Effects of Strength Training on Body Fat in Children and Adolescents with Overweight and Obesity: A Systematic Review with Meta-Analysis
Abstract
1. Introduction
2. Materials and Methods
2.1. Study Search and Selection Strategies
2.2. Inclusion and Exclusion Criteria
2.3. Data Extraction
2.4. Evaluation of Methodological Quality and Risk of Bias
2.5. Data Analysis
3. Results
3.1. Search Results
3.2. Characteristics of the Studies
3.3. Results of Methodological Quality
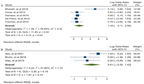
3.4. Results of the Meta-Analysis
3.5. Subgroup Analysis
4. Discussion
5. Conclusions
Author Contributions
Funding
Institutional Review Board Statement
Informed Consent Statement
Data Availability Statement
Acknowledgments
Conflicts of Interest
References
- Bleich, S.N.; Vercammen, K.A.; Zatz, L.Y.; Frelier, J.M.; Ebbeling, C.B.; Peeters, A. Interventions to prevent global childhood overweight and obesity: A systematic review. Lancet Diabetes Endocrinol. 2018, 6, 332–346. [Google Scholar] [CrossRef]
- Tsatsoulis, A.; Paschou, S.A. Metabolically Healthy Obesity: Criteria, Epidemiology, Controversies, and Consequences. Curr. Obes. Rep. 2020, 9, 109–120. [Google Scholar] [CrossRef] [PubMed]
- Ceballos, J.J.; Pérez, R.; Flores, J.A.; Vargas-Sánchez, J.; Ortega-Gutiérrez, G.; Madriz-Prado, R.; Hernández-Moreno, A. Obesidad Una Pandemia Del Siglo 21. Rev. Sanid. Mil. 2018, 72, 332–338. [Google Scholar]
- Löffler, M.C.; Betz, M.J.; Blondin, D.P.; Augustin, R.; Sharma, A.K.; Tseng, Y.-H.; Scheele, C.; Zimdahl, H.; Mark, M.; Hennige, A.M.; et al. Challenges in tackling energy expenditure as obesity therapy: From preclinical models to clinical application. Mol. Metab. 2021, 51, 101237. [Google Scholar] [CrossRef]
- Stanhope, K.L.; Goran, M.I.; Bosy-Westphal, A.; King, J.C.; Schmidt, L.A.; Schwarz, J.M.; Stice, E.; Sylvetsky, A.C.; Turnbaugh, P.J.; Bray, G.A.; et al. Pathways and mechanisms linking dietary components to cardiometabolic disease: Thinking beyond calories. Obes. Rev. 2018, 19, 1205–1235. [Google Scholar] [CrossRef]
- Yuksel, H.S.; Şahin, F.N.; Maksimovic, N.; Drid, P.; Bianco, A. School-based intervention programs for preventing obesity and promoting physical activity and fitness: A systematic review. Int. J. Environ. Res. Public Health 2020, 17, 347. [Google Scholar] [CrossRef]
- Bray, I.; Slater, A.; Lewis-Smith, H.; Bird, E.; Sabey, A. Promoting positive body image and tackling overweight/obesity in children and adolescents: A combined health psychology and public health approach. Prev. Med. 2018, 116, 219–221. [Google Scholar] [CrossRef]
- Raimann, T. Obesidad y sus complicaciones. Rev. Médica Clínica Las Condes 2011, 22, 20–26. [Google Scholar] [CrossRef][Green Version]
- Han, J.C.; Lawlor, D.A.; Kimm, S.Y.S. Childhood obesity. Lancet 2010, 375, 1737–1748. [Google Scholar] [CrossRef]
- Stricker, P.R.; Faigenbaum, A.D.; McCambridge, T.M. Resistance training for children and adolescents. Pediatrics 2020, 145, e20201011. [Google Scholar] [CrossRef]
- Ramsay, J.A.; Blimkie, C.; Smith, K.; Garner, S.; Macdougall, D.; Sale, D. Strength training effects in prepubescent boys. Med. Sci. Sports Exerc. 1990, 22, 25–27. [Google Scholar] [CrossRef] [PubMed]
- Faigenbaum, A.D.; McFarland, J.E. Resistance training for kids: Right from the Start. ACSM’s Health Fit. J. 2016, 20, 16–22. [Google Scholar] [CrossRef]
- Pitton, P.M. Prepubescent strength training: The effects of resistance training on strength gains in prepubescent children. Natl. Strength Cond. Assoc. J. 1992, 14, 55–57. [Google Scholar] [CrossRef]
- Gregory, H.; Travis, T. Essentials of Strength Training and Conditioning, 4th ed.; Human Kinetics: Champaign, IL, USA, 2015; Available online: https://cutt.ly/XF704KY (accessed on 1 February 2022).
