thorough consideration of the institutional, cultural, and ecological environments. While implementing the resettlement, the M&E of involuntary resettlement must focus on the development of APs and the possible subsequent associated limitations, including the sustainability of their livelihoods, their orderly integration into the social and cultural environment of the resettlement area, and their access to stable social safeguards from the government. The core themes include:
- Sustainable livelihoods: the voluntary employment after resettlement; changes in in the means of income of other members of the household; and the influence of the local socio-economic environment in supporting or weakening their livelihoods after resettlement.
- Well-ordered social integration: interest conflicts with persons living in the resettlement area, e.g., regarding land adjustment; and the conditions of culture shock, customary shock, and religious conflicts.
- Stable social insurance: the welfare measures provided by the government; the medical and educational measures provided by the government; the effectiveness of these measures; and whether there are other social organizations providing social security services for the APs, e.g., donations or other development-related resource support.
Differing from the traditional indicators for the M&E of involuntary resettlement, the development of the APs is new to M&E and requires new indicators. These indicators can be distributed among four items: Resettlement of the APs’ Productivity, Resettlement of the APs’ Lives, Public Participation, Appeal, and Grievance, and Workings and Efficiency of the Agencies responsible for Resettlement. Additionally, information collection relies on the ability of M&E agencies to effectively assess the economic environment of the resettlement area and to accurately examine the quality of resettlement. The method of information collection relies mainly on gathering literature but not exclusively on field study. The model for monitoring of risk-susceptible groups is shown in Table 2.
Table 2.
Monitoring of the Development of the APs.
4.2.3. Enhancing the Efficiency of the Information Collection by Means of “Internet+”
Monitoring information collection is an extremely labor-intensive task. Although the “face-to-face” method has performed well in practice, it remains time-sensitive because of various changes regarding resettlement in modern times. So, the information collection process must be supplemented with modern communication. The “Internet+” model has demonstrated its superiority in China, effectively reducing the cost of information collection while improving its efficiency. It has already been developed to introduce “Internet+” into properly monitoring information collection. According to the statistics, the internet popularity rate was 79.8% in urban areas and 55.9% in rural areas in China at the end of December 2020 [68]. Currently, “Internet+” is deeply embedded in some industries and has become an important driving force for the progress of these industries [69,70]. It is highly possible to introduce the “Internet+” model into the monitoring information collection. Especially under circumstances where mobile internet has been popularized, the communication platform between the M&E agencies, the APs, the project owners, and related cooperative agencies can be realized by “virtualization” to achieve timely information exchange [71].
- In the “Resettlement Implementation Process”, after the project owners upload various reports and documents onto the internet platform on the progress of the project implementation, the monitoring agency can promptly understand the progress of the project implementation in each section.
- In the “Management and Use of the Resettlement Funds”, the M&E agencies can upload the written documents on the progress of funds to the monitoring online system to keep track of the flow of funds and facilitate a more timely understanding of the use of funds.
- In the “Resettlement of the APs’ Productivity” and “Resettlement of the APs’ Lives”, the M&E agencies can establish direct communication between themselves and the APs on the internet platform. The APs can promptly give feedback on their productivity and living resettlement, put forward their demands, and propose relevant suggestions.
- In the “Public Participation, Appeal, and Grievance”, the complaints are processed online with the participation of the APs, project owners, the governments responsible for resettlement, and the M&E agencies. Any complaints can be informed in a timely manner through the internet platform, while the project owners, the governments, and the M&E agencies can jointly negotiate and provide relevant solutions online.
- In the “Workings and Efficiency of the Agencies Responsible for Resettlement”, conditions on the workings and efficiency of the agencies responsible for resettlement are submitted to the M&E agencies by the project owners through the internet platform, assisting the M&E agencies in accessing the operation of the agencies without additional time costs.
Nevertheless, it must be clearly acknowledged that it is still challenging to determine and identify some key pieces of information collected by Internet+ [72], and it is necessary to confirm the truth and effectiveness of the related information. Therefore, a solid and effective field study is still quite essential and significant, and there cannot be an overreliance on the Internet+.
5. Reflection on and Updating of the Evaluation Model of Involuntary Resettlement Based on “Comprehensiveness, Fairness, and Development”
5.1. Reflection on the Evaluation Model of Involuntary Resettlement
Given the approach taken to conducting this project, the M&E is “designed as a management tool to ensure that the extension organization is operating efficiently, to enable management to take corrective action when necessary, and to provide policy-makers with appropriate information” [73]. This method involves two implications: First, the evaluation should comprehensively assess the quality of resettlement and effectively and thoroughly identify possible troubles involved in the existing resettlement. Thus, to embody the so-called “risk is a modern means of predicting and controlling the future consequences of human activity, i.e., the various and unpredictable consequences of radical modernization, an attempt toward future expansion (institutionalization), and a mapping of awareness” [74]. Second, the evaluation should discover all possible risks to ensure that the interests of all involved persons are not damaged. In this regard, unfairness cannot arise through the project, and the interests of the APs cannot be exchanged for the greater benefits of the project. Naturally, “the concept of risk suggests that people have developed a civilization that makes the unforeseen consequences of their decisions predictable so that they can control what is uncontrollable” [75].
