Numerical Analysis of Heat Transfer Enhancement Due to Nanoparticles under the Magnetic Field in a Solar-Driven Hydrothermal Pretreatment System
Abstract
1. Introduction
2. Physical Model and Numerical Method
2.1. Physical Model
- (1)
- The flows of nanofluids were quasi-steady state turbulent;
- (2)
- The internal heat exchange only exists between the fluid and the wall, and there is no radiation heat exchange phenomenon;
- (3)
- The influence of internal flow field and external interference factors were ignored, such as the influence of ambient temperature and atmospheric pressure.
2.2. Numerical Method
3. Numerical Results and Discussions
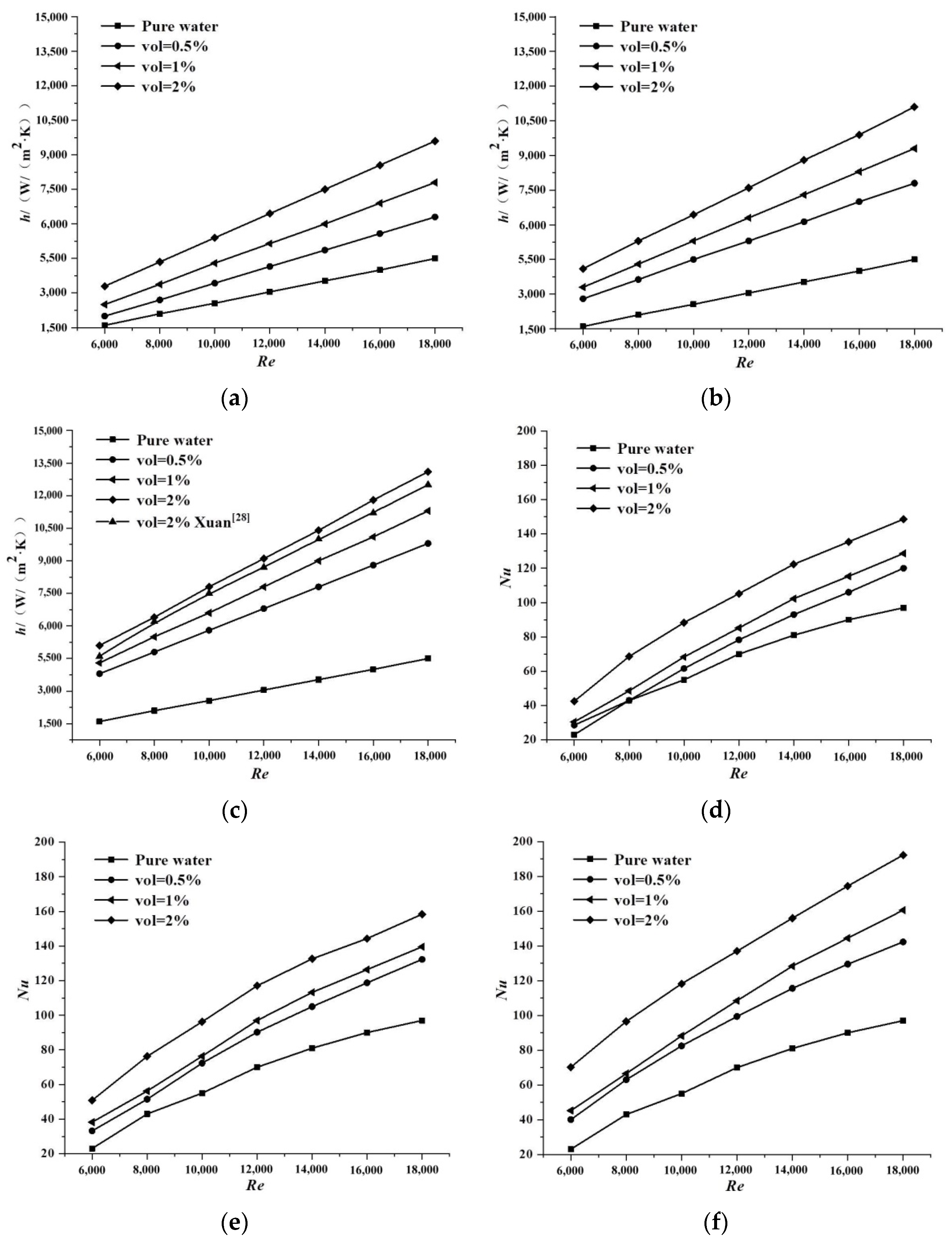
3.1. Validations
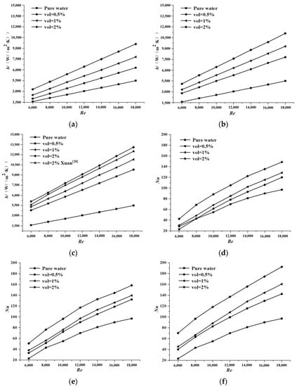
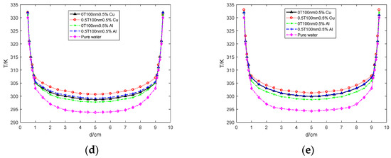
3.2. Results and Discussions without Magnetic Effect
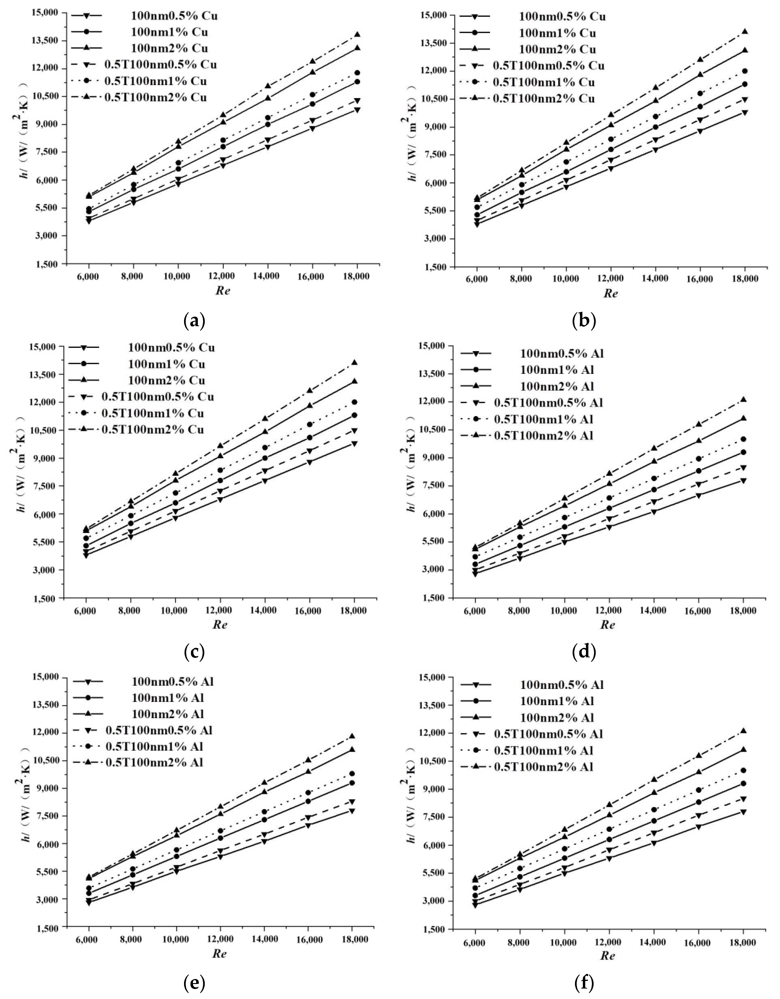
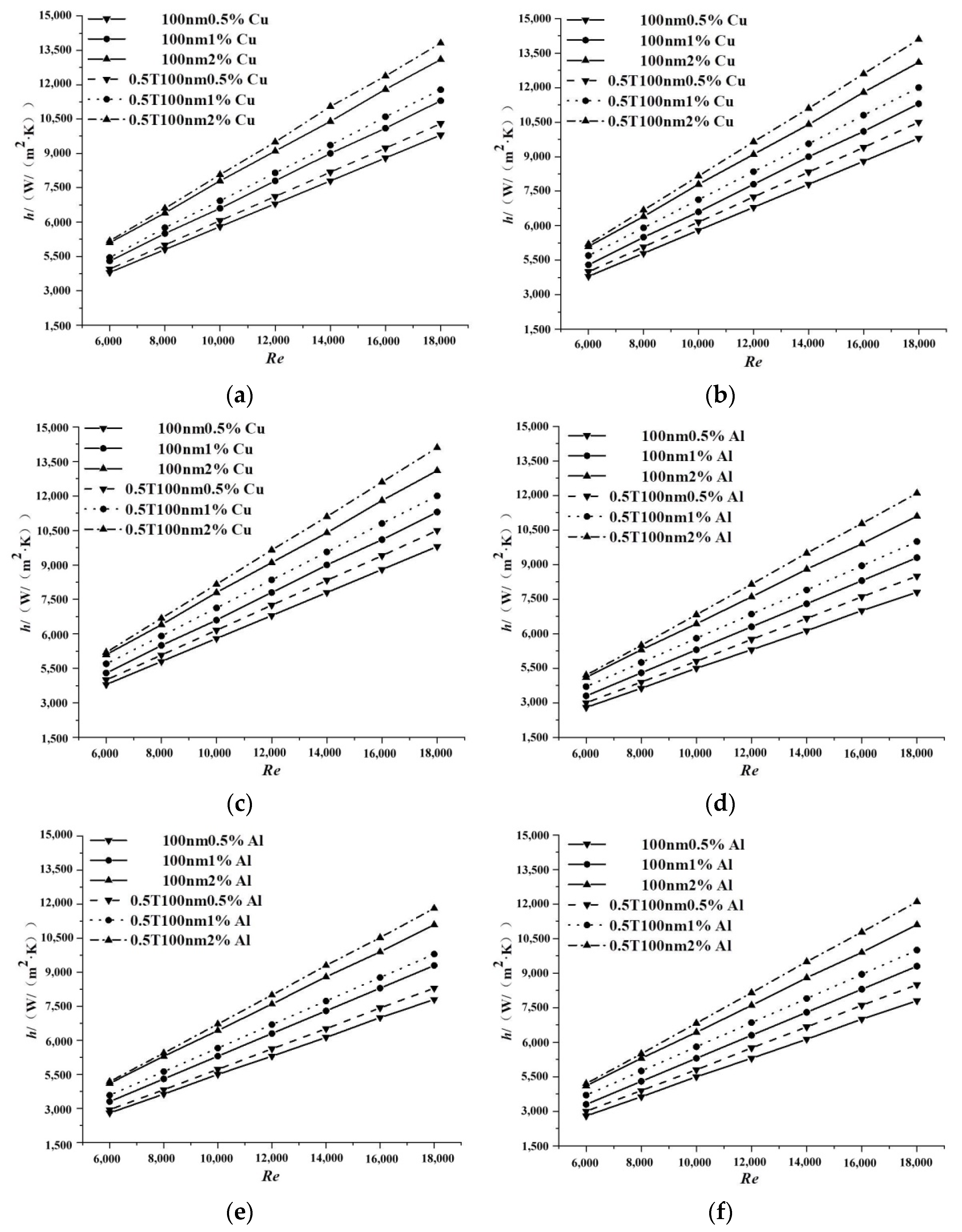
3.3. Results and Discussions for Different Directions of Magnetic Field
3.4. Results and Discussions for Different Directions of Magnetic Field
4. Conclusions and Outlook
Author Contributions
Funding
Conflicts of Interest
References
- Fu, Q.; Xiao, C.; Huang, Y.; Liao, Q.; Xia, A.; Chen, H.; Zhu, X. Numerical study of flow and heat transfer characteristics of microalgae slurry in a solar-driven hydrothermal pretreatment system. Appl. Therm. Eng. 2020, 164, 114476. [Google Scholar] [CrossRef]
- Blonoga, Y.; Stybel, V.; Maksysko, O.; Drachuk, U. A New Universal Numerical Equation and a New Method for Calculating Heat-Exchange Equipment Using Nanofluids. Int. J. Heat Technol. 2020, 38, 151–164. [Google Scholar] [CrossRef]
- Aminian, A.; Zarenezhad, B. Robust Neuromorphic Model for Simultaneous Prediction of Convection Heat Transfer Coefficient and Friction Factor of Nanofluid Flow in Heat Exchanging Equipment. J. Numer. Heat Transf. Appl. 2018, 73, 501–516. [Google Scholar] [CrossRef]