- Collins, H.; Booth, J.N.; Duncan, A.; Fawkner, S. The effect of resistance training interventions on fundamental movement skills in youth: A meta-analysis. Sport Med. Open 2018, 5, 17. [Google Scholar] [CrossRef]
- Schranz, N.; Tomkinson, G.; Olds, T. What is the effect of resistance training on the strength, body composition and psychosocial status of overweight and obese children and adolescents? A systematic review and meta-analysis. Sport Med. 2013, 43, 893–907. [Google Scholar] [CrossRef]
- Lloyd, R.S.; Faigenbaum, A.D.; Myer, G.D.; Stone, M.; Oliver, J.; Jeffreys, I.; Pierce, K. UKSCA Position Statement: Youth Resistance Training. Prof. Strength Cond. 2012, 26, 26–39. [Google Scholar]
- Icheli, L.; Itka, M.; Owland, T. Youth Resistance Training: Updated Position Statement Paper from the National Strength and Conditioning Association. J. Strength Cond. Res. 2009, 23, 60–79. [Google Scholar] [CrossRef]
- Vechetti, I.J.; Peck, B.D.; Wen, Y.; Walton, R.G.; Valentino, T.R.; Alimov, A.P.; Dungan, C.M.; Van Pelt, D.W.; von Walden, F.; Alkner, B.; et al. Mechanical overload-induced muscle-derived extracellular vesicles promote adipose tissue lipolysis. FASEB J. 2021, 35, e21644. [Google Scholar] [CrossRef]
- National Collaborating Centre for Methods and Tools. Quality assessment tool for quantitative studies. Worldviews Evid. Based Nurs. 2004, 1, 176–184. [Google Scholar]
- Seo, Y.-G.; Lim, H.; Kim, Y.; Ju, Y.-S.; Choi, Y.-J.; Lee, H.-J.; Jang, H.B.; Park, S.I.; Park, K.H. Effects of circuit training or a nutritional intervention on body mass index and other cardiometabolic outcomes in children and adolescents with overweight or obesity. PLoS ONE 2021, 16, e0245875. [Google Scholar] [CrossRef]
- Miguet, M.; Fearnbach, N.S.; Metz, L.; Khammassi, M.; Julian, V.; Cardenoux, C.; Pereira, B.; Boirie, Y.; Duclos, M.; Thivel, D. Effect of HIIT versus MICT on body composition and energy intake in dietary restrained and unrestrained adolescents with obesity. Appl. Physiol. Nutr. Metab. 2020, 45, 437–445. [Google Scholar] [CrossRef] [PubMed]
- Horsak, B.; Schwab, C.; Baca, A.; Greber-Platzer, S.; Kreissl, A.; Nehrer, S.; Keilani, M.; Crevenna, R.; Kranzl, A.; Wondrasch, B. Effects of a lower extremity exercise program on gait biomechanics and clinical outcomes in children and adolescents with obesity: A randomized controlled trial. Gait Posture 2019, 70, 122–129. [Google Scholar] [CrossRef] [PubMed]
- Branco, B.H.M.; Carvalho, I.Z.; de Oliveira, H.G.; Fanhani, A.P.; Dos Santos, M.C.M.; de Oliveira, L.P.; Nelson Nardo, J. Effects of 2 types of resistance training models on obese adolescents’ body composition, cardiometabolic risk, and physical fitness. J. Strength Cond. Res. 2020, 34, 2672–2682. [Google Scholar] [CrossRef]
- Bharath, L.P.; Choi, W.W.; Cho, J.-M.; Skobodzinski, A.A.; Wong, A.; Sweeney, T.E.; Park, S.-Y. Combined resistance and aerobic exercise training reduces insulin resistance and central adiposity in adolescent girls who are obese: Randomized clinical trial. Eur. J. Appl. Physiol. 2018, 118, 1653–1660. [Google Scholar] [CrossRef]
- Bruñó, A.; Escobar, P.; Cebolla, A.; Álvarez-Pitti, J.; Guixeres, J.; Lurbe, E.; Baños, R.; Lisón, J.F. Home-Exercise Childhood Obesity Intervention: A Randomized Clinical Trial Comparing Print Versus Web-Based (Move It) Platforms. J. Pediatr. Nurs. 2018, 42, e79–e84. [Google Scholar] [CrossRef]
- Fiorilli, G.; Iuliano, E.; Aquino, G.; Campanella, E.; Tsopani, D.; Di Costanzo, A.; Calcagno, G.; di Cagno, A. Different consecutive training protocols to design an intervention program for overweight youth: A controlled study. Diabetes Metab. Syndr. Obes. Targets Ther. 2017, 10, 37–45. [Google Scholar] [CrossRef]
- Rey, O.; Vallier, J.M.; Nicol, C.; Mercier, C.S.; Maïano, C. Effects of combined vigorous interval training program and diet on body composition, physical fitness, and physical self-perceptions among obese adolescent boys and girls. Pediatric Exerc. Sci. 2017, 29, 73–83. [Google Scholar] [CrossRef] [PubMed]
