Abstract
As life expectancy increases, pension plans face growing longevity risk. Standardized longevity-linked securities such as survivor contracts allow pension plans to transfer this risk to capital markets. However, more consensus is needed on the appropriate mortality model and premium principle to price these contracts. This paper investigates the impact of the mortality model and premium principle choice on the pricing, risk measurement, and modeling of survivor contracts. We present a framework for evaluating risk measures associated with survivor contracts, specifically survivor forwards (S-forward) and survivor swaps (S-swaps). We analyze how the mortality model and premium principle assumptions affect pricing and risk measures (value-at-risk and expected shortfall). Four mortality models (Lee–Carter, Renshaw–Haberman, Cairns–Blake–Dowd, and M6) and eight premium principles (Wang, proportional hazard, dual power, Gini, exponential, standard deviation, variance, and median absolute deviation) are considered. Our analysis highlights the need to refine mortality models and premium principles to enhance pricing accuracy and risk management. We also suggest regulators and practitioners incorporate expected shortfall alongside value-at-risk to capture tail risks and improve capital allocation.
1. Introduction
Longevity risk refers to the risk that people live longer relative to the lifespan assumed in the specification and valuation of insurance policies. Longevity risk poses a financial risk to pension and life annuity providers, as they are at risk of paying out pensions and annuities for longer than anticipated. As the global population continues to age, the ability to effectively manage this risk is becoming increasingly important for the stability of financial markets. Despite innovations in the securitization of longevity risk, challenges remain in accurately pricing these securities and assessing the risks they present (Blake et al. 2023).
While past research has explored other aspects of longevity risk, including forecasting mortality rates and valuation of insurance risks, gaps persist. Notably, there is no consensus on the appropriate mortality models or premium principles to apply when pricing survivor contracts such as survivor forwards and swaps. Furthermore, there has been very little attention paid to the impact of this lack of consensus on the risk management of longevity-linked securities, particularly in terms of value-at-risk and expected shortfall.
This paper contributes to the literature by addressing these gaps. We examine the impact of different mortality models and premium principles on the pricing of survivor contracts, expanding on the previous literature by considering a broader range of mortality models. We also propose a simulation-based framework for evaluating risk measures such as the value-at-risk and expected shortfall. This framework not only advances a theoretical understanding of the factors driving risk measurement for survivor contracts, but also provides practical tools for insurers and pension funds. Through these contributions, we offer a comprehensive approach to managing longevity risk, enhancing market transparency, and informing regulatory decisions. By addressing both pricing and risk measurement challenges, this paper provides insights for practitioners, regulators, and policymakers involved in the longevity risk market.
1.1. Longevity Risk Market
The longevity risk market consists of entities, typically insurers or pension providers, who are exposed to the financial risk of longer life expectancy. These entities seek risk transfer solutions to mitigate their exposure by transferring a portion of the longevity risk to third parties, including reinsurers and capital markets, in exchange for premium payments. Longevity reinsurance is the most common form of longevity risk transfer. However, there is increasing interest in transferring longevity risk to the capital markets as reinsurers become concentrated and need a place to offload their longevity risk exposure. The securitization of longevity risk allows pension funds and life annuity providers to transfer their exposure to the financial markets, facilitating greater diversification of the risk across a broader range of investors instead of concentrating it within a few reinsurers. Compared to a customized longevity risk transfer, a standardized longevity-linked security is more desirable due to cheaper costs and liquidity potential (Coughlan et al. 2011; Lin and Cox 2005). These benefits have led to an emerging market for standardized longevity-linked securities. Examples of longevity risk transfer contracts can be found in the deal directory maintained by Artemis (https://www.artemis.bm/longevity-swaps-and-longevity-risk-transfers/ (accessed on 25 January 2025)).
The longevity risk market faces practical challenges such as accurate forecasting of mortality rates, the lack of liquidity, and regulation of capital reserves for standardized longevity-linked securities. Accurately forecasting mortality rates is challenging due to uncertainties in medical advances and lifestyle changes that may affect life expectancy trends. The lack of a universally accepted mortality model and premium principle further complicates the pricing of longevity-linked securities (Bauer et al. 2010; Tang and Li 2021; Wang et al. 2019). Additionally, the relatively small size of the longevity risk market results in less market liquidity and hinders the development of standardized pricing models (Blake et al. 2023). The evolving regulatory landscape for longevity-linked securities also complicates the determination of adequate capital reserves required for these securities, resulting in increased uncertainty for market participants. These factors collectively make it difficult for market participants to price and measure the risk associated with longevity-linked securities, thus slowing the growth of the market.
1.2. Regulation and Market Trust
The securitization of longevity risk operates at the intersection of financial and insurance regulation, requiring a framework that draws from both domains. Our work is connected to research that examines the impact of regulatory reform on these markets. Financial market regulation such as the Basel III and insurance market regulation such as Solvency II play an important role in fostering trust and maintaining stability in these markets, thereby encouraging market participation (Campbell et al. 2011). A lack of trust may lead people to avoid certain financial products despite the existence of regulatory disclosure requirements (Christelis et al. 2010; Guiso et al. 2008). One way to address this is through clear and transparent regulatory measures that enhance consumer trust such as the imposition of interpretable capital reserve requirements (Barth and Miller 2018). For example, Basel III’s risk aggregation principles encourages standardized risk categorization to promote understandable risk communication. Furthermore, the second pillar of Solvency II includes the Own Risk and Solvency Assessment (ORSA), which encourages insurers to assess and report their risk management frameworks in a succinct and interpretable manner. It was shown that Basel III improved market perception of bank’s resilience resulting in increased trust and confidence (Bank of International Settlements 2022). Likewise, Rae et al. (2018) found that Solvency II led to increased consumer protection and market trust for the insurance market.
Building on the role of trust, financial regulation can play a positive role in fostering desirable innovation, rather than simply restricting undesirable products (Campbell 2016). For example, research has shown that mutual fund markets with higher levels of investor protection tend to be larger than those with weaker protection (Khorana et al. 2008). This suggests that financial regulation not only builds confidence but also contributes to market growth. Abudy and Shust (2020) showed that when companies are restricted by regulation in how much information they provide in disclosures, unusual trading volumes in the market are reduced. Ben-Rubi et al. (2024) stated that by aligning regulations with long-term horizons and enhancing accountability through disclosure requirements, regulators could foster a more sustainable financial market that benefits investors and market stability. The way financial products are presented to people also plays a role in decision-making. An emphasis on salient information arises from limited attention spans and information overload, which cause investors to overlook available information during decision-making (Dessaint and Matray 2017; Shaton 2017). Even minor regulatory intervention can drastically affect financial markets (Abudy et al. 2024; Mugerman et al. 2022). Understanding these hidden outcomes is key to improving financial regulation and ensuring that financial markets remain transparent and efficient.
By analyzing the uncertainty in mortality models and premium principles, we identify areas where current models may under or over-estimate risks. This provides regulators with frameworks for setting appropriate capital requirements, and pricing longevity-linked securities to ensure market stability. Our investigation of the mortality model and premium principle uncertainty allows regulators to better understand the model implications and anticipate market conditions to protect market participants. The risk measurement framework for longevity-linked securities outlined in this paper aligns with the solvency capital requirement proposed in Solvency II. Furthermore, we highlighted how the use of expected shortfall can enhance market trust in longevity-linked securities. By fostering confidence and stability, regulators and insurers can promote greater participation in the longevity risk market, supporting its growth and sustainability.
1.3. Pricing Survivor Contracts
The primary problem researchers and practitioners face in standardizing longevity-linked securities is determining appropriate prices (Bauer et al. 2010; Denuit et al. 2007; Lin and Cox 2005; Tang and Li 2021; Zeddouk and Devolder 2019). Pricing longevity-linked securities involves two key components: projecting future mortality rates and selecting an appropriate valuation principle. Projecting future mortality rates for the reference population cohort requires fitting historical mortality data to model and forecast future mortality trends. The projected mortality rates are then used to calculate expected future mortality rates that form the basis for valuing the security’s cash flows. The second key component in pricing longevity-linked securities is selecting an appropriate premium principle to calculate risk-adjusted premiums. The choice of premium principle, whether risk-neutral or pricing by market expectations (real-world), impacts the valuation. The premium principle dictates the framework for transforming the projected future survival rates and cash flows to arrive at a valuation for longevity-linked securities.
Two primary longevity-linked securities investigated in the literature are the survivor forward and survivor swap (Dowd et al. 2006). A survivor forward (S-forward) is a contract between two parties to exchange an amount proportional to the realized survival rate of a given population for an amount proportional to the fixed survival rate agreed upon by both parties at inception to be payable at a future date, which is the maturity. On the other hand, a survivor swap (S-swap) involves a buyer of the swap paying a pre-arranged fixed level of cash flows to the swap provider in exchange for multiple cash flows linked to the realized mortality experience. A pension of life insurance fund will purchase an S-swap to exchange multiple cash flows linked to a floating survival rate for a fixed cash flow payment to hedge longevity risk. Survivor contracts can remove longevity risk without either party needing an upfront payment, allowing pension plans to retain control of the asset allocation (Blake et al. 2019; Zeddouk and Devolder 2019). In essence, while an S-forward is a single survival rate exchange at one future time, an S-swap can be described as a portfolio or series of many S-forwards covering all the relevant payment periods.