- Herrera, B.; Gallego, A.; Cacua, K. Experimental Evaluation of a Thermosyphon-based Heat Exchanger Working with a Graphene Oxide (GO) Nanofluid in a Cogeneration System. Therm. Sci. Eng. Prog. 2021, 24, 100949. [Google Scholar] [CrossRef]
- Yan, R.S.; Simpson, J.R.; Bertolazzi, S.; Brivio, J.; Watson, M.; Wu, X.F.; Kis, A.; Luo, T.F.; Walker, A.R.H.; Xing, H.L.G. Thermal Conductivity of Monolayer Molybdenum Disulfide Obtained from Temperature-Dependent Raman Spectroscopy. ACS Nano 2014, 8, 986–993. [Google Scholar] [CrossRef]
- Jin, C.; Wu, Q.B.; Yang, G.Q.; Zhang, H.Y.; Zhong, Y.F. Investigation on Hybrid Nanofluids Based on Carbon Nanotubes Filled with Metal Nanoparticles: Stability, Thermal Conductivity, and Viscosity. Powder Technol. 2021, 389, 1–10. [Google Scholar] [CrossRef]
- Sharma, V.; Okram, G.S.; Verma, D.; Lalla, N.P.; Kuo, Y.K. Ultralow Thermal Conductivity and Large Figure of Merit in Low-Cost and Nontoxic Core-Shell Cu@Cu2O Nanocomposites. ACS Appl. Mater. Interfaces 2020, 12, 54742–54751. [Google Scholar] [CrossRef]
- Nandeppanavar, M.M.; Kemparaju, M.C.; Madhusudhan, R.; Vaishali, S. MHD Slip Flow and Convective Heat Transfer Due to a Moving Plate with Effects of Variable Viscosity and Thermal Conductivity. Multidiscip. Model. Mater. Struct. 2020, 16, 991–1018. [Google Scholar] [CrossRef]
- Hossein, A.M.; Amin, M.; Mohammad, A.N.; Roghayeh, G. A Review of Thermal Conductivity of Various Nanofluids. J. Mol. Liq. 2018, 265, 181–188. [Google Scholar]
- Krishna, V.M.; Kumar, M.S. Numerical Analysis of Forced Convective Heat Transfer of Nanofluids in Microchannel for Cooling Electronic Equipment. J. Mater. Today Proc. 2019, 17, 295–302. [Google Scholar] [CrossRef]
