Next Article in Journal
Determinants of Life Insurance Consumption in OECD Countries Using FMOLS and DOLS Techniques
Next Article in Special Issue
Shareholders in the Driver’s Seat: Unraveling the Impact on Financial Performance in Latvian Fintech Companies
Previous Article in Journal
L1 Regularization for High-Dimensional Multivariate GARCH Models
Previous Article in Special Issue
Features of the Association between Debt and Earnings Quality for Small and Medium-Sized Entities
 
 
Font Type:
Arial Georgia Verdana
Font Size:
Aa Aa Aa
Line Spacing:
Column Width:
Background:
Article

Robust Portfolio Optimization with Environmental, Social, and Corporate Governance Preference

Department of Statistical and Actuarial Sciences, University of Western Ontario, London, ON N6A 3K7, Canada
*
Author to whom correspondence should be addressed.
Risks 2024, 12(2), 33; https://doi.org/10.3390/risks12020033
Submission received: 18 December 2023 / Revised: 30 January 2024 / Accepted: 1 February 2024 / Published: 5 February 2024
(This article belongs to the Special Issue Financial Analysis, Corporate Finance and Risk Management)

Abstract

This study addresses the crucial but under-explored topic of ambiguity aversion, i.e., model misspecification, in the area of environmental, social, and corporate governance (ESG) within portfolio decisions. It considers a risk- and ambiguity-averse investor allocating resources to a risk-free asset, a market index, a green stock, and a brown stock. The study employs a robust control approach rooted in relative entropy to account for model misspecification and derive closed-form optimal investment strategies. The key contribution of this study includes demonstrating, using two sets of empirical data on asset returns and ESG ratings, the substantial influence of ambiguity on optimal trading strategies, particularly highlighting the differential effects of market, green, and brown ambiguities. As a by-product of our analytical solutions, the study contrasts ambiguity-averse investors with their non-ambiguity counterparts, revealing more cautious risk exposures with a reduction in short-selling positions for the former. Furthermore, three types of investors who employ popular suboptimal strategies are identified, together with two loss measures used to quantify their performance. The findings reveal that popular strategies, not accounting for ESG and misspecification in the model, could lead to significant financial costs, with the extent of loss varying depending on those two factors: investors’ ambiguity aversion profiles and ESG preferences.
JEL Classification:
C61; C20

1. Introduction

Since Merton’s seminal work (Merton 1975), numerous studies have explored optimal portfolio choices for investors with ambiguity aversion (also known as robust portfolio analysis or model specification) under various assumptions. Most of the literature underscores the importance of accounting for ambiguity when making investment decisions. However, only a limited number of studies have incorporated the concept of environmental, social, and corporate governance (ESG). In this study, we extend the portfolio choice problem to include ESG ambiguity aversion within a multivariate (also known as multi-attribute) utility framework.
Environmental, social, and corporate governance (ESG) encompasses a broad spectrum of financial activities, including sustainable investing, socially responsible investing (SRI), impact investing, green investing, value-based investing, ESG investing, and triple-bottom-line investing. These various approaches converge on a shared objective: the promotion of “green investing”. While each investment style possesses distinct characteristics, they collectively address different facets of ESG with the aim of enhancing companies and portfolios for the benefit of stakeholders. Recent years have witnessed a notable trend among institutional investors with long-term perspectives: the integration of ESG criteria into investment decision-making and portfolio selection. According to a 2022 report by the Sustainable Investment Forum (SIF) (US SIF 2022), a staggering USD 7.6 trillion in U.S.-domiciled assets have incorporated ESG criteria into their investment processes. This underscores the mounting significance of ESG considerations for enterprises, asset managers, and global shareholders (Edmans 2011; Jacobsen et al. 2019; Orsato et al. 2015). Meanwhile, there is a growing demand from both researchers and market participants to quantify ESG performance, driven by substantial needs in data analysis and financial modeling. Numerous studies have delved into ESG ratings, a key metric for quantifying the ESG performance of companies (e.g., Bermejo Climent et al. 2021; Clément et al. 2022; Drempetic et al. 2020; Polbennikov et al. 2016; Tarmuji et al. 2016). These investigations scrutinize the credibility of ESG ratings and explore their impact on financial assets and investors, establishing a foundation for further quantitative research in the realm of ESG that leverages these ratings. In this paper, we also utilize ESG ratings to discern green and brown stocks.
Moreover, numerous studies have incorporated investors’ preferences for green investing into optimal portfolio strategies (e.g., some recent examples are Chen et al. (2021); Dorfleitner et al. (2012); Gasser et al. (2017)). Some of these studies utilize the framework of expected utility theory (EUT), which forms the foundation of our work. For instance, Ahmed et al. (2021) incorporate ESG as a non-pecuniary attribute of the portfolio, leading to bivariate constant absolute risk aversion (CARA) utility. Similarly, Dorfleitner and Nguyen (2017) employ bivariate CARA utility, where the ESG component appears as a non-pecuniary additive term, and compare it with the mean-variance (MVT) framework. Notably, Pástor et al. (2021) develop a single-period equilibrium model for green investing using exponential utility. Their study analyzes the impact of ESG preferences on asset prices, leading to the suggestion of an optimal three-fund separation for portfolio holdings, including a risk-free asset, a market portfolio, and an ESG portfolio. Furthermore, Escobar-Anel (2022) incorporates the ESG dimension by allowing for different levels of risk aversion for green and brown assets. This pecuniary approach accounts for the ethical dimensions of ESG and presents the first continuous-time ESG analysis with closed-form solutions within the EUT. In our work, we build upon this analytical framework by adding a market-risk dimension with a specific focus on ESG ambiguity aversions.
The literature on ambiguity aversion within portfolio choice is quite extensive; therefore, we provide a brief review with a focus on papers close to our approach. Maenhout (2004) adapted the general robust control framework developed by Anderson et al. (2003) to address the dynamic portfolio choice problem under power utility. His analysis focuses on the fundamental Merton model, featuring a single stock and a riskless asset with constant investment opportunities. He introduced the concept of ambiguity by considering uncertainty regarding the expected rate of return on stocks. Building on this work, Maenhout (2006) extended the examination to encompass the role of ambiguity aversion in scenarios involving time-varying expected stock returns. Liu (2010) expanded this analysis by incorporating Epstein–Zin preferences to explore the interplay of ambiguity aversion in portfolio choice. Meanwhile, empirical studies have indicated variations in ambiguity aversion levels for a given investor in regards to the underlying sources of risk. For instance, Dimmock et al. (2016) discovered a negative association between ambiguity aversion and stock market participation, the proportion of financial assets invested in stocks, and foreign stock ownership, as well as a positive correlation with ownership of company stocks. Similarly, Kocher et al. (2018) demonstrated that ambiguity attitudes are contingent on the outcome domain and likelihood range. More recent work by Klingebiel and Zhu (2023) utilized ambiguity aversion thresholds to elucidate why the same individual may seek some sources of ambiguity while avoiding others. Wang and Uppal (2002) were the first to consider varying levels of ambiguity aversion concerning the joint and marginal distributions of state variables. In the spirit of various ambiguity aversion levels, Branger and Larsen (2013) modeled stock prices using a jump-diffusion process, permitting separate ambiguity aversions to the diffusion and jump components. This framework enables a comparative analysis of the impact of ambiguity about the jump component versus ambiguity about the diffusive component on optimal portfolio choices. Similarly, Flor and Larsen (2014) explored scenarios in which an investor grappled with ambiguity concerning models for both interest rates and stock returns, while Escobar et al. (2015) targeted ambiguity aversions about volatility and stock returns. When applying robust portfolio optimization in the realm of ESG considerations, Rubtsov et al. (2021) introduced the concept of climate uncertainty. This approach tackled the robust optimization problem within the context of an investor engaged in trading a stock index while also holding an illiquid claim designed to provide insurance against climate change risk. The findings of this study shed light on the significant influence of climate uncertainty on investment portfolios. Notably, heightened climate uncertainty tends to reduce investments in stocks. Subsequently, Rubtsov and Shen (2022) extended the scope by deriving an optimal stock–bond–cash portfolio. This expanded analysis delved into the repercussions of uncertainties surrounding climate change, taking into account portfolios with varying investment horizons. It is pertinent to note that both studies in this series operate on the premise of a univariate utility function and focus on a single source of uncertainty.
Our work, in its distinctive contribution to the field, diverges from previous literature by introducing an innovative ESG portfolio setting with multi-attribute utility while allowing for special considerations on green, brown, and market ambiguity aversions. Specifically, we consider a risk- and ambiguity-averse investor with the option to invest in a bank account (cash), a market index, a green stock, and a brown stock. Extending the work of Escobar-Anel (2022), this investor possesses a multivariate utility function with different risk aversions not only to green and brown stocks but also to the market index. This addition is critical, as the market index is neither green nor brown but rather an average, and it can be understood as the classical level of investor risk aversion. See Escobar-Anel and Jiao (2023) for further arguments.
Additionally, our investor contends with ambiguity regarding the dynamics of these assets. Depending on the available information, the agent may exhibit varying degrees of uncertainty regarding the models for the market index, the green stock, and the brown stock. Leveraging the robust control approach established by Anderson et al. (2003), we derive the optimal investment strategy and investigate the implications of ambiguity within this ESG context.
Our model assumes that the investor has a reference model for the market, the green stock, and the brown stock, but acknowledges that these models may be misspecified. It also recognizes the existence of alternative models that may better represent reality. Consequently, our investor seeks investment rules that are robust to model misspecification and capable of performing reasonably well across a range of plausible models. The degree of dissimilarity between the reference model and alternative models is quantified through relative entropy, which serves as a penalty in the optimization process. This penalty quantifies the investor’s aversion to uncertainty concerning the reference model. The optimal portfolio is obtained in closed form after solving the relevant robust Hamilton–Jacobi–Bellman (HJB) equation (also known as the HJBI equation for HJB–Isaacs).
Several motivations underlie our assumptions regarding ambiguity concerning the market, the green stock, and the brown stock. First, the assumption of model ambiguity aligns with empirical studies, such as Ellsberg (1961), which reveal that individuals are averse not only to risk (where the probability distribution is known) but also to ambiguity (where the probability distribution is unknown). Second, as per the work of Wang and Uppal (2002), there is compelling evidence to suggest that investors exhibit different levels of ambiguity aversion toward different assets, that is, green, brown, and market. Hence, our model introduces flexibility to account for the varying levels of ambiguity aversion among investors. Third, as demonstrated by Merton (1980), accurately estimating expected returns remains a formidable challenge. In this context, it is important to emphasize that, within the framework of Anderson et al. (2003), model uncertainty primarily pertains to uncertainty about the drift of the state variables. Consequently, our study derives an optimal portfolio strategy that remains robust to model uncertainty, particularly regarding the equity risk premium of various assets.
In summary, this study makes several important contributions. Firstly, it introduces a distinctive analytical framework by segregating green, brown, and market investments within the investors’ wealth process. This allows for an explicit study of the impact of each one of these asset categories on portfolio decisions, pushing the boundaries of existing methodologies.
Secondly, our work employs multi-attribute utility for risk aversions and delves into its interaction with various levels of ambiguity aversion. This interaction has not been explored in the literature, offering a novel perspective that can advance the application of multi-attribute utility.
Thirdly, our research not only provides analytical solutions but also underscores the significance of precise ESG modeling. This contribution lays the groundwork for further studies in this direction, with implications extending beyond robust portfolio optimization to contribute to the evolving landscape of ESG modeling.
Fourthly, this study underscores the substantial impact of ambiguity on optimal trading strategies while accounting for ESG preferences. In comparing the short-term effects of market, green, and brown ambiguities, we find that market ambiguity predominantly affects market weight, whereas both green and brown ambiguities influence not only the respective weights of these assets but also the market weight. Our numerical examples are based on empirical data on asset returns and ESG ratings obtained from the RepRisk database. The analysis further illustrates that this behavior extends to long-term investment strategies. Specifically, plausible levels of ambiguity can result in changes of over 50% in the optimal strategies.
Fifthly, we explore the effects of ambiguity by contrasting outcomes with those of non-ambiguity-averse investors. We provide compelling evidence that ambiguity-averse investors exhibit less aggressive exposure to risks. As demonstrated in our numerical example, ambiguity also leads to a reduction in short-selling positions.
Lastly, we categorize three types of investors who employ suboptimal strategies and two measures of welfare loss. We assess the welfare loss incurred by investors using suboptimal strategies. Our analysis reveals that investors who adopt suboptimal strategies experience non-negligible losses. For empirically relevant parameter values, the losses due to ignoring model uncertainty increase with greater ambiguity, amounting to close to 100% of the initial wealth.
The remainder of this paper is organized as follows. Section 2 outlines the portfolio choice problem. Section 3 provides a solution and outlines its general properties. In Section 4, we categorize three types of suboptimal investors and two measures of welfare loss incurred by an investor who follows a suboptimal investment strategy. Section 5 presents an analysis of the optimal portfolio through a numerical example, with Section 6 concluding, while the appendices contain proofs of important propositions and another numerical example.