The primary work in model uncertainty for survivor contracts by Tang and Li (2021) investigated the impact of different mortality models and premium principles on the pricing of S-forwards and S-swaps using UK mortality data. Tang and Li (2021) examined how different mortality models and premium principles affected the pricing of S-forwards and S-swaps. They found that the choice of mortality model had a greater impact on risk premiums than premium principles. There exists other literature that investigates mortality models or premium principles in longevity risk management, but most have focused solely on mortality model uncertainty (Atance et al. 2020; Cairns et al. 2008; Dowd et al. 2010; Haberman and Renshaw 2011; Leung et al. 2018; Li et al. 2020; Pelsser 2008; Yang et al. 2015). This paper examined four mortality models: the Lee–Carter (LC) model (Lee and Carter 1992) uses historical age-specific mortality rates to forecast future rates. The accuracy of the LC model relies on the continuation of historical patterns. Nevertheless, Lee and Carter (1992) found a linear decline and relatively constant variance in the trend parameters from 1900–1989, suggesting that such a stable long-term trend will continue. Because the LC model is a time series model, different sample paths of future mortality rates can be generated. The LC model may produce narrower prediction intervals compared to other statistical models (such as the Cairns–Blake–Dowd model). This may be undesirable when the model is used to predict mortality rates. The Renshaw–Haberman (RH) model (Renshaw and Haberman 2006) extends the LC model by adding a cohort effect variable, which captures the change in mortality rates between successive cohorts. The Cairns–Blake–Dowd (CBD) model (Cairns et al. 2006) assumes age and period are different and randomness exists between years. The indices represent the varying age pattern of mortality improvements rather than the overall level of mortality alone. Finally, the M6 model (Cairns et al. 2009) extends the CBD model by incorporating cohort effects. It is important to note that CBD and M6 models allow for a nontrivial correlation structure between the year-on-year changes in mortality rates at different ages because they have more than one underlying period risk factor. Meanwhile, the LC and RH models have a trivial correlation structure because there is a perfect correlation between changes in mortality rates at different ages from one year to the next.
Premium principles can be broadly categorized into two categories: risk-neutral and real-world. Under the risk-neutral measure, the price of a contract is equal to the expected present value of the cash flows under a distorted version of the real-world probability measure. Meanwhile, real-world valuation principles use the historical probability measure and assume that mortality rates and prices will repeat historical trends. This paper examines five risk-neutral premium principles: the Wang transform, proportional hazard transform, dual power transform, Gini transform, and exponential transform. The risk-neutral premium principles apply a distortion function to the cumulative distribution function of the risk to produce a risk-adjusted cumulative distribution function. The Wang transform (Wang 2002) is a Gaussian-type distortion function that preserves normal and lognormal distributions. The Wang transform was used by (Lin and Cox 2005) to price mortality bonds. The proportional hazard transform (Wang 1995) is a simple power transform applied to the decumulative function that can be interpreted as scaling by a fractional exponent. The dual power transform (Wang 1996) applies a power transform to the cumulative distribution function. The Gini principle (Denneberg 1990) is used in economic welfare theory as a measure of inequality for the distribution of wealth in a population. The exponential transform (Dickson 2016) transforms a distribution using the exponential function to model non-negative and monotonic behavior. Since the longevity market is immature, there is a lack of liquidity, and risk-neutral pricing methods cannot be used carelessly (Barrieu et al. 2012). Hence, under the real-world measure, the price of a security is determined using real-world probabilities derived from historical data. This paper examines three real-world premium principles: the standard deviation principle, the variance principle, and the median absolute deviation principle. The standard deviation and variance principle (Dickson 2016) generates a premium that is proportional to the standard deviation and variance, respectively, of the distribution. The median absolute deviation principle (Leys et al. 2013) is more resilient to outliers compared to other premium principles that rely on the mean of the distribution.
1.4. Risk Measurement of Survivor Contracts
Risk measures allow institutions to understand the market risk exposure from their portfolios and determine appropriate capital to buffer against potential losses. Risk measures such as value-at-risk (VaR) and expected shortfall (ES) have been used in financial markets to estimate how much an investment might lose with a given probability under normal market conditions under a set time period. Solvency II is the supervisory framework for insurers and reinsurers in Europe since 2016. The solvency capital requirement (SCR) aims to reduce the risk of an insurer being unable to meet claims. The European Insurance and Occupational Pensions Authority (EIOPA) defined the SCR as the 99.5% VaR of the basic own funds over a 1-year period, meaning that enough capital is available to cover the market-consistent losses that may occur over the next year with 99.5% confidence. While Solvency II defined the SCR as the 99.5% VaR, some authors propose that ES is a more appropriate risk measure to determine capital allocation (Boonen 2017; Frey and McNeil 2002; Sandström 2007; Wagner 2014; Yamai and Yoshiba 2005).
There have been some efforts to create a framework for VaR to estimate longevity risk, but most have focused on analyzing the longevity risk associated with mortality projections or annuity products rather than the uncertainty associated with survivor contracts (Börger 2010; Christiansen and Niemeyer 2014; Devolder and Lebègue 2017; Diffouo et al. 2020; Gylys and Šiaulys 2019; Pfeifer and Strassburger 2008; Plat 2011; Richards 2021; Richards et al. 2014). With the increased interest in utilizing survivor contracts through securitization as a means of transferring longevity risk, there arises a need to establish methods for calculating the SCR of survivor contracts, particularly in the framework of Solvency II. To effectively gauge the potential risks associated with these contracts, the calculation of risk measures such as VaR and ES is important. Insurers can ensure they maintain sufficient capital reserves to meet the requirements set forth by Solvency II by accurately quantifying the risk exposures of survivor contracts.
We discussed the uncertainty associated with the choice or mortality model and premium principle on the VaR and ES of survivor contracts and compare the risk measure values obtained under 1- and 2-year horizons. From an asset-liability management perspective, pension and life annuity funds hold portfolios of survivor contracts to hedge longevity risk, each contracted at a fair value at inception. As mortality experience evolves, the contracts may become unfavorable, exposing the hedger to potential future losses. By analyzing risk measures like VaR and ES estimated from the distribution of possible future contract values, the annuity fund can quantify potential downside losses on its survivor contract portfolio at a given confidence level. The 1-year risk measures are consistent with the SCR currently proposed under Solvency II. This provides a standardized approach for short-term risk assessment and regulatory compliance. On the other hand, the 2-year risk measures allow for the assessment of the risks associated with maintaining survivor contracts over a longer time horizon. Ben-Rubi et al. (2024) highlighted that current regulatory frameworks emphasize short-term measures, inadvertently encouraging fund managers to prioritize short-term risk management over long-term investment strategy. The 2-year risk measures provide a balanced perspective that is sufficiently forward-looking enough to support resource planning while remaining close enough to maintain the reliability of mortality forecasts.
1.5. Contributions and Overview of the Paper
The forecasting of mortality rates is crucial for the pricing and risk management of longevity-linked securities. While important contributions, such as those by Atance et al. (2020) and Levantesi and Pizzorusso (2019), have focused primarily on model comparisons and the accuracy of mortality predictions, the practical implications of these models for pricing and risk measurement in financial markets have not been sufficiently explored. This paper extends the existing literature by integrating mortality forecasting into the pricing and risk assessment of survivor contracts. Specifically, we investigated how the choice of mortality model and premium principle affected the valuation and risk measures of these contracts. In doing so, we contributed to the literature on insurance risk pricing as summarized in the text by Asmussen and Steffensen (2020) by applying premium principles to longevity-linked securities and furthering our understanding of their valuation. Additionally, we proposed a framework for assessing SCR for longevity-linked securities, drawing on recent work in the Solvency II literature, such as Ellis et al. (2024) and Scherer and Stahl (2020).
A key contribution of this paper is the adoption of a simulation-based approach to pricing and risk measurement. Following the methodology of Boyer and Stentoft (2013), we used Monte Carlo simulations to value survivor contracts across four mortality models and eight premium principles. This simulation-based framework is flexible, allowing us to consider a wide range of contract features and to extend the approach to other longevity-linked securities in future research. Moreover, we examined the impact of mortality model choice on risk measures such as VaR and ES and investigated how these measures change over different horizons. We found that risk-neutral premium principles generally yielded lower risk measure values compared to real-world premium principles for both contracts. Additionally, we observed that the difference between VaR and ES is more pronounced when using risk-neutral premium principles for S-swaps. This has important implications for insurers using longevity-linked securities to hedge longevity exposure. Insurers can benefit from adopting ES as a risk-measurement tool, especially for contracts such as S-swaps that exhibit large tail risks. Using ES allows insurers to better assess adverse outcomes resulting in more informed decision-making regarding capital reserves and solvency requirements. This approach aligns with regulatory frameworks that prioritize transparency and conservative risk measures to ensure financial stability. The use of ES could enhance trust in longevity-linked securities leading to better market confidence and supporting the growth of the longevity risk market.
