Determinants of Behavioral Intentions to Use Islamic Financial Technology: An Empirical Assessment
Abstract
:1. Introduction
2. Review of the Literature and Hypothesis Development
2.1. Theory of Planned Behavior (TPB)
2.2. Technology Acceptance Models
2.3. Use of Technology
2.4. Conceptual Framework and Development of Hypothesis
3. Research Methodology
4. Results and Discussion
4.1. Respondents Characteristics
4.2. Measurement Model Evaluation
4.3. Construct Reliability (CR)
Variance Extracted (VE)
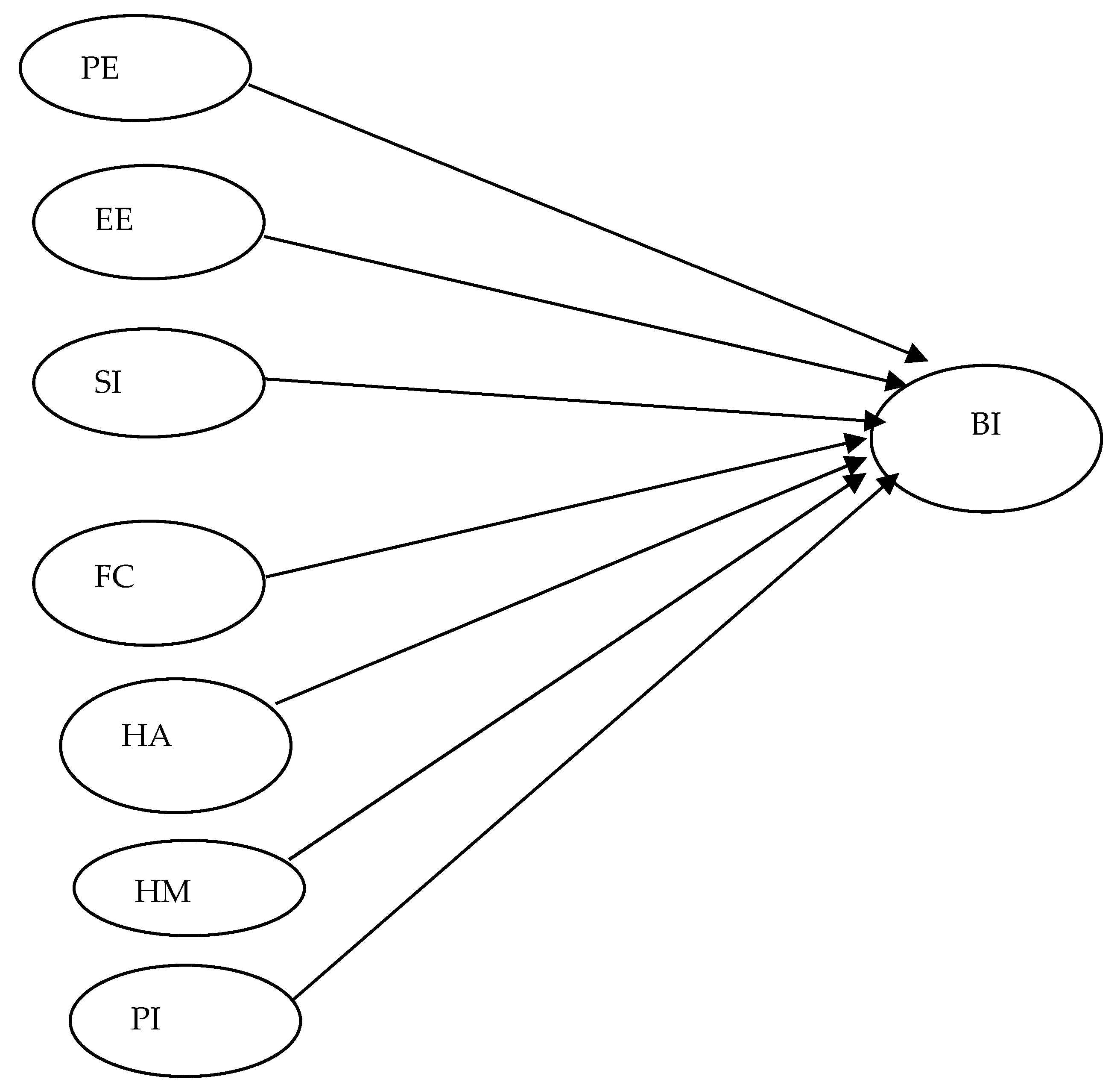
4.4. Structural Model Evaluation
5. Conclusions
Author Contributions
Funding
Institutional Review Board Statement
Informed Consent Statement
Acknowledgments
Conflicts of Interest
References
- Abbasi, Kaleemullah, Ashraful Alam, Min (Anna) Du, and Toan Luu Duc Huynh. 2021. FinTech, SME Efficiency and National Culture: Evidence from OECD Countries. Technological Forecasting and Social Change 163: 120454. [Google Scholar] [CrossRef]
- Agarwal, Sumit, and Jian Zhang. 2020. FinTech, Lending and Payment Innovation: A Review. Asia-Pacific Journal of Financial Studies 49: 353–67. [Google Scholar] [CrossRef]
- Aguirre-Urreta, Miguel, and Mikko Ronkko. 2015. Sample Size Determination and Statistical Power Analysis in PLS Using R: An Annotated Tutorial. Communications of the Association for Information Systems 36: 3. [Google Scholar] [CrossRef]
- Ahmed, Ali Saeed, Mukesh Kumar, and Mahmood Asad Moh’d Ali. 2020. Adoption of FinTech and Future Perspective: An Empirical Evidence from Bahrain on Digital Wallets. Available online: https://ieeexplore.ieee.org/document/9317298 (accessed on 22 May 2022).
- Akhtar, Sadia, Muhammad Irfan, Asma Sarwar, and Qurat Ul Ain Rashid. 2019. Factors Influencing Individuals’ Intention to Adopt Mobile Banking in China and Pakistan: The Moderating Role of Cultural Values. Journal of Public Affairs 19: e1884. [Google Scholar] [CrossRef] [Green Version]
- Ascarya, Ascarya. 2021. The Role of Islamic Social Finance during COVID-19 Pandemic in Indonesia’s Economic Recovery. International Journal of Islamic and Middle Eastern Finance and Management 15: 386–405. [Google Scholar] [CrossRef]
- Ashta, Arvind, and Guillaume Biot-Paquerot. 2018. FinTech Evolution: Strategic Value Management Issues in a Fast Changing Industry. Strategic Change 27: 301–11. [Google Scholar] [CrossRef]
- Atif, Mohammad, M. Kabir Hassan, Mustafa Raza Rabbani, and Shahnawaz Khan. 2021. Islamic FinTech: The Digital Transformation Bringing Sustainability to Islamic Finance. In COVID-19 and Islamic Social Finance. London: Routledge, pp. 94–106. [Google Scholar]