2. Mathematical Setting

Let us assume that a financial market consists of one risk-free asset and three risky assets. These assets are invested over the period from time 0 to time T. Let all stochastic processes introduced in this paper be defined on a complete probability space ( Ω , F , P , { F t } t [ 0 , T ] ) , where { F t } t [ 0 , T ] is a right-continuous filtration generated by standard Brownian motions (BMs).
This section is divided into three parts. First, we present a model for the underlying assets under the reference model. Section 2 constructs a family of alternative models, while Section 3 describes the self-financing wealth process and the underlying green, brown, and market synthetic portfolios.

2.1. ESG Market Model with a One-Factor Structure

We first introduce our model, which is characterized by three main assets. One asset is identified as the market portfolio ( S 1 ). This could be a common index that merges all assets of a given market or sectors of interest to the investor. The other two assets can be interpreted as two types of stock in the market: the so-called green stock ( S 2 ) and the non-green alternative named, for the purpose of our study, brown stock ( S 3 ). Both stocks are correlated with each other and with the index, resembling a one-factor CAPM model with the index playing the role of a single factor. Our model has the following structure:
d S 1 , t S 1 , t = ( r + λ 1 σ 1 2 ) d t + σ 1 d z m , d S 2 , t S 2 , t = ( r + λ 1 σ 1 σ 2 ρ 12 + λ g σ 2 2 1 ρ 12 2 ) d t + σ 2 ( ρ 12 d z m + 1 ρ 12 2 d z g ) , d S 3 , t S 3 , t = ( r + λ 1 σ 1 σ 3 ρ 13 + λ b σ 3 2 1 ρ 13 2 ) d t + σ 3 ( ρ 13 d z m + 1 ρ 13 2 d z b ) .
where z m , z g , and z b are independent standard Brownian motions, representing three sources of risk: market, green, and brown, respectively. The volatilities of the three assets, namely S 1 , S 2 , and S 3 , are represented by σ 1 , σ 2 , and σ 3 , respectively. Additionally, our framework incorporates a risk-free asset, such as a cash account or government bond, with its return denoted as r. The dynamic of the risk-free asset is governed by d B t = r B t d t and is not influenced by any source of risk. We capture correlations via c o r r ( S 1 , S 2 ) = ρ 12 , c o r r ( S 1 , S 3 ) = ρ 13 , and c o r r ( S 2 , S 3 ) = ρ 12 ρ 13 . The market risk premium (from z m ) is represented by λ 1 σ 1 , the green risk premium is expressed by λ g σ 2 , and the brown risk premium is λ b σ 3 .

2.2. Alternative Model

We refer to the market model presented in the previous section as the reference model. Our investor is uncertain about the probability distribution of the reference model and considers a set of plausible alternative models when making investment decisions. We assume that our investor is uncertain about the distributions of z m , z g , and z b . Specifically, our investor is uncertain about the drifts of the stock prices. We cannot consider modeling the uncertainty of volatility because the limit of infinitely fine sampling would remove all estimation risks of the second moments. However, the first moments are notoriously difficult to estimate (Blanchard et al. 1993; Cochrane 1998; Merton 1980).
Let e t : = ( e t m , e t g , e t b ) be an R 3 -valued F t -progressively measurable process and define the Radon–Nikodym derivative process by
Λ t e = E d P e d P | F t = exp 0 t e τ , d z τ + 1 2 | | e τ | | 2 d τ
where d z t : = ( d z m , t , d z g , t , d z b , t ) . According to Girsanov’s theorem, the process
z ˜ t = z t + 0 t e τ d τ
is a multidimensional Brownian motion under probability measure P e .
The investor’s subjective measure P e is assumed to be σ finite on ( Ω , F t ) , and absolutely continuous with respect to measure P . e t represents perturbations that enable the investor to deviate from the reference model. Although the reference model best characterizes the data available to the investor, they may also consider alternative models that are difficult to distinguish statistically from the reference model. Under the probability measure P e , the alternative model is
d S 1 , t S 1 , t = ( r + λ 1 σ 1 2 σ 1 e t m ) d t + σ 1 d z ˜ m , d S 2 , t S 2 , t = ( r + λ 1 σ 1 σ 2 ρ 12 + λ g σ 2 2 1 ρ 12 2 σ 2 ρ 12 e t m σ 2 1 ρ 12 2 e t g ) d t + σ 2 ( ρ 12 d z ˜ m + 1 ρ 12 2 d z ˜ g ) , d S 3 , t S 3 , t = ( r + λ 1 σ 1 σ 3 ρ 13 + λ b σ 3 2 1 ρ 13 2 σ 3 ρ 13 e t m σ 3 1 ρ 13 2 e t b ) d t + σ 3 ( ρ 13 d z ˜ m + 1 ρ 13 2 d z ˜ b ) .

2.3. Wealth Process and Portfolio Setting

Let W t denote the investor’s wealth process created by allocating in S 1 , t , S 2 , t , S 3 , t , and B t . Let π i (a simplified notation for ( π i , t ) t [ 0 , T ] ) denote the proportion of wealth invested in S i , t 1, according to the self-financing condition, the wealth process is
d W t W t = π 1 d S 1 , t S 1 , t + π 2 d S 2 , t S 2 , t + π 3 d S 3 , t S 3 , t + ( 1 π 1 π 2 π 3 ) d B t B t = ( r + π 1 λ 1 σ 1 2 + π 2 λ 1 σ 1 σ 2 ρ 12 + π 2 λ g σ 2 2 1 ρ 12 2 + π 3 λ 1 σ 1 σ 3 ρ 13 + π 3 λ b σ 3 2 1 ρ 13 2 ) d t + ( π 1 σ 1 + π 2 σ 2 ρ 12 + π 3 σ 3 ρ 13 ) d z m + π 2 σ 2 1 ρ 12 2 d z g + π 3 σ 3 1 ρ 13 2 d z b
The term r d t represents the return on the cash account. Let us distribute this return among the three synthetic assets by weighing the parameters θ m , θ g , and θ b , satisfying θ m + θ g + θ b = 1 2. Now, we are ready to write wealth in terms of three synthetic indices capturing the three independent sources of risk by equation
d log W t = d log X m , t + d log X g , t + d log X b , t
where we can see explicitly how each of these synthetic indices is impacted by its corresponding independent source of risk:
d log X m , t = [ θ m r + π 1 λ 1 σ 1 2 + π 2 λ 1 σ 1 σ 2 ρ 12 + π 3 λ 1 σ 1 σ 3 ρ 13 1 2 ( π 1 σ 1 + π 2 σ 2 π 12 + π 3 σ 3 ρ 13 ) 2 ] d t + ( π 1 σ 1 + π 2 σ 2 ρ 12 + π 3 σ 3 ρ 13 ) d z m d log X g , t = [ θ g r + π 2 λ g σ 2 2 1 ρ 12 2 1 2 π 2 2 σ 2 2 ( 1 ρ 12 2 ) ] d t + π 2 σ 2 1 ρ 12 2 d z g d log X b , t = [ θ b r + π 3 λ b σ 3 2 1 ρ 13 2 1 2 π 3 2 σ 3 2 ( 1 ρ 13 2 ) ] d t + π 3 σ 3 1 ρ 13 2 d z b
Solving Equation (6), we obtain the terminal wealth at the end of time period [ 0 , T ] :
W T = W 0 X m , T X m , 0 X g , T X g , 0 X b , T X b , 0
The processes X m , t , X g , t , and X b , t can be interpreted as indices denominated in generic units, with their values from the beginning of period 0 to the conclusion of period T dictating the ultimate wealth W T . We refer to X g , t as the Green Index and X b , t as the Brown Index to differentiate them from the green stock ( S 2 ) and brown stock ( S 3 ) in the market model. Since X m , t is driven by market risk, X g , t by green risk, and X b , t by brown risk, these terms represent their respective contributions to wealth growth.
Similarly, the investor considers the following alternative model for the indices under the probability measure P e .
d log X m , t = [ θ m r + π 1 λ 1 σ 1 2 + π 2 λ 1 σ 1 σ 2 ρ 12 + π 3 λ 1 σ 1 σ 3 ρ 13 1 2 ( π 1 σ 1 + π 2 σ 2 π 12 + π 3 σ 3 ρ 13 ) 2 ( π 1 σ 1 + π 2 σ 2 ρ 12 + π 3 σ 3 ρ 13 ) e t m ] d t + ( π 1 σ 1 + π 2 σ 2 ρ 12 + π 3 σ 3 ρ 13 ) d z ˜ m d log X g , t = [ θ g r + π 2 λ g σ 2 2 1 ρ 12 2 1 2 π 2 2 σ 2 2 ( 1 ρ 12 2 ) π 2 σ 2 1 ρ 12 2 e t g ] d t + π 2 σ 2 1 ρ 12 2 d z ˜ g d log X b , t = [ θ b r + π 3 λ b σ 3 2 1 ρ 13 2 1 2 π 3 2 σ 3 2 ( 1 ρ 13 2 ) π 3 σ 3 1 ρ 13 2 e t b ] d t + π 3 σ 3 1 ρ 13 2 d z ˜ b