- Zhang, T.; Li, G.X.; Chen, J.; Yu, Y.S.; Liu, X.H. Effect of Wall Heat Transfer Characteristic on the Micro Solid Thruster Based on the AP/HTPB Aerospace Propellant. Vacuum. 2016, 134, 9–19. [Google Scholar] [CrossRef]
- Sinnott, R.K. Heat-Transfer Equipment. In Coulson and Richardson’s Chemical Engineering; Elsevier: Amsterdam, The Netherlands, 1993; pp. 565–702. [Google Scholar]
- Bandaru, S.V.R.; Villanueva, W.; Konovalenko, A.; Komlev, A.; Thakre, S.; Skld, P.; Bechta, S. Upward-facing Multi-nozzle Spray Cooling Experiments for External Cooling of Reactor Pressure Vessels-ScienceDirect. Int. J. Heat Mass Transf. 2020, 163, 120516. [Google Scholar] [CrossRef]
- Amarante, A.; Lanoiselle, J.L. Heat Transfer Coefficients Measurement in Industrial Freezing Equipment by Using Heat Flux Sensors. J. Food Eng. 2005, 66, 377–386. [Google Scholar] [CrossRef]
- Deng, Y.; Jiang, Y.; Liu, J. Liquid Metal Technology in Solar Power Generation-Basics and Applications. Sol. Energy Mater. Sol. Cells 2021, 222, 110925. [Google Scholar] [CrossRef]
- Li, J.; Zhou, J.; Chen, B. Review of Wind Power Scenario Generation Methods for Optimal Operation of Renewable Energy Systems. Appl. Energy 2020, 280, 115992. [Google Scholar] [CrossRef]
- Kowalczyk, T.; Badur, J.; Bryk, M. Energy and Exergy Analysis of Hydrogen Production Combined with Electric Energy Generation in a Nuclear Cogeneration Cycle. Energy Convers. Manag. 2019, 198, 111805. [Google Scholar] [CrossRef]
- Ghorbani, B.; Javadi, Z.; Zendehboudi, S.; Amidpour, M. Energy, Exergy, and Economic Analyses of a New Integrated System for Generation of Power and Liquid Fuels Using Liquefied Natural Gas Regasification and Solar Collectors. Energy Convers. Manag. 2020, 219, 112915. [Google Scholar] [CrossRef]
- Choi, S.U.S. Enhancing Thermal Conductivity of Fluids with Nanoparticles. J. ASME FED 1995, 231, 99–106. [Google Scholar]
