Bioenergy, Electricity, Biogas Production, and Emission Reduction Using the Anaerobic Digestion of Organic Municipal Solid Waste in Campinas, One of the Largest Brazilian Cities
Abstract
1. Introduction
2. Materials and Methods
2.1. Gravimetric Composition of Campinas MSW
2.2. Substrates and Inoculum
2.3. Theoretical Biochemical Methane Potential (TBMP), Biochemical Methane Potential (BMP) Test, and Anaerobic Biodegradability
2.4. Kinetic Model: Modified Gompertz
2.5. Analytical Methods
2.6. Case Study: Electric Potential Generation and Environmental and Economic Impact
2.7. Data Processing
3. Results and Discussion
3.1. Campinas MSW Gravimetric Composition
3.2. Chemical Characterization
3.3. TBMP and BMP Results
3.4. Substrate Biodegradability
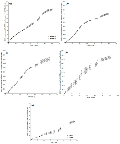
3.5. BMP Using the Modified Gompertz Model
3.6. The Energetic Potential, CO2 Emissions, and Economic Impact of the Biomethane Production from Organic Waste
4. Conclusions
Supplementary Materials
Author Contributions
Funding
Institutional Review Board Statement
Informed Consent Statement
Data Availability Statement
Acknowledgments
Conflicts of Interest
References
- Mavakala, B.K.; Le Faucheur, S.; Mulaji, C.K.; Laffite, A.; Devarajan, N.; Biey, E.M.; Giuliani, G.; Otamonga, J.P.; Kabatusuila, P.; Mpiana, P.T.; et al. Leachates Draining from Controlled Municipal Solid Waste Landfill: Detailed Geochemical Characterization and Toxicity Tests. Waste Manag. 2016, 55, 238–248. [Google Scholar] [CrossRef] [PubMed]
 - World Bank. What a Waste—A Global Review of Solid Waste Management; The World Bank: Washington, DC, USA, 2012. [Google Scholar]
 - Meena, M.D.; Yadav, R.K.; Narjary, B.; Yadav, G.; Jat, H.S.; Sheoran, P.; Meena, M.K.; Antil, R.S.; Meena, B.L.; Singh, H.V.; et al. Municipal Solid Waste (MSW): Strategies to Improve Salt Affected Soil Sustainability: A Review. Waste Manag. 2019, 84, 38–53. [Google Scholar] [CrossRef] [PubMed]
 - ABRELPE. Panorama Dos Resíduos No Brasil 2020; Associação Brasileira de Empresas de Limpeza Pública e Resíduos Especiais—ABRELPE: São Paulo, Brazil, 2020; 51p. [Google Scholar]
 - Dalmo, F.C.; Simão, N.M.; Lima, H.Q.D.; Medina Jimenez, A.C.; Nebra, S.; Martins, G.; Palacios-Bereche, R.; de Mello Sant’Ana, P.H. Energy Recovery Overview of Municipal Solid Waste in São Paulo State, Brazil. J. Clean. Prod. 2019, 212, 461–474. [Google Scholar] [CrossRef]
 - Brazil Federal Law, No. 12.305. Available online: http://www.planalto.gov.br/ccivil_03/_ato2007-2010/2010/lei/l12305.htm (accessed on 28 September 2020).
 - Grassi, M.C.B.; Pereira, G.A.G. Energy-Cane and RenovaBio: Brazilian Vectors to Boost the Development of Biofuels. Ind. Crops Prod. 2019, 129, 201–205. [Google Scholar] [CrossRef]
 - IBGE. Campinas Panorama. Available online: https://cidades.ibge.gov.br/brasil/sp/campinas/panorama (accessed on 1 July 2020).
 - INSEE. Evolution and Structure of the Population in the Municipality of Toulouse. Available online: https://www.insee.fr/fr/statistiques/2011101?geo=COM-31555#chiffre-cle-1 (accessed on 8 July 2021).
 - CETESB. Inventário Estadual de Resíduos Sólidos Urbanos; Companhia Ambiental do Estado de São Paulo: São Paulo, Brazil, 2020.