- Baber, Hasnan. 2020a. FinTech, Crowdfunding and Customer Retention in Islamic Banks. Vision 24: 260–68. [Google Scholar] [CrossRef]
- Baber, Hasnan. 2020b. Impact of FinTech on Customer Retention in Islamic Banks of Malaysia. International Journal of Business and Systems Research 14: 217–27. [Google Scholar] [CrossRef]
- Banna, Hasanul, M. Kabir Hassan, Rubi Ahmad, and Md Rabiul Alam. 2021a. Islamic Banking Stability amidst the COVID-19 Pandemic: The Role of Digital Financial Inclusion. International Journal of Islamic and Middle Eastern Finance and Management 15: 310–30. [Google Scholar] [CrossRef]
- Banna, Hasanul, M. Kabir Hassan, and Mamunur Rashid. 2021b. Fintech-Based Financial Inclusion and Bank Risk-Taking: Evidence from OIC Countries. Journal of International Financial Markets, Institutions and Money 75: 101447. [Google Scholar] [CrossRef]
- Banna, Hasanul, Md Aslam Mia, Mohammad Nourani, and Larisa Yarovaya. 2021c. Fintech-Based Financial Inclusion and Risk-Taking of Microfinance Institutions (MFIs): Evidence from Sub-Saharan Africa. Finance Research Letters 45: 102149. [Google Scholar] [CrossRef]
- Baptista, Gondalo, and Tiago Oliveira. 2015. Understanding Mobile Banking: The Unified Theory of Acceptance and Use of Technology Combined with Cultural Moderators. Computers in Human Behavior 50: 418–30. [Google Scholar] [CrossRef]
- Bhatti, Tariq, and Maizaitulaidawati Md Husin. 2019. An Investigation of the Effect of Customer Beliefs on the Intention to Participate in Family Takaful Schemes. Journal of Islamic Marketing 11: 709–27. [Google Scholar] [CrossRef]
- Buckley, Ross P., and Sarah Webster. 2016. FinTech in Developing Countries: Charting New Customer Journeys. Journal of Financial Transformation 44: 1–20. [Google Scholar]
- Chau, Patrick Y. K. 1996. An Empirical Assessment of a Modified Technology Acceptance Model. Journal of Management Information Systems 13: 185–204. [Google Scholar] [CrossRef]
- Chinnasamy, Gopalakrishnan, Araby Madbouly, and Sameh Reyad. 2021. Fintech: A Pathway for MENA Region. In Studies in Computational Intelligence. Berlin/Heidelberg: Springer. [Google Scholar] [CrossRef]
- Choi, Hanbyul, Yoonhyuk Jung, and YoungRok Choi. 2019. Understanding of the Fintech Phenomenon in the Beholder’s Eyes in South Korea. Asia Pacific Journal of Information Systems 29: 117–43. [Google Scholar] [CrossRef]
- Chong, Felicia Hui Ling. 2021. Enhancing Trust through Digital Islamic Finance and Blockchain Technology. Qualitative Research in Financial Markets 13: 328–41. [Google Scholar] [CrossRef]