This paper is organized as follows: Section 2 presents the mortality models and the premium principles, while Section 3 discusses the survivor contracts. Section 4 analyzes the results obtained from valuation. Section 5 sets forth the risk measure framework and examines the results obtained from the risk measures. Section 6 concludes the paper.
2. Mortality Models and Premium Principles
This paper considers four mortality models: LC, RH, CBD, and M6. Premium principles refer to the pricing formulas used to determine the fair price charged for survivor contracts. This paper considers eight premium principles: Wang, proportional, dual, Gini, exponential, standard deviation, variance, and median absolute deviation principle.
2.1. Mortality Models
The LC model (Lee and Carter 1992) expresses the natural logarithm of the central death rate as
where is the average level of mortality at age x, is the time-index of mortality, and represents the age sensitivity of mortality to changes in . We model the mortality index as a random walk with drift to forecast future mortality values. That is,
where is an estimated drift term, and is a sequence of independent and identically distributed random variables following the standard Gaussian distribution.
Renshaw and Haberman (2006) extend the Lee–Carter model to include the cohort effect. The cohort effect term, denoted by , captures the long-term impact of events on people born in different periods and does not change with one’s age. The natural logarithm of the central death rate is given by
To forecast future mortality rates, we model the cohort effect parameter as an AR(1) process,
where is an estimated drift term, is the estimated sensitivity of the previous cohort step, and the standard Gaussian error term is assumed to be independent of .
The CBD model (Cairns et al. 2006) is a two-factor parametric mortality model. In contrast to the non-parametric age structure in the LC and RH model, the CBD treats age as a continuous variable that varies linearly with the logit of the force of mortality. The CBD model has two latent factors, and , which allow for more flexibility in capturing the dynamics of mortality changes. Furthermore, the CBD model has the advantage of modeling mortality at higher ages. The CBD model expresses the logit transform of one-year mortality rates of a life aged x in year t as
Here, and represent the estimated level and gradient, respectively, of the mortality curve in year t, and is the mean across the sample age range. The two indices are modelled by a multivariate random walk with drift,
where , and is a vector which contains two estimated drift coefficients, and the error vector is assumed to follow the standard multivariate Gaussian distribution.
Finally, the M6 model incorporates the cohort effect parameter into the CBD model. The logit transform of one-year mortality rates of a life aged x in year t is given by
Like the Renshaw–Haberman model, the cohort effect parameter is modeled as an AR(1) process.
2.2. Premium Principles
Define as the valuation at time 0 of a future liability or cash flow given by the random variable X. Assuming that the loss random variable X is non-negative in insurance contexts is usually appropriate. The choice of is equivalent to choosing a valuation principle. Denote the probability density function (pdf) as and the cumulative distribution function (cdf) as . Define the de-cumulative function . Let be the risk-neutral pdf, cdf, decumulative function, and expectation of the risk, respectively. This paper considers eight premium principles; the first five are risk-neutral, and the last three are real-world premium principles.
2.2.1. Risk-Neutral Probability Measures
Risk-neutral valuation principles take the expected present value of the cash flows under a distorted version of the real-world prices. The distortion of the real-world valuation into the risk-neutral valuation is parameterized by the pricing parameter . The Wang transform embeds a Gaussian distortion function that returns a distorted cdf (Wang 2002),
Here, represents the cdf of a standard Gaussian distribution, and is the inverse standard Gaussian cdf. For a given risk X with cdf , the Wang transform produced a risk-adjusted cdf . The mean value under , denoted as , is the risk-adjusted fair value of X at time T, which will be further discounted to time zero using the risk-free interest rate. One advantage of the Wang transform is that it is reasonably quick to evaluate numerically.
The proportional hazard transform has the advantage of having a simple distortion function of the following form (Wang 1995):
The proportional hazard transform is quite sensitive to the choice of . Wang (1995) used the proportional hazard transform to price insurance risk. The dual-power transform (Wang 1996) is given by
The Gini principle (Denneberg 1990) has a risk-adjusted cdf given by
Lastly, the exponential transform uses weighted probabilities to map the liability denoted by the random variable X from onto . The risk-adjusted cdf is given by
2.2.2. Real-World Probability Measures
Real-world premium principles that use historical mortality rates offer an alternative methodology to price survivor contracts. The price under the standard deviation principle is given by
A pure premium is defined as . Hence, the standard deviation principle is equal to the pure premium plus a risk-loading term proportional to the standard deviation of the liability.
The price under the variance principle is given by
Like the standard deviation principle, the variance principle is a pure premium plus a risk-loading term proportional to the liability variance.
Finally, the price under the median absolute deviation principle is given by
Here, . Since mean-variance statistics tend to be sensitive to outliers, we include a premium principle that uses the median. The MAD principle is better suited to datasets with small sample sizes and potential outliers.
3. Survivor Contracts
We assume a pension or life annuity fund enters a long position in a survivor contract to hedge longevity risk. In a long position, the fund pays a fixed amount K for floating cash flows linked to a future survival rate S. If survivors exceed expectations, the contract payouts hedge the fund’s larger liabilities. If fewer survivors occur, the negative payouts are offset by reduced liabilities.
3.1. Survivor Forward
The buyer of an S-forward pays a fixed forward rate K to the seller and receives a floating rate . The forward rate is specified at the contract’s start and reflects the expected future longevity level. Assume a notional amount equal to one. The fixed leg K must be determined such that the fair value of the survivor forward at is zero. Mathematically, this is given by
Here, the is a value function, which refers to a valuation principle, and the fixed forward rate is determined such that the S-forward has zero value at the start of the contract.
We follow Boyer and Stentoft (2013) and assume that the fixed leg is the known anticipated one-year survival probability scaled to some unknown constant linear risk-adjustment term . The concrete formulation for the survival forward is given by
Here, is the average of the distorted simulated one-year survival probabilities that an individual aged is alive at time T under the premium principle considered with calibrated pricing parameter . On the other hand, is the average of the distorted survival probabilities under a specific premium principle obtained by setting the pricing parameter equal to either zero or one. Based on the above formulation, the risk-adjustment term is given by
3.2. Survivor Swap
An S-swap consists of a series of S-forwards with different maturities and can be interpreted as a portfolio of S-forwards. We assume that the forward rate K is constant for all periods. Assume a notional principal is equal to one. Analogous to the S-forward, the fixed leg of an S-swap K is determined such that the S-swap has zero value at the onset of the contract,
Similar to the S-forward, we assume that the fixed leg for an S-swap is the sum of known anticipated one-year survival probability scaled to some unknown constant linear risk-adjustment term . The concrete formulation for the survival forward is given by
Based on the above formulation, the risk-adjustment term is given by
4. Valuation of Survivor Contracts
We used the England and Wales mortality data available through the StMoMo package (Villegas et al. 2018). This dataset contains male mortality data for England and Wales for the period 1961–2011 for ages 0 to 100 obtained from the Human Mortality Database. Since our valuation starts at the end of 2011, we use quoted annuity rates and Gilt rates based on the last quarter of 2011. In the last quarter of 2011, the annuity rate for a single life aged 66 with level payments was GBP 6000 per GBP 100,000 of funds. These data were obtained from https://sharingpensions.co.uk (accessed on 20 May 2024). The starting age of 66 was chosen because this is the age when people in the UK begin to receive pension payments. These payments are treated as annual payments. For example, an annuitant aged 66 is assumed to receive a payment of GBP 6000 in the middle of each year. The risk-free rate is assumed to be the 15-year Gilt rate quoted at for the last quarter of 2011.
4.1. Model Calibration
Since survivor contract prices are not publicly traded, there is scant information regarding transaction details. This paper overcomes the model calibration problem by linking S-forwards and S-swaps to annuity rates. There are no closed-form solutions to the pricing parameter for risk-neutral premium measures. Hence, we resort to numerical root-finding algorithms. We apply a Newton–Raphson type of algorithm to obtain the values for the pricing parameter . We refer the interested reader to Appendix A for details regarding evaluating the pricing parameter . The results obtained for the pricing parameter are given in Table A2.
4.2. Pricing Survivor Contracts
Consider an S-forward contract with maturity T. We begin by simulating future mortality scenarios using the fitted mortality model. Define the average simulated value at time t for an individual aged x as . We solve for the risk-adjustment term such that the S-forward has zero value at inception. The variable of interest is , which can be evaluated using Equation (18). Expressions for and can be found in Table A3.
On the other hand, consider an S-swap with maturity T that exchanges cash flows annually. Similar to an S-forward, the risk-adjustment term of the S-swap is determined such that the contract is fair at inception. The variable of interest is , which can be evaluated using Equation (21). Expressions for and can be found in Table A4.