- Crouter, S.E.; Salas, C.; Wiecha, J. Effects of an afterschool community center physical activity program on fitness and body composition in obese youth. J. Sports Sci. 2017, 35, 1034–1040. [Google Scholar] [CrossRef]
- Dias, I.; Farinatti, P.; De Souza, M.G.; Manhanini, D.P.; Balthazar, E.; Dantas, D.L.; de Andrade Pinto, E.H.; Bouskela, E.; Kraemer-Aguiar, L.G. Effects of Resistance Training on Obese Adolescents. Med. Sci. Sports Exerc. 2015, 47, 2636–2644. [Google Scholar] [CrossRef]
- Kelly, L.A.; Loza, A.; Lin, X.; Schroeder, E.T.; Hughes, A.; Kirk, A.; Knowles, A.-M. The effect of a home-based strength training program on type 2 diabetes risk in obese Latino boys. J. Pediatr. Endocrinol. Metab. 2015, 28, 315–322. [Google Scholar] [CrossRef]
- Monteiro, P.A.; Chen, K.Y.; Lira, F.S.; Saraiva, B.T.C.; Antunes, B.M.; Campos, E.Z.; Freitas, I.F., Jr. Concurrent and aerobic exercise training promote similar benefits in body composition and metabolic profiles in obese adolescents. Lipids Health Dis. 2015, 14, 153. [Google Scholar] [CrossRef] [PubMed]
- Antunes, B.; Christofaro, D.; Monteiro, P.; Silveira, L.S.; Fernandes, R.A.; Mota, J.; Júnior, I.F.F. Effect of concurrent training on gender-specific biochemical variables and adiposity in obese adolescents. Arch. Endocrinol. Metab. 2015, 59, 303–309. [Google Scholar] [CrossRef] [PubMed]
- Inoue, D.S.; De Mello, M.T.; Foschini, D.; Lira, F.S.; Ganen, A.D.P.; Campos, R.M.D.S.; Sanches, P.D.L.; Silva, P.L.; Corgosinho, F.C.; Rossi, F.E.; et al. Linear and undulating periodized strength plus aerobic training promote similar benefits and lead to improvement of insulin resistance on obese adolescents. J. Diabetes Complicat. 2015, 29, 258–264. [Google Scholar] [CrossRef] [PubMed]
- Dâmaso, A.R.; Da Silveira, R.M.; Caranti, D.A.; De Piano, A.; Fisberg, M.; Foschini, D.; Sanches, P.D.L.; Tock, L.; Lederman, H.M.; Tufik, S.; et al. Aerobic plus resistance training was more effective in improving the visceral adiposity, metabolic profile and inflammatory markers than aerobic training in obese adolescents. J. Sports Sci. 2014, 32, 1435–1445. [Google Scholar] [CrossRef]
- Ackel-D’Elia, C.; Carnier, J.; Bueno, C.R.; Campos, R.S.; Sanches, P.L.; Clemente, A.G.; Tufik, S.; de Mello, M.T.; Dâmaso, A.R. Effects of different physical exercises on leptin concentration in obese adolescents. Int. J. Sports Med. 2014, 35, 164–171. [Google Scholar] [CrossRef][Green Version]
- Sigal, R.J.; Alberga, A.S.; Goldfield, G.S.; Prud’Homme, D.; Hadjiyannakis, S.; Gougeon, R.; Phillips, P.; Tulloch, H.; Malcolm, J.; Doucette, S.; et al. Effects of aerobic training, resistance training, or both on percentage body fat and cardiometabolic risk markers in obese adolescents: The healthy eating aerobic and resistance training in youth randomized clinical trial. JAMA Pediatr. 2014, 168, 1006–1014. [Google Scholar] [CrossRef]
- Vásquez, F.; Díaz, E.; Lera, L.; Meza, J.; Salas, I.; Rojas Moncada, P.; Atalah Samur, E.; Burrows, R. Efecto residual del ejercicio de fuerza muscular en la prevención secundaria de la obesidad infantil. Nutr. Hosp. 2013, 28, 333–339. [Google Scholar] [CrossRef]
- Alberga, A.S.; Farnesi, B.C.; Lafleche, A.; Legault, L.; Komorowski, J. The effects of resistance exercise training on body composition and strength in obese prepubertal children. Physician Sportsmed. 2013, 41, 103–109. [Google Scholar] [CrossRef]
- Antunes, B.d.M.; Monteiro, P.A.; Silveira, L.S.; Cayres, S.U.; da Silva, C.B.; Junior, I.F.F. Effect of concurrent training on risk factors and hepatic steatosis in obese adolescents. Rev. Paul. Pediatr. 2013, 31, 371–376. [Google Scholar] [CrossRef]