- Wang, B.X.; Zhou, L.P.; Peng, X.F. A Fractal Model for Predicting the Effecttive Thermal Conductivity of Liquid with Suspension of Nanoparticles. Int. J. Heat Mass Transf. 2003, 46, 2665–2672. [Google Scholar] [CrossRef]
- Sun, B.; Yan, D.F.; Yang, D. Flow and Heat Transfer Characteristics of Cu-water Nanofluids in Twisted-Tape Inserts in Tubes. J. Northeast. Dianli Univ. 2016, 36, 74–81. [Google Scholar]
- İlhan, B.; Kurt, M.; Ertürk, H. Experimental Investigation of Heat Transfer Enhancement and Viscosity Change of HBN Nanofluids. Exp. Therm. Fluid Sci. 2016, 77, 272–283. [Google Scholar] [CrossRef]
- Karthikeyan, N.R.; Philip, J.; Raj, B. Effect of Clustering on the Thermal Conductivity of Nanofluids. J. Mater. Chem. Phys. 2008, 109, 50–55. [Google Scholar] [CrossRef]
- Liu, C.H.; Qiao, Y.; Du, P.X.; Zhang, J.H.; Zhao, J.T.; Liu, C.Z.; Huo, Y.T.; Qi, C.; Rao, Z.H.; Yan, Y.Y. Recent advances of nanofluids in micro/nano scale energy transportation. Renew. Sustain. Energy Rev. 2021, 149, 111346. [Google Scholar] [CrossRef]
- Zhang, T.J.; Liu, C.C.; Gu, Y.L.; Jérôme, F. Glycerol in Energy Transportation: A State-of-the-art Review. Green Chem. 2021, 23, 7865–7889. [Google Scholar] [CrossRef]
- Liu, C.H.; Yan, Y.; Sun, W.J.; Shi, X.C.; Shi, N.Y.; Huo, Y.X.; Zhao, J.T.; Said, Z.; Sharifpur, M. Preparation and thermophysical study on a super stable copper oxide/deep eutectic solvent nanofluid. J. Mol. Liq. 2022, 356, 119020. [Google Scholar] [CrossRef]
- Liu, C.H.; Sun, W.J.; Huo, Y.X.; Zhao, J.T.; Said, Z. Thermophysical study of glycerol/choline chloride deep eutectic solvent based nanofluids. J. Mol. Liq. 2022, 363, 119862. [Google Scholar] [CrossRef]
- Bahiraei, M.; Hangi, M. Investigating the Efficacy of Magnetic Nanofluid as a Coolant in Double-Pipe Heat Exchanger in the Presence of Magnetic Field. J. Energy Convers. Manag. 2013, 76, 1125–1133. [Google Scholar] [CrossRef]