3. Optimal Investment Strategies

As discussed in the literature (e.g., Escobar-Anel 2022), an investor may prefer to allocate their portfolio according to different degrees of risk aversion for market risk, green risk, and brown risk, respectively. Consequently, we specify our investor’s utility as a function of X m , t , X g , t , and X b , t . An investor can maximize their utility by assigning π 1 , π 2 , and π 3 to obtain the best combination of X m , t , X g , t , and X b , t . Next, we explain the choice of utility.
We consider the multivariate utility function
u ( X m , X g , X b ) = ( X m ) α m α m ( X g ) α g α g ( X b ) α b α b
where we choose risk aversion parameters α b α m α g < 0 , and the reward function realized by choosing the alternative model under P e
w e ( X , t ; π ) = E X , t P e u ( X m , T , X g , T , X b , T ) .
Let U [ 0 , T ] represent the space of all admissible strategies π i that are F t -progressively measurable, ensuring the wealth remains non-negative for t [ 0 , T ] and satisfies integrability conditions necessary for Equation (11). We denote ε [ 0 , T ] as the set of all F t -progressively measurable processes, ensuring that the process (2) is a well-defined Radon–Nikodym derivative process. The indirect utility function is defined as
J ( X , t ) = sup π U [ t , T ] inf e ε [ t , T ] E t P e t T ( e τ m ) 2 2 Ψ m ( τ , X τ ) + ( e τ g ) 2 2 Ψ g ( τ , X τ ) + ( e τ b ) 2 2 Ψ b ( τ , X τ ) d τ + w e ( X , t ; π ) t T ,
where the expectation term in the equation functions as a penalty for the deviation from the reference model. The penalty depicts the relative entropy between the alternative and reference models, which is expressed as
D K L ( P e | | P ) = E t P e t T 1 2 | | e τ | | 2 d τ
and perturbations e t m , e t g , and e t b are scaled by Ψ m , Ψ g , and Ψ b , respectively.
Ψ m , Ψ g , and Ψ b capture ambiguity aversions toward market, green, and brown dynamics, respectively. For analytical tractability, we assume the following
Ψ i = ϕ i α i J , i = m , g , b ,
where ϕ i > 0 are recognized as ambiguity aversion parameters. Building upon the concept of ‘homothetic robustness’ proposed by Maenhout (2004), we depart from the conventional approach of Anderson et al. (2003), where a constant ambiguity aversion parameter ( Ψ i ( X m , X g , X b , t ) = ϕ i ^ ) is employed. Instead, we introduce a scaling factor, denoted as α i J , which divides ϕ i . This modification ensures that the optimal weights remain unaffected by variations in the state variables X m , X g , and X b , thereby preserving the homothetic nature of preferences amid the changing state variables.
As explained by Maenhout (2004), the consideration of homotheticity is not merely a modeling convenience; it carries significant implications for several reasons. First, despite the economic growth, rates of return remain stationary. Second, when the magnitude of the state variable becomes pertinent, the natural unit invariance of optimal decisions is disrupted, requiring adjustments in calibrations. Finally, homotheticity plays a pivotal role in facilitating aggregation and the construction of a representative agent, thereby enhancing the comprehensibility and applicability of the model.
Our construction also accommodates distinct values of ϕ m , ϕ g , and ϕ b . Recognizing that investors may know more about the distribution of some assets than others, we employ ϕ i to govern the degree of ambiguity aversion. This approach enables a systematic examination of how these ϕ i values influence both the optimal weightings and resultant utility levels.
Therefore, the HJB equation for Equation (12) is
sup π 1 , π 2 , π 3 inf e m , e g , e b ( e m ) 2 2 Ψ m J t + ( θ m r + π 1 λ 1 σ 1 2 + π 2 λ 1 σ 1 σ 2 ρ 12 + π 3 λ 1 σ 1 σ 3 ρ 13 ( π 1 σ 1 + π 2 σ 2 ρ 12 + π 3 σ 3 ρ 13 ) e m ) x J x + 1 2 ( π 1 σ 1 + π 2 σ 2 ρ 12 + π 3 σ 3 ρ 13 ) 2 x 2 J x x + ( θ g r + π 2 λ g σ 2 2 1 ρ 12 2 π 2 σ 2 1 ρ 12 2 e g ) y J y + 1 2 π 2 2 σ 2 2 ( 1 ρ 12 2 ) y 2 J y y + ( θ b r + π 3 λ b σ 3 2 1 ρ 13 2 π 3 σ 3 1 ρ 13 2 e b ) z J z + 1 2 π 3 2 σ 3 2 ( 1 ρ 13 2 ) z 2 J z z + ( e m ) 2 2 Ψ m + ( e g ) 2 2 Ψ g + ( e b ) 2 2 Ψ b = 0 ,
where X m , X g , X b are denoted as x , y , z . A subsequent proposition is obtained by solving the HJB equation presented above (see Appendix A.1).
Proposition 1.
The optimal weights for solving the HJB Equation (15) are given by
π 1 * = λ 1 1 α m + ϕ m σ 2 σ 1 ρ 12 π 2 * σ 3 σ 1 ρ 13 π 3 * , π 2 * = λ g 1 ρ 12 2 ( 1 α g + ϕ g ) , π 3 * = λ b 1 ρ 13 2 ( 1 α b + ϕ b ) .
The value function can be expressed as
J ( X , t ) = X m α m α m X g α g α g X b α b α b exp ( b ( T t ) ) ,
where
b = 1 2 λ 1 2 σ 1 2 α m 1 α m + ϕ m + 1 2 λ g 2 σ 2 2 α g 1 α g + ϕ g + 1 2 λ b 2 σ 3 2 α b 1 α b + ϕ b + ( θ m α m + θ g α g + θ b α b ) r .
The optimal wealth process is therefore
d W t W t = ( r + λ 1 2 σ 1 2 1 α m + ϕ m + λ g 2 σ 2 2 1 α g + ϕ g + λ b 2 σ 3 2 1 α b + ϕ b ) d t + λ 1 σ 1 1 α m + ϕ m d z m + λ g σ 2 1 α g + ϕ g d z g + λ b σ 3 1 α b + ϕ b d z b .
Remark 1.
1.
As shown in Appendix A.1, if we do not specify Ψ i = ϕ i α i J , the optimal weights are
π 1 * = λ 1 J x Ψ m x ( J x ) 2 x J x x σ 2 σ 1 ρ 12 π 2 * σ 3 σ 1 ρ 13 π 3 * , π 2 * = λ g 1 ρ 12 2 J y Ψ g y ( J y ) 2 y J y y , π 3 * = λ b 1 ρ 13 2 J z Ψ b z ( J z ) 2 z J z z .
To elaborate, if we were to assume constant values for Ψ i , then the optimal weights would be contingent on the state variables X m , X g , and X b . However, to maintain homotheticity, we introduce a modification by setting Ψ i = ϕ i α i J . This adjustment ensures that the optimal weights are independent of variations in the state variables X m , X g , and X b .
2.
It is interesting to see that ambiguity aversion parameters act similarly to risk aversion parameters in the representation of the optimal weights. This is not new, as highlighted by Maenhout (2006) for the CRRA utility. This observation is important for our multi-attribute utility, as it conveys the notion that investors might, consciously or not, exchange risk aversion for ambiguity aversion and vice versa. This provides yet another motivation for the validity of a multi-attribute utility, that is, a utility that allows for different risk aversions for different sources of risk.
3.
While an investor characterized by the utility function
u ( X m , X g , X b ) = ( X m ) α m ϕ m α m ϕ m ( X g ) α g ϕ g α g ϕ g ( X b ) α b ϕ b α b ϕ b and lacking ambiguity aversions would yield the same optimal weights as an ambiguity-averse investor, it is essential to highlight that the indirect utility functions do not align. Consequently, these two scenarios do not constitute the same utility problem. In this instance, we have a b of
b = 1 2 λ 1 2 σ 1 2 α m ϕ m 1 α m + ϕ m + 1 2 λ g 2 σ 2 2 α g ϕ g 1 α g + ϕ g + 1 2 λ b 2 σ 3 2 α b ϕ b 1 α b + ϕ b + ( θ m ( α m ϕ m ) + θ g ( α g ϕ g ) + θ b ( α b ϕ b ) ) r
different to that of Equation (17).

4. Analysis of Suboptimal Strategies

Investors may at times adopt suboptimal strategies for various reasons. A frequent rationale for such decisions is the absence of sufficient knowledge to construct an optimal strategy. In our context, for instance, an investor might have varying degrees of ambiguity aversion toward their green and brown stocks. However, owing to the lack of requisite knowledge to formulate an optimal solution, they opt for a strategy that does not account for robustness. Consequently, the resulting asset allocations for the investor are suboptimal, leading to a reduction in overall utility.
More formally, given portfolio weights π s = ( π 1 s , π 2 s , π 3 s ) representing a suboptimal strategy, let us represent the value function obtained from such a suboptimal strategy as J s . This is
J s ( X , t ) = inf e ε [ t , T ] E t P e t T ( e τ m ) 2 2 Ψ m ( τ , X τ ) + ( e τ g ) 2 2 Ψ g ( τ , X τ ) + ( e τ b ) 2 2 Ψ b ( τ , X τ ) d τ + w e ( X , t ; π s ) t T .
It is evident that J s J , indicating a suboptimal level of satisfaction for the investor stemming from the application of a suboptimal strategy, as demonstrated in the following proposition (see Appendix A.2).
Proposition 2.
The value function for the investor employing a suboptimal strategy π s = ( π 1 s , π 2 s , π 3 s ) is given by
J s ( X , t ) = X m α m α m X g α g α g X b α b α b exp ( b s ( T t ) ) ,
where
b s = ( θ m r + π 1 s λ 1 σ 1 2 + π 2 s λ 1 σ 1 σ 2 ρ 12 + π 3 s λ 1 σ 1 σ 3 ρ 13 ) α m + 1 2 ( π 1 s σ 1 + π 2 s σ 2 ρ 12 + π 3 s σ 3 ρ 13 ) 2 α m ( α m 1 ) + ( θ g r + π 2 s λ g σ 2 2 1 ρ 12 2 ) α g + 1 2 ( π 2 s ) 2 σ 2 2 ( 1 ρ 12 2 ) α g ( α g 1 ) + ( θ b r + π 3 s λ b σ 3 2 1 ρ 13 2 ) α b + 1 2 ( π 3 s ) 2 σ 3 2 ( 1 ρ 13 2 ) α b ( α b 1 ) ϕ m 2 ( π 1 s σ 1 + π 2 s σ 2 ρ 12 + π 3 s σ 3 ρ 13 ) 2 α m ϕ g 2 ( π 2 s ) 2 σ 2 2 ( 1 ρ 12 2 ) α g ϕ b 2 ( π 3 s ) 2 σ 3 2 ( 1 ρ 13 2 ) α b .
The suboptimal wealth process W t s follows
d W t s W t s = ( r + π 1 s λ 1 σ 1 2 + π 2 s λ 1 σ 1 σ 2 ρ 12 + π 2 s λ g σ 2 2 1 ρ 12 2 + π 3 s λ 1 σ 1 σ 3 ρ 13 + π 3 s λ b σ 3 2 1 ρ 13 2 ) d t + ( π 1 s σ 1 + π 2 s σ 2 ρ 12 + π 3 s σ 3 ρ 13 ) d z m + π 2 s σ 2 1 ρ 12 2 d z g + π 3 s σ 3 1 ρ 13 2 d z b
There are three choices of suboptimal strategies that are meaningful to an investor.
  • First, we introduce the unintentionally unambiguous investor (UUI). This investor employs suboptimal strategies arising from a lack of model uncertainty. The investor chooses such a strategy not because of its lack of uncertainty but rather because of a lack of knowledge of a better/optimal solution. That is, if investors care about model uncertainty, yet they do now know how to generate and handle alternative models, they will suffer from utility loss by employing suboptimal strategies. They mistakenly choose the model with ϕ m = ϕ g = ϕ b = 0 , and employ the suboptimal strategy:
    π 1 s = λ 1 1 α m σ 2 σ 1 ρ 12 π 2 s σ 3 σ 1 ρ 13 π 3 s , π 2 s = λ g 1 ρ 12 2 ( 1 α g ) , π 3 s = λ b 1 ρ 13 2 ( 1 α b ) .
    Let us denote the corresponding value function as J ( s , U U I ) .
  • The second case of interest is a sophisticated investor who is ambiguity-averse and capable of accommodating different levels of ambiguity aversion per source of risk (e.g., Branger and Larsen 2013; Wang and Uppal 2002). We denoted it as ‘SAI’. Nonetheless, the investor does not know about multi-attribute utilities or the possibility of further accommodating preferences for green and brown sources of risk. Therefore, this investor considers α g = α b = α m = α , with the corresponding suboptimal strategy:
    π 1 s = λ 1 1 α + ϕ m σ 2 σ 1 ρ 12 π 2 s σ 3 σ 1 ρ 13 π 3 s , π 2 s = λ g 1 ρ 12 2 ( 1 α + ϕ g ) , π 3 s = λ b 1 ρ 13 2 ( 1 α + ϕ b ) .
    The corresponding value function is denoted J ( s , S A I ) . Needless to say, the suboptimal strategy described above is optimal for non-multi-attribute CRRA utility.
  • Thirdly, we explore a scenario in which an investor excludes the brown asset from its portfolio. This type of investor actively avoids exposure to the brown risk and focuses solely on investing in the market index and the green asset. However, they rigorously address the robust portfolio optimization problem in line with their specific risk preferences and ambiguity aversions. Given π 3 = 0 , the suboptimal strategy is
    π 1 s = λ 1 1 α m + ϕ m σ 2 σ 1 ρ 12 π 2 * , π 2 s = λ g 1 ρ 12 2 ( 1 α g + ϕ g ) , π 3 s = 0 .
    We categorize this type of investor as a ‘selectively brown-avoidant investor’ and denote the associated value function as J ( s , S B I ) .
Next, we will introduce two measures to assess the losses that a suboptimal investor could suffer, either in satisfaction or money, due to acting suboptimally.

