Near Infrared Spectroscopy Detects Change of Tissue Hemoglobin and Water Levelsin Kawasaki Disease and Coronary Artery Lesions
Abstract
:1. Introduction
2. Methods
2.1. Patients Studied
2.2. Optical Device for Evaluating the Tissue of Patients and Controls
3. Results
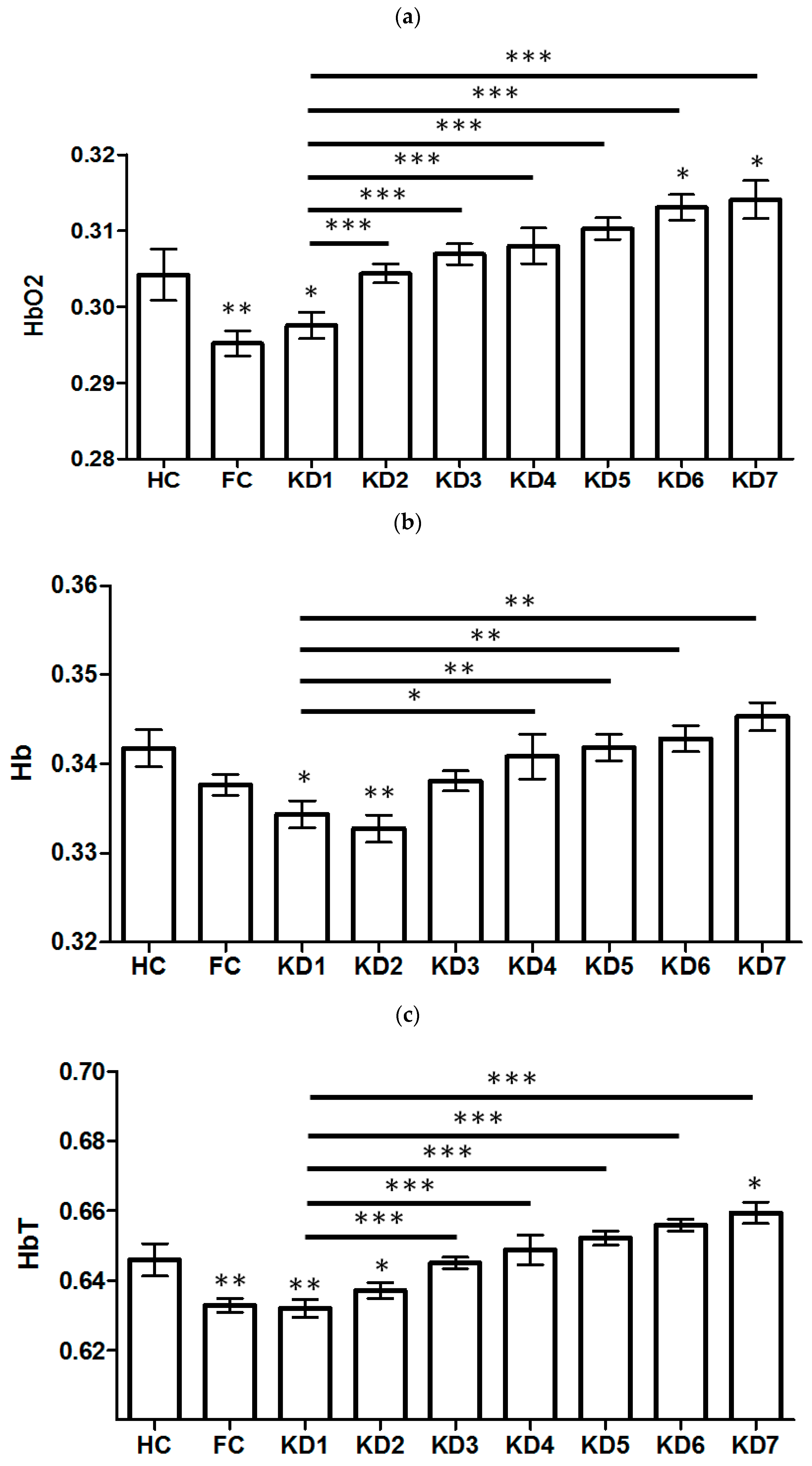
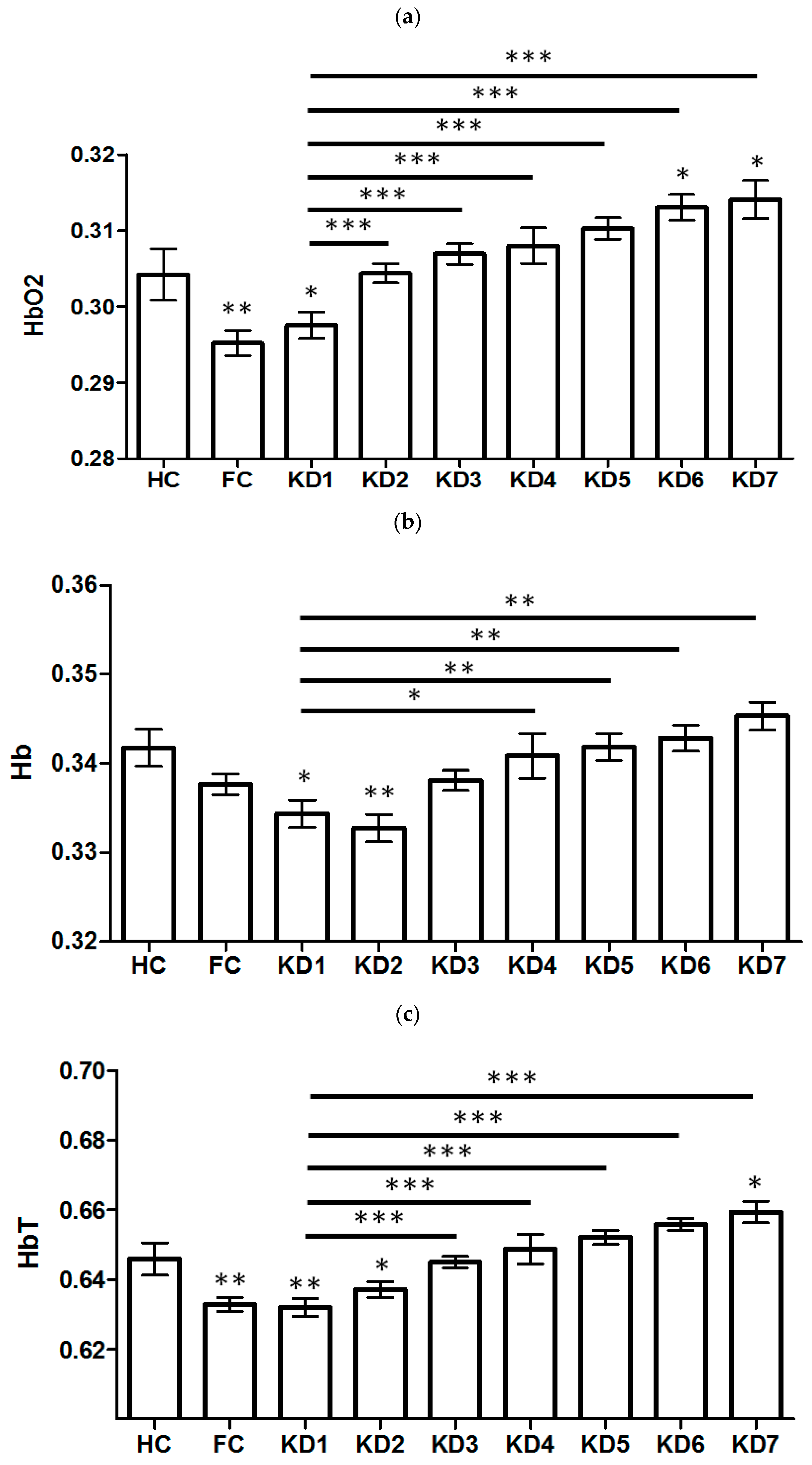
3.1. Changes of Physiological Parameters in Different Stages of KD
3.2. Relationship between Coronary Artery Lesions and Water Concentration
4. Discussion
5. Conclusions
Author Contributions
Funding
Institutional Review Board Statement
Informed Consent Statement
Conflicts of Interest
References
- Burns, J.C.; Glode, M.P. Kawasaki syndrome. Lancet 2004, 364, 533–544. [Google Scholar] [CrossRef]
- Kuo, H.C. Preventing coronary artery lesions in Kawasaki disease. Biomed. J. 2017, 40, 141–146. [Google Scholar] [CrossRef] [PubMed]
- Kuo, H.C.; Yang, Y.L.; Chuang, J.H.; Tiao, M.M.; Yu, H.R.; Huang, L.T.; Yang, K.D.; Chang, W.C.; Lee, C.P.; Huang, Y.H. Inflammationind, uced hepcidin is associated with the development of anemia and coronary artery lesions in Kawasaki disease. J. Clin. Immunol. 2012, 32, 746–752. [Google Scholar] [CrossRef] [PubMed]
- Newburger, J.W.; Takahashi, M.; Gerber, M.A.; Gewitz, M.H.; Tani, L.Y.; Burns, J.C.; Shulman, S.T.; Bolger, A.F.; Ferrieri, P.; Baltimore, R.S.; et al. Diagnosis, treatment, and long-term management of Kawasaki disease: A statement for health professionals from the Committee on Rheumatic Fever, Endocarditis and Kawasaki Disease, Council on Cardiovascular Disease in the Young, American Heart Association. Circulation 2004, 110, 2747–2771. [Google Scholar] [CrossRef] [PubMed] [Green Version]
- Huang, Y.-H.; Kuo, H.-C. Anemia in Kawasaki disease: Hepcidin as a potential biomarker. Int. J. Mol. Sci. 2017, 18, 820. [Google Scholar] [CrossRef]