4.3. Analysis of Pricing Results
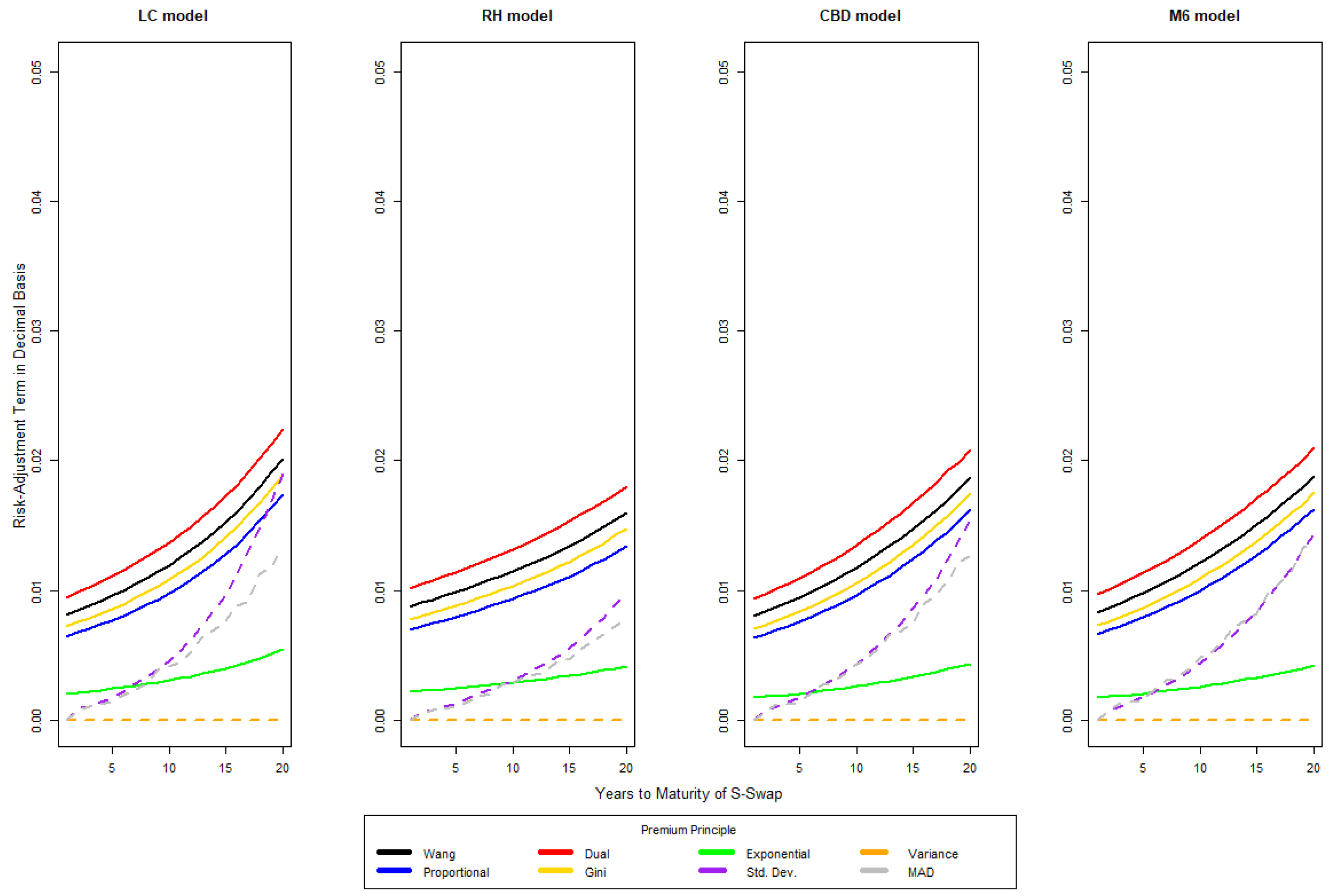
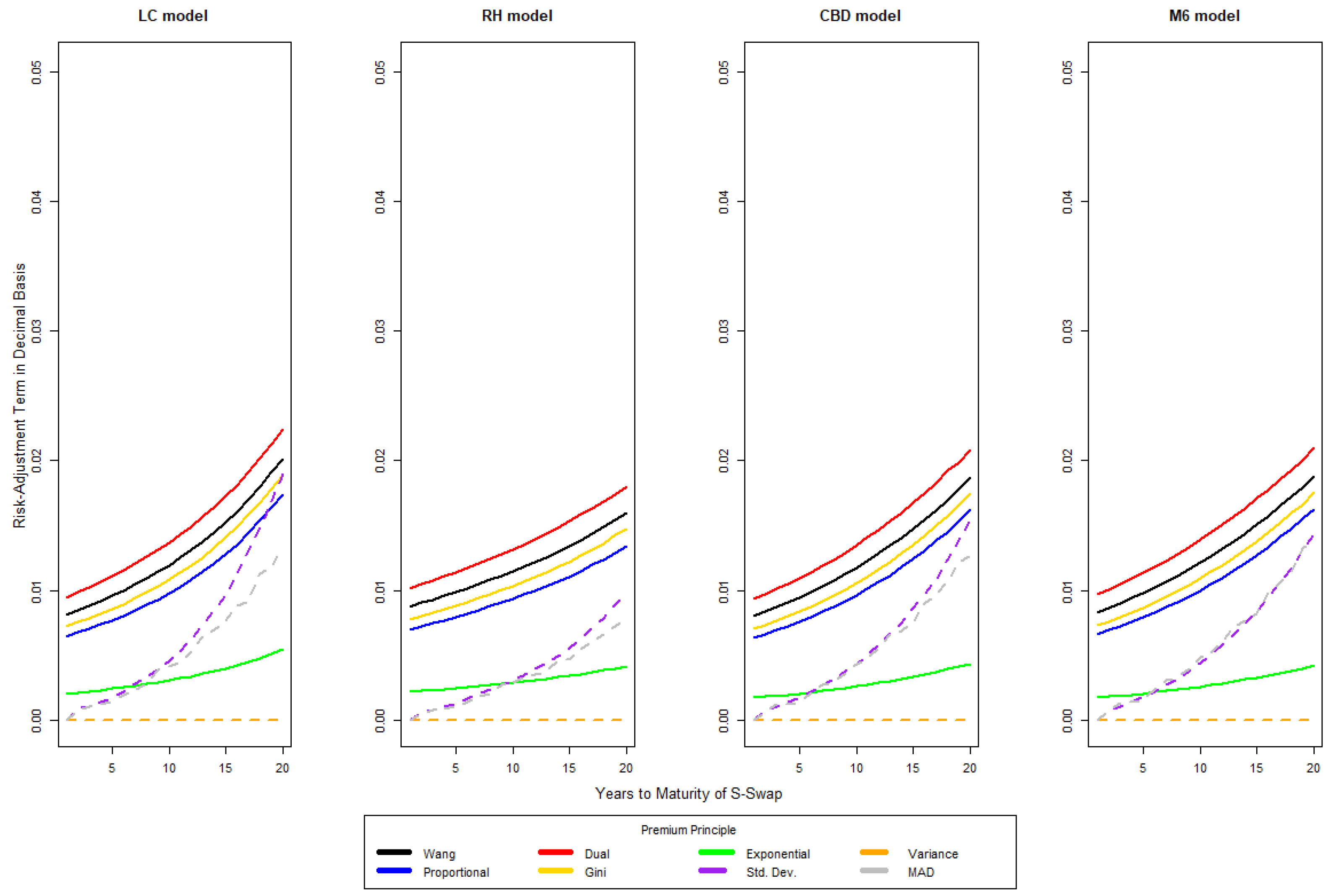
Figure 1 and Figure 2 present the values obtained for the risk-adjustment term under different maturities for S-forwards and S-swaps, respectively. Firstly, across various mortality models, S-forwards generally had a higher risk-adjustment term compared to S-swaps of the same maturity. For example, the 10-year S-forward risk-adjustment term was 0.52% higher than the corresponding S-swap under the LC model. One possible reason the S-swaps have a smaller risk-adjustment term is that an S-swap involves an annual exchange in cash flows linked to the number of survivors from the reference population at each time period. Second, note that longer contract lengths correspond to higher risk-adjustment terms, reflecting the increased uncertainty in longevity forecasts over extended periods.
Figure 1.
The plot of values obtained for the risk-adjustment term for S-forward under fixed mortality models (from left to right: LC, RH, CBD, M6) over different maturities.
Figure 2.
The plot of values obtained for the risk-adjustment term for S-swap under fixed mortality models (from left to right: LC, RH, CBD, M6) over different maturities.
The risk-adjustment term values generated under real-world premium principles were generally lower than those generated from risk-neutral premium principles. The exponential transform produced the lowest risk-adjustment term among the risk-neutral measures. Moreover, a general pattern existed among the risk-adjustment term values. The dual-hazard transform has the largest risk-adjustment term. On the other hand, the variance principle produced the lowest risk-adjustment term. A generalization can be made that the risk-adjustment term generated follows a trend. The highest risk-adjustment term was generated by the dual hazard transform, followed by the Wang transform, the Gini transform, the proportional hazard transform, the standard deviation principle, the median absolute deviation principle, and finally, the variance principle.
On the other hand, Table 1 and Table 2 show that the LC model generated the highest variance and range of risk-adjustment terms across both survivor contracts. For instance, the 10-year S-forward risk-adjustment term range is 3.92% under LC, compared to just 2.06% under RH indicating greater uncertainty in pricing. Moreover, the RH model generated the lowest mean, range, and variance among the risk-neutral risk-adjustment term values.
Table 1.
Values for the risk-adjustment parameter for the LC and RH model for an S-forward.
Table 2.