4.1. Percentage Loss in Satisfaction

We first create a measure to compute the loss to the investor by working directly with the reduction in the level of satisfaction, as measured by the value function.
This is, assuming a value function J s from using a suboptimal strategy and the value function from the optimal strategy as J, we define the percentage loss in satisfaction (PLS) as follows:
R = J s J J s .
Note that R reaches its minimum value, R = 0 , only when the suboptimal strategy is optimal. As the suboptimal strategy underperforms, resulting in a decrease in J s , the value of R approaches 100% (indicating a complete loss). Therefore, we can define R within the range of [ 0 , 1 ) , where smaller values of R signify poorer performance of the suboptimal strategy when compared to the optimal strategy.
The fact that J and J s are all closed-form for the cases described in the previous section indicates that this percentage can be easily computed in the closed form:
R = 1 exp { ( b b s ) T } .

4.2. Green Wealth Equivalent Loss

We introduce the concept of Green-Index Wealth Equivalent Loss (GWEL) and explore the impact of suboptimal strategies. We define GWEL as a scalar q that satisfies the following equation:
J ( X m , X g ( 1 q ) , X b , 0 ) = J s ( X m , X g , X b , 0 ) .
Notably, GWEL closely resembles the conventional definition of WEL. Specifically, WEL can be defined as the value of q for which J ( W ( 1 q ) , 0 ) = J s ( W , 0 ) . In our context, parameter q signifies the percentage-wise reduction in the Green Index’s value that the optimal investor can tolerate while maintaining the same level of satisfaction as the suboptimal investor. This interpretation directly quantifies the degree to which the optimal portfolio deviates from a ‘green’ allocation to emulate the suboptimal choices made by investors.
As before, given that J and J s are closed-form for the cases described in the previous section, the GWEL is given in closed form as follows:
q = 1 exp ( b s b ) T α g .

5. Empirical Analyses

For empirical analysis, we used ESG ratings from the RepRisk database. This involved converting RepRisk Rating (RRR) scores into integers ranging from 1 (D) to 10 (AAA). We calculated the average RRR score to evaluate a company’s ESG performance from 2010 to 2020. Without loss of generality, we classified the top 10 U.S. companies with the highest average RRR scores as ‘green companies’ and identified the bottom 10 companies with the lowest scores as ‘brown companies’.
For benchmark purposes, we also determined the average RRR score for the entire U.S. market portfolio. This was achieved by computing the mean of the average RRR scores across all U.S. companies, resulting in an average RRR score of 7.3 for the entire U.S. market portfolio.
In our study, we present two illustrative examples, both employing the S&P 500 as our chosen index. The first example serves as the basis for the empirical analysis in this section, while the second is included in Appendix B as supplementary material. Considering data availability and consistency, we select two pairs of stocks for our analysis. The first pair consists of IDT Corp. (IDT), Newark, U.S., representing the green company, and Walmart Inc. (WMT), Bentonville, United States, representing the brown company. The second pair comprises Shenandoah Telecommunications Company (Shenandoah), Edinburg, United States as the green company and DuPont de Nemours, Inc. (DuPont), Wilmington, USA as the brown company.
We utilized Python for data retrieval, data processing, parameter estimations, and graph plotting. Table 1 provides a comprehensive overview of the parameters employed in our model for the two cases. These parameters were estimated on a monthly basis, using data from 2010 to 2020. To calculate the risk-free rate, we took the average of the monthly yields of the 3-month Treasury bills issued by the U.S. government during this time frame, resulting in a rate of 0.045%.
For consistency, our empirical analysis adopts a uniform time horizon of 10 years. Furthermore, we have set the risk aversion parameters at the following values: α m = 4 , α g = 2 , and α b = 6 .

5.1. Optimal Weights

We examined the impact of ambiguity aversion parameters on the optimal weights and compared these robust optimal weights with the optimal weights without uncertainty consideration. Figure 1 depicts the drastic changes in portfolio allocation when we account for ambiguity aversion. In all three sub-figures, the weights of all stocks are significantly reduced, indicating increased investments in the risk-free asset. This result is not surprising, as investors would turn to safer assets when they begin considering the worst case of their investments. We can also observe that as one of the three ambiguity aversion parameters increases (green, for example), the weight of green stock also decreases. It is natural for investors to invest less in an asset if they do not trust the probabilistic model of that asset. However, market weight increased as green or brown ambiguity aversion increased. This is because the total weight of the three stocks is less sensitive to green and brown ambiguity aversion than the weight of green and brown stocks. As a result, the market weight increases to compensate for the decrease in green or brown investments. In other words, the total weight is mostly influenced by market ambiguity aversion, and the green or brown weight is influenced by green or brown ambiguity aversion.

5.2. Detection Error Probabilities

When investors discriminate between the reference and alternative models, two types of errors are possible for a sample of length N: choosing the alternative model when the reference model is correct, with probability p 1 N , and choosing the reference model when the alternative model is correct, with probability p 2 N . We weight these errors by assigning prior probabilities of one-half to each model and denote the detection error probability as ε N :
ε N ( ϕ m , ϕ g , ϕ b ) = 0.5 p 1 N + 0.5 p 2 N .
Following the notation in Equation (2), the log-likelihood ratio is formed as N = log Λ N e with e replaced by e * , that is,
N = 0 N e τ , d z τ + 1 2 | | e τ | | 2 d τ ,
where e * are obtained by combining Equations (A1), (16), and (17):
( e m ) * = λ 1 σ 1 ϕ m 1 α m + ϕ m ( e g ) * = λ g σ 2 ϕ g 1 α g + ϕ g ( e b ) * = λ b σ 3 ϕ b 1 α b + ϕ b .
Then, we have p 1 N = Pr ( N > 0 P , F 0 ) and p 2 N = Pr ( N < 0 P e , F 0 ) . We observe that N follows a normal distribution with a mean of 1 2 | | e * | | 2 N and a variance of | | e * | | 2 N . Thus, we have
ε N ( ϕ m , ϕ g , ϕ b ) = Pr ( Φ > 1 2 | | e * | | N )
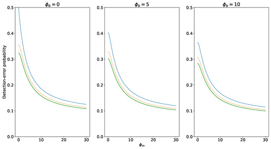
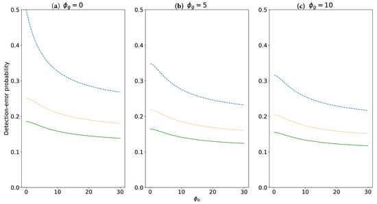
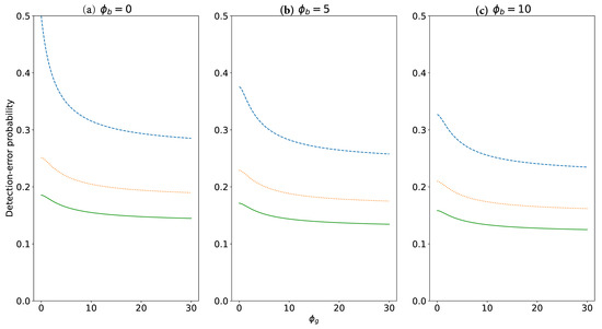
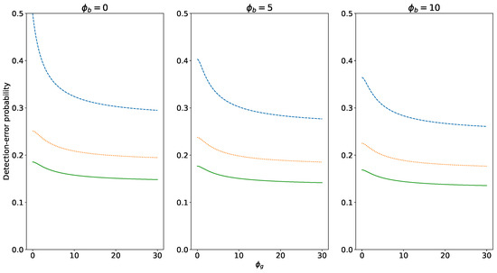
where Φ follows a standard normal distribution. In the IDT and Walmart case, for the parameters in Table 1, N = 120 , and specifying α m = 4 , α g = 2 , α b = 6 , we have Figure 2, Figure 3 and Figure 4. These three figures depict the relationship between the detection error probability and one of the ambiguity aversion parameters, while the other two parameters are set to be 0 , 5 , 10 . In alignment with our speculation, as ambiguity aversion parameters increase, investors can better discern between reference and alternative models. Consequently, the probability of making a mistake decreases.
We can readily observe that ϕ m exerts the most substantial influence on the detection error probability. A comparative analysis of Figure 2, Figure 3 and Figure 4 reveals that an increase in ϕ m has the greatest impact on the detection error probability. This is evident as Figure 2 exhibits a more pronounced curvature than Figure 3 and Figure 4. Moreover, the detection error probability reaches its peak when ϕ m = 0 in all three figures.
Taking a closer look at the green curves in Figure 2c ( ϕ g = 10 , ϕ b = 10 ), Figure 3c ( ϕ m = 10 , ϕ b = 10 ), and Figure 4c ( ϕ m = 10 , ϕ g = 10 ), we can discern noteworthy distinctions. Specifically, the green curve in Figure 2c significantly deviates from its counterparts, resulting in a notably higher detection error probability when ϕ m = 0 , ϕ g = 10 , ϕ b = 10 , approaching approximately 0.25. This is in stark contrast to the other two figures, where the detection error probability is approximately 0.15. Consequently, we conclude that green and brown stocks introduce more significant uncertainty. This is substantiated by the observation that when the investor possesses certainty about the market index ( ϕ m = 0 ), the detection error probability is higher than in scenarios where the investor has certainty about the green stock ( ϕ g = 0 ) or the brown stock ( ϕ b = 0 ).
In general, an increase in ambiguity aversion levels leads to a reduction in the detection error probability, enabling investors to better differentiate between reference and alternative models. This heightened discernment translates into a lower likelihood of making errors in model selection, thereby minimizing potential losses. The ensuing Section 5.3 delves into a detailed analysis of these diminished losses. Nonetheless, our investigation underscores that the uncertainty introduced by green and brown stocks remains resilient, even with heightened ambiguity aversion. Illustrated in Figure 2, when fixing ϕ m = 0 , investors face approximately a 30% probability of making errors in discerning between reference and alternative models, irrespective of their ambiguity aversions towards green and brown stocks. Notably, the ambiguity aversion towards the market plays the most pivotal role in this discrimination between reference and alternative models.
Following the convention in Anderson et al. (2003), we are concerned with detection error probabilities larger than 0.1, in which case the investor has difficulty discerning the alternative model and the reference model. This explains why we chose ambiguity aversion parameters less than 10 in the previous section. In a later analysis, we will also confine the ambiguity aversion parameters to be less than 14 to ensure that the error detection probability is larger than 0.1 in all cases.