- Huang, Y.-H.; Kuo, H.-C.; Huang, F.-C.; Yu, H.-R.; Hsieh, K.-S.; Yang, Y.-L.; Sheen, J.; Li, S.; Kuo, H. Hepcidin-induced iron deficiency is related to transient anemia and hypoferremia in Kawasaki disease patients. Int. J. Mol. Sci. 2016, 17, 715. [Google Scholar] [CrossRef] [Green Version]
- Kuo, H.C.; Lo, M.H.; Hsieh, K.S.; Guo, M.M.; Huang, Y.H. High-Dose Aspirin is Associated with Anemia and Does Not Confer Benefit to Disease Outcomes in Kawasaki Disease. PLoS ONE. 2015, 10, e0144603. [Google Scholar]
- Liu, X.P.; Huang, Y.S.; Kuo, H.C.; Xia, H.B.; Sun, Y.; Huang, W.D.; Lang, X.L.; Liu, C.Y.; Liu, X. A novel nomogram model for differentiating Kawasaki disease from sepsis. Sci. Rep. 2020, 10, 13745. [Google Scholar] [CrossRef]
- McCrindle, B.W.; Rowley, A.H.; Newburger, J.W.; Burns, J.C.; Bolger, A.F.; Gewitz, M.; Annette, L.; Mary, A.; Masato, T.; Pinak, B.S.; et al. Diagnosis, Treatment, and Long-Term Management of Kawasaki Disease: A Scientific Statement for Health Professionals from the American Heart Association. Circulation 2017, 135, e927–e999. [Google Scholar] [CrossRef]
- Kuo, H.C.; Lo, C.C.; Lin, P.X.; Kao, C.C.; Huang, Y.H.; Lin, B.S. Wireless optical monitoring system identifies limb induration characteristics in patients with Kawasaki disease. J. Allergy Clin. Immunol. 2018, 142, 710–711. [Google Scholar] [CrossRef]
- Huang, Y.K.; Chang, C.C.; Lin, P.X.; Lin, B.S. Quantitative Evaluation of Rehabilitation Effect on Peripheral Circulation of Diabetic Foot. IEEE J. Biomed. Health Inform. 2018, 22, 1019–1025. [Google Scholar] [CrossRef] [PubMed]
- Kuo, J.R.; Lin, B.S.; Cheng, C.L.; Chio, C.C. Hypoxic-state estimation of brain cells by using wireless near-infrared spectroscopy. IEEE J. Biomed. Health Inform. 2014, 18, 167–173. [Google Scholar] [CrossRef] [PubMed] [Green Version]