 - Lino, F.A.M.; Ismail, K.A.R. Incineration and Recycling for MSW Treatment: Case Study of Campinas, Brazil. Sustain. Cities Soc. 2017, 35, 752–757. [Google Scholar] [CrossRef]
 - Drudi, K.C.R.; Drudi, R.; Martins, G.; Antonio, G.C.; Leite, J.T.C. Statistical Model for Heating Value of Municipal Solid Waste in Brazil Based on Gravimetric Composition. Waste Manag. 2019, 87, 782–790. [Google Scholar] [CrossRef]
 - Miezah, K.; Obiri-Danso, K.; Kádár, Z.; Fei-Baffoe, B.; Mensah, M.Y. Municipal Solid Waste Characterization and Quantification as a Measure towards Effective Waste Management in Ghana. Waste Manag. 2015, 46, 15–27. [Google Scholar] [CrossRef]
 - MMA. Política Nacional de Resíduos Sólidos. Available online: https://www.mma.gov.br/cidades-sustentaveis/residuos-solidos/politica-nacional-de-residuos-solidos.html (accessed on 2 April 2019).
 - Alexander, S.; Harris, P.; McCabe, B.K. Biogas in the Suburbs: An Untapped Source of Clean Energy? J. Clean. Prod. 2019, 215, 1025–1035. [Google Scholar] [CrossRef]
 - Bakkaloglu, S.; Lowry, D.; Fisher, R.E.; France, J.L.; Brunner, D.; Chen, H.; Nisbet, E.G. Quantification of Methane Emissions from UK Biogas Plants. Waste Manag. 2021, 124, 82–93. [Google Scholar] [CrossRef]
 - Capa, A.; García, R.; Chen, D.; Rubiera, F.; Pevida, C.; Gil, M.V. On the Effect of Biogas Composition on the H2 Production by Sorption Enhanced Steam Reforming (SESR). Renew. Energy 2020, 160, 575–583. [Google Scholar] [CrossRef]
 - Mønster, J.; Kjeldsen, P.; Scheutz, C. Methodologies for Measuring Fugitive Methane Emissions from Landfills—A Review. Waste Manag. 2019, 87, 835–859. [Google Scholar] [CrossRef] [PubMed]
 - Amodeo, C.; Hattou, S.; Buffiere, P.; Benbelkacem, H. Temperature Phased Anaerobic Digestion (TPAD) of Organic Fraction of Municipal Solid Waste (OFMSW) and Digested Sludge (DS): Effect of Different Hydrolysis Conditions. Waste Manag. 2021, 126, 21–29. [Google Scholar] [CrossRef] [PubMed]
 - Moraes, B.S.; Zaiat, M.; Bonomi, A. Anaerobic Digestion of Vinasse from Sugarcane Ethanol Production in Brazil: Challenges and Perspectives. Renew. Sustain. Energy Rev. 2015, 44, 888–903. [Google Scholar] [CrossRef]
 - Steinmetz, R.L.R.; Mezzari, M.P.; da Silva, M.L.B.; Kunz, A.; do Amaral, A.C.; Tápparo, D.C.; Soares, H.M. Enrichment and Acclimation of an Anaerobic Mesophilic Microorganism’s Inoculum for Standardization of BMP Assays. Bioresour. Technol. 2016, 219, 21–28. [Google Scholar] [CrossRef]
 - Strömberg, S.; Nistor, M.; Liu, J. Early Prediction of Biochemical Methane Potential through Statistical and Kinetic Modelling of Initial Gas Production. Bioresour. Technol. 2015, 176, 233–241. [Google Scholar] [CrossRef]
 - Wang, B. Factors That Influence the Biochemical Methane Potential (BMP) Test: Steps towards the Standardisation of BMP Test; Lund University: Lund, Sweden, 2016. [Google Scholar]
 - Da Silva, N.F.; Schoeler, G.P.; Lourenço, V.A.; De Souza, P.L.; Caballero, C.B.; Salamoni, R.H.; Romani, R.F. First Order Models to Estimate Methane Generation in Landfill: A Case Study in South Brazil. J. Environ. Chem. Eng. 2020, 8, 104053. [Google Scholar] [CrossRef]