5.3. Suboptimal Loss Analysis

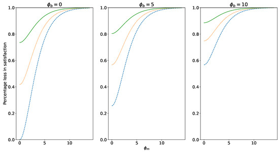
In this section, we present a comprehensive analysis of the percentage loss or reduction in satisfaction (PLS) and GWEL across the UUI, SAI, and SBI scenarios, maintaining a consistent temporal horizon of T = 120 months.
First, let us focus on the UUI case illustrated in Figure 5, which shows the percentage reduction in satisfaction. As expected, UUI investors witness a pronounced decline in satisfaction as ambiguity aversion parameters escalate, aligning with the relation
b b s = 1 2 λ 1 2 σ 1 2 α m ( 1 α m ) 2 ϕ m 2 1 α m + ϕ m + 1 2 λ g 2 σ 2 2 α g ( 1 α g ) 2 ϕ g 2 1 α g + ϕ g + 1 2 λ b 2 σ 3 2 α b ( 1 α b ) 2 ϕ b 2 1 α b + ϕ b .
The heightened PLS can be attributed to any of the three ambiguity aversion parameters. Notably, ϕ m exerts the most significant influence. As clearly depicted in the figures, when ϕ m = 10 , there is a nearly 100% higher loss in satisfaction compared to ϕ m = 0 , while maintaining ϕ g and ϕ b at 0. However, the influence of ϕ m diminishes as the other two parameters increase. For instance, when ϕ g = 10 and ϕ b = 10 , a change in ϕ m only results in a 10% variation in the PLS. The loss in satisfaction reaches its zenith, nearly touching the 100% mark, when all three parameters are set to 10. It is also evident that PLS is more significantly impacted when any parameter increases from 0 to 5 compared to when it increases from 5 to 10. Beyond a value of 10, the effect becomes negligible.
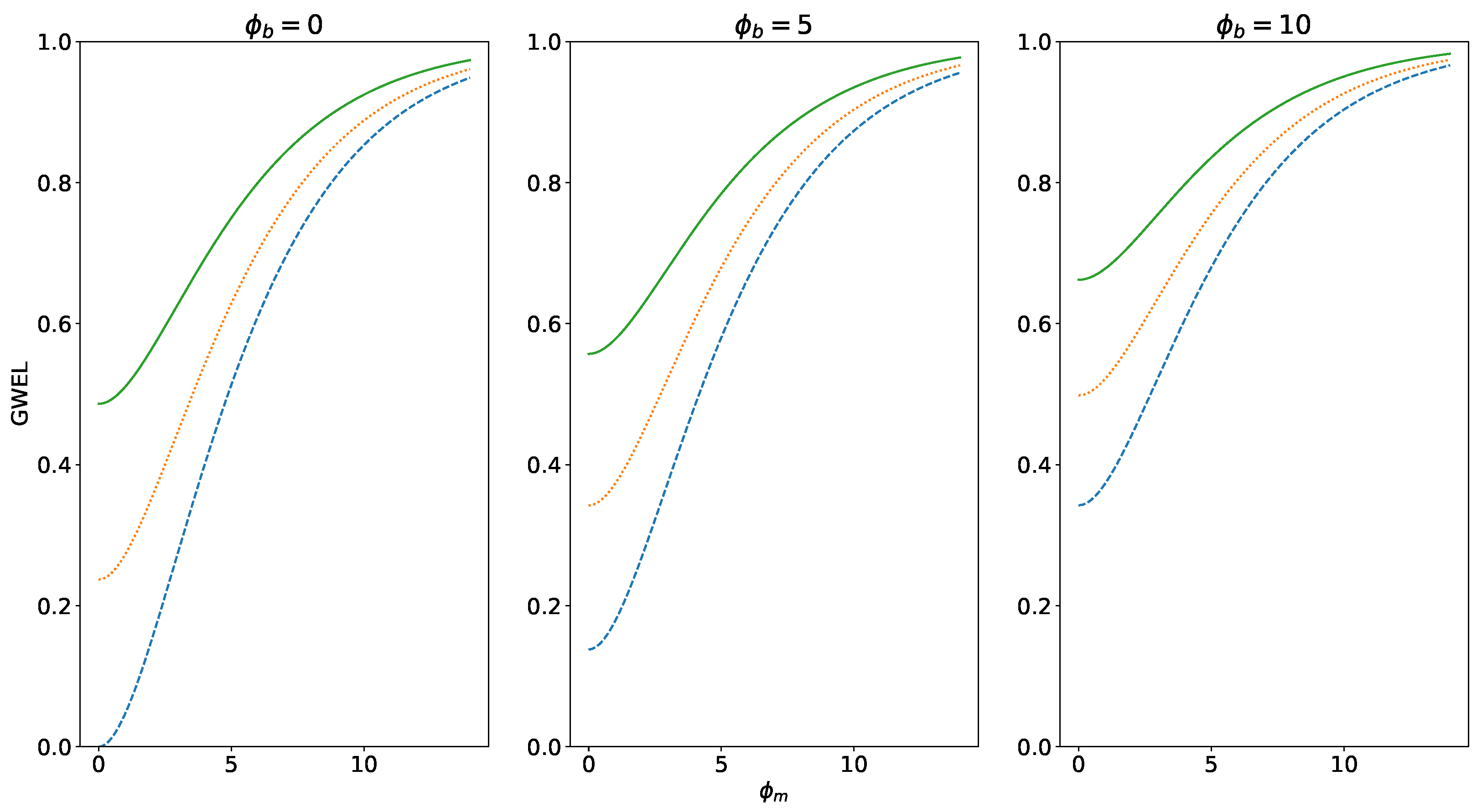
Turning our attention to Figure 6, we investigate the variations in GWEL as ambiguity aversion parameters fluctuate over a ten-year duration in the UUI context. Notably, when all three ambiguity aversion parameters are set to 10, a staggering 95% loss is observed in the green index. This significant loss emerges because of the simultaneous increments in all three ambiguity aversion parameters. However, it is crucial to highlight that the escalation of GWEL is also more pronounced as ambiguity aversion parameters rise from 5 to 10 compared to the increase from 0 to 5. This underscores the heightened sensitivity of GWEL to investors with higher ambiguity aversion parameters. These findings are consistent with our model, emphasizing the need to incorporate uncertainty into portfolio optimization.
Now, transitioning to the SAI case, we can discern from Figure 7 and Figure 8 that both the percentage reduction in satisfaction and GWEL remain impervious to changes in the market ambiguity aversion parameter ϕ m . However, an increase in either ϕ g or ϕ b leads to a decrease in both the percentage reduction in satisfaction and GWEL. This outcome is markedly different from the results of the UUI scenario. Notably, the solid green lines in Figure 7 and Figure 8 occupy lower positions, in contrast to the dashed blue lines in Figure 5 and Figure 6. This result is not surprising, as in the case of SAI,
b b s = 1 2 λ g 2 σ 2 2 α g ( α m α g ) ( 1 α m + ϕ g ) 2 + 1 2 λ b 2 σ 3 2 α b ( α m α b ) ( 1 α m + ϕ b ) 2 ,
independent of ϕ m . Moreover, it is worth emphasizing that the overall reduction in satisfaction is substantially smaller than that in the UUI case. The maximum loss is 22% when ϕ g = ϕ b = 0 .
Finally, when examining the SBI scenario, we find that both PLS and GWEL are exclusively influenced by ϕ b , as shown in Figure 9 and Figure 10. This result arises from the fact that
b b s = 1 2 λ b 2 σ 3 2 α b 1 α b + ϕ b .
It is worth noting that augmenting ϕ b decreases both PLS and GWEL, resulting in a 30% reduction in PLS and a 20% reduction in GWEL when ϕ b increases from 0 to 10. Furthermore, the SBI scenario occupies an intermediary position between UUI and SAI in terms of loss. The maximum loss is 62% when ϕ b = 0 .
These analyses of UUI, SAI, and SBI investors underscore the pivotal role of ambiguity aversion in financial decision-making. It emphasizes the necessity for investors to transparently communicate their risk preferences and ambiguity aversions to avoid selecting suboptimal models that could result in substantial losses. Investors characterized by higher ambiguity aversion levels should be particularly vigilant about their portfolio positions, given the potential for greater losses when deviating from optimal choices. This suggests a need for more frequent portfolio rebalancing. For asset managers, aligning their models with clients’ ambiguity aversion becomes critical. Effective communication and a comprehensive approach to measuring ambiguity aversion are imperative for the success of asset managers aiming for ESG objectives. Despite the growing significance of ESG considerations, these findings emphasize the importance of ESG education for investors and the necessity of fostering an open and efficient environment for communication regarding ESG investing.