- Naphon, P.; Wiriyasart, S. Experimental Study on Laminar Pulsating Flow and Heat Transfer of Nanofluids in Micro-Fins Tube with Magnetic Fields. Int. J. Heat Mass Transf. 2018, 118, 297–303. [Google Scholar] [CrossRef]
- Hajmohammadi, M.R.; Haji, M. Effects of the Magnetic Field on the Cylindrical Couette Flow and Heat Transfer of a Nanofluid. J. Phys. A Stat. Mech. Its Appl. 2019, 523, 234–245. [Google Scholar] [CrossRef]
- Selimefendigila, F.; Öztop, H.F. Impacts of using an elastic fin on the phase change process under magnetic field during hybrid nanoliquid convection through a PCM-packed bed system. Int. J. Mech. Sci. 2022, 216, 106958. [Google Scholar] [CrossRef]
- Wang, G.N.; Zhang, Z.; Wang, R.J.; Zhu, Z.F. A Review on Heat Transfer of Nanofluids by Applied Electric Field or Magnetic Field. Nanomaterials 2020, 10, 2386. [Google Scholar] [CrossRef] [PubMed]
- Gnielinski, V.V. Neue Gleichungen fürden Wärme-und den Stoffübergang in turbulent durchströmten Rohren und Kanälen. J. Forsch. Im Ing. A 1975, 41, 8–16. [Google Scholar] [CrossRef]
- Xuan, Y.M.; Li, Q. Investigation on Convective Heat Transfer and Flow Features of Nanofluids. J. Heat Transf. 2003, 125, 151–155. [Google Scholar] [CrossRef]
- Bennia, A.; Bouaziz, M.N. CFD Modeling of Turbulent Forced Convective Heat Transferand Friction Factor in a Tube for Fe3O4 Magnetic Nanofluid in the Presence of a Magnetic Field. J. Taiwan Inst. Chem. Eng. 2017, 78, 127–136. [Google Scholar] [CrossRef]









| Physical Parameters | Calculated Value | Unit |
|---|---|---|
| Diameters of Cu nanoparticle | 100/200/500 | nm |
| Density of Cu nanoparticle | 8900 | kg/m3 |
| Volume fractions of the nanofluids | 0.5/1.0/2.0 | %vol |
| Viscosity of Cu-H2O nanofluids | (1.14/1.17/1.20) × 10−3 | m2·s−1 |
| Density of Cu-H2O nanofluids | 1032.718/1056.918/1087.636 | kg/m3 |