 - Tchobanoglous, G.; Theisen, H.; Vigil, S.A. Integrated Solid Waste Management: Engineering Principles and Management Issues; McGraw-Hill: New York, NY, USA, 1993; ISBN 0070632375. [Google Scholar]
 - Awe, O.W.; Zhao, Y.; Nzihou, A.; Minh, D.P.; Lyczko, N. A Review of Biogas Utilisation, Purification and Upgrading Technologies. Waste Biomass Valorization 2017, 8, 267–283. [Google Scholar] [CrossRef]
 - Gutiérrez, E.C.; Wall, D.M.; O’Shea, R.; Novelo, R.M.; Gómez, M.M.; Murphy, J.D. An Economic and Carbon Analysis of Biomethane Production from Food Waste to Be Used as a Transport Fuel in Mexico. J. Clean. Prod. 2018, 196, 852–862. [Google Scholar] [CrossRef]
 - Hobbs, S.R.; Landis, A.E.; Rittmann, B.E.; Young, M.N.; Parameswaran, P. Enhancing Anaerobic Digestion of Food Waste through Biochemical Methane Potential Assays at Different Substrate: Inoculum Ratios. Waste Manag. 2018, 71, 612–617. [Google Scholar] [CrossRef]
 - dos Santos, I.F.S.; Vieira, N.D.B.; de Nóbrega, L.G.B.; Barros, R.M.; Tiago Filho, G.L. Assessment of Potential Biogas Production from Multiple Organic Wastes in Brazil: Impact on Energy Generation, Use, and Emissions Abatement. Resour. Conserv. Recycl. 2018, 131, 54–63. [Google Scholar] [CrossRef]
 - D’Adamo, I.; Ribichini, M.; Tsagarakis, K.P. Biomethane as an Energy Resource for Achieving Sustainable Production: Economic Assessments and Policy Implications. Sustain. Prod. Consum. 2023, 35, 13–27. [Google Scholar] [CrossRef]
 - DLU. Plano Municipal de Gestão Integrada de Resíduos Sólidos; Departamento de Limpeza Urbana: Campinas, Brazil, 2012; Volume 1. [Google Scholar]
 - CETESB. Inventário Estadual de Resíduos Sólidos Urbanos; Companhia Ambiental do Estado de São Paulo: São Paulo, Brazil, 2017.
 - IBGE. Pesquisa de Orçamentos Familiares: 2008-2009. Análise Do Consumo Alimentar Pessoal No Brasil; IBGE: Rio de Janeiro, Brazil, 2011; 150p.
 - Buswell, A.M.; Mueller, H.F. Mechanism of Methane Fermentation. Ind. Eng. Chem. 1952, 44, 550–552. [Google Scholar] [CrossRef]
 - Feng, L.; Li, Y.; Chen, C.; Liu, X.; Xiao, X.; Ma, X.; Zhang, R.; He, Y.; Liu, G. Biochemical Methane Potential (BMP) of Vinegar Residue and the Influence of Feed to Inoculum Ratios on Biogas Production. BioResources 2013, 8, 2487–2498. [Google Scholar] [CrossRef]
 - Hidalgo, D.; Martín-Marroquín, J.M. Biochemical Methane Potential of Livestock and Agri-Food Waste Streams in the Castilla y León Region (Spain). Food Res. Int. 2015, 73, 226–233. [Google Scholar] [CrossRef]
 - Rodriguez-Chiang, L.M.; Dahl, O.P. Effect of Inoculum to Substrate Ratio on the Methane Potential of Microcrystalline Cellulose Production Wastewater. BioResources 2015, 10, 898–911. [Google Scholar] [CrossRef]
 - Yoon, Y.M.; Kim, S.H.; Shin, K.S.; Kim, C.H. Effects of Substrate to Inoculum Ratio on the Biochemical Methane Potential of Piggery Slaughterhouse Wastes. Asian-Australas. J. Anim. Sci. 2014, 27, 600–607. [Google Scholar] [CrossRef]
 - VDI. Fermentation of Organic Materials: Characterisation of the Substrate, Sampling, Collection of Material Data, Fermentation Tests; Verlag des Vereins Dtsch. Ingenieure: Düsseldorf, Germany, 2006; 92p. [Google Scholar]