6. Conclusions

This study bridges the gap between the well-established concept of ambiguity aversion in portfolio choice and the increasingly relevant field of environmental, social, and corporate governance (ESG) investing. It extends the existing literature by introducing ESG ambiguity aversions into the portfolio choice problem within a multivariate utility framework. We address the ambiguity aversion of an investor who can allocate resources to a risk-free asset, a market index, a green stock, and a brown stock. The robust control approach employed, which is based on relative entropy, allows us to derive optimal investment strategies and investigate the effects of ambiguity in the ESG context.
This study makes several significant contributions. First, it demonstrates the substantial impact of ambiguity on optimal trading strategies, highlighting the differential effects on market, green, and brown assets. Plausible levels of ambiguity significantly alter optimal strategies, with potential changes exceeding 50%. Second, the study provides insights into the comparative behavior of ambiguity-averse and non-ambiguity investors. Ambiguity-averse investors exhibit less aggressive risk exposure and reduced short-selling positions. Finally, the paper quantifies the welfare loss incurred by investors who neglect model uncertainty, revealing substantial financial costs amounting to nearly 100% for empirically relevant parameter values. Our findings about the impact of uncertainty are corroborated by two measures of performance (i.e., PLS and GWEL) and two case studies, each involving a green, brown, and market index. Moreover, this research highlights the importance of transparent communication regarding risk preferences and ambiguity aversions for both investors and asset managers. Advocating ESG education can enhance the effectiveness of this communication, thereby reducing the risk of substantial losses resulting from suboptimal strategies.
There are avenues for further exploration in our study. For instance, the inclusion of jumps, stochastic volatility, or stochastic correlation in our model could better capture extreme shifts in asset prices, particularly post-2020.
In summary, this study enriches the understanding of ambiguity aversion in the context of ESG-integrated portfolio optimization by emphasizing the nuanced impact of ESG ambiguity aversion and its potential welfare implications. This conveys valuable insights to investors, asset managers, and policymakers seeking to navigate the evolving landscape of responsible and sustainable investing. The integration of ESG criteria into the analysis of ambiguity aversion represents an original and vital contribution to the ongoing discourse in the field of finance.

Author Contributions

Methodology, M.E.-A. and Y.J.; Software, Y.J.; Validation, M.E.-A. and Y.J.; Formal analysis, M.E.-A. and Y.J.; Investigation, M.E.-A. and Y.J.; Data curation, M.E.-A. and Y.J.; Writing original draft, M.E.-A. and Y.J.; Writing review and editing, M.E.-A. and Y.J.; Visualization, Y.J. All authors have read and agreed to the published version of the manuscript.

Funding

This research received no external funding.

Data Availability Statement

The ESG ratings of the companies used in our empirical analysis were obtained from the RepRisk ESG Dataset. For additional information, please refer to the website: https://www.reprisk.com/ (accessed on 12 April 2023).

Conflicts of Interest

The authors declare no conflicts of interest.

Appendix A. Proofs

Appendix A.1. Proof of Proposition 1

Solving the infimization problem in Equation (15), we obtain
( e m ) * = Ψ m x J x ( π 1 σ 1 + π 2 σ 2 ρ 12 + π 3 σ 3 ρ 13 ) ( e g ) * = Ψ g y J y π 2 σ 2 1 ρ 12 2 ( e b ) * = Ψ z z J z π 3 σ 3 1 ρ 13 2 .
Substituting Equation (A1) into the HJB Equation (15), J satisfies
sup π 1 , π 2 , π 3 Ψ g 2 J t + ( θ m r + π 1 λ 1 σ 1 2 + π 2 λ 1 σ 1 σ 2 ρ 12 + π 3 λ 1 σ 1 σ 3 ρ 13 ) x J x + 1 2 ( π 1 σ 1 + π 2 σ 2 ρ 12 + π 3 σ 3 ρ 13 ) 2 x 2 J x x + ( θ g r + π 2 λ g σ 2 2 1 ρ 12 2 ) y J y + 1 2 π 2 2 σ 2 2 ( 1 ρ 12 2 ) y 2 J y y + ( θ b r + π 3 λ b σ 3 2 1 ρ 13 2 ) z J z + 1 2 π 3 2 σ 3 2 ( 1 ρ 13 2 ) z 2 J z z Ψ m 2 ( π 1 σ 1 + π 2 σ 2 ρ 12 + π 3 σ 3 ρ 13 ) 2 x 2 ( J x ) 2 Ψ g 2 π 2 2 σ 2 2 ( 1 ρ 12 2 ) y 2 ( J y ) 2 Ψ b 2 π 3 2 σ 3 2 ( 1 ρ 13 2 ) z 2 ( J z ) 2 = 0 .
Solving for π 1 , π 2 , π 3 in the above equation, the optimal weights have the form
π 1 * = λ 1 J x Ψ m x ( J x ) 2 x J x x σ 2 σ 1 ρ 12 π 2 * σ 3 σ 1 ρ 13 π 3 * , π 2 * = λ g 1 ρ 12 2 J y Ψ g y ( J y ) 2 y J y y , π 3 * = λ b 1 ρ 13 2 J z Ψ b z ( J z ) 2 z J z z .
Given the linearity of the HJB, we assume that J has the form of J = x α m α m y α g α g z α b α b exp ( b ( T t ) ) , together with Equation (14), we obtain
0 = sup π 1 , π 2 , π 3 Ψ g 2 b + ( θ m r + π 1 λ 1 σ 1 2 + π 2 λ 1 σ 1 σ 2 ρ 12 + π 3 λ 1 σ 1 σ 3 ρ 13 ) α m + 1 2 ( π 1 σ 1 + π 2 σ 2 ρ 12 + π 3 σ 3 ρ 13 ) 2 α m ( α m 1 ) + ( θ g r + π 2 λ g σ 2 2 1 ρ 12 2 ) α g + 1 2 π 2 2 σ 2 2 ( 1 ρ 12 2 ) α g ( α g 1 ) + ( θ b r + π 3 λ b σ 3 2 1 ρ 13 2 ) α b + 1 2 π 3 2 σ 3 2 ( 1 ρ 13 2 ) α b ( α b 1 ) ϕ m 2 ( π 1 σ 1 + π 2 σ 2 ρ 12 + π 3 σ 3 ρ 13 ) 2 α m ϕ g 2 π 2 2 σ 2 2 ( 1 ρ 12 2 ) α g ϕ b 2 π 3 2 σ 3 2 ( 1 ρ 13 2 ) α b ,
Again, solving for π 1 , π 2 , π 3 in the above equation, we obtain the optimal weights
π 1 * = λ 1 1 α m + ϕ m σ 2 σ 1 ρ 12 π 2 * σ 3 σ 1 ρ 13 π 3 * , π 2 * = λ g 1 ρ 12 2 ( 1 α g + ϕ g ) , π 3 * = λ b 1 ρ 13 2 ( 1 α b + ϕ b ) .
Substituting the optimal weights back into Equation (A4), we obtain
J ( X , t ) = X m α m α m X g α g α g X b α b α b exp ( b ( T t ) ) ,
where
b = 1 2 λ 1 2 σ 1 2 α m 1 α m + ϕ m + 1 2 λ g 2 σ 2 2 α g 1 α g + ϕ g + 1 2 λ b 2 σ 3 2 α b 1 α b + ϕ b + ( θ m α m + θ g α g + θ b α b ) r .
In addition, substituting the optimal weights back into Equation (5), the optimal wealth process is given as
d W t W t = ( r + λ 1 2 σ 1 2 1 α m + ϕ m + λ g 2 σ 2 2 1 α g + ϕ g + λ b 2 σ 3 2 1 α b + ϕ b ) d t + λ 1 σ 1 1 α m + ϕ m d z m + λ g σ 2 1 α g + ϕ g d z g + λ b σ 3 1 α b + ϕ b d z b .

Appendix A.2. Proof of Proposition 2

The infimization problem for the suboptimal value function J s is
J s ( X , t ) = inf e ε [ t , T ] E t P e t T ( e τ m ) 2 2 Ψ m ( τ , X τ ) + ( e τ g ) 2 2 Ψ g ( τ , X τ ) + ( e τ b ) 2 2 Ψ b ( τ , X τ ) d τ + w e ( X , t ; π s ) t T .
J s satisfies the HJB equation
inf e m , e g , e b ( e m ) 2 2 Ψ m J t s + ( θ m r + π 1 s λ 1 σ 1 2 + π 2 s λ 1 σ 1 σ 2 ρ 12 + π 3 s λ 1 σ 1 σ 3 ρ 13 ( π 1 s σ 1 + π 2 s σ 2 ρ 12 + π 3 s σ 3 ρ 13 ) e m ) x J x s + 1 2 ( π 1 s σ 1 + π 2 s σ 2 ρ 12 + π 3 s σ 3 ρ 13 ) 2 x 2 J x x s + ( θ g r + π 2 s λ g σ 2 2 1 ρ 12 2 π 2 s σ 2 1 ρ 12 2 e g ) y J y s + 1 2 ( π 2 s ) 2 σ 2 2 ( 1 ρ 12 2 ) y 2 J y y s + ( θ b r + π 3 s λ b σ 3 2 1 ρ 13 2 π 3 s σ 3 1 ρ 13 2 e b ) z J z s + 1 2 ( π 3 s ) 2 σ 3 2 ( 1 ρ 13 2 ) z 2 J z z s + ( e m ) 2 2 Ψ m + ( e g ) 2 2 Ψ g + ( e b ) 2 2 Ψ b = 0 .
Assuming a constant π s , and J s = x α m α m y α g α g z α b α b exp ( b s ( T t ) ) , together with Equation (14), we obtain
b s = ( θ m r + π 1 s λ 1 σ 1 2 + π 2 s λ 1 σ 1 σ 2 ρ 12 + π 3 s λ 1 σ 1 σ 3 ρ 13 ) α m + 1 2 ( π 1 s σ 1 + π 2 s σ 2 ρ 12 + π 3 s σ 3 ρ 13 ) 2 α m ( α m 1 ) + ( θ g r + π 2 s λ g σ 2 2 1 ρ 12 2 ) α g + 1 2 ( π 2 s ) 2 σ 2 2 ( 1 ρ 12 2 ) α g ( α g 1 ) + ( θ b r + π 3 s λ b σ 3 2 1 ρ 13 2 ) α b + 1 2 ( π 3 s ) 2 σ 3 2 ( 1 ρ 13 2 ) α b ( α b 1 ) ϕ m 2 ( π 1 s σ 1 + π 2 s σ 2 ρ 12 + π 3 s σ 3 ρ 13 ) 2 α m ϕ g 2 ( π 2 s ) 2 σ 2 2 ( 1 ρ 12 2 ) α g ϕ b 2 ( π 3 s ) 2 σ 3 2 ( 1 ρ 13 2 ) α b .
Substituting π s = ( π 1 s , π 2 s , π 3 s ) back into Equation (5), the suboptimal wealth process W t s is given as
d W t s W t s = ( r + π 1 s λ 1 σ 1 2 + π 2 s λ 1 σ 1 σ 2 ρ 12 + π 2 s λ g σ 2 2 1 ρ 12 2 + π 3 s λ 1 σ 1 σ 3 ρ 13 + π 3 s λ b σ 3 2 1 ρ 13 2 ) d t + ( π 1 s σ 1 + π 2 s σ 2 ρ 12 + π 3 s σ 3 ρ 13 ) d z m + π 2 s σ 2 1 ρ 12 2 d z g + π 3 s σ 3 1 ρ 13 2 d z b .