From the perspective of engineering ethics, projects should follow the principle that all involved project owners and governments should protect the interests of all involved persons and endeavor to reduce and even eliminate the projects’ resulting negative impacts. Additionally, sharing the projects’ dividends is becoming mainstream in these ethics. The evaluation of resettlement is a kind of project activity, which means that the role of this evaluation is no longer limited to an objective and fair evaluation of the quality of resettlement, but it must also embody better humanistic care. Thus, the evaluation of resettlement must play a more active role in securing livelihoods and promoting development. Therefore, this evaluation must play a specific guiding role: encouraging project owners and related governments to develop more opportunities for APs to eliminate the resettlement risk at the root.
By combining the two perspectives above, it can be argued that the evaluation should not only give an opinion on the possibility of the resettlement risks but also play a certain role of consultation [76,77]. Table A2 shows the evaluation strategies and methods for assessing the South-to-North Water Diversion Project.
From the perspective of the effectiveness of the evaluation, each evaluation unit has already achieved corresponding effectiveness within its respective scope, while the overall evaluation has not achieved powerful effectiveness as the current evaluation system remains fragmented. The assessment itself is a combination of various units working together, and all the units should be mutually supportive and interconnected. The evaluation’s effectiveness comes not only from the effectiveness of each unit but also from the organic linkages among them. Therefore, the current evaluation model must be updated and made more systematic, exploiting the powerful collaboration among the valuation units. In addition, from the perspective of engineering ethics, the evaluation adopted shows a low level of attention to risk-susceptible groups and a lack of attention to development opportunities for the APs, which is related to the current monitoring model that lacks attention being paid to them. Thus, it is also necessary to strengthen the significance of the evaluation of resettlement in contributing to securing the livelihoods of the APs as well as development opportunities.
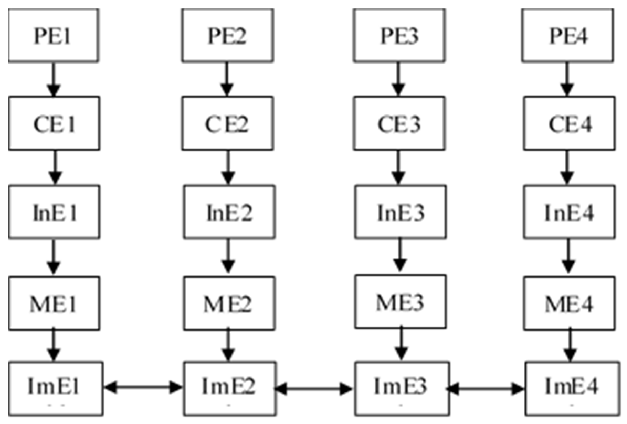
5.2. A Strategy for Updating the Evaluation Model of Involuntary Resettlement
John Owen proposed the meta-model of evaluation in 1999, containing five types of evaluation, including proactive evaluation (PE), clarificative evaluation (CE), interactive evaluation (InE), monitoring evaluation (ME), and impact evaluation (ImE) [78]. PE identifies and examines the problem. CE discovers and ascertains possible threats. InE indicates what additional improvements and enhancements are needed. ME confirms whether the project has deviated from the stated objectives. ImE draws final evaluation conclusions. These five types of evaluation have a progressive relationship with each other. Each evaluation type has an identifiable purpose and focuses on a set of common issues. In turn, each type links to specific evaluation approaches and related methodologies.
Based on this model, ImE can be used as a link between each M&E unit to establish a closer connection between each unit, i.e., a relationship of energy control and information transfer. The updated evaluation model based on the “Meta-model of Evaluation” is shown in Figure 4.
Figure 4.
The Updated Evaluation Steps of Involuntary Resettlement Based on the Meta-model of Evaluation. (Note: Each number indicates one monitoring and evaluation unit, including “1” for “Progress of Resettlement Implementation and the Use of Resettlement Funds”, “2” for “Resettlement of the APs’ Productivity and Lives”, “3” is “Public Participation, Appeal, and Grievance”, and “4” is “Workings and Efficiency of The Agencies responsible for Resettlement”).
Based on this model, the six M&E units can be combined into four M&E units so that the units overlap with the functional imperatives. Thus, the units pertaining to the “Resettlement Implementation Process” and “Management and Use of the Resettlement Funds” are combined into “Resettlement Implementation Process and Use of the Resettlement Funds”, and “Resettlement of the APs’ Productivity” and “Resettlement of the APs’ Lives” are combined to form “Resettlement of the APs’ Productivity and Lives”, while the other two M&E units remain unchanged. Furthermore, the monitoring indicators are regrouped according to that model to match the corresponding evaluation approaches. The relationship among various M&E units is achieved through the ImE of each unit, which, in turn, establishes an organic relationship among these units. The evaluation is then carried out independently according to the principle of comprehensiveness, fairness, and development.
Thus, the framework of the updated evaluation model of involuntary resettlement can be established. The structure of it is shown in Figure 5. The first step, called “General Evaluation of the Resettlement”, requires conducting a comprehensive evaluation to assess the overall quality and situation surrounding resettlement. The second step, called “Evaluation of the Risk-susceptible Groups”, involves conducting a fair evaluation to assess the quality of resettlement for risk-susceptible groups and proposing corresponding countermeasures. The third step, named “Evaluation of the Development of the APs”, requires conducting a developmental evaluation to assess the quality of development opportunities for the APs based on the actual situation surrounding the resettlement and making corresponding suggestions based on the comprehensiveness and fairness.
Figure 5.
The Framework for the Updated Evaluation Model of Involuntary Resettlement based on the Meta-model of Evaluation. (A) General Evaluation of the Resettlement. (B) Evaluation of the Risk-susceptible Groups. (C) Evaluation of the Development of the Aps.