 - Pham, C.H.; Triolo, J.M.; Cu, T.T.T.; Pedersen, L.; Sommer, S.G. Validation and Recommendation of Methods to Measure Biogas Production Potential of Animal Manure. Asian-Australas. J. Anim. Sci. 2013, 26, 864–873. [Google Scholar] [CrossRef]
 - Li, J.; Zicari, S.M.; Cui, Z.; Zhang, R. Processing Anaerobic Sludge for Extended Storage as Anaerobic Digester Inoculum. Bioresour. Technol. 2014, 166, 201–210. [Google Scholar] [CrossRef]
 - APHA; AWWA; WEF. Standard Methods for the Examination of Water and Wastewater; APHA; AWWA; WEF: Washington, DC, USA, 2017. [Google Scholar]
 - Ornelas-Ferreira, B.; Lobato, L.C.S.; Colturato, L.F.D.; Torres, E.O.; Pombo, L.M.; Pujatti, F.J.P.; Araújo, J.C.; Chernicharo, C.A.L. Strategies for Energy Recovery and Gains Associated with the Implementation of a Solid State Batch Methanization System for Treating Organic Waste from the City of Rio de Janeiro - Brazil. Renew. Energy 2020, 146, 1976–1983. [Google Scholar] [CrossRef]
 - Alibardi, L.; Cossu, R. Composition Variability of the Organic Fraction of Municipal Solid Waste and Effects on Hydrogen and Methane Production Potentials. Waste Manag. 2015, 36, 147–155. [Google Scholar] [CrossRef] [PubMed]
 - Campuzano, R.; González-Martínez, S. Characteristics of the Organic Fraction of Municipal Solid Waste and Methane Production: A Review. Waste Manag. 2016, 54, 3–12. [Google Scholar] [CrossRef] [PubMed]
 - Sohoo, I.; Ritzkowski, M.; Heerenklage, J.; Kuchta, K. Biochemical Methane Potential Assessment of Municipal Solid Waste Generated in Asian Cities: A Case Study of Karachi, Pakistan. Renew. Sustain. Energy Rev. 2021, 135, 110175. [Google Scholar] [CrossRef]
 - Raposo, F.; Fernández-Cegrí, V.; de la Rubia, M.A.; Borja, R.; Béline, F.; Cavinato, C.; Demirer, G.; Fernández, B.; Fernández-Polanco, M.; Frigon, J.C.; et al. Biochemical Methane Potential (BMP) of Solid Organic Substrates: Evaluation of Anaerobic Biodegradability Using Data from an International Interlaboratory Study. J. Chem. Technol. Biotechnol. 2011, 86, 1088–1098. [Google Scholar] [CrossRef]
 - Nielfa, A.; Cano, R.; Vinot, M.; Fernández, E.; Fdz-Polanco, M. Anaerobic Digestion Modeling of the Main Components of Organic Fraction of Municipal Solid Waste. Process Saf. Environ. Prot. 2015, 94, 180–187. [Google Scholar] [CrossRef]
 - Komilis, D.; Evangelou, A.; Giannakis, G.; Lymperis, C. Revisiting the Elemental Composition and the Calorific Value of the Organic Fraction of Municipal Solid Wastes. Waste Manag. 2012, 32, 372–381. [Google Scholar] [CrossRef] [PubMed]
 - Themelis, N.J.; Ulloa, P.A. Methane Generation in Landfills. Renew. Energy 2007, 32, 1243–1257. [Google Scholar] [CrossRef]
 - Browne, J.D.; Allen, E.; Murphy, J.D. Assessing the Variability in Biomethane Production from the Organic Fraction of Municipal Solid Waste in Batch and Continuous Operation. Appl. Energy 2014, 128, 307–314. [Google Scholar] [CrossRef]
 - Achinas, S.; Euverink, G.J.W. Theoretical Analysis of Biogas Potential Prediction from Agricultural Waste. Resour. Technol. 2016, 2, 143–147. [Google Scholar] [CrossRef]