- De Piano, A.; De Mello, M.T.; Sanches, P.D.L.; da Silva, P.L.; Campos, R.M.; Carnier, J.; Corgosinho, F.; Foschini, D.; Masquio, D.L.; Tock, L.; et al. Long-term effects of aerobic plus resistance training on the adipokines and neuropeptides in nonalcoholic fatty liver disease obese adolescents. Eur. J. Gastroenterol. Hepatol. 2012, 24, 1313–1324. [Google Scholar] [CrossRef]
- Foschini, D.; Arajo, R.C.; Bacurau, R.; De Piano, A.; De Almeida, S.S.; Carnier, J.; Rosa, T.D.; De Mello, M.T.; Tufik, S.; Dâmaso, A.R. Treatment of obese adolescents: The influence of periodization models and ACE genotype. Obesity 2010, 18, 766–772. [Google Scholar] [CrossRef] [PubMed]
- McGuigan, M.R.; Tatasciore, M.; Newton, R.U.; Pettigrew, S. Eight weeks of resistance training can significantly alter body composition in children who are overweight or obese. J. Strength Cond. Res. 2009, 23, 80–85. [Google Scholar] [CrossRef] [PubMed]
- Davis, J.N.; Kelly, L.A.; Lane, C.J.; Ventura, E.E.; Byrd-Williams, C.E.; Alexandar, K.A.; Azen, S.P.; Chou, C.-P.; Spruijt-Metz, D.; Weigensberg, M.J.; et al. Randomized control trial to improve adiposity and insulin resistance in overweight Latino adolescents. Obesity 2009, 17, 1542–1548. [Google Scholar] [CrossRef] [PubMed]
- Sgro, M.; McGuigan, M.R.; Pettigrew, S.; Newton, R.U. The effect of duration of resistance training interventions in children who are overweight or obese. J. Strength Cond. Res. 2009, 23, 1263–1270. [Google Scholar] [CrossRef]
- Benson, A.C.; Torode, M.E.; Singh, M.A. The effect of high-intensity progressive resistance training on adiposity in children: A randomized controlled trial. Int. J. Obes. 2008, 32, 1016–1027. [Google Scholar] [CrossRef]
- Shaibi, G.Q.; Cruz, M.L.; Ball, G.D.C.; Weigensberg, M.J.; Salem, G.J.; Crespo, N.C.; Goran, M.I. Effects of resistance training on insulin sensitivity in overweight Latino adolescent males. Med. Sci. Sports Exerc. 2006, 38, 1208–1215. [Google Scholar] [CrossRef]
- Yu, C.C.; Sung, R.Y.; Hau, K.T.; Lam, P.K.; Nelson, E.A.; So, R.C. The effect of diet and strength training on obese children’s physical self-concept. J Sports Med Phys Fitness. 2008, 48, 76–82. [Google Scholar]
- Alberga, A.S.; Sigal, R.J.; Kenny, G.P. A review of resistance exercise training in obese adolescents. Physician Sportsmed. 2011, 39, 50–63. [Google Scholar] [CrossRef]
- Strasser, B.; Schobersberger, W. Evidence for resistance training as a treatment therapy in obesity. J. Obes. 2011, 2011, 482564. [Google Scholar] [CrossRef]
- Elly, C.; Urnett, N.; Ewton, M. Effects of strength training on body composition and bone mineral content in children who are obese. Strength Cond. 2005, 25, 396–403. [Google Scholar]
- Valentino, T.; Mobley, C.B.; McCarthy, J.J. The role of extracellular vesicles in skeletal muscle and systematic adaptation to exercise. J. Physiol. 2021, 599, 845–861. [Google Scholar] [CrossRef]
- Gutin, B.; Barbeau, P.; Owens, S.; Lemmon, C.R.; Bauman, M.; Allison, J.; Kang, H.-S.; Litaker, M.S. Effects of exercise intensity on cardiovascular fitness, total body composition, and visceral adiposity of obese adolescents. Am. J. Clin. Nutr. 2002, 75, 818–826. [Google Scholar] [CrossRef] [PubMed]
- Smith, J.J.; Eather, N.; Morgan, P.J.; Plotnikoff, R.C.; Faigenbaum, A.D.; Lubans, D.R. The health benefits of muscular fitness for children and adolescents: A systematic review and meta-analysis. Sports Med. 2014, 44, 1209–1223. [Google Scholar] [CrossRef] [PubMed]
- Lloyd, R.S.; Faigenbaum, A.D.; Stone, M.H.; Oliver, J.L.; Jeffreys, I.; Moody, J.A.; Brewer, C.; Pierce, K.C.; McCambridge, T.M.; Howard, R.; et al. Position statement on youth resistance training: The 2014 International Consensus. Br. J. Sports Med. 2014, 48, 498–505. [Google Scholar] [CrossRef]




| Folio | Study | Country | Sample | Age | Nutritional Status | Duration | Type of Training | Outcome Measures | Methodological Quality |