Within each evaluation step, the evaluation orientations and relevant methods should be reorganized or reset in each PE, CE, InE, ME, and ImE. The updated evaluation model of involuntary resettlement is depicted in Table 3.
Table 3.
The Updated Evaluation Model of Involuntary Resettlement.
6. Conclusions and Discussion
The M&E of involuntary resettlement has been implemented for over 30 years since its formulation. It is essential to ensure that it has a durable, robust, and effective governance function for resettlement risks to address these complex and changing risks. Based on the experience of China regarding implementing the M&E of involuntary resettlement, we have updated the model for the M&E of involuntary resettlement to adapt to the new situation surrounding the governance of resettlement risks. We propose that the two monitoring systems for risk-susceptible groups and APs’ development should be set up separately in the monitoring model, and specific monitoring indicators should be set within each system. Furthermore, we introduce the meta-model of evaluation into the evaluation model to strengthen the organic relationship among various evaluation units and enhance the overall capacity of the evaluation. Additionally, the evaluation should be implemented in the general resettlement, risk-susceptible groups resettlement, and APs’ development.
6.1. Contributions of This Study
Over the past three decades, there has been an increased understanding of the M&E of involuntary resettlement. The pioneering study focused on introducing this model [1,4,5,58,79]. Subsequently, as the M&E of involuntary resettlement was adopted by more projects, relevant scholars made in-depth studies on its monitoring indicators and evaluation methods. These studies were conducted around specific projects, such as hydropower projects [9,80,81], urban renewal projects [82], dam projects [83,84,85], and mining projects [86,87]. In these studies, scholars developed specific monitoring indicator systems and proposed corresponding evaluation approaches based on project characteristics and the social and institutional environment in which the project is being implemented. Beyond the project, some scholars have also shifted their focus to the capacity building of M&E agencies [88]. The M&E of involuntary resettlement has been gradually localized by being increasingly used in many projects. It has gained official attention, and some countries or regions have incorporated it into their project management areas and even developed policies or industry standards. For example, China has developed Interim Procedures for Monitoring and Evaluation of Resettlement of South-to-North Water Diversion Project (issued in 2005 by the Department of Environment and Resettlement of the Office of the South-to-North Water Diversion Project Construction Committee of the State Council). Establishing the legal status for the M&E of involuntary resettlement in specific industries or specific projects has become a critical path to achieve its localization. It is essential to acknowledge that although previous studies have largely enhanced the effectiveness of the M&E of involuntary resettlement, they remain “fixes” to the original model, with less or no related reflection.
Compared with previous research contributions, our study is based on the systematic governance of resettlement risk. The governance of resettlement risk should not only ensure that the interests of APs as a whole are not infringed, but also ensure that the rights of those who are more vulnerable to resettlement risks are protected and guaranteed to the maximum extent. Moreover, as the understanding of the governance of resettlement risk deepens, it is recognized that the governance of resettlement does not end simply because resettlement is completed, e.g., post-resettlement support is proposed as a strategy to support the subsequent development of APs. Therefore, the M&E of involuntary resettlement must also focus on the development opportunities of APs during the resettlement implementation. Although the resettlement of risk-susceptible groups and the APs’ development have been presented in the original model for M&E, they have not been afforded specific attention. Thus, we separate these two aspects from the original model to form a more systematic model.
Nevertheless, previous research remains quite instructive and especially valuable for specific project practices. Our proposed updated model focuses on the most basic monitoring indicators and the most basic information collection and quality assessment methods. For example, we believe that the interview remains the main method for collecting monitoring information and the related data collection; however, we also propose introducing the “Internet+” for information collection. As another example, we believe that the main evaluation methods are group discussion, expert panel, and interviewing key persons, which are the most basic methods for quality evaluation. Although they may increase the cost of the M&E of involuntary resettlement, they have been proven to be the most effective in practice. It should be noted that in the future practice, M&E agencies can design information collection and quality evaluation methods for projects (such as open space technology) based on our proposed model and according to specific host countries or regions institutional, social, or economic environments.
6.2. Implications for Practices
Updating the model for the M&E of involuntary resettlement would have considerable implications for the practices of project owners, lending institutions, M&E agencies, and local governments during the resettlement implementation stage, including project owners being promoted to more comprehensively prevent and control resettlement risk during the project construction. In particular, they must pay more attention to risk-susceptible groups and APs’ development opportunities, significantly reducing the project’s negative impacts on the project construction due to the resettlement issues. Second, lending institutions are encouraged to strengthen their social responsibility and may be prompted to make further changes to their lending policies, such as requiring lenders to be more flexible with risk-susceptible groups and provide more support to them. Third, related local governments are advised of the multiple risks that may arise in the relocation and resettlement, also suggesting that they do need to optimize their capacity to deal with the resettlement risks. Fourth, for the M&E agencies, we propose a different model from the past. In this model, these agencies must implement multidimensional monitoring and evaluation by improving and enhancing their operational capabilities around more effective governance of the resettlement risk.
6.3. Limitations
It is necessary to acknowledge that the problem of the limitation of scope and time still exists in the practice of updating.