Values for the risk-adjustment parameter for the LC and RH model for an S-swap.
The RH model had the smallest risk-adjustment term values among the four mortality models. Having the smallest range and variance suggests that the RH model had the least uncertainty in generating a contract risk-adjustment term. This trend is exemplified by the figure for risk-adjustment term values for the RH model, which showed that the premium principles are less spread out compared to the risk-adjustment term values for the other mortality models. If an insurance company aims to have similar risk-adjustment term values for different premium principles, then the RH model would be a suitable mortality model.
Finally, Table 3 and Table 4 showed that the CBD model generated higher variance and range of S-forward risk-adjustment terms compared to the M6 model. The CBD and M6 models behave more similarly in terms of the differences between S-forward and S-swap risk-adjustment values when compared to the extreme behaviors of the LC or RH model. Both the CBD and M6 models exhibit a middle-ground behavior striking a balance in the magnitude and spread of risk-adjustment term values between the extremes of the LC and RH model.
Table 3.
Values for the risk-adjustment parameter for the CBD and M6 model for an S-forward.
Table 4.
Values for the risk-adjustment parameter for the CBD and M6 model for an S-swap.
In their paper, Tang and Li (2021) found that S-forwards have higher risk premiums than S-swaps of the same maturity. We obtained similar results, which can be seen in Figure 1 and Figure 2. Second, Tang and Li (2021) found that the risk premiums obtained among the risk-neutral premium principles have similar values to one another. The authors also observed that real-world premium principles generally produced high-risk premiums compared to risk-neutral ones. Our results show that four of the five risk-neutral premiums are close to one another, except the exponential transform with a lower risk-adjustment term value than other risk-neutral premiums. Furthermore, our results generally show that real-world premiums generate a lower risk-adjustment term compared to risk-neutral premiums. Lastly, Tang and Li (2021) found that the choice of mortality model has a bigger impact on risk premiums than the choice of premium principle. Their results show that the RH model tends to produce higher premiums than the M6 model with quadratic terms. We obtained similar observations that the magnitude of the risk-adjustment term values generated from one mortality model versus another is substantially different compared to fixing a mortality model and varying the premium principle. Although we observed some ordering in the risk-adjustment term values, it is important to note that there is variability in the outcomes based on the specific mortality model selected. The mortality model that generated the highest premiums for Tang and Li (2021) produced the lowest risk-adjustment term values in our analysis. This highlights the sensitivity of the premiums to the choice of mortality model, even though it can be seen that mortality models exert more influence on the risk-adjustment term value compared to the premium principle.
5. Risk-Measurement Framework
This section presents the VaR and ES of S-forwards and S-swaps evaluated by eight premium principles and four mortality models. The VaR with confidence level is the smallest number x such that the probability that the loss X exceeds x is no larger than . Formally, this is given by
The ES (also called conditional VaR) is the conditional expectation of loss given that the loss is beyond the VaR level and is given by
assuming X has a continuous distribution. The ES indicates the average loss when the loss exceeds the VaR level. We introduce a Monte Carlo approach to calculating the risk measures. Suppose an insurer is interested in the maximum amount expected to be lost for some survivor contract after some time n at a pre-defined confidence level . Here, T is the contract time to maturity, and n is the years already accrued by the hedger. A framework for evaluating a n-year VaR and ES is as follows:
- First, select a dataset covering ages to , and running from years to .
- Next, select a mortality model and fit it to the dataset. This gives fitted values for or , where x is the age in years and t is the calendar year. Here, is the central force of mortality and is the initial force of mortality.
- Use the mortality model in Step 2 to simulate sample paths and evaluate the risk-adjustment term for a survivor contract with tenor m using the method outlined in Section 3.1 and Section 3.2.
- For the same mortality model parameters in Step 2, generate scenarios for the remaining liability of the insurer after n years using the same as in Step 3 resulting in a distribution for possible remaining liability values.
- Using the distribution obtained in Step 4, calculate the desired risk measure.
We simulate 5000 future mortality scenarios. The premium principles are calibrated using market annuity quotations with a starting age of 66 since this is the age people in England and Wales begin to receive pensions. Each calibrated pricing principle is then applied to simulate forward survivor rates and evaluate the risk-adjustment term using Equations (18) and (21). For the same contract, fix and evaluate the remaining liability. Examples of how to evaluate the risk measures of S-forwards and S-swaps are provided in Appendix C.
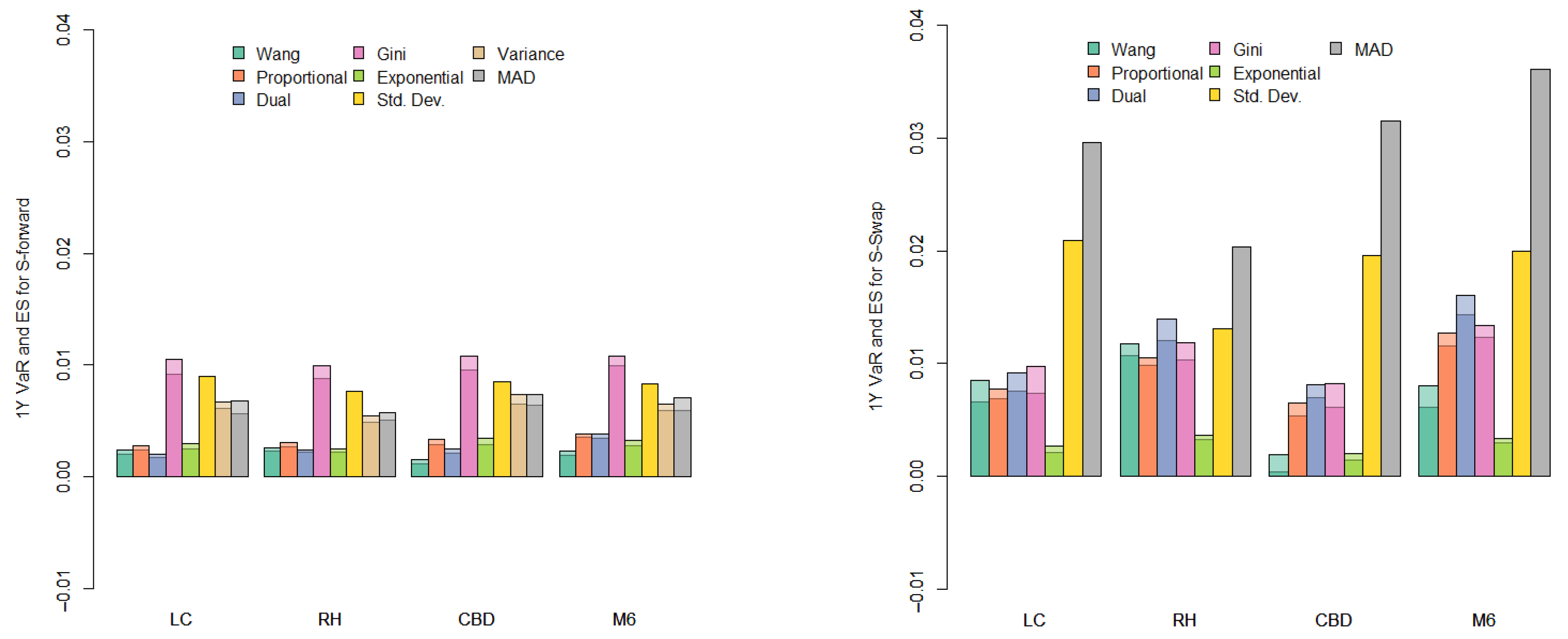
Risk Measures for S-Forwards and S-Swaps
Using the previously discussed framework, Figure 3 displays the risk measures for the survivor contracts. Solid bars denote VaR, while transparent bars denote ES. Detailed values are provided in Appendix D. First, we discuss the results for the S-forward. We found that the M6 model under the Gini principle is the most conservative, while the CBD model under the Wang principle is the least conservative in estimating potential losses. Following the Gini transform, the standard deviation principle ranks next regarding the highest VaR and ES values among all mortality models. For a fixed mortality model and risk measure, the spread between the risk measure values is widest under the CBD model and narrowest under the RH model. When VaR and ES values are compared, the Gini, variance, and MAD principles exhibit large ES values relative to VaR, indicating that the VaR does not capture the tail risk associated with losses larger than the VaR for the S-forward.
Figure 3.
The plot of values obtained for a 1-year 99.5% VaR and ES for S-forwards (left) and S-swap (right). The solid color represents the VaR, while the transparent color represents the ES.
Next, we discuss the results for the S-swap. A key difference between the S-forward and S-swap is that S-swaps generally have larger risk measure values. Notably, the MAD principle produced the largest risk measure values, followed by the standard deviation principle. For the S-swap, the M6 model had the largest spread between premium principles for both VaR and ES values, while the RH model had the smallest spread. The results for the variance principle were omitted because the values were negligibly small, which was likely a result of the structure of the variance premium principle. Given that the three real-world premium principles have similar VaR and ES values, this implies that real-world premium principles for an S-swap capture the tail risk associated with losses exceeding the VaR. One explanation for this could be the way real-world premium principles are defined using historical survival rates, resulting in the contract values converging to a singular value after multiple cash flow exchanges. On the other hand, risk-neutral premium principles generally have larger ES values when compared to the VaR. One explanation for this is the way risk-neutral premium principles apply a distortion function to the survival rates, resulting in a risk-adjusted survival rate. The additive effect of multiple cash flows from the S-swap resulted in a fat-tailed distribution for possible contract values for risk-neutral principles, hence the larger ES values than VaR values.