|---|---|---|---|---|---|---|---|---|---|
| 1 | Seo, Y. G et al., 2021 [21] | South Korea | A quasi-experimental intervention trial including 242 participants. Participants were categorized into three groups to receive usual care (usual care group), exercise intervention with circuit training (exercise group) or intensive nutritional intervention and feedback with a balanced diet (nutritional group). | Between 6 and 17 years. Average age: 11 | Overweight and obesity | Phases 1, 2, 3 and 4 correspond to the intensive intervention (for 6 months), group activity (for 6 months), reinforcement (for 3 months) and group activity (for 9 months), respectively. The intervention lasted for 24 weeks, 3 days a week for 60 min per session (one group exercise session and two home exercise sessions) (72 sessions in total) | (RT) Full body, plus aerobic exercise (home exercises) | Body fat (%), fat-free mass (kg), BMI. | 3 |
| 2 | Miguet, M. et al., 2020 [22] | France | A total of 43 adolescents were divided into two groups: MICT (n = 21) or HIIT (n = 22). | Between 11 and 15 years. Average age: 13 | Obesity | The intervention lasted 16 weeks: 4 sessions per week, nutritional education (2/month) and psychological support (1/month) (64 sessions in total). | Aerobic: HIIT and MICT plus (RT) Whole body | Body fat (%), fat-free mass (kg), BMI. | 2 |
| 3 | B. Horsak et al., 2019 [23] | Austria | A total of 51 children and adolescents divided into 2 groups (experimental group = 26/control Group n = 25). | Between 10 and 18 years. Average age: 13 | Obesity | The intervention lasted 12 weeks: 2 sessions per week, duration 60 min each session (24 sessions in total). | (RT) Lower body | Body fat (%), fat-free mass (kg) | 2 |
| 4 | Branco, B. H. M, et al., 2018 [24] | Brazil | A total of 18 adolescent males divided into 2 groups (Weightlifting = 9/functional training = 9) | Between 15 and 17 years. Average age: 16 | Obesity | The intervention lasted 12 weeks. From 1 to 6 weeks: 3 sessions per week, duration 46 min each session. From 7 to 12 weeks: 3 sessions per week, 52 min each session (36 sessions in total). | (RT) Whole body | Body fat (%), fat-free mass (kg), BMI, WC, WC | 1 |
| 5 | Bharath, L et al., 2018 [25] | Germany | A total of 40 adolescents were randomly assigned to a group of exercise training (EX; n = 20) or without exercise (CON; n = 20). | Average 14 | Obesity | The CRAE program was performed for 60 min, 5 times a week for 12 weeks. (60 sessions in total) | (RT) Whole body plus aerobic exercise | Body fat (%), fat-free mass (kg), BMI, WC. | 2 |
| 6 | Bruñó, A et al., 2018 [26] | Spain. | A total of 52 participants were randomly assigned to a print (n = 18), web-based (Move It; n = 18) or Move It plus support group (n = 16). | Between 9 and 16 years. Average age: 12 | Obesity | The intervention included 60 sessions distributed over 12 weeks, with five weekly sessions of 60 min each. | (RT) Full body, plus aerobic exercise (home exercises) | Body fat (%). | 3 |
| 7 | Fiorilli, G et al., 2017 [27] | Italy | A total of 41 overweight adolescents were randomly divided into three exercise groups: in the first phase, the first group performed a 16-week moderate-intensity strength training (RT), the second group performed a 16-week high-intensity RT, and the third group performed aerobic training (AT) for 16 weeks. In the second phase, all groups performed aerobic exercise for 6 weeks. | Between 12 and 15 years. | Obesity | The intervention lasted 22 weeks: 3 weekly sessions, 40 min per session. | (RT) Medium intensity and high intensity full body and aerobic exercise | Body fat (%), fat-free mass (kg), BMI, WC. | 2 |
| 8 | Rey, O et al., 2017 [28] | France | A total of 24 remaining participants (14 girls and 10 boys). | Between 14 and 15 years. | Obesity | The intervention lasted 5 weeks: 3 sessions per week, 45 min sessions. | Vigorous aerobic training | Body fat (%), fat-free mass (kg), BMI. | 2 |