- Dadoukis, Aristeidis, Maurizio Fiaschetti, and Giulia Fusi. 2021. IT adoption and bank performance during the COVID-19 pandemic. Economics Letters 204: 109904. [Google Scholar] [CrossRef]
- Davis, Fred D. 1986. A Technology Acceptance Model for Empirically Testing New End-User Information Systems: Theory and Results. PhD. dissertation, Massachusetts Institute of Technology, Cambridge, MA, USA. [Google Scholar]
- Dharani, Munusamy, M. Kabir Hassan, Mustafa Raza Rabbani, and Tahsin Huq. 2022. Does the COVID-19 Pandemic Affect Faith-Based Investments? Evidence from Global Sectoral Indices. Research in International Business and Finance 59: 101537. [Google Scholar] [CrossRef]
- Ernst & Young. 2019. Global FinTech Adoption Index. 2019. Available online: https://assets.ey.com/content/dam/ey-sites/ey-com/en_gl/topics/banking-and-capital-markets/ey-global-fintech-adoption-index.pdf (accessed on 22 May 2022).
- Fu, Jonathan, and Mrinal Mishra. 2022. Fintech in the Time of COVID−19: Technological Adoption during Crises. Journal of Financial Intermediation 50: 100945. [Google Scholar] [CrossRef]
- Haider, Muhammad Jamal, Gao Changchun, Tayyaba Akram, and Syed Talib Hussain. 2018. Does Gender Differences Play Any Role in Intention to Adopt Islamic Mobile Banking in Pakistan? An Empirical Study. Journal of Islamic Marketing 9: 439–60. [Google Scholar] [CrossRef]
- Hair, Joe F., Jr., Marko Sarstedt, Lucas Hopkins, and Volker G. Kuppelwieser. 2014. Partial Least Squares Structural Equation Modeling (PLS-SEM): An Emerging Tool in Business Research. European Business Review 26: 106–21. [Google Scholar] [CrossRef]
- Hassan, M. Kabir, Mustafa Raza Rabbani, and Mahmood Asad Mohd Ali. 2020. Challenges for the Islamic Finance and Banking in Post COVID Era and the Role of Fintech. Journal of Economic Cooperation and Development 43: 93–116. [Google Scholar]
- Hendratmi, Achsania, Muhamad Nafik Hadi Ryandono, and Puji Sucia Sukmaningrum. 2019. Developing Islamic Crowdfunding Website Platform for Startup Companies in Indonesia. Journal of Islamic Marketing 11: 1041–53. [Google Scholar] [CrossRef]
- Hu, Zhongqing, Shuai Ding, Shizheng Li, Luting Chen, and Shanlin Yang. 2019. Adoption Intention of Fintech Services for Bank Users: An Empirical Examination with an Extended Technology Acceptance Model. Symmetry 11: 340. [Google Scholar] [CrossRef] [Green Version]
- Janah, Nasitotul, Fahmi Medias, and Eko Kurniasih Pratiwi. 2020. The Intention of Religious Leaders to Use Islamic Banking Services: The Case of Indonesia. Journal of Islamic Marketing 12: 1786–800. [Google Scholar] [CrossRef]