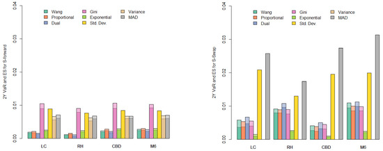
When assessing risk, it is common to calculate risk measures for different time horizons, such as 1-year and 2-year horizons. The 1-year risk measures align with Solvency II’s SCR, providing a standardized approach to regulatory compliance. In contrast, the 2-year measures offer a longer-term perspective that can inform capital allocation decisions. It is of interest to institutions to compare the relative distances between the values of risk measures for different mortality models and premium principles. We discuss the risk measure values obtained for 2-year risk measures and compare the range of values with 1-year risk measures to characterize the uncertainty under specific model assumptions.
The 2-year risk measure values and their figures can be seen in Appendix E. Figure 4 presents the difference between 1- and 2-year 99.5% risk measures for the S-forward, while Figure 5 is for the S-swap. The standard deviation and variance principle were omitted since the differences between their 1- and 2-year risk measures were negligibly small. First, we discuss the difference between the 1- and 2-year VaR for both survivor contracts. While the RH model had the smallest spread between the premium principles for the 1-year risk measures, it had the largest spread among the difference between the 1- and 2-year VaR for both S-forward and S-swap.
Figure 4.
The plot of values obtained for the difference between 1- and 2-year 99.5% VaR (left) and ES (right) for the S-forward.
Figure 5.
The plot of values obtained for the difference between 1- and 2-year 99.5% VaR (left) and ES (right) for the S-swap.
On the other hand, the LC model had the smallest spread between the 1- and 2-year VaR for both S-forward and S-swap. Note that risk-neutral premium principles generally have a greater difference between 1- and 2-year VaR for both the S-forward and S-swap. It is generally the case that the 1-year VaR is larger than the 2-year VaR. Suppose that we are interested in the 1-year VaR of a ten-year S-forward for an individual aged 66. This calculation would involve the simulated survival rate for an individual aged 75, nine years from today. On the other hand, the 2-year VaR for the same S-forward would involve the simulated survival rate for the same individual eight years from today. Since life expectancy exhibits an increasing trend, the probability of survival of an individual nine years from today is generally larger than the same probability of survival eight years from today. Because of this phenomenon, the 1-year VaR is generally larger than the 2-year VaR for both survivor contracts. Moreover, we discuss the difference between the 1- and 2-year ES for both survivor contracts. Note that while the MAD principle had a small difference between the 1- and 2-year VaR, the results for the difference between the ES are much larger. While other risk-neutral premium principles tend to hover around the same level of difference, the exponential transform had the smallest difference among 1- and 2-year ES values for both the S-forward and S-swap.
6. Conclusions
In this paper, we examined the pricing and risk management of survivor contracts. Our analysis provides insights into how insurers and pension funds can better navigate longevity risk. The simulation-based framework developed offers a tool for insurers to quantify and manage longevity risk. By considering different mortality models and premium principles, this paper provides insights into how various model assumptions that affect contract valuation and risk management. The findings also have implications for regulatory frameworks. It is precisely the misalignment between VaR and ES that motivates regulators to require both from insurers, since ES is more informative of tail risks compared to VaR (which is just a quantile of the loss distribution). By incorporating ES into their risk management toolkit, insurers can better align their capital requirements to capture extreme risks leading to more prudent capital allocation and enhanced financial stability.
During our analysis of the pricing results, we found a trend in risk-adjustment term values for different premium principles. It was observed that some premium principles generated higher values than others regardless of the mortality model. Our results are thus consistent with the conclusion of Tang and Li (2021) that the choice of mortality model has a greater impact on the price compared to the premium principle. However, our findings also suggest that it is not necessarily the case that one mortality model leads to higher contract prices than another. Rather, more research must be conducted to improve mortality forecast accuracy and determine which mortality model best fits the data. Furthermore, risk-neutral premium principles produced higher risk-adjustment term values compared to real-world premium principles for both survivor contracts. This raises the question of whether risk-neutral pricing might be too conservative, potentially overestimating the risk-adjustment term and leading to higher prices for longevity-linked securities.
Our risk measurement results highlighted that insurers may want to consider using ES as a supplement to VaR, especially when doing risk-neutral pricing. In our analysis, we showed that tail risk was non-negligible for both survivor contracts. This aligns with insights from the literature that financial regulation should enhance transparency and trust by providing comprehensive risk measures. By incorporating such risk measures, regulators can foster greater market participation resulting in market growth and improved stability of the longevity risk market.
Author Contributions
Conceptualization, K.R.S., S.C.C., E.A.M., J.B. and L.P.D.G.; methodology, K.R.S., S.C.C., E.A.M., J.B. and L.P.D.G.; software, K.R.S.; validation, K.R.S., S.C.C., E.A.M., J.B. and L.P.D.G.; formal analysis, K.R.S.; investigation, K.R.S., S.C.C., E.A.M., J.B. and L.P.D.G.; resources, K.R.S., S.C.C., E.A.M., J.B. and L.P.D.G.; data curation, K.R.S.; writing—original draft preparation, K.R.S.; writing—review and editing, K.R.S., S.C.C., E.A.M., J.B. and L.P.D.G.; visualization, K.R.S.; supervision, J.B. and L.P.D.G.; project administration, J.B. and L.P.D.G. All authors have read and agreed to the published version of the manuscript.
Funding
This research received no external funding.
Data Availability Statement
The mortality dataset for England and Wales is available from the Human Mortality Database, but we used the processed version from the StMoMo package in R. The UK pension data are accesible in sharingpensions.co.uk (accessed on 20 May 2024). The code used is available upon request.
Acknowledgments
The authors would like to thank the Ateneo de Manila University Department of Mathematics, and Janree Ruark Gatpatan and Timothy Robin Teng for their constructive feedback on the paper. We also thank the reviewers for their insightful comments and suggestions on the manuscript.
Conflicts of Interest
The authors declare no conflicts of interest.
Appendix A. Calibration of Pricing Parameter
Define the following notation:
- 6000 is the annuity payment;
- 100,000 is the annuity fund value;
- is the risk-free rate;
- is the discount factor at time t.
Suppose the premium principle is the Wang transform, then we solve the following equation for :
To pose the equation above as a root-finding problem, we find using a Newton–Raphson-type algorithm such that the sum of the squared errors is minimized:
A summary of the minization problem for each premium principle is given in Table A1.
For the real-world premium principles, standard deviation, variance, MAD principle, closed-form expressions for can be derived. Suppose that the liability X is a Bernoulli random variable such that
In other words, the liability of the pension/ life annuity fund is the present value of the payment stream if the person is alive and zero if the person is not. Since the probability that a person aged x is alive at time t is given by , taking the expectation and variance of the Bernoulli random variable yields
Suppose the premium is the standard deviation principle, then
Solving for yields
Analogous to the standard deviation principle, if the premium is the variance principle, then is given by
If the premium is the MAD principle, then is given by
Table A1.
Risk-neutral premium principles and their associated minimization problem to obtain pricing parameter .
Table A1.
Risk-neutral premium principles and their associated minimization problem to obtain pricing parameter .
| Premium | Minimize |
|---|---|
| Wang | |
| Proportional | |
| Dual | |
| Gini | |
| Exponential |
Table A2.
Values obtained for the pricing parameter .
Table A2.
Values obtained for the pricing parameter .
| Premium | LC | RH | CBD | M6 |
|---|---|---|---|---|
| Wang | ||||
| Proportional | ||||
| Dual | ||||
| Gini | ||||
| Exponential | ||||
| Std. Dev. | ||||
| Variance | ||||
| MAD |
Appendix B. Expressions for Pricing Survivor Contracts
Table A3.
Expressions for and used in pricing S-forwards. Here, refers to the discount factor at time T under the risk-free rate r.
Table A3.
Expressions for and used in pricing S-forwards. Here, refers to the discount factor at time T under the risk-free rate r.
| Premium Principle | ||
|---|---|---|
| Wang | ||
| Proportional | ||
| Dual | ||
| Gini | ||
| Exponential | ||
| Std. Dev. | ||
| Variance | ||
| MAD |
Table A4.
Expressions for and used in pricing S-swaps. Here, refers to the discount factor at time t under the risk-free rate r.
Table A4.
Expressions for and used in pricing S-swaps. Here, refers to the discount factor at time t under the risk-free rate r.
| Premium Principle | ||
|---|---|---|
| Wang | ||
| Proportional | ||
| Dual | ||
| Gini | ||
| Exponential | ||
| Std. Dev. | ||
| Variance | ||
| MAD |
Appendix C. Example of Evaluating Risk Measures
For example, consider a 10-year S-forward indexed on an individual aged 66 at inception that exchanges a single cash flow at maturity. The distribution of the liability after one year is given by
Here, is the risk-adjustment term obtained previously for a ten-year S-forward under a specific premium principle. Furthermore, is the average of the distorted simulated one-year survival probabilities that an individual aged 75 is alive 9 years from inception under the premium principle considered with the calibrated pricing parameter , and is obtained similar to , but the pricing parameter is set to either zero or one.