 - Li, Y.; Zhang, R.; Chen, C.; Liu, G.; He, Y.; Liu, X. Biogas Production from Co-Digestion of Corn Stover and Chicken Manure under Anaerobic Wet, Hemi-Solid, and Solid State Conditions. Bioresour. Technol. 2013, 149, 406–412. [Google Scholar] [CrossRef]
 - Nielfa, A.; Cano, R.; Fdz-Polanco, M. Theoretical Methane Production Generated by the Co-Digestion of Organic Fraction Municipal Solid Waste and Biological Sludge. Biotechnol. Rep. 2015, 5, 14–21. [Google Scholar] [CrossRef] [PubMed]
 - Walter, A.; Silberberger, S.; Juárez, M.F.D.; Insam, H.; Franke-Whittle, I.H. Biomethane Potential of Industrial Paper Wastes and Investigation of the Methanogenic Communities Involved. Biotechnol. Biofuels 2016, 9, 1–12. [Google Scholar] [CrossRef] [PubMed]
 - McEniry, J.; O’Kiely, P. Anaerobic Methane Production from Five Common Grassland Species at Sequential Stages of Maturity. Bioresour. Technol. 2013, 127, 143–150. [Google Scholar] [CrossRef] [PubMed]
 - Rincón-Catalán, N.I.; Cruz-Salomón, A.; Sebastian, P.J.; Pérez-Fabiel, S.; Hernández-Cruz, M.D.C.; Sánchez-Albores, R.M.; Hernández-Méndez, J.M.E.; Domínguez-Espinosa, M.E.; Esquinca-Avilés, H.A.; Ríos-Valdovinos, E.I.; et al. Banana Waste-to-Energy Valorization by Microbial Fuel Cell Coupled with Anaerobic Digestion. Processes 2022, 10, 1552. [Google Scholar] [CrossRef]
 - Zhang, Y.; Banks, C.J.; Heaven, S. Anaerobic Digestion of Two Biodegradable Municipal Waste Streams. J. Environ. Manag. 2012, 104, 166–174. [Google Scholar] [CrossRef]
 - Karki, R.; Chuenchart, W.; Surendra, K.C.; Shrestha, S.; Raskin, L.; Sung, S.; Hashimoto, A.; Kumar, S. Anaerobic Co-Digestion: Current Status and Perspectives. Bioresour. Technol. 2021, 330, 125001. [Google Scholar] [CrossRef]
 - Carchesio, M.; Di Addario, M.; Tatàno, F.; de Rosa, S.; Gambioli, A. Evaluation of the Biochemical Methane Potential of Residual Organic Fraction and Mechanically-Biologically Treated Organic Outputs Intended for Landfilling. Waste Manag. 2020, 113, 20–31. [Google Scholar] [CrossRef]
 - Pangallo, D.; Pedullà, A.; Zema, D.A.; Calabrò, P.S. Influence of the Preliminary Storage on Methane Yield of Anaerobic Digestion of the Organic Fraction of Municipal Solid Waste. Processes 2021, 9, 2017. [Google Scholar] [CrossRef]
 - Xu, N.; Liu, S.; Xin, F.; Zhou, J.; Jia, H.; Xu, J.; Jiang, M.; Dong, W. Biomethane Production from Lignocellulose: Biomass Recalcitrance and Its Impacts on Anaerobic Digestion. Front. Bioeng. Biotechnol. 2019, 7, 1–12. [Google Scholar] [CrossRef]
 - Angelidaki, I.; Karakashev, D.; Batstone, D.J.; Plugge, C.M.; Stams, A.J.M. Biomethanation and Its Potential. Methods Enzymol. 2011, 494, 327–351. [Google Scholar] [CrossRef]
 - Pantini, S.; Verginelli, I.; Lombardi, F.; Scheutz, C.; Kjeldsen, P. Assessment of Biogas Production from MBT Waste under Different Operating Conditions. Waste Manag. 2015, 43, 37–49. [Google Scholar] [CrossRef] [PubMed]
 - SIMA. Anuário de Energéticos Do Estado de São Paulo 2019; Secretaria de Infraestrutura e Meio Ambiente: São Paulo, Brazil, 2019; Volume 53.