- Karim, Sitara, Mustafa Raza Rabbani, and Hana Bawazir. 2022. Applications of Blockchain Technology in the Finance and Banking Industry Beyond Digital Currencies. In Blockchain Technology and Computational Excellence for Society 5.0. Hershey: IGI Global, pp. 216–38. [Google Scholar]
- Khan, Shahnawaz, and Mustafa R. Rabbani. 2020. In Depth Analysis of Blockchain, Cryptocurrency and Sharia Compliance. International Journal of Business Innovation and Research 1: 1. [Google Scholar] [CrossRef]
- Khan, Shahnawaz, Mohammed Kabir Hassan, and Mustafa Raza Rabbani. 2021. An Artificial Intelligence-Based Islamic FinTech Model on Qardh-Al-Hasan for COVID 19 Affected SMEs. Beyazıt: Islamic Perspective for Sustainable Financial System. [Google Scholar]
- Kou, Gang, Özlem Olgu Akdeniz, Hasan Dinçer, and Serhat Yüksel. 2021. Fintech Investments in European Banks: A Hybrid IT2 Fuzzy Multidimensional Decision-Making Approach. Financial Innovation 7: 39. [Google Scholar] [CrossRef]
- Lajis, Siti Muawanah. 2019. Fintech and Risk-Sharing: A Catalyst for Islamic Finance. Available online: https://link.springer.com/chapter/10.1007/978-3-030-05225-6_12 (accessed on 22 May 2022).
- Lee, In, and Yong Jae Shin. 2018. Fintech: Ecosystem, Business Models, Investment Decisions, and Challenges. Business Horizons 61: 35–46. [Google Scholar] [CrossRef]
- Maranguni, Nikola, and Andrina Grani. 2015. Technology Acceptance Model: A Literature Review from 1986 to 2013. Universal Access in the Information Society 14: 81–95. [Google Scholar] [CrossRef]
- Mazambani, Last, and Emmanuel Mutambara. 2020. Predicting FinTech Innovation Adoption in South Africa: The Case of Cryptocurrency. African Journal of Economic and Management Studies 11: 30–50. [Google Scholar] [CrossRef]
- Mittelman, Robert, and José Rojas-Méndez. 2018. Why Canadians Give to Charity: An Extended Theory of Planned Behaviour Model. International Review on Public and Nonprofit Marketing 15: 189–204. [Google Scholar] [CrossRef]
- Mohamed, Hazik, and Hassnian Ali. 2018. Blockchain, Fintech, and Islamic Finance. Blockchain, Fintech, and Islamic Finance. Available online: https://www.degruyter.com/document/doi/10.1515/9781547400966/html (accessed on 22 May 2022).
- Naeem, Muhammad Abubakr, Mustafa Raza Rabbani, Sitara Karim, and Syed Mabruk Billah. 2021. Religion vs. Ethics: Hedge and Safe Haven Properties of Sukuk and Green Bonds for Stock Markets Pre-and during COVID-19. Available online: https://www.emerald.com/insight/content/doi/10.1108/IMEFM-06-2021-0252/full/html (accessed on 22 May 2022).