First, the comprehensiveness of information collection on resettlements: The information collection is constrained by the institutional, cultural, and social environments. Full consideration must be given to the economic, social, cultural, and political environments in which the project is located and the method of information collection, and to design and develop a monitoring indicator system that is consistent with the environment. At the same time, the information itself is time-limited, especially since various situations will arise during the implementation of resettlement, requiring that the monitoring indicators make a timely adjustment. Therefore, M&E agencies have to scientifically and reasonably identify or judge possible risks before implementing every M&E and should integrate them into the information collection indicator system.
Second, the fairness in protecting APs’ rights and interests: In terms of the limitation of scope, the object of fairness is all APs. It is fair to ensure the interests of risk-susceptible groups, while it is even more just to ensure the interests of all APs. Equity begins with ensuring fairness to the majority of the population and not overemphasizing risk-susceptible groups to exclude the needs of larger segments of the population. More importantly, the interests of the majority should not be sacrificed to protect the interests of risk-susceptible groups. Therefore, risk-susceptible groups should not be given undue attention, and the M&E should ensure that the rights and interests of APs as a whole are effectively safeguarded. On the other hand, regarding the limitation of time, the scope of risk-susceptible groups is dynamic, as mentioned above. The identity of a risk-susceptible person is determined by their susceptibility to risk compared to others. Project owners, governments responsible for resettlement, and M&E agencies should, together, focus on the genuinely risk-susceptible persons and reasonably define their scope from the very outset of the M&E, making dynamic adjustments throughout the entire M&E cycle.
Third, sustainable development of the APs: Since regions have varying levels of development, each region’s development goals should be different. Due to the specificity, sensitivity, and vulnerability of APs, setting development goals for APs is required to be more rational, deliberate, and effective. Development goals should be established by analyzing the local social, economic, and cultural environments, and the general situation regarding resettlement and livelihood should comprehensively safeguard risk-susceptible groups. Development occurs in stages. Setting development goals is essential to promoting the ability of APs to keep abreast with social development and erode their status as APs. The goal of sustainable livelihoods for APs is achieved by eliminating their vulnerability through development. Hence, the M&E of involuntary resettlement must measure the gap between overall socio-economic development and the development of the group of APs and effectively set more reasonable development goals reflected in each M&E report. As for the limitation of scope, resettlement development is still holistic rather than localized. The equity of development should be especially emphasized when seeking development opportunities and setting related goals. It is absolutely impractical to neglect or even harm the development of other groups just to promote the development of one group.
6.4. Future Research Prospects
Karl Marx said that “people are the aggregation of social interrelations” [89], and the process of resettlement is simultaneously the reconstruction of social, economic, cultural, and ecological relations in a new way [13]. In recent years, the function of consulting for decision-making on the M&E of involuntary resettlement has gradually increased, becoming more focused on the continued integration of APs and the orderly change of society [52]. In particular, the M&E of involuntary resettlement is endowed with the status of an independent third party, which can collect, collate, analyze, and judge resettlement information more objectively and can provide specialized advice to decision-making institutions. The effectiveness of this working mechanism has been gradually recognized and accepted by decision-making institutions [51], and its importance will be more prominent as the level of resettlement work improves. Accordingly, it is essential to continuously strengthen in-depth study on the M&E of involuntary resettlement based on actual practices, including, but not limited to, its model.
In addition, the M&E of involuntary resettlement is even more important for developing countries. Most developing countries are undergoing, or about to undergo, massive infrastructural development, which means that there will be a vast space for adopting the M&E of involuntary resettlement. The question of how the M&E of involuntary resettlement could be localized in these countries to promote better human rights and development opportunities for involuntary resettlement will be a fascinating issue for future study.
Author Contributions
Conceptualization, H.L. and G.S.; validation, H.L., G.S. and J.X.; investigation, H.L.; resources, G.S.; data curation, H.L., G.S. and J.X.; writing—original draft preparation, H.L. and G.S.; writing—review and editing, H.L. and J.X.; supervision, H.L., G.S. and J.X. All authors have read and agreed to the published version of the manuscript.
Funding
This study was financially supported by the National Social Science Fund of China (No. 13ZD172).
Institutional Review Board Statement
Not applicable.
Informed Consent Statement
Not applicable.
Data Availability Statement
Not applicable.
Conflicts of Interest
The authors declare no conflict of interest.
Abbreviations
| M&E | Monitoring and Evaluation |
| APs | The Persons Affected |
| The WB | The World Bank |
| ADB | Asian Development Bank |
| IFC | International Finance Corporation |
| OD | Operational Directive |
| OP | Operational Policy |
| BP | Bank Procedure |
| RAP | Resettlement Action Plan |
| SIA | Social Impact Assessment |
| PE | Proactive Evaluation |
| CE | Clarificative Evaluation |
| InE | Interactive Evaluation |
| ME | Monitoring Evaluation |
| ImE | Impact Evaluation |
Appendix A
Table A1.
Summary of the Current Monitoring Model of Resettlement.
Table A1.
Summary of the Current Monitoring Model of Resettlement.
| Monitoring Unit | Monitoring Indicators | Methods of Information Collection |
|---|---|---|
| Resettlement Implementation Progress |
|
|
| Management and Use of Resettlement Fund |
|
|
| Resettlement of the APs’ Productivity |
|
|
| Resettlement of the APs’ Lives |
|
|
| Public Participation, Appeal and Grievance |
|
|
| Workings And Efficiency of The Agencies Responsible for Resettlement |
|
|
Data source: a consultation paper for land acquisition and resettlement of South-to-North Water Diversion Project made by National Research Centre for Resettlement of Hohai University.
Table A2.
Summary of the Evaluation of Resettlement.