Consider a 10-year S-swap that exchanges cash flows yearly indexed on the cohort of people aged 66. The distribution of the remaining liability after one year of the contract has passed can be obtained by simulating possible survivor rates after one year. The distribution of S-swap risk-adjustment terms after a year is the sum of simulated survivor rates of the cohort of people aged 67 up to the cohort of people aged 75. Mathematically,
Here, refers to the survival probability of an individual aged at time t.
Appendix D. One-Year Risk Measures for Survivor Contracts
Table A5.
One-year 99.5% risk measures for survivor forwards.
Table A5.
One-year 99.5% risk measures for survivor forwards.
| Premium | Risk Measure | LC | RH | CBD | M6 |
|---|---|---|---|---|---|
| Wang | VaR | ||||
| ES | |||||
| Proportional | VaR | ||||
| ES | |||||
| Dual | VaR | ||||
| ES | |||||
| Gini | VaR | ||||
| ES | |||||
| Exponential | VaR | ||||
| ES | |||||
| Std. Dev. | VaR | ||||
| ES | |||||
| Variance | VaR | ||||
| ES | |||||
| MAD | VaR | ||||
| ES |
Table A6.
One-year 99.5% risk measures for survivor swap.
Table A6.
One-year 99.5% risk measures for survivor swap.
| Premium | Risk Measure | LC | RH | CBD | M6 |
|---|---|---|---|---|---|
| Wang | VaR | ||||
| ES | |||||
| Proportional | VaR | ||||
| ES | |||||
| Dual | VaR | ||||
| ES | |||||
| Gini | VaR | ||||
| ES | |||||
| Exponential | VaR | ||||
| ES | |||||
| Std. Dev. | VaR | ||||
| ES | |||||
| Variance | VaR | ||||
| ES | |||||
| MAD | VaR | ||||
| ES |
Appendix E. Two-Year Risk Measures for Survivor Contracts
Figure A1.
The plot of values obtained for a 2-year 99.5% VaR and ES for S-forwards (left) and S-swap (right). The solid color represents the VaR, while the transparent color represents the ES.
Figure A1.
The plot of values obtained for a 2-year 99.5% VaR and ES for S-forwards (left) and S-swap (right). The solid color represents the VaR, while the transparent color represents the ES.

Table A7.
Two-year 99.5% risk measures for survivor forwards.
Table A7.
Two-year 99.5% risk measures for survivor forwards.
| Premium | Risk Measure | LC | RH | CBD | M6 |
|---|---|---|---|---|---|
| Wang | VaR | ||||
| ES | |||||
| Proportional | VaR | ||||
| ES | |||||
| Dual | VaR | ||||
| ES | |||||
| Gini | VaR | ||||
| ES | |||||
| Exponential | VaR | ||||
| ES | |||||
| Std. Dev. | VaR | ||||
| ES | |||||
| Variance | VaR | ||||
| ES | |||||
| MAD | VaR | ||||
| ES |
Table A8.
Two-year 99.5% risk measures for survivor swap.
Table A8.
Two-year 99.5% risk measures for survivor swap.
| Premium | Risk Measure | LC | RH | CBD | M6 |
|---|---|---|---|---|---|
| Wang | VaR | ||||
| ES | |||||
| Proportional | VaR | ||||
| ES | |||||
| Dual | VaR | ||||
| ES | |||||
| Gini | VaR | ||||
| ES | |||||
| Exponential | VaR | ||||
| ES | |||||
| Std. Dev. | VaR | ||||
| ES | |||||
| Variance | VaR | ||||
| ES | |||||
| MAD | VaR | ||||
| ES |
References
- Abudy, Menachem (Meni), and Efrat Shust. 2020. What happens to trading volume when the regulator bans voluntary disclosure? European Accounting Review 29: 555–80. [Google Scholar] [CrossRef]
- Abudy, Menachem (Meni), Ilan Gildin, and Yevgeny Mugerman. 2024. Don’t move my cheese: Financial advice adaptation to regulatory change. Finance Research Letters 61: 105005. [Google Scholar] [CrossRef]
- Asmussen, Søren, and Mogens Steffensen. 2020. Risk and Insurance: A Graduate Text. Cham: Springer International Publishing. [Google Scholar] [CrossRef]
- Atance, David, Ana Debón, and Eliseo Navarro. 2020. A comparison of forecasting mortality models using resampling methods. Mathematics 8: 1550. [Google Scholar] [CrossRef]
- Bank of International Settlements. 2022. Evaluation of the Impact and Efficacy of the Basel III Reforms. Basel: Basel Committee on Banking Supervision. Available online: https://www.bis.org/bcbs/publ/d544.pdf (accessed on 20 January 2025).
- Barrieu, Pauline, Harry Bensusan, Nicole El Karoui, Caroline Hillairet, Stéphane Loisel, Claudia Ravanelli, and Yahia Salhi. 2012. Understanding, modelling and managing longevity risk: Key issues and main challenges. Scandinavian Actuarial Journal 2012: 203–31. [Google Scholar] [CrossRef]
- Barth, James R., and Stephen Matteo Miller. 2018. On the rising complexity of bank regulatory capital requirements: From global guidelines to their united states (us) implementation. Journal of Risk and Financial Management 11: 77. [Google Scholar] [CrossRef]
- Bauer, Daniel, Matthias Börger, and Jochen Ruß. 2010. On the pricing of longevity-linked securities. Insurance: Mathematics and Economics 46: 139–49. [Google Scholar] [CrossRef]
- Ben-Rubi, Shoham, Yevgeny Mugerman, and Zvi Wiener. 2024. Regulating cash holdings: Assessing lost returns in mutual funds. Finance Research Letters 2: 105226. [Google Scholar] [CrossRef]
- Blake, David, Andrew J. G. Cairns, Kevin Dowd, and Amy R. Kessler. 2019. Still living with mortality: The longevity risk transfer market after one decade. British Actuarial Journal 24: 1–80. [Google Scholar] [CrossRef]
- Blake, David, Andrew J. G. Cairns, Malene Kallestrup-Lamb, and Jesper Rangvid. 2023. Longevity risk and capital markets: The 2021–22 update. Journal of Demographic Economics 89: 299–312. [Google Scholar] [CrossRef]
- Boonen, Tim J. 2017. Solvency ii solvency capital requirement for life insurance companies based on expected shortfall. European Actuarial Journal 7: 405–34. [Google Scholar] [CrossRef] [PubMed]
- Boyer, M. Martin, and Lars Stentoft. 2013. If we can simulate it, we can insure it: An application to longevity risk management. Insurance: Mathematics and Economics 52: 35–45. [Google Scholar] [CrossRef]
- Börger, Matthias. 2010. Deterministic shock vs. stochastic value-at-risk—An analysis of the solvency ii standard model approach to longevity risk. Blätter der DGVFM 31: 225–59. [Google Scholar] [CrossRef]
- Cairns, Andrew J. G., David Blake, and Kevin Dowd. 2006. A two-factor model for stochastic mortality with parameter uncertainty: Theory and calibration. Journal of Risk and Insurance 73: 687–718. [Google Scholar] [CrossRef]
- Cairns, Andrew J. G., David Blake, and Kevin Dowd. 2008. Modelling and management of mortality risk: A review. Scandinavian Actuarial Journal 2008: 79–113. [Google Scholar] [CrossRef]
- Cairns, Andrew J. G., David Blake, Kevin Dowd, Guy D. Coughlan, David Epstein, Alen Ong, and Igor Balevich. 2009. A quantitative comparison of stochastic mortality models using data from england and wales and the united states. North American Actuarial Journal 13: 1–35. [Google Scholar] [CrossRef]
- Campbell, John Y. 2016. Restoring rational choice: The challenge of consumer financial regulation. American Economic Review 106: 1–30. [Google Scholar] [CrossRef]
- Campbell, John Y., Howell E. Jackson, Brigitte C. Madrian, and Peter Tufano. 2011. Consumer financial protection. Journal of Economic Perspectives 25: 91–114. [Google Scholar] [CrossRef] [PubMed]
- Christelis, Dimitris, Tullio Jappelli, and Mario Padula. 2010. Cognitive abilities and portfolio choice. European Economic Review 54: 18–38. [Google Scholar] [CrossRef]
- Christiansen, Marcus C., and Andreas Niemeyer. 2014. Fundamental definition of the solvency capital requirement in solvency ii. ASTIN Bulletin 44: 501–33. [Google Scholar] [CrossRef]
- Coughlan, Guy D., Marwa Khalaf-Allah, Yijing Ye, Sumit Kumar, Andrew J. G. Cairns, David Blake, and Kevin Dowd. 2011. Longevity hedging 101. North American Actuarial Journal 15: 150–76. [Google Scholar] [CrossRef]
- Denneberg, Dieter. 1990. Premium calculation: Why standard deviation should be replaced by absolute deviation. ASTIN Bulletin: The Journal of the IAA 20: 181–90. [Google Scholar] [CrossRef]
- Denuit, Michel, Pierre Devolder, and Anne-Cécile Goderniaux. 2007. Securitization of longevity risk: Pricing survivor bonds with wang transform in the lee-carter framework. The Journal of Risk and Insurance 74: 87–113. [Google Scholar] [CrossRef]
- Dessaint, Olivier, and Adrien Matray. 2017. Do managers overreact to salient risks? Evidence from hurricane strikes. Journal of Financial Economics 126: 97–121. [Google Scholar] [CrossRef]
- Devolder, Pierre, and Adrien Lebègue. 2017. Iterated var or cte measures: A false good idea? Scandinavian Actuarial Journal 2017: 287–318. [Google Scholar] [CrossRef]
- Dickson, David C. M. 2016. Principles of Premium Calculation. International Series on Actuarial Science; Cambridge: Cambridge University Press, pp. 39–52. [Google Scholar]
- Diffouo, Ngugnie, Pauline Milaure, and Pierre Devolder. 2020. Longevity risk measurement of life annuity products. Risks 8: 31. [Google Scholar] [CrossRef]
- Dowd, Kevin, Andrew J. G. Cairns, and David Blake. 2010. Backtesting stochastic mortality models. North American Actuarial Journal 14: 281–98. [Google Scholar] [CrossRef]
- Dowd, Kevin, David Blake, Andrew J. G. Cairns, and Paul Dawson. 2006. Survivor swaps. The Journal of Risk and Insurance 73: 1–17. [Google Scholar] [CrossRef]
- Ellis, Cameron, Takefumi Ueno, and Stefan Veith. 2024. The Solvency II Framework: Causal Effects on Risk and Liquidity (August 29, 2024). p. 1. Available online: https://ssrn.com/abstract=4940529 (accessed on 10 December 2023).