- Nangin, Meryl Astin, Irma Rasita Gloria Barus, and Soegeng Wahyoedi. 2020. The Effects of Perceived Ease of Use, Security, and Promotion on Trust and Its Implications on Fintech Adoption. Journal of Consumer Sciences 5: 124–38. [Google Scholar] [CrossRef]
- Nguyen, Liem, Son Tran, and Tin Ho. 2021. Fintech Credit, Bank Regulations and Bank Performance: A Cross-Country Analysis. Available online: https://www.emerald.com/insight/content/doi/10.1108/APJBA-05-2021-0196/full/html (accessed on 22 May 2022).
- Nor, Shifa Mohd, Mariani Abdul-Majid, and Siti Nabihah Esrati. 2021. The Role of Blockchain Technology in Enhancing Islamic Social Finance: The Case of Zakah Management in Malaysia. Foresight 23: 509–27. [Google Scholar] [CrossRef]
- Noreen, Misbah, M. S. Mia, Zahiruddin Ghazali, and Ferdoushi Ahmed. 2022. Role of Government Policies to Fintech Adoption and Financial Inclusion: A Study in Pakistan. Universal Journal of Accounting and Finance 10: 37–46. [Google Scholar] [CrossRef]
- Rabbani, Mustafa Raza. 2021. COVID-19 and Its Impact on Supply Chain Financing and the Role of Islamic Fintech: Evidence from GCC Countries. Available online: https://www.inderscience.com/info/ingeneral/forthcoming.php?jcode=ijasm (accessed on 22 May 2022).
- Rabbani, Mustafa Raza, Adel Sarea, Shahnawaz Khan, and Yomna Abdullah. 2021a. Ethical Concerns in Artificial Intelligence (AI): The Role of RegTech and Islamic Finance. Available online: https://link.springer.com/chapter/10.1007/978-3-030-93464-4_38 (accessed on 22 May 2022).
- Rabbani, Mustafa Raza, Abu Bashar, Nishad Nawaz, Sitara Karim, Mahmood Asad Mohd Ali, Habeeb Ur Rahiman, and Md. Shabbir Alam. 2021b. Exploring the Role of Islamic Fintech in Combating the Aftershocks of COVID-19: The Open Social Innovation of the Islamic Financial System. Journal of Open Innovation: Technology, Market, and Complexity 7: 136. [Google Scholar] [CrossRef]
- Rabbani, Mustafa Raza, Yomna Abdullah, Abu Bashar, Shahnawaz Khan, and M. A. Moh’d Ali. 2020. Embracing of Fintech in Islamic Finance in the Post COVID Era. Paper presented at the 2020 International Conference on Decision Aid Sciences and Application (DASA), Sakheer, Bahrain, November 8–9; pp. 1230–34. [Google Scholar] [CrossRef]
- Rabbani, Mustafa Raza. 2022. Fintech Innovations, Scope, Challenges, and Implications in Islamic Finance: A Systematic Analysis. International Journal of Computing and Digital Systems 11: 1–28. [Google Scholar]
- Raza, Syed Ali, Nida Shah, and Muhammad Ali. 2019. Acceptance of Mobile Banking in Islamic Banks: Evidence from Modified UTAUT Model. Journal of Islamic Marketing 10: 357–76. [Google Scholar] [CrossRef]
- Ryu, Hyun-Sun. 2018. What makes users willing or hesitant to use Fintech? The moderating effect of user type. Industrial Management & Data Systems 118: 541–69. [Google Scholar] [CrossRef]
- Saksonova, Svetlana, and Irina Kuzmina-Merlino. 2017. Fintech as Financial Innovation—The Possibilities and Problems of Implementation. European Research Studies Journal 20: 961–73. [Google Scholar] [CrossRef] [Green Version]
- Singh, Shubhangi, Marshal M. Sahni, and Raj K. Kovid. 2020. What Drives FinTech Adoption? A Multi-Method Evaluation Using an Adapted Technology Acceptance Model. Management Decision 58: 1675–97. [Google Scholar] [CrossRef]
- Solarz, Małgorzata, and Magdalena Swacha-Lech. 2021. Determinants of the Adoption of Innovative Fintech Services by Millennials. Ekonomie a Management 24: 149–66. [Google Scholar] [CrossRef]
- Standard, Dinar. 2021. Global Islamic Fintech Report. Available online: https://www.salaamgateway.com/specialcoverage/islamic-fintech-2021 (accessed on 22 May 2022).