| 9 | Crouter, S. et al., 2016 [29] | United States | A total of 30 participants. | Between 7 and 18 years. Average age: 11 | Obesity | The intervention lasted 24 weeks: 4 times a week for a duration of 90 min. It included aerobic, strength and self-organized exercises. | (RT) Whole body and aerobic exercise | Body fat (%), fat-free mass (kg), BMI. | 2 |
| 10 | Dias, I, et al., 2015 [30] | Brazil | A total of 24 adolescent women with obesity composed the experimental group. The control group included 20 adolescents without obesity. | Between 13 and 17 years. Average 14 | Obesity | The intervention lasted 12 weeks: 3 sessions per week on nonconsecutive days, duration of 30–40 min each session (36 sessions in total). | (RT) Whole body | Body fat (%), fat-free mass (kg), BMI | 2 |
| 11 | Kelly, L. A, et al., 2015 [31] | United States | A total of 26 Latino adolescents, randomly assigned to a strength training group (n = 13) or a control group (n = 13). | Between 14 and 18 years. Average 15 | Obesity | The intervention lasted 16 weeks, 2 weekly sessions, duration of 1 h post-session (32 sessions in total). | (RT) Whole body The HBST intervention was performed in the homes of the participants. | Body fat (%), fat-free mass (kg), BMI | 2 |
| 12 | Monteiro, P et al., 2015 [32] | Brazil | A total of 32 adolescents with obesity participated in two randomized training groups, concurrent (n = 14) or aerobic (n = 18), and were compared with a control group of (n = 16). | Between 11 and 17 years. Average age: 11 | Obesity | The intervention lasted 20 weeks (50 min x 3 per week, supervised). | Concurrent training and aerobic training | Body fat (%), fat-free mass (kg), BMI, WC. | 2 |
| 13 | Antunes, B et al., 2015 [33] | Brazil | A total of 25 adolescents with obesity. | Between 12 and 15 years. Average age: 13 | Obesity | The intervention lasted 20 weeks, 3 times a week, with a duration of 60 min per session. | Concurrent training | Body fat (%), fat-free mass (kg), BMI, TG, CL, SBP, DBP. | 2 |
| 14 | Inoue, D et al., 2015 [34] | Brazil | A total of 45 adolescents were randomly assigned to three groups: aerobic training (EA n = 20), aerobic training plus strength with linear periodization (LP n = 13) and aerobic training plus strength training with daily undulating periodization (DUP n = 12). | Between 15 and 18 years. Average age: 16 | Obesity | The intervention lasted 26 weeks: 3 times a week, with 60-min sessions. | Aerobic training, (RT) with linear periodization and (RT) with daily undulating periodization. | Body fat (%), fat-free mass (kg), BMI, TG, CL. | 2 |
| 15 | Dâmaso, A et al., 2014 [35] | Brazil | A total of 116 adolescents were randomly assigned into two groups: AT (n = 55), AT + RT (n = 61). 82 girls and 57 boys | Between 15 and 19 years. Average age: 16 | Obesity | The intervention lasted 52 weeks (1 year): three times a week, including 60 min per session. (30 min of AT and 30 min of strength training). | (RT) Whole body and aerobic exercise | Body fat (%), fat-free mass (kg), BMI, Glc, Ins, HOMA-IR, TG, Leptin, Adiponectin. | 3 |
| 16 | Ackel-D’Elia et al., 2014 [36] | Brazil | A total of 72 adolescents, 50 girls and 22 boys The subjects were randomized into 3 groups: 1) aerobic training plus resistance (AT + RT: n = 24; 9 boys and 15 girls); 2) aerobic training (AT: n = 24; 7 boys and 17 girls) and 3) leisure physical activity (LPA: n = 24; 6 boys and 18 girls). | Between 15 and 19 years. Average age: | Obesity | The intervention lasted 24 weeks: 60 min per session and performed 3 times per week. | (RT) Whole body and aerobic exercise | Body fat (%), fat-free mass (kg), BMI, Glc, Ins, HOMA-IR, Leptin. | 3 |