- Tsuji, M.; Plessis, A.; Taylor, G.; Crocker, R.; Volpe, J.J. Near infrared spectroscopy detects cerebral ischemia during hypotension in piglets. Pediatr. Res. 1998, 44, 591–595. [Google Scholar] [CrossRef] [PubMed] [Green Version]
- Kuo, H.C.; Liang, C.D.; Wang, C.L.; Yu, H.R.; Hwang, K.P.; Yang, K.D. Serum albumin level predicts initial intravenous immunoglobulin treatment failure in Kawasaki disease. Acta Paediatr. 2010, 99, 1578–1583. [Google Scholar] [CrossRef] [PubMed]
- Chen, C.-J.; Huang, F.-C.; Tiao, M.-M.; Huang, Y.-H.; Lin, L.-Y.; Yu, H.-R.; Yang, K.D.; Huang, Y.-C.; Chang, W.-C.; Kuo, H.-C. Sonographic gallbladder abnormality is associated with intravenous immunoglobulin resistance in Kawasaki disease. Sci. World J. 2012, 2012, 485758. [Google Scholar] [CrossRef] [Green Version]
- Liu, X.-P.; Huang, Y.-S.; Xia, H.-B.; Sun, Y.; Lang, X.-L.; Li, Q.-Z.; Liu, C.-Y.; Kuo, H.-C.; Huang, W.-D.; Liu, X. A Nomogram Model Identifies Eosinophilic Frequencies to Powerfully Discriminate Kawasaki Disease From Febrile Infections. Front. Pediatr. 2020, 8, 856. [Google Scholar] [CrossRef]
- Kim, M.K.; Song, M.S.; Kim, G.B. Factors Predicting Resistance to Intravenous Immunoglobulin Treatment and Coronary Artery Lesion in Patients with Kawasaki Disease: Analysis of the Korean Nationwide Multicenter Survey from 2012 to 2014. Korean Circ. J. 2018, 48, 71–79. [Google Scholar] [CrossRef] [Green Version]
- Wang, J.; Li, J.; Ren, Y.; Shi, H.; Rong, X.; Zhang, X.; Yiping, S.; Rongzhou, W.; Maoping, C.; Huixian, Q. Association between Alanine Aminotransferase/Aspartate Aminotransferase Ratio (AST/ALT Ratio) and Coronary Artery Injury in Children with Kawasaki Disease. Cardiol. Res. Pract. 2020, 2020, 8743548. [Google Scholar] [CrossRef] [Green Version]