- Suryanto, Rusdin, and R. Meisa Dai. 2020. Fintech as a catalyst for growth of micro, small and medium enterprises in Indonesia. Academy of Strategic Management Journal 19: 1–12. [Google Scholar]
- Tajudin, Misyer, Rosmini Omar, Anssi Smedlund, and Razi Pahlavi Aziz. 2020. Financing with Heart and Intelligence: Augmenting Intimacy and Sustainability through Islamic Fintech. International Journal of Advanced Science and Technology 29: 1638–64. [Google Scholar]
- Tenenhaus, Michel, Vincenzo EspositoVinzi, Yves-Marie Chatelin, and Carlo Lauro. 2005. PLS path modeling. Computational Statistics & Data Analysis 48: 159–205. [Google Scholar]
- Thaker, Hassanudin Mohd Thas, Ahmad Khaliq, Abdollah Ah Mand, Hafezali Iqbal Hussain, Mohamed Asmy Bin Mohd Thas Thaker, and Anwar Bin Allah Pitchay. 2020. Exploring the Drivers of Social Media Marketing in Malaysian Islamic Banks: An Analysis via Smart PLS Approach. Journal of Islamic Marketing 12: 145–65. [Google Scholar] [CrossRef]
- Thaker, Mohamed Asmy Bin Mohd Thas, and Anwar Allah Pitchay. 2018. Developing Waqf Land through Crowdfunding-Waqf Model (CWM): The Case of Malaysia. Journal of Islamic Accounting and Business Research 9: 448–56. [Google Scholar] [CrossRef]
- Thaker, Mohamed Asmy Bin Mohd Thas, Md Fouad Bin Amin, Hassanudin Bin Mohd Thas Thaker, and Anwar Bin Allah Pitchay. 2019. What Keeps Islamic Mobile Banking Customers Loyal? Journal of Islamic Marketing 10: 525–42. [Google Scholar]
- Todorof, Maria. 2018. Shariah-Compliant FinTech in the Banking Industry. ERA Forum 19: 1–17. [Google Scholar] [CrossRef] [Green Version]
- Venkatesh, Viswanath, and Fred D. Davis. 2000. A Theoretical Extension of the Technology Acceptance Model: Four Longitudinal Field Studies. Management Science 46: 186–204. [Google Scholar] [CrossRef] [Green Version]
- Venkatesh, Viswanath, and Hillol Bala. 2008. Technology Acceptance Model3 and Research Agenda on Interventions. Decision Science 39: 273–15. [Google Scholar] [CrossRef] [Green Version]
- Venkatesh, Viswanath, James Y. L. Thong, and Xin Xu. 2012. Consumer Acceptance and Use of Information Technology: Extending the Unified Theory of Acceptance and Use of Technology. MIS Quarterly 36: 157–78. [Google Scholar] [CrossRef] [Green Version]
- Xie, Jianli, Liying Ye, Wei Huang, and Min Ye. 2021. Understanding Fintech Platform Adoption: Impacts of Perceived Value and Perceived Risk. Journal of Theoretical and Applied Electronic Commerce Research 16: 1893–911. [Google Scholar] [CrossRef]
- Yan, Chen, Abu Bakkar Siddik, Nazma Akter, and Qianli Dong. 2021. Factors Influencing the Adoption Intention of Using Mobile Financial Service during the COVID-19 Pandemic: The Role of FinTech. Available online: https://link.springer.com/article/10.1007/s11356-021-17437-y (accessed on 22 May 2022).