Appendix B. Empirical Analysis for the Shenandoah and DuPont Case

Appendix B.1. Optimal Weights

Compared with the IDT and WMT case, the Shenandoah and DuPont case shows similar behavior but not the same results. This is because DuPont has a negative price for the risk premium and is short-sold. Nevertheless, the reasoning is the same because the increased brown ambiguity aversion would reduce investors’ risk exposure to the brown stock and, in this case, decrease the short-selling position in their portfolio. Similar to the IDT and WMT case, the decreased position is compensated by the market weight.
Figure A1. Impact of ambiguity aversion parameters on optimal weights in the Shenandoah and DuPont case.5
Figure A1. Impact of ambiguity aversion parameters on optimal weights in the Shenandoah and DuPont case.5
Risks 12 00033 g0a1

Appendix B.2. Detection Error Probabilities

Figure A2, Figure A3 and Figure A4 corroborate our speculation that as ambiguity aversion parameters increase, investors can better discern between the reference model and the alternative model. As a result, the probability of making a mistake decreases.
We also observe that ϕ m exerts the most substantial influence on the detection error probability. Figure A2 shows that increases in ϕ m have the greatest impact on the detection error probability, and Figure A2 exhibits a more pronounced curvature than Figure A3 and Figure A4.
Figure A2. Detection error probability when ϕ m , ϕ g , ϕ b changes in the Shenandoah and DuPont case. The dashed line is for ϕ g = 0 , the dotted line is for ϕ g = 5 , the solid line is for ϕ g = 10 .
Figure A2. Detection error probability when ϕ m , ϕ g , ϕ b changes in the Shenandoah and DuPont case. The dashed line is for ϕ g = 0 , the dotted line is for ϕ g = 5 , the solid line is for ϕ g = 10 .
Risks 12 00033 g0a2
Figure A3. Detection error probability when ϕ m , ϕ g , ϕ b changes in the Shenandoah and DuPont case. The dashed line is for ϕ m = 0 , the dotted line is for ϕ m = 5 , the solid line is for ϕ m = 10 .
Figure A3. Detection error probability when ϕ m , ϕ g , ϕ b changes in the Shenandoah and DuPont case. The dashed line is for ϕ m = 0 , the dotted line is for ϕ m = 5 , the solid line is for ϕ m = 10 .
Risks 12 00033 g0a3
Figure A4. Detection error probability when ϕ m , ϕ g , ϕ b changes in the Shenandoah and DuPont case. The dashed line is for ϕ m = 0 , the dotted line is for ϕ m = 5 , the solid line is for ϕ m = 10 .
Figure A4. Detection error probability when ϕ m , ϕ g , ϕ b changes in the Shenandoah and DuPont case. The dashed line is for ϕ m = 0 , the dotted line is for ϕ m = 5 , the solid line is for ϕ m = 10 .
Risks 12 00033 g0a4

Appendix B.3. Suboptimal Losses Analysis

For the UUI case illustrated in Figure A5, UUI investors witness more pronounced declines in satisfaction as the ambiguity aversion parameters escalate. This heightened PLS can be attributed to any of the three ambiguity aversion parameters, with ϕ m exerting the most substantial influence. Setting ϕ m = 10 , ϕ g = ϕ b = 0 leads to a nearly 100% higher loss in satisfaction compared to when ϕ m = ϕ g = ϕ b = 0 . Figure A6 shows a staggering 95% loss in the green index. Figure A6, while displaying a lower GWEL than Figure 6, reaffirms the heightened sensitivity of GWEL to investors with higher ambiguity aversion parameters.
Figure A5. PLS when ϕ m , ϕ g , ϕ b changes for UUI in the Shenandoah and DuPont case. The dashed line is for ϕ g = 0 , the dotted line is for ϕ g = 5 , the solid line is for ϕ g = 10 .
Figure A5. PLS when ϕ m , ϕ g , ϕ b changes for UUI in the Shenandoah and DuPont case. The dashed line is for ϕ g = 0 , the dotted line is for ϕ g = 5 , the solid line is for ϕ g = 10 .
Risks 12 00033 g0a5
Figure A6. GWEL when ϕ m , ϕ g , ϕ b changes for UUI in the Shenandoah and DuPont case. The dashed line is for ϕ g = 0 , the dotted line is for ϕ g = 5 , the solid line is for ϕ g = 10 .
Figure A6. GWEL when ϕ m , ϕ g , ϕ b changes for UUI in the Shenandoah and DuPont case. The dashed line is for ϕ g = 0 , the dotted line is for ϕ g = 5 , the solid line is for ϕ g = 10 .
Risks 12 00033 g0a6
For the SAI case, Figure A7 and Figure A8 show that ϕ m does not affect PLS and GWEL. However, it is worth emphasizing that the overall satisfaction reduction is substantially smaller than that in the UUI case.
Figure A7. PLS when ϕ m , ϕ g , ϕ b changes for SAI in the Shenandoah and DuPont case. The dashed line is for ϕ g = 0 , the dotted line is for ϕ g = 5 , the solid line is for ϕ g = 10 .
Figure A7. PLS when ϕ m , ϕ g , ϕ b changes for SAI in the Shenandoah and DuPont case. The dashed line is for ϕ g = 0 , the dotted line is for ϕ g = 5 , the solid line is for ϕ g = 10 .
Risks 12 00033 g0a7
Figure A8. GWEL when ϕ m , ϕ g , ϕ b changes for SAI in the Shenandoah and DuPont case. The dashed line is for ϕ g = 0 , the dotted line is for ϕ g = 5 , the solid line is for ϕ g = 10 .
Figure A8. GWEL when ϕ m , ϕ g , ϕ b changes for SAI in the Shenandoah and DuPont case. The dashed line is for ϕ g = 0 , the dotted line is for ϕ g = 5 , the solid line is for ϕ g = 10 .
Risks 12 00033 g0a8
When examining the SBI scenario, both PLS and GWEL are exclusively influenced by ϕ b , as shown in Figure A9 and Figure A10. The SBI scenario occupies an intermediary position between UUI and SAI in terms of loss.
Figure A9. PLS when ϕ m , ϕ g , ϕ b changes for SBI in the Shenandoah and DuPont case. The solid line is for ϕ g = 0 , ϕ g = 5 , and also for ϕ g = 10 .
Figure A9. PLS when ϕ m , ϕ g , ϕ b changes for SBI in the Shenandoah and DuPont case. The solid line is for ϕ g = 0 , ϕ g = 5 , and also for ϕ g = 10 .
Risks 12 00033 g0a9
Figure A10. GWEL when ϕ m , ϕ g , ϕ b changes for SBI in the Shenandoah and DuPont case. The solid line is for ϕ g = 0 , ϕ g = 5 , and also for ϕ g = 10 .
Figure A10. GWEL when ϕ m , ϕ g , ϕ b changes for SBI in the Shenandoah and DuPont case. The solid line is for ϕ g = 0 , ϕ g = 5 , and also for ϕ g = 10 .
Risks 12 00033 g0a10

Notes

1
Denoting the return of the wealth process as μ and the three volatilities as σ i for i = 1 , 2 , 3 , the proportions π i , i = 1 , 2 , 3 must satisfy that μ W t is an L 1 -process and that σ i W t is an L 2 -process for each i = 1 , 2 , 3 .
2
For simplicity we will take θ m = 1 , θ g = 0 , θ b = 0 in the numerical section; this has the interpretation of treating the cash account as part of the market portfolio, ideally these weights should be related to the ESG rating of the source of this cash.
3
Parameter estimations for the empirical analysis involved computations for the standard deviation ( σ ), correlation ( ρ ), and risk premium factor ( λ ). These estimations were derived from monthly data on the adjusted close price of each asset spanning the period from 2010 to 2020. Additionally, the average RepRisk Rating (RRR) scores were determined by calculating the mean of the monthly RRR scores over the same time frame.
4
In each figure, one ambiguity aversion changes, and the other two are set to 10. The robust optimal weights (solid curves) are compared with the optimal weights without uncertainty consideration (dashed curves).
5
In each figure, one parameter changes, and the other two are set to be equal to 10. The robust optimal weights are compared with the optimal weights without uncertainty consideration.