Table A2.
Summary of the Evaluation of Resettlement.
| Evaluation Unit | Orientation of the Evaluation | Method of the Evaluation |
|---|---|---|
| Resettlement Implementation Progress | Objectively examine the general state of the process of the resettlement based on the evaluation on the progress of land acquisition and house demolition and preliminarily judge whether the resettlement can be stably maintained. |
|
| Management and Use of Resettlement Fund | Comprehensively predict the quality of the resettlement with fully regarding to the management and use of resettlement fund and inspire the following evaluation. |
|
| Resettlement of the APs’ Productivity | Analyze the general conditions and future trends of livelihood patterns of the APs and their productivity structures and offer relevant suggestions to the project owners and the governments responsible for resettlement. |
|
| Resettlement of the APs’ Lives | By combining both quantitative and qualitative analysis, the M&E agency analyzes the general conditions of the APs’ living standards and makes professional suggestions to the project owners for their stable improvement.Analyze the general conditions of the APs’ living standards and provide the project owners and the governments responsible for resettlement with relevant suggestion. |
|
| Public Participation, Appeal, and Grievance | Objectively assess the effectiveness of public participation and grievances on resettlement and make relevant suggestions. |
|
| Workings And Efficiency of The Agencies Responsible for Resettlement | Objectively evaluate the effectiveness of the operation efficiency of the resettlement agencies and make relevant suggestions on the medium-and-long-term capacity building of the agencies. |
|
Data source: a consultation paper for land acquisition and resettlement of South-to-North Water Diversion Project made by National Research Centre for Resettlement of Hohai University.
References
- Baozhu, H.; Junde, L. The Practice of Monitoring and Evaluation for Socioeconomic Development of Reservoir Resettlement. China Water Resour. 2004, 8, 46–47. [Google Scholar]
- Environmental Evaluations of a Horticulture Demonstration Farm in Lesotho (a World Bank Funded Study). Available online: https://view.officeapps.live.com/op/view.aspx?src=https%3A%2F%2Fdocuments.worldbank.org%2Fcurated%2Fen%2F439161468056376076%2FE15340HORTICUL1UARY0121007011EDITED.doc (accessed on 15 November 2021).
- International Finance Corporation. Handbook for Preparing a Resettlement Action Plan; The World Bank: Washington, DC, USA, 2002. [Google Scholar]
- Shi, G.; Yu, W.; Xun, H.; Xiao, J. Monitoring and Evaluation for Resettlement in China. J. Hohai Univ. 1997, 25, 46–51. [Google Scholar]
- Ping, Z.; Qing, S.; Yinhui, G. Supervision and Monitoring and Evaluation of Resettlement of Water Conservancy and Hydropower Projects; The Yellow River Water Conservancy Press: Zhengzhou, China, 2004; pp. 24–25. [Google Scholar]
- Shi, G.; Gu, A. On Social Stratification of Reservoir Resettlement in the Context of Affinity Urbanization: A Case Study of LRC Resettlement Village. J. Hohai Univ. (Philosophy Soc. Sci.) 2015, 17, 26–31. [Google Scholar]
- Feng, X. “Fall and Take Root”: Social Adaptation of Rural Migrants in Sanxia Area. Sociol. Stud. 2004, 5, 19–27. [Google Scholar]
- Takesada, N.; Manatunge, J.; Herath, I.L. Resettler Choices and Long-Term Consequences of Involuntary Resettlement Caused by Construction of Kotmale Dam in Sri Lanka. Lakes Reserv. Res. Manag. 2010, 13, 245–254. [Google Scholar] [CrossRef]
- Du, Y.; Shi, G. Social Adaption and Integration of Reservoir Immigrants with Different Resettlement Modes-take Shanxi Reservoir as an Example. J. Econ. Water Resour. 2007, 1, 78–80. [Google Scholar]
- Mcdowell, C. Involuntary Resettlement, Impoverishment Risks and Sustainable Livelihoods. Australas. J. Disaster Trauma Stud. 2002, 41, 217–224. [Google Scholar] [CrossRef]
- Downing, T.E. Creating Poverty: The Flawed Economic Logic of the World Bank’s Revised Involuntary Resettlement Policy. Forced Migr. Rev. 2002, 12, 13–14. [Google Scholar]
- Wilmsen, B.; Adjartey, D.; van Hulten, A. Challenging the Risks-Based Model of Involuntary Resettlement Using Evidence from the Bui Dam, Ghana. Int. J. Water Resour. Dev. 2019, 35, 682–700. [Google Scholar] [CrossRef]
- Cernea, M.M. The Risks and Reconstruction Model for Resettling Displaced Populations. World Dev. 1997, 25, 1569–1587. [Google Scholar] [CrossRef]
- Zaman, M.; Nair, R.; Shi, G. Resettlement and development: The challenging journey. In Resettlement in Asian Countries: Legislation, Administration and Struggles for Rights; Zaman, M., Nair, R., Shi, G., Eds.; Routledge: London, UK, 2021; pp. 3–12. [Google Scholar] [CrossRef]
- Chen, A.; Shi, G. A Social Integration Study of Involuntary Migration. Chin. Sociol. Anthropol. 2006, 38, 5–18. [Google Scholar]
- Cernea, M.; Guggenheim, S. Resettlement and Development: The Bankwide Review of Projects Involving Involuntary Resettlement; World Bank: Washington, DC, USA, 1996. [Google Scholar]
- Cernea, M.M.; Mathur, H.M. Can Compensation Prevent Impoverishment? Reforming Resettlement through Investments and Benefit-Sharing; Oxford University Press: Oxford, UK, 2008. [Google Scholar]
- Downing, T.; Downing, C. Routine and Dissonant Culture: A Theory about the Psycho-Socio-Cultural Disruptions of Involuntary Displacement and Ways to Mitigate Them without Inflicting Even More Damage. Dev. Dispossession 2009, 225–320. [Google Scholar]
- Wilmsen, B. Is Land-based Resettlement Still Appropriate for Rural People in China? A Longitudinal Study of Displacement at the Three Gorges Dam. Dev. Chang. 2018, 49, 170–198. [Google Scholar] [CrossRef]
- Shi, G.; Yu, F.; Wang, C. Social assessment and resettlement policies and practice in China: Contributions by Michael M Cernea to development in China. In Social Development in the World Bank; WHO: Washington, DC, USA, 2021; pp. 329–344. [Google Scholar]
- 45% of the Gross Investment in Three Gorges Will Be Used for Resettlement. Available online: http://gjkj.mwr.gov.cn/jdxw/200010/t20001013_588965.html (accessed on 1 August 2021).