| 17 | Sigal et al., 2014 [37] | Canada | A total of 304 participants were randomized to the following 4 groups for 22 weeks: aerobic training (n = 75), strength training (n = 78), combined aerobic and resistance training (n = 75) or control without exercise (n = 76). | Between 14 and 18 years. Average age: 15 | Obesity | The intervention lasted 24 weeks: 4 days a week, 50 min per session. | (RT) Whole body and aerobic exercise | Body fat (%), fat-free mass (kg), BMI, WC, SBP, DBP, Glc, Ins, CL, TG. | 3 |
| 18 | Vásquez, F, et al., 2013 [38] | Chile | A total of 111 children were included. Early intervention group = 60 executed in parallel physical exercise of muscular strength, food education and psychological support for 3 months. Late intervention group = 51 incorporated the first 3 months, only educational intervention and psychological support, and exercise was added between 3 and 6 months. | Between 8 and 13 years. | Obesity | The intervention lasted three months (12 weeks): three times a week on nonconsecutive days, with a duration of 45 min (36 sessions in total). | (RT) Whole body | BMI, fat mass | 3 |
| 19 | Alberga, A. S, et al., 2013 [39] | Canada | A total of 19 children divided into 2 groups (moderate intensity strength exercises and high repetition (n = 12) and control group without intervention (n = 7). | Between 8 and 12 years. Average age: 10 | Obesity | The intervention lasted 12 weeks: 2 sessions per week, duration of 75 min per session (24 in total). | (RT) Whole body | Body fat (%), fat-free mass (kg), BMI. | 2 |
| 20 | Antunes et al., 2013 [40] | Brazil | A total of 34 adolescents with obesity, including 12 girls and 22 boys in a single training group | Between 12 and 15 years. Average age: 13 | Obesity | The intervention lasted 20 weeks: 3 times a week, with a duration of 60 min per session. | (RT) Whole body and aerobic exercise | Body fat (%), fat-free mass (kg), BMI, TG, CL. | 2 |
| 21 | De Piano et al., 2012 [41] | Brazil | A total of 58 adolescents (37 boys 32 girls) divided into two groups Aerobic (AT) n = 29, and Aerobic plus strength (AE + RT) n = 29. | Between 15 and 19 years. Average age: 16 | Obesity | The intervention lasted 52 weeks: 3 times per week, 60 min per session. | (RT) Whole body and aerobic exercise | Body fat (%), fat-free mass (kg), BMI, HOMA-IR, CL, TG, Adiponectin, Leptin. | 3 |
| 22 | Foschini et al., 2010 [42] | Brazil | A total of 32 adolescents with obesity divided into two groups: linear periodization (LP) (n = 16) and daily undulating periodization (DUP) (n = 16). | Average age: 16 years | Obesity | The intervention lasted 14 weeks: three weekly sessions, 60 min per session. | (RT) Whole body | Body fat (%), fat-free mass (kg), BMI, Glc, Ins, HOMA-IR, CL, SBP, DBP. | 2 |
| 23 | Mc Guigan, M, et al., 2009 [43] | Australia | A total of 48 overweight and obese children (n = 26 girls and 22 boys; mean age = 9.7 years). | Between 7 and 12 years. Average age: 9 | Overweight and obesity | The intervention lasted 8 weeks:, 3 weekly sessions (24 sessions in total). | (RT) Wavy periodized full body | Body fat (%), fat-free mass (kg), BMI. | 2 |
| 24 | Davis, J. N, et al., 2009 [44] | United States | A total of 54 overweight Latino adolescents (15.5 ± 1.0 years) were randomly assigned to: (i) Control (C; n = 16), (ii) Nutrition (N; n = 21), or (iii) Nutrition + Strength training. (N + ST; n = 17). | Between 14 and 18 years. Average age: 15 | Overweight | In a 16-week randomized trial, 2 sessions per week on two nonconsecutive days (32 sessions in total), lasting 60 min each session. | (RT) Whole body | Total fat (kg), fat-free mass (kg), BMI. | 3 |
| 25 | Sgro, M et al., 2009 [45] | Australia | A total of 31 preadolescent children with overweight or obesity, divided into 3 groups. Group 8 (G8) trained for 8 weeks, Group 16 (G16) trained for 16 weeks, and Group 24 (G24) trained for 24 weeks. | Between 7 and 12 years. Average age: 9 years | Overweight and Obesity | Longitudinal design of 8, 16 and 24 weeks with 3 weekly sessions, between 45 and 60 min per session. | (RT) Full body with a combination of different power exercises and body weight with undulating variation (progressive) | Body fat (%), fat-free mass (kg). | 2 |