References

  1. Ahmed, Muhammad Farid, Yang Gao, and Stephen Satchell. 2021. Modeling demand for esg. The European Journal of Finance 27: 1669–83. [Google Scholar] [CrossRef]
  2. Anderson, Evan W., Lars Peter Hansen, and Thomas J. Sargent. 2003. A quartet of semigroups for model specification, robustness, prices of risk, and model detection. Journal of the European Economic Association 1: 68–123. [Google Scholar] [CrossRef]
  3. Bermejo Climent, Ramón, Isabel Figuerola-Ferretti Garrigues, Ioannis Paraskevopoulos, and Alvaro Santos. 2021. Esg disclosure and portfolio performance. Risks 9: 172. [Google Scholar] [CrossRef]
  4. Blanchard, Olivier J., Robert Shiller, and Jeremy J. Siegel. 1993. Movements in the equity premium. Brookings Papers on Economic Activity 1993: 75–138. [Google Scholar] [CrossRef]
  5. Branger, Nicole, and Linda Sandris Larsen. 2013. Robust portfolio choice with uncertainty about jump and diffusion risk. Journal of Banking & Finance 37: 5036–47. [Google Scholar]
  6. Chen, Li, Lipei Zhang, Jun Huang, Helu Xiao, and Zhongbao Zhou. 2021. Social responsibility portfolio optimization incorporating esg criteria. Journal of Management Science and Engineering 6: 75–85. [Google Scholar] [CrossRef]
  7. Clément, Alexandre, Élisabeth Robinot, and Léo Trespeuch. 2022. Improving esg scores with sustainability concepts. Sustainability 14: 13154. [Google Scholar] [CrossRef]
  8. Cochrane, John H. 1998. Where Is the Market Going? Uncertain Facts and Novel Theories. Available online: https://www.nber.org/papers/w6207 (accessed on 14 April 2023).
  9. Dimmock, Stephen G., Roy Kouwenberg, Olivia S. Mitchell, and Kim Peijnenburg. 2016. Ambiguity aversion and household portfolio choice puzzles: Empirical evidence. Journal of Financial Economics 119: 559–77. [Google Scholar] [CrossRef] [PubMed]
  10. Dorfleitner, Gregor, and Mai Nguyen. 2017. A new approach for optimizing responsible investments dependently on the initial wealth. Journal of Asset Management 18: 81–98. [Google Scholar] [CrossRef]
  11. Dorfleitner, Gregor, Michaela Leidl, and Johannes Reeder. 2012. Theory of social returns in portfolio choice with application to microfinance. Journal of Asset Management 13: 384–400. [Google Scholar] [CrossRef]
  12. Drempetic, Samuel, Christian Klein, and Bernhard Zwergel. 2020. The influence of firm size on the esg score: Corporate sustainability ratings under review. Journal of Business Ethics 167: 333–60. [Google Scholar] [CrossRef]
  13. Edmans, Alex. 2011. Does the stock market fully value intangibles? employee satisfaction and equity prices. Journal of Financial Economics 101: 621–40. [Google Scholar] [CrossRef]
  14. Ellsberg, Daniel. 1961. Risk, ambiguity, and the savage axioms. The Quarterly Journal of Economics 75: 643–69. [Google Scholar] [CrossRef]
  15. Escobar, Marcos, Sebastian Ferrando, and Alexey Rubtsov. 2015. Robust portfolio choice with derivative trading under stochastic volatility. Journal of Banking & Finance 61: 142–57. [Google Scholar]
  16. Escobar-Anel, Marcos. 2022. Multivariate risk aversion utility, application to esg investments. The North American Journal of Economics and Finance 63: 101790. [Google Scholar] [CrossRef]
  17. Escobar-Anel, Marcos, and Yiyao Jiao. 2023. Unraveling the trade-off between sustainability and returns: A multivariate utility analysis. arXiv arXiv:2307.12161. [Google Scholar]
  18. Flor, Christian Riis, and Linda Sandris Larsen. 2014. Robust portfolio choice with stochastic interest rates. Annals of Finance 10: 243–65. [Google Scholar] [CrossRef]
  19. Gasser, Stephan M., Margarethe Rammerstorfer, and Karl Weinmayer. 2017. Markowitz revisited: Social portfolio engineering. European Journal of Operational Research 258: 1181–90. [Google Scholar] [CrossRef]
  20. Jacobsen, Brian, Wai Lee, and Chao Ma. 2019. The alpha, beta, and sigma of esg: Better beta, additional alpha? The Journal of Portfolio Management 45: 6–15. [Google Scholar] [CrossRef]
  21. Klingebiel, Ronald, and Feibai Zhu. 2023. Ambiguity aversion and the degree of ambiguity. Journal of Risk and Uncertainty 67: 299–324. [Google Scholar] [CrossRef]
  22. Kocher, Martin G., Amrei Marie Lahno, and Stefan T. Trautmann. 2018. Ambiguity aversion is not universal. European Economic Review 101: 268–83. [Google Scholar] [CrossRef]
  23. Liu, Hening. 2010. Robust consumption and portfolio choice for time varying investment opportunities. Annals of Finance 6: 435–54. [Google Scholar] [CrossRef]
  24. Maenhout, Pascal J. 2004. Robust portfolio rules and asset pricing. Review of Financial Studies 17: 951–83. [Google Scholar] [CrossRef]
  25. Maenhout, Pascal J. 2006. Robust portfolio rules and detection-error probabilities for a mean-reverting risk premium. Journal of Economic Theory 128: 136–63. [Google Scholar] [CrossRef]
  26. Merton, Robert C. 1975. Optimum consumption and portfolio rules in a continuous-time model. In Stochastic Optimization Models in Finance. Amsterdam: Elsevier, pp. 621–61. [Google Scholar]
  27. Merton, Robert C. 1980. On estimating the expected return on the market: An exploratory investigation. Journal of Financial Economics 8: 323–61. [Google Scholar] [CrossRef]
  28. Orsato, Renato J., Alexandre Garcia, Wesley Mendes-Da-Silva, Roberta Simonetti, and Mario Monzoni. 2015. Sustainability indexes: Why join in? A study of the ‘corporate sustainability index (ise)’ in brazil. Journal of Cleaner Production 96: 161–70. [Google Scholar] [CrossRef]
  29. Pástor, L’uboš, Robert F. Stambaugh, and Lucian A. Taylor. 2021. Sustainable investing in equilibrium. Journal of Financial Economics 142: 550–71. [Google Scholar] [CrossRef]
  30. Polbennikov, Simon, Albert Desclée, Lev Dynkin, and Anando Maitra. 2016. Esg ratings and performance of corporate bonds. The Journal of Fixed Income 26: 21. [Google Scholar] [CrossRef]
  31. Rubtsov, Alexey, and Sally Shen. 2022. Dynamic portfolio decisions with climate risk and model uncertainty. Journal of Sustainable Finance & Investment, 1–22. [Google Scholar] [CrossRef]
  32. Rubtsov, Alexey, Wei Xu, Aleksandar Šević, and Željko Šević. 2021. Price of climate risk hedging under uncertainty. Technological Forecasting and Social Change 165: 120430. [Google Scholar] [CrossRef]
  33. Tarmuji, Indarawati, Ruhanita Maelah, and Nor Habibah Tarmuji. 2016. The impact of environmental, social and governance practices (esg) on economic performance: Evidence from esg score. International Journal of Trade, Economics and Finance 7: 67. [Google Scholar] [CrossRef]
  34. US SIF. 2022. 2022 Report on Us Sustainable Investing Trends. Washington, DC: US SIF Foundation Press Release. [Google Scholar]
  35. Wang, Tan, and Raman Uppal. 2002. Model misspecification and under-diversification. In EFA 2002 Berlin Meetings Presented Paper. Working Paper, SSRN 311426. Vancouver: Sauder School of Business. [Google Scholar]
Figure 1. Impact of ambiguity aversion parameters on optimal weights in the IDT and WMT case.4
Figure 1. Impact of ambiguity aversion parameters on optimal weights in the IDT and WMT case.4
Risks 12 00033 g001
Figure 2. Detection error probability when ϕ m , ϕ g , ϕ b changes in the IDT and WMT case. The dashed line is for ϕ g = 0 , the dotted line is for ϕ g = 5 , the solid line is for ϕ g = 10 .
Figure 2. Detection error probability when ϕ m , ϕ g , ϕ b changes in the IDT and WMT case. The dashed line is for ϕ g = 0 , the dotted line is for ϕ g = 5 , the solid line is for ϕ g = 10 .
Risks 12 00033 g002
Figure 3. Detection error probability when ϕ m , ϕ g , ϕ b changes in the IDT and WMT case. The dashed line is for ϕ m = 0 , the dotted line is for ϕ m = 5 , the solid line is for ϕ m = 10 .
Figure 3. Detection error probability when ϕ m , ϕ g , ϕ b changes in the IDT and WMT case. The dashed line is for ϕ m = 0 , the dotted line is for ϕ m = 5 , the solid line is for ϕ m = 10 .
Risks 12 00033 g003
Figure 4. Detection error probability when ϕ m , ϕ g , ϕ b changes in the IDT and WMT case. The dashed line is for ϕ m = 0 , the dotted line is for ϕ m = 5 , the solid line is for ϕ m = 10 .
Figure 4. Detection error probability when ϕ m , ϕ g , ϕ b changes in the IDT and WMT case. The dashed line is for ϕ m = 0 , the dotted line is for ϕ m = 5 , the solid line is for ϕ m = 10 .
Risks 12 00033 g004
Figure 5. PLS for UUI when ϕ m , ϕ g , ϕ b changes in the IDT and WMT case. The dashed line is for ϕ g = 0 , the dotted line is for ϕ g = 5 , the solid line is for ϕ g = 10 .
Figure 5. PLS for UUI when ϕ m , ϕ g , ϕ b changes in the IDT and WMT case. The dashed line is for ϕ g = 0 , the dotted line is for ϕ g = 5 , the solid line is for ϕ g = 10 .
Risks 12 00033 g005
Figure 6. GWEL when ϕ m , ϕ g , ϕ b changes for UUI in the IDT and WMT case. The dashed line is for ϕ g = 0 , the dotted line is for ϕ g = 5 , the solid line is for ϕ g = 10 .
Figure 6. GWEL when ϕ m , ϕ g , ϕ b changes for UUI in the IDT and WMT case. The dashed line is for ϕ g = 0 , the dotted line is for ϕ g = 5 , the solid line is for ϕ g = 10 .
Risks 12 00033 g006
Figure 7. PLS when ϕ m , ϕ g , ϕ b changes for SAI in the IDT and WMT case. The dashed line is for ϕ g = 0 , the dotted line is for ϕ g = 5 , the solid line is for ϕ g = 10 .
Figure 7. PLS when ϕ m , ϕ g , ϕ b changes for SAI in the IDT and WMT case. The dashed line is for ϕ g = 0 , the dotted line is for ϕ g = 5 , the solid line is for ϕ g = 10 .
Risks 12 00033 g007
Figure 8. GWEL when ϕ m , ϕ g , ϕ b changes for SAI in the IDT and WMT case. The dashed line is for ϕ g = 0 , the dotted line is for ϕ g = 5 , the solid line is for ϕ g = 10 .
Figure 8. GWEL when ϕ m , ϕ g , ϕ b changes for SAI in the IDT and WMT case. The dashed line is for ϕ g = 0 , the dotted line is for ϕ g = 5 , the solid line is for ϕ g = 10 .
Risks 12 00033 g008
Figure 9. PLS when ϕ m , ϕ g , ϕ b changes for SBI in the IDT and WMT case. The solid line is for ϕ g = 0 , ϕ g = 5 , and also for ϕ g = 10 .
Figure 9. PLS when ϕ m , ϕ g , ϕ b changes for SBI in the IDT and WMT case. The solid line is for ϕ g = 0 , ϕ g = 5 , and also for ϕ g = 10 .
Risks 12 00033 g009
Figure 10. GWEL when ϕ m , ϕ g , ϕ b changes for SBI in the IDT and WMT case. The solid line is for ϕ g = 0 , ϕ g = 5 , and also for ϕ g = 10 .
Figure 10. GWEL when ϕ m , ϕ g , ϕ b changes for SBI in the IDT and WMT case. The solid line is for ϕ g = 0 , ϕ g = 5 , and also for ϕ g = 10 .
Risks 12 00033 g010
Table 1. Parameter estimations for empirical analysis.3
Table 1. Parameter estimations for empirical analysis.3
Name σ ρ λ Average RRR Score
S&P 5000.040516.04647.3
IDT0.16280.29370.79.4
Walmart0.04860.33542.86723.4
Shenandoah Telecom0.10640.2911.01799.4
DuPont de Nemours0.08660.767−1.2444.2
Disclaimer/Publisher’s Note: The statements, opinions and data contained in all publications are solely those of the individual author(s) and contributor(s) and not of MDPI and/or the editor(s). MDPI and/or the editor(s) disclaim responsibility for any injury to people or property resulting from any ideas, methods, instructions or products referred to in the content.

Share and Cite

MDPI and ACS Style

Escobar-Anel, M.; Jiao, Y. Robust Portfolio Optimization with Environmental, Social, and Corporate Governance Preference. Risks 2024, 12, 33. https://doi.org/10.3390/risks12020033

AMA Style

Escobar-Anel M, Jiao Y. Robust Portfolio Optimization with Environmental, Social, and Corporate Governance Preference. Risks. 2024; 12(2):33. https://doi.org/10.3390/risks12020033

Chicago/Turabian Style

Escobar-Anel, Marcos, and Yiyao Jiao. 2024. "Robust Portfolio Optimization with Environmental, Social, and Corporate Governance Preference" Risks 12, no. 2: 33. https://doi.org/10.3390/risks12020033

APA Style

Escobar-Anel, M., & Jiao, Y. (2024). Robust Portfolio Optimization with Environmental, Social, and Corporate Governance Preference. Risks, 12(2), 33. https://doi.org/10.3390/risks12020033

Note that from the first issue of 2016, this journal uses article numbers instead of page numbers. See further details here.

Article Metrics

Back to TopTop