- Mcdonald, B. Involuntary Resettlement as an Opportunity for Development: The Case of Urban Resettlers of the Three Gorges Project, China. J. Refug. Stud. 2008, 21, 82–102. [Google Scholar] [CrossRef] [Green Version]
- Beck, U. World Risk Society; Blackwell: Cambridge, UK, 1999. [Google Scholar]
- Giddens, A.; Pierson, C. Making Sence of Modernity: Conversation with Anthony Giddens; Hongyi, Y., Ed.; Xinhua Publishing House: Beijing, China, 2001. [Google Scholar]
- Beck, U. From Industrial Society to the Risk Society: Questions of Survival, Social Structure and Ecological Enlightenment. Theory Cult. Sociol. 1992, 9, 97–123. [Google Scholar] [CrossRef]
- Luhmann, N. Risk: A Sociological Theory; deGruyter: Berlin, Germany, 2002. [Google Scholar]
- Giddens, A. The Runaway World: How Globalization Is Reshaping Our World; Routledge: New York, NY, USA, 2000. [Google Scholar]
- Adam, B.; Bech, U.; van Loon, J. The Risk Society and Beyond: Critical Issues for Social Theory; Sage Publications: London, UK, 2000. [Google Scholar]
- Beck, U. Risk Society: Towards a New Modernity; Sage Publications: London, UK, 1992. [Google Scholar]
- Momtaz, S.; Kabir, S.M.Z. Evaluating social impact assessment. In Evaluating Environmental and Social Impact Assessment in Developing Countries, 2nd ed.; Momtaz, S., Kabir, S.M.Z., Eds.; Elsevier: Amsterdam, The Netherlands, 2018; Chapter 5; pp. 91–122. [Google Scholar]
- Vanclay, F. International Principles for Social Impact Assessment. Impact Assess. Proj. Apprais. 2003, 21, 5–12. [Google Scholar] [CrossRef]
- Burdge, R.J. Benefiting from the Practice of Social Impact Assessment. Impact Assess. Proj. Apprais. 2003, 21, 225–229. [Google Scholar] [CrossRef]
- Shi, G. Involuntary Resettlement: Conflict and Harmony. Jiangsu Soc. Sci. 2005, 5, 22–25. [Google Scholar]
- Yu, Q.; Shi, G. Stakeholder participation in rural land acquisition in China: A case study of the resettlement decision-making process. In Making a Difference? Social Assessment Policy and Praxis and Its Emergence in China; Berghahn Books: Oxford, UK, 2015; pp. 242–261. [Google Scholar]
- Van der Ploeg, L.; Vanclay, F. Challenges in Implementing the Corporate Responsibility to Respect Human Rights in the Context of Project-induced Displacement and Resettlement. Resour. Policy 2018, 55, 210–222. [Google Scholar] [CrossRef]
- Ploeg, L.; Vanclay, F. A Tool for Improving the Management of Social and Human Rights Risks at Project Sites: The Human Rights Sphere. J. Clean. Prod. 2017, 142, 4072–4084. [Google Scholar] [CrossRef]
- Cernea, M.M. Impoverishment Risks, Risk Management, and Reconstruction: A Model of Population Displacement and Resettlement; The UN Symposium on Hydropower and Sustainable Development: Beijing, China, 1997. [Google Scholar]
- World Bank. Operational Manual: OP 4.12-Involuntary Resettlement; World Bank: Washington, DC, USA, 2013.
- Asian Development Bank. Involuntary Resettlement Safeguards: A Planning and Implementation Good Practice Sourcebook (Draft Working Document); Asian Development Bank: Manila, Philippines, 2012. [Google Scholar]
- Ministry of Rural Development, Government of India. The Right to Fair Compensation and Transparency in Land Acquisition, Rehabilitation and Resettlement Act 2013; Ministry of Rural Development, Government of India: New Delhi, India, 2015.
- Guggenheim, S.; Koch-Weser, M. Social Development in the World Bank: Essays in Honor of Michael M. Cernea; Springer Nature: Cham, Switzerland, 2021. [Google Scholar]
- UNISDR Sendai Framework for Disaster Risk Reduction 2015–2030. Available online: http://www.unisdr.org/files/43291_sendaiframeworkfordrren.pdf (accessed on 15 November 2021).