- Frey, Rüdiger, and Alexander J. McNeil. 2002. Var and expected shortfall in portfolios of dependent credit risks: Conceptual and practical insights. Journal of Banking & Finance 26: 1317–34. [Google Scholar] [CrossRef]
- Guiso, Luigi, Paola Sapienza, and Luigi Zingales. 2008. Trusting the stock market. The Journal of Finance 63: 2557–600. [Google Scholar] [CrossRef]
- Gylys, Rokas, and Jonas Šiaulys. 2019. Revisiting calibration of the solvency ii standard formula for mortality risk: Does the standard stress scenario provide an adequate approximation of value-at-risk? Risks 7: 58. [Google Scholar] [CrossRef]
- Haberman, Steven, and Arthur Renshaw. 2011. A comparative study of parametric mortality projection models. Insurance: Mathematics and Economics 48: 35–55. [Google Scholar] [CrossRef]
- Khorana, Ajay, Henri Servaes, and Peter Tufano. 2008. Mutual fund fees around the world. The Review of Financial Studies 22: 1279–310. [Google Scholar] [CrossRef]
- Lee, Ronald D., and Lawrence R. Carter. 1992. Modeling and forecasting u. s. mortality. Journal of the American Statistical Association 87: 659–71. [Google Scholar]
- Leung, Melvern, Man Chung Fung, and Colin O’Hare. 2018. A comparative study of pricing approaches for longevity instruments. Insurance: Mathematics and Economics 82: 95–116. [Google Scholar] [CrossRef]
- Levantesi, Susanna, and Virginia Pizzorusso. 2019. Application of machine learning to mortality modeling and forecasting. Risks 7: 26. [Google Scholar] [CrossRef]
- Leys, Christophe, Christophe Ley, Olivier Klein, Philippe Bernard, and Laurent Licata. 2013. Detecting outliers: Do not use standard deviation around the mean, use absolute deviation around the median. Journal of Experimental Social Psychology 49: 764–66. [Google Scholar] [CrossRef]
- Li, Johnny, Rui Zhou, and Yanxin Liu. 2020. Drivers of mortality dynamics identifying age period cohort components of historical u.s. mortality improvements. North American Actuarial Journal 24: 228–50. [Google Scholar] [CrossRef]
- Lin, Yijia, and Samuel H. Cox. 2005. Securitization of mortality risks in life annuities. The Journal of Risk and Insurance 72: 227–52. [Google Scholar] [CrossRef]
- Mugerman, Yevgeny, Nadav Steinberg, and Zvi Wiener. 2022. The exclamation mark of cain: Risk salience and mutual fund flows. Journal of Banking & Finance 134: 106332. [Google Scholar] [CrossRef]
- Pelsser, Antoon. 2008. On the applicability of the wang transform for pricing financial risks. ASTIN Bulletin 38: 171–81. [Google Scholar] [CrossRef]
- Pfeifer, Dietmar, and Doreen Strassburger. 2008. Solvency ii: Stability problems with the scr aggregation formula. Scandinavian Actuarial Journal 2008: 61–77. [Google Scholar] [CrossRef]
- Plat, Richard. 2011. One-year value-at-risk for longevity and mortality. Insurance: Mathematics and Economics 49: 462–70. [Google Scholar] [CrossRef]
- Rae, Dick A., Aisling E. Barrett, Dylan Brooks, Meshali A. Chotai, Andy J. Pelkiewicz, and Chen Wang. 2018. A review of solvency ii: Has it met its objectives? British Actuarial Journal 23: e4. [Google Scholar] [CrossRef]
- Renshaw, A. E., and S. Haberman. 2006. A cohort-based extension to the lee–carter model for mortality reduction factors. Insurance: Mathematics and Economics 38: 556–70. [Google Scholar] [CrossRef]
- Richards, Stephen J. 2021. A value-at-risk approach to mis-estimation risk. British Actuarial Journal 26: e13. [Google Scholar] [CrossRef]
- Richards, Stephen J., Iain D. Currie, and Gavin P. Ritchie. 2014. A value-at-risk framework for longevity trend risk. British Actuarial Journal 19: 116–39. [Google Scholar] [CrossRef]
- Sandström, Arne. 2007. Solvency ii: Calibration for skewness. Scandinavian Actuarial Journal 2007: 126–34. [Google Scholar] [CrossRef]
- Scherer, Matthias, and Gerhard Stahl. 2020. The standard formula of solvency ii: A critical discussion. European Actuarial Journal 11: 3–20. [Google Scholar] [CrossRef]
- Shaton, Maya. 2017. The display of information and household investment behavior. Finance and Economics Discussion Series 2017: 1. [Google Scholar] [CrossRef]
- Tang, Sixian, and Jackie Li. 2021. Market pricing of longevity-linked securities. Scandinavian Actuarial Journal 2021: 408–36. [Google Scholar] [CrossRef]
- Villegas, Andres, Millossovich Pietro, and Vladimir Kaishev. 2018. Stmomo: Stochastic mortality modeling in r. Journal of Statistical Software 84: 1–38. [Google Scholar] [CrossRef]
- Wagner, Joel. 2014. A note on the appropriate choice of risk measures in the solvency assessment of insurance companies. The Journal of Risk Finance 15: 110–30. [Google Scholar] [CrossRef]
- Wang, Shaun. 1995. Insurance pricing and increased limits ratemaking by proportional hazards transforms. Insurance: Mathematics and Economics 17: 43–54. [Google Scholar] [CrossRef]
- Wang, Shaun. 1996. Premium calculation by transforming the layer premium density. ASTIN Bulletin: The Journal of the IAA 26: 71–92. [Google Scholar] [CrossRef]
- Wang, Shaun. 2002. A universal framework for pricing financial and insurance risks. ASTIN Bulletin: The Journal of the IAA 32: 213–34. [Google Scholar] [CrossRef]
- Wang, Yige, Nan Zhang, Zhuo Jin, and Tin Long Ho. 2019. Pricing longevity-linked derivatives using a stochastic mortality model. Communications in Statistics-Theory and Methods 48: 5923–42. [Google Scholar] [CrossRef]
- Yamai, Yasuhiro, and Toshinao Yoshiba. 2005. Value-at-risk versus expected shortfall: A practical perspective. Journal of Banking & Finance 29: 997–1015. [Google Scholar] [CrossRef]
- Yang, Bowen, Jackie Li, and Uditha Balasooriya. 2015. Using bootstrapping to incorporate model error for risk-neutral pricing of longevity risk. Insurance: Mathematics and Economics 62: 16–27. [Google Scholar] [CrossRef]
- Zeddouk, Fadoua, and Pierre Devolder. 2019. Pricing of longevity derivatives and cost of capital. Risks 7: 41. [Google Scholar] [CrossRef]
Disclaimer/Publisher’s Note: The statements, opinions and data contained in all publications are solely those of the individual author(s) and contributor(s) and not of MDPI and/or the editor(s). MDPI and/or the editor(s) disclaim responsibility for any injury to people or property resulting from any ideas, methods, instructions or products referred to in the content. |
© 2025 by the authors. Licensee MDPI, Basel, Switzerland. This article is an open access article distributed under the terms and conditions of the Creative Commons Attribution (CC BY) license (https://creativecommons.org/licenses/by/4.0/).