| Diameters of Al nanoparticle | 100/200/500 | Nm |
| Density of Al nanoparticle | 2700 | kg/m3 |
| Volume fractions of the nanofluids | 0.5/1.0/2.0 | %vol |
| Viscosity of Al-H2O nanofluids | (1.04/1.05/1.06) × 10−3 | m2·s−1 |
| Density of Al-H2O nanofluids | 1006.512/1015.023/1032.041 | kg/m3 |
| Density of Pure water | 1000 | kg/m3 |
| Pure water viscosity | 100.3 × 10−5 | m2·s−1 |
Publisher’s Note: MDPI stays neutral with regard to jurisdictional claims in published maps and institutional affiliations. |
© 2022 by the authors. Licensee MDPI, Basel, Switzerland. This article is an open access article distributed under the terms and conditions of the Creative Commons Attribution (CC BY) license (https://creativecommons.org/licenses/by/4.0/).
Share and Cite
Yu, Y.; Wang, K.; Zhao, Y.; Chen, Q.; Dong, N. Numerical Analysis of Heat Transfer Enhancement Due to Nanoparticles under the Magnetic Field in a Solar-Driven Hydrothermal Pretreatment System. Processes 2022, 10, 2649. https://doi.org/10.3390/pr10122649
Yu Y, Wang K, Zhao Y, Chen Q, Dong N. Numerical Analysis of Heat Transfer Enhancement Due to Nanoparticles under the Magnetic Field in a Solar-Driven Hydrothermal Pretreatment System. Processes. 2022; 10(12):2649. https://doi.org/10.3390/pr10122649
Chicago/Turabian StyleYu, Yang, Kai Wang, Yurong Zhao, Qicheng Chen, and Nanhang Dong. 2022. "Numerical Analysis of Heat Transfer Enhancement Due to Nanoparticles under the Magnetic Field in a Solar-Driven Hydrothermal Pretreatment System" Processes 10, no. 12: 2649. https://doi.org/10.3390/pr10122649
APA StyleYu, Y., Wang, K., Zhao, Y., Chen, Q., & Dong, N. (2022). Numerical Analysis of Heat Transfer Enhancement Due to Nanoparticles under the Magnetic Field in a Solar-Driven Hydrothermal Pretreatment System. Processes, 10(12), 2649. https://doi.org/10.3390/pr10122649