 - IBGE. Características Da População e Dos Domicílios. Available online: https://cidades.ibge.gov.br/brasil/sp/campinas/pesquisa/23/24304 (accessed on 5 August 2020).
 - ANEEL Ranking Das Tarifas. Available online: http://www.aneel.gov.br/ranking-das-tarifas (accessed on 15 August 2020).
 - ABLP. Limpeza Pública-Coleta e Transporte; Associação Brasileira de Resíduos Sólidos e Limpeza Pública: São Paulo, Brazil, 2015. [Google Scholar]
 - MMA. Primeiro Inventário Nacional de Emissões Atmosféricas Por Veículos Automotores Rodoviários; Ministério do Meio Ambiente Secretaria de Mudanças Climáticas e Qualidade Ambiental Departamento de Mudanças Climáticas Gerência de Qualidade do Ar: Brasília, Brazil, 2011.
 - ANP. Resumo Por Município-Posto. Available online: http://preco.anp.gov.br/include/Resumo_Por_Municipio_Posto.asp (accessed on 20 August 2020).
 



| Substrate | pH | Moisture (%) | TS (g kg−1) | VS (g kg−1) | VS/TS (%) | 
|---|---|---|---|---|---|
| MC | 6.2 | 5.4 ± 0.1 | 945.6 ± 0.9 | 945.2 ± 1.1 | 100 | 
| PFW | 7.1 | 4.8 ± 0.1 | 952.3 ± 1.4 | 846.5 ± 2.2 | 88.9 | 
| GFW | 7.3 | 70.6 ± 0.9 | 293.7 ± 9.4 | 266.2 ± 2.1 | 90.6 | 
| FFW | 6.0 | 67.5 ± 0.2 | 325.2 ± 2.0 | 312.5 ± 1.8 | 96.1 | 
| OFMSW | 7.2 | 56.3 ± 5.3 | 434.8 ± 50.6 | 377.4 ± 8.8 | 86.8 | 
| Inoculum | 7.9 | 92.6 ± 0.5 | 74.2 ± 4.8 | 51.4 ± 3.6 | 69.3 | 
| Substrate | Molecule | Biogas (m3 kg−1 of MSW) | CH4 (m3 kg−1 of MSW) | CH4 Composition (%) | TBMP (mLCH4 gVS−1) | 
|---|---|---|---|---|---|
| PFW | C169,2H280O128,3N | 0.8 | 0.4 | 51.5 | 446 | 
| GFW | C16,4H24,7O9,8N | 0.4 | 0.2 | 51.6 | 484 | 
| FFW | C21,5H34,5O12,7N | 0.3 | 0.1 | 53.6 | 507 | 
| OFMSW | C30,4H48,7O20,2N | 0.3 | 0.2 | 52.2 | 474 | 
| Substrate | B0 (NmLCH4 gVS−1) | µm (NmLCH4 gVS−1day−1) | λ (day) | R2 | 
|---|---|---|---|---|
| PFW | 166. 9 ± 3.1 | 4.4 ± 0.2 | 4.4 ± 0.6 | 0.9975 | 
| GFW | 140.0 ± 3.0 | 4.1 ± 0.2 | 2.9 ± 0.9 | 0.9947 | 
| FFW Phase 1 (0–32 days) | 99.6 ± 11.2 | 3.1 ± 0.3 | −1.34 ± 1.3 | 0.9855 | 
| FFW Phase 2 (33–60 days) | 85.1 ± 3.3 | 4.3 ± 0.3 | 33.7 ± 0.7 | 0.9965 | 
| OFMSW | 181.1 ± 4.3 | 4.2 ± 0.2 | 1.9 ± 0.7 | 0.9969 | 
| Inoculum Phase 1 (0–34 days) | 44.5 ± 2.6 | 1.4 ± 0.1 | 1.1 ± 0.6 | 0.9962 | 
| Inoculum Phase 2 (35–66 days) | 50.5 ± 2.1 | 3.8 ± 0.8 | 40.1 ± 1.0 | 0.9946 | 
| MSW Fraction | ||||
|---|---|---|---|---|
| Description | FFW | PFW | GFW | OFMSW | 
| BMP (106 N m3 CH4·year−1) | 18.1 | 23.3 | 7.5 | 49.9 | 