- Li, P.; Zhang, J.; Yang, W. Analysis on Potential Risk Factors Affecting Population Health Resulted from Large Scale Reservoir Construction. Dis. Surveill. 2009, 24, 137–140. [Google Scholar]
- Kuran, C.H.A.; Morsut, C.; Kruke, B.I.; Krüger, M.; Segnestam, L.; Orru, K.; Nævestad, T.O.; Airola, M.; Keränen, J.; Gabel, F.; et al. Vulnerability and vulnerable groups from an intersectionality perspective. Int. J. Disaster Risk Reduct. 2020, 50, 101826. [Google Scholar] [CrossRef]
- Fuchs, S.; Birkmann, J.; Glade, T. Vulnerability Assessment in Natural Hazard and Risk Analysis: Current Approaches and Future Challenges. Nat. Hazards 2012, 64, 1969–1975. [Google Scholar] [CrossRef] [Green Version]
- Croll, E.J. Involuntary Resettlement in Rural China: The Local View. China Q. 1999, 158, 468–483. [Google Scholar] [CrossRef]
- Satiroglu, I.; Choi, N. Development-Induced Displacement and Resettlement: New Perspectives on Persisting Problems, 1st ed.; Routledge: London, UK, 2015. [Google Scholar]
- Vanclay, F. Project-induced Displacement and Resettlement: From Impoverishment Risks to an Opportunity for Development? Impact Assess. Proj. Apprais. 2017, 35, 3–21. [Google Scholar] [CrossRef] [Green Version]
- Reddy, A.A. Involuntary Resettlement as an Opportunity for Development: The Case of Urban Resettlers of the New Tehri Town. J. Land Rural Stud. 2018, 6, 145–169. [Google Scholar] [CrossRef]
- The State Council of PRC. Regulations on Compensation for Land Acquisition and Resettlement of Large and Medium-Sized Hydropower Project Construction (2nd Revised in 2017); The State Council of PRC: Beijing, China, 2017.
- Mathur, H.M. Resettlement planning: Reversing displacement impacts of development projects. In Assessing the Social Impact of Development Projects: Experience in India and Other Asian Countries; Mathur, H.M., Ed.; Springer International Publishing: Cham, Switzerland, 2016; pp. 211–231. [Google Scholar] [CrossRef]
- Zhou, J. The Predicament and the Improvement of Migrant Resettlement Monitoring and Evaluation of South-to-North Water Diversion Project. Jiangsu Soc. Sci. 2011, 6, 61–65. [Google Scholar]
- Ritzer, G.; Goodman, D.J. Classical Sociological Theory; Peking University Press: Beijing, China, 2004; pp. 439–441. [Google Scholar]
- Zheng, R.Q.; Shi, G.Q. Dynamic Coordinate Risk Management Model Design of the Western Hydropower Resettlement. J. Chongqing Univ. (Soc. Sci. Ed.) 2010, 16, 1–6. [Google Scholar]
- Cernea, M.M. Risks, Safeguards and Reconstruction: A Model for Population Displacement and Resettlement. Econ. Political Wkly. 2000, 35, 3659–3678. [Google Scholar]
- Zheng, R.; Shi, G. Study on the Risk Management of the Western Hydropower Resettlement; Social Science Academic Press (China): Beijing, China, 2011; p. 1. [Google Scholar]
- Cernea, M. Involuntary Resettlement in Development Projects: Policy Guidelines in World Bank-Financed Projects; World Bank Group: Washington, DC, USA, 1988. [Google Scholar] [CrossRef]
- Valadez, J. Monitoring and Evaluating Social Programs in Developing Countries: A Handbook for Policymakers, Managers, and Researchers; World Bank Group: Washington, DC, USA, 1995. [Google Scholar] [CrossRef]
- Baker, J. Evaluating the Impact of Development Projects on Poverty: A Handbook for Practitioners; World Bank Group: Washington, DC, USA, 2000. [Google Scholar]
- Cernea, M.M. A Sociologist’s view on sustainable development. In Making Development Sustainable: From Concepts to Action (Environmentally Sustainable Development Occasional Paper Series No. 2); Serageldin, I., Steer, A., Eds.; World Bank: Washington, DC, USA, 1994. [Google Scholar]
- Kabra, A.; Mahalwal, S. Impact of Conservation-Induced Displacement on Host Community Livelihoods: Complicating the DIDR Narratives. Land Use Policy 2014, 41, 217–224. [Google Scholar] [CrossRef]
- Cernea, M.M. Understanding and Preventing Impoverishment from Displacement: Reflections on the State of Knowledge. J. Refug. Study 1995, 8, 245–264. [Google Scholar] [CrossRef]
- Ziersch, A.; Miller, E.; Baak, M.; Mwanri, L. Integration and Social Determinants of Health and Wellbeing for People from Refugee Backgrounds Resettled in A Rural Town in South Australia: A Qualitative Study. BMC Public Health 2020, 20, 1700. [Google Scholar] [CrossRef] [PubMed]
- Elliott, S.; Yusuf, I. ‘Yes, we can; but together’: Social Capital and Refugee Resettlement. Kōtuitui New Zealand J. Soc. Sci. Online 2014, 9, 101–110. [Google Scholar] [CrossRef] [Green Version]
- Bauer, K. New Homes, New Lives—The Social and Economic Effects of Resettlement on Tibetan nomads (Yushu prefecture, Qinghai province, PRC). Nomadic Peoples 2015, 19, 209–220. [Google Scholar] [CrossRef]
- Shi, G.; Zhou, J.; Yu, Q. Resettlement in China. In Impacts of Large Dams: A Global Assessment; Tortajada, C., Altinbilek, D., Biswas, A.K., Eds.; Springer: Berlin/Heidelberg, Germany, 2012; pp. 219–241. [Google Scholar] [CrossRef]
- Owen, J.R.; Kemp, D. Can Planning Safeguard Against Mining and Resettlement Risks? J. Clean. Prod. 2016, 133, 1227–1234. [Google Scholar] [CrossRef] [Green Version]
- Institute of Huajing Industry Research. Statistical Analysis of the Scale, Structure and Internet Penetration Rate of Chinese Internet Users in 2020. Available online: https://www.huaon.com/channel/trend/688714.html (accessed on 15 November 2021).