| 26 | Benson, A. C et al., 2008 [46] | Australia | A total of 78 children (32 girls and 46 boys). Divided into 2 groups: PRT intervention (37) and Control (41). | Average age: 12 years | Normal weight, Overweight and Obesity | The PRT group trained twice a week for 8 weeks (16 sessions in total). | (RT) Whole body | Body fat (%), fat-free mass (kg), BMI, WC. | 3 |
| 27 | Shaibi, G et al., 2006 [47] | United States | A total of 22 Latino adolescents were randomly assigned to a training group (RT = 11) or a control group without exercise (C = 11). | Average age: 15 years | Obesity | The intervention lasted 16 weeks: 2 weekly sessions of no more than 60 min (32 sessions in total). | (RT) Full body periodized and progressive in nature with an increase in the number of sets, repetitions and resistance used | Body fat (%), fat-free mass (kg), BMI. | 2 |
| 28 | YU, C et al., 2005 [48] | China | A total of 82 children from the Hong Kong school, divided into 2 groups (strength training with diet) or in the control group (diet only) (n 41 each). | Between 8 and 11 years. Average age: 10 | Overweight and obesity | The training group attended a 75-min strength exercise program 3 times a week for 6 weeks (phase 1, 18 in total), after which it was offered and 22 children chose to continue with a program once per week for 28 more weeks with one session per week (phase 2, 46 sessions in total). | (RT) Complete body, in circuit | Body fat (%), fat-free mass (kg), BMI. | 3 |
Publisher’s Note: MDPI stays neutral with regard to jurisdictional claims in published maps and institutional affiliations. |
© 2022 by the authors. Licensee MDPI, Basel, Switzerland. This article is an open access article distributed under the terms and conditions of the Creative Commons Attribution (CC BY) license (https://creativecommons.org/licenses/by/4.0/).
Share and Cite
Méndez-Hernández, L.D.; Ramírez-Moreno, E.; Barrera-Gálvez, R.; Cabrera-Morales, M.d.C.; Reynoso-Vázquez, J.; Flores-Chávez, O.R.; Morales-Castillejos, L.; Cruz-Cansino, N.d.S.; Jiménez-Sánchez, R.C.; Arias-Rico, J. Effects of Strength Training on Body Fat in Children and Adolescents with Overweight and Obesity: A Systematic Review with Meta-Analysis. Children 2022, 9, 995. https://doi.org/10.3390/children9070995
Méndez-Hernández LD, Ramírez-Moreno E, Barrera-Gálvez R, Cabrera-Morales MdC, Reynoso-Vázquez J, Flores-Chávez OR, Morales-Castillejos L, Cruz-Cansino NdS, Jiménez-Sánchez RC, Arias-Rico J. Effects of Strength Training on Body Fat in Children and Adolescents with Overweight and Obesity: A Systematic Review with Meta-Analysis. Children. 2022; 9(7):995. https://doi.org/10.3390/children9070995
Chicago/Turabian StyleMéndez-Hernández, Luis Diego, Esther Ramírez-Moreno, Rosario Barrera-Gálvez, María del Consuelo Cabrera-Morales, Josefina Reynoso-Vázquez, Olga Rocío Flores-Chávez, Lizbeth Morales-Castillejos, Nelly del Socorro Cruz-Cansino, Reyna Cristina Jiménez-Sánchez, and José Arias-Rico. 2022. "Effects of Strength Training on Body Fat in Children and Adolescents with Overweight and Obesity: A Systematic Review with Meta-Analysis" Children 9, no. 7: 995. https://doi.org/10.3390/children9070995
APA StyleMéndez-Hernández, L. D., Ramírez-Moreno, E., Barrera-Gálvez, R., Cabrera-Morales, M. d. C., Reynoso-Vázquez, J., Flores-Chávez, O. R., Morales-Castillejos, L., Cruz-Cansino, N. d. S., Jiménez-Sánchez, R. C., & Arias-Rico, J. (2022). Effects of Strength Training on Body Fat in Children and Adolescents with Overweight and Obesity: A Systematic Review with Meta-Analysis. Children, 9(7), 995. https://doi.org/10.3390/children9070995