| Electric Power (MW·year−1) | 6 | 8 | 3 | 17 | 
| Energy Potential (GWh·year−1) | 43.3 | 55.5 | 17.8 | 118.9 | 
| Potential households supplied by energy demand per biomass per year | 13,716 | 17,591 | 5631 | 37,686 | 
| Potential Energy total price (USD 106 year−1) * | 5.1 | 6.5 | 2.1 | 14 | 
| MSW Fraction | ||||
|---|---|---|---|---|
| Description | FFW | PFW | GFW | OFMSW | 
| Equivalence of BMP to diesel production (103 m3diesel year −1) | 18.1 | 23.2 | 7.4 | 49.9 | 
| Biomethane heavy-duty vehicle (106 km year −1) | 40.7 | 52.2 | 16.7 | 111.9 | 
| CO2 avoided emission per year using CH4 instead of diesel (kt CO2 year −1) | 49.4 | 63.4 | 20.3 | 133.1 | 
| Economic impact of replacing diesel with CH4 (USD 106 year−1) * | 9.2 | 11.8 | 3.8 | 25.2 | 
Publisher’s Note: MDPI stays neutral with regard to jurisdictional claims in published maps and institutional affiliations.  | 
© 2022 by the authors. Licensee MDPI, Basel, Switzerland. This article is an open access article distributed under the terms and conditions of the Creative Commons Attribution (CC BY) license (https://creativecommons.org/licenses/by/4.0/).
Share and Cite
Pacheco, L.A.; Tamayo-Peña, J.; Moraes, B.d.S.; Franco, T.T. Bioenergy, Electricity, Biogas Production, and Emission Reduction Using the Anaerobic Digestion of Organic Municipal Solid Waste in Campinas, One of the Largest Brazilian Cities. Processes 2022, 10, 2662. https://doi.org/10.3390/pr10122662
Pacheco LA, Tamayo-Peña J, Moraes BdS, Franco TT. Bioenergy, Electricity, Biogas Production, and Emission Reduction Using the Anaerobic Digestion of Organic Municipal Solid Waste in Campinas, One of the Largest Brazilian Cities. Processes. 2022; 10(12):2662. https://doi.org/10.3390/pr10122662
Chicago/Turabian StylePacheco, Lívia Alencar, Jenniffer Tamayo-Peña, Bruna de Souza Moraes, and Telma Teixeira Franco. 2022. "Bioenergy, Electricity, Biogas Production, and Emission Reduction Using the Anaerobic Digestion of Organic Municipal Solid Waste in Campinas, One of the Largest Brazilian Cities" Processes 10, no. 12: 2662. https://doi.org/10.3390/pr10122662
APA StylePacheco, L. A., Tamayo-Peña, J., Moraes, B. d. S., & Franco, T. T. (2022). Bioenergy, Electricity, Biogas Production, and Emission Reduction Using the Anaerobic Digestion of Organic Municipal Solid Waste in Campinas, One of the Largest Brazilian Cities. Processes, 10(12), 2662. https://doi.org/10.3390/pr10122662
        