- Lin, B.-S.; Chang, C.-C.; Su, C.-L.; Li, J.-R.; Chen, M.-L.; Chen, M.-Y.; Huang, Y.-K. The assessment of Buerger’s exercise on dorsal foot skin circulation in patients with vasculopathic diabetic foot ulcer by using wireless near-infrared spectroscope: A cohort prospective study. Lasers Med. Sci. 2018, 33, 977–982. [Google Scholar] [CrossRef]
- Huang, Y.-K.; Lin, C.-K.; Wang, C.-C.; Kuo, J.-R.; Lai, C.-F.; Chen, C.-W.; Lin, B.-S. A novel wireless optical technique for quantitative evaluation of cerebral perfusion pressure in a fluid percussion animal model of traumatic brain injury. Quant. Imaging Med. Surg. 2021, 11, 2388–2396. [Google Scholar] [CrossRef]
- Rahman, L.; Oyama, K.; Tsubaki, A.; Sakatani, K. Event-Related NIRS and EEG Analysis for Mental Stress Monitoring. Adv. Exp. Med. Biol. 2021, 1269, 9–13. [Google Scholar] [PubMed]
- Tsai, C.M.; Yu, H.R.; Tang, K.S.; Huang, Y.H.; Kuo, H.C. C-Reactive Protein to Albumin Ratio for Predicting Coronary Artery Lesions and Intravenous Immunoglobulin Resistance in Kawasaki Disease. Front. Pediatr. 2020, 8, 607631. [Google Scholar] [CrossRef] [PubMed]
- Terai, M.; Honda, T.; Yasukawa, K.; Higashi, K.; Hamada, H.; Kohno, Y. Prognostic impact of vascular leakage in acute Kawasaki disease. Circulation 2003, 108, 325–330. [Google Scholar] [CrossRef] [PubMed] [Green Version]




| Groups | |||||||||
|---|---|---|---|---|---|---|---|---|---|
| HC | FC | KD1 | KD2 | KD3 | KD4 | KD5 | KD6 | KD7 | |
| Case number | 20 | 64 | 58 | 89 | 115 | 66 | 51 | 25 | 23 |
| Age (years) | 2.17 ± 1.45 | 1.92 ± 0.99 | 1.77 ± 1.22 | 1.99 ± 1.35 | 1.97 ± 1.57 | 2.37 ± 1.55 | 3.24 ± 1.59 | 4.12 ± 1.11 | 5.23 ± 2.18 |
| Male gender | 15 | 36 | 38 | 63 | 67 | 46 | 35 | 16 | 13 |
| Female gender | 5 | 28 | 20 | 26 | 48 | 20 | 16 | 