- Zaremohzzabieh, Zeinab, Seyedali Ahrari, Steven Eric, Asnarulkhadi Bin, Abu Samah, Lee Kwan, and Zaifunizam Ariffin. 2019. Predicting Social Entrepreneurial Intention: A Meta-Analytic Path Analysis Based on the Theory of Planned Behavior. Journal of Business Research 96: 264–76. [Google Scholar]



| User Characteristics | Users (300) | % | Statistical Test |
|---|---|---|---|
| Gender | |||
| Male | 205 | 69.1 | F = 0.570 |
| Female | 95 | 30.9 | |
| Education background | |||
| Elementary school | 10 | 2.7 | F = 1.066 |
| Junior high school | 40 | 4.4 | |
| Senior high school | 150 | 13.3 | |
| Diploma | 20 | 6.6 | |
| Bachelor | 80 | 30.3 | |
| Profession | |||
| Professional | 77 | 25.8 | F = 13.858 |
| Student | 78 | 26.6 | |
| Housewife | 30 | 10.0 | |
| Businessperson | 105 | 35.0 | |
| Others | 10 | 3.3 | |
| Income | |||
| <3 million | 106 | 35.3 | F = 13.990 |
| 3–5 million | 105 | 35.2 | |
| 6–10 million | 59 | 19.8 | |
| 11–15 million | 10 | 3.3 | |
| 16–20 million | 10 | 3.3 | |
| >20 million | 10 | 3.3 | |
| Expenditure | |||
| <2 million | 160 | 53.3 | F = 9.009 |
| 2–4 million | 100 | 33.3 | |
| 5–9 million | 20 | 6.66 | |
| 10–14 million | 20 | 6.66 |
| S. No | Constructs | Standard Loadings | Cronbach’s Alpha | t Values |
|---|---|---|---|---|
| 1. | Performance Expectancy | 0.890 | 0.89 | 2.98 |
| 2. | Effort Expectancy | 0.760 | 0.98 | 2.89 |
| 3. | Social Influence | 0.887 | 0.78 | 3.87 |
| 4. | Facilitating Conditions | 0.590 | 0.77 | 4.66 |
| 5. | Hedonic Motivation | 0.578 | 0.78 | 4.77 |
| 6. | Habits | 0.687 | 0.89 | 2.99 |
| 7. | Personal Innovativeness | 0.890 | 0.90 | 1.98 |
| Construct | Construct Reliability | Variance Extracted | VIF |
|---|---|---|---|
| Performance Expectancy | 0.79 | 0.46 | 3.44 |
| Effort Expectancy | 0.96 | 0.80 | 4.34 |
| Social Influence | 0.89 | 0.67 | 2.90 |
| Facilitating Conditions | 0.85 | 0.55 | 3.77 |
| Hedonic Motivation | 0.85 | 0.54 | 4.77 |
| Habits | 0.89 | 0.63 | 2.97 |
| Personal Innovativeness | 0.88 | 0.61 | 3.00 |
| Relationship | Path Estimates |
|---|---|
| PE-------BI | 0.63 |
| EE-------BI | 0.11 |
| SI-------BI | −1.04 |
| FC-------BI | 1.12 |
| HA-------BI | −0.34 |
| HM------BI | 0.98 |
| PI-------BI | 2.02 |
Publisher’s Note: MDPI stays neutral with regard to jurisdictional claims in published maps and institutional affiliations. |
© 2022 by the authors. Licensee MDPI, Basel, Switzerland. This article is an open access article distributed under the terms and conditions of the Creative Commons Attribution (CC BY) license (https://creativecommons.org/licenses/by/4.0/).
Share and Cite
Khan, M.S.; Rabbani, M.R.; Hawaldar, I.T.; Bashar, A. Determinants of Behavioral Intentions to Use Islamic Financial Technology: An Empirical Assessment. Risks 2022, 10, 114. https://doi.org/10.3390/risks10060114
Khan MS, Rabbani MR, Hawaldar IT, Bashar A. Determinants of Behavioral Intentions to Use Islamic Financial Technology: An Empirical Assessment. Risks. 2022; 10(6):114. https://doi.org/10.3390/risks10060114
Chicago/Turabian StyleKhan, Mohammad Shahfaraz, Mustafa Raza Rabbani, Iqbal Thonse Hawaldar, and Abu Bashar. 2022. "Determinants of Behavioral Intentions to Use Islamic Financial Technology: An Empirical Assessment" Risks 10, no. 6: 114. https://doi.org/10.3390/risks10060114
APA StyleKhan, M. S., Rabbani, M. R., Hawaldar, I. T., & Bashar, A. (2022). Determinants of Behavioral Intentions to Use Islamic Financial Technology: An Empirical Assessment. Risks, 10(6), 114. https://doi.org/10.3390/risks10060114