- Chuxin, H.; Dan, W. What Does “Internet Plus” Mean? A Deeper Understanding of “Internet Plus”. News Writ. 2015, 5, 4–9. [Google Scholar]
- Ouyang, R. Changing from “Plus Internet” to ”Internet Plus”: How Technological Revoluation Brings about New Economic and Social Patterns. Renming Luntan·Xueshu Qianyan 2015, 10, 25–38. [Google Scholar]
- Xiong, Y.; Fan, L.; Huang, S. Innovation of Monitoring and Evaluating of Resettlement Post Support under Internet Background. Yangtze River 2016, 47, 115–117. [Google Scholar]
- Wang, G.; Luo, Y. On the Transformation of Social Governance under the “Internet Plus” Plan. Renming Luntan·Xueshu Qianyan 2015, 10, 41–53. [Google Scholar]
- Cernea, M.M.; Tepping, B.J. A System for Monitoring and Evaluating Agricultural Extension Projects; The World Bank: Washington, DC, USA, 1977. [Google Scholar]
- Beck, U. World Risk Society; Wu, Y., Su, S., Eds.; Nanjing University Press: Nanjing, China, 2004; p. 85. [Google Scholar]
- Beck, U.; Willms, J. Freedom and Capitalism: Conversations with Ulrich Beck; Guolin, L., Ed.; Zhejiang People’s Press: Hangzhou, China, 2001; p. 119. [Google Scholar]
- Jiangxi Provincial Development Group. Study on the Construction of Social Stability Risk Assessment Mechanism for Large-Scale Engineering Projects. Jiage Yuekan 2011, 12, 1–14. [Google Scholar]
- Fan, X.; Wang, P. Engineering Social Assessment: Origins and Development. J. Eng. Stud. 2016, 8, 673–683. [Google Scholar]
- Owen, J.M. Program Evaluation: Forms and Approaches, 3rd ed.; Allen & Unwin: Crows Nest, NSW, Australia, 2006. [Google Scholar]
- Shan, W. Reflections on Establishing and Improving a Monitoring System for Involuntary Resettlement in China. Chin. J. Popul. Sci. 2001, 8, 33–39. [Google Scholar]
- Zuo, P.; Yang, J.S.; Yang, T. Discussion on Supervision and Evaluation Content of Water Conservancy and Hydropower Engineering Resettlement. Yellow River 2011, 7, 23–31. [Google Scholar]
- Yang, T.; Yang, J.S.; Zuo, P.; Zhu, T.S. Monitoring and Evaluation on Resettlement Arrangement of Danjiangkou Reservoir Area. Yellow River 2011, 33, 18–25. [Google Scholar]
- Long, T. Monitoring and Evaluation of the Resettlement in Urban Renewal of China. J. Econ. Water Resour. 2008, 26, 60–62. [Google Scholar]
- World Bank. Involuntary Resettlement: The Large Dam Experience; AGRIS: New York, NY, USA, 2000.
- Yan, D.; Shi, G.; Hu, Z.; Wang, H. Resettlement for the Danjiangkou Dam Heightening Project in China: Planning, implementation and effects. Int. J. Water Resour. Dev. 2017, 33, 609–627. [Google Scholar] [CrossRef]
- Zhang, C.; Li, P. Application of Community Field Work Method in Reservoir Resettlement Monitoring and Evaluation. Yangtze River 2010, 41, 22–25. [Google Scholar]
- Downing, T.E. Avoiding New Poverty: Mining-Induced Displacement and Resettlement, Mining, Minerals, And Sustainable Development; International Institute for Environment and Development and World Business Council for Sustainable Development: London, UK, 2002; Volume 52. [Google Scholar]
- Wang, H.; Owen, J.R.; Shi, G. Land for Equity? A Benefit Distribution Model for Mining Induced Displacement and Resettlement. Bus. Strategy Environ. 2020, 29, 3410–3421. [Google Scholar] [CrossRef]
- Khan, M.A. Evaluation Capacity Building: An Overview of Current Status, Issues and Options. Evaluation 1998, 4, 310–328. [Google Scholar] [CrossRef]
- Central Compilation Translation Bureau of China. Selections of Marx and Engels; Renmin Press: Beijing, China, 2012; Volume 1, p. 18. [Google Scholar]
Publisher’s Note: MDPI stays neutral with regard to jurisdictional claims in published maps and institutional affiliations. |
© 2022 by the authors. Licensee MDPI, Basel, Switzerland. This article is an open access article distributed under the terms and conditions of the Creative Commons Attribution (CC BY) license (https://creativecommons.org/licenses/by/4.0/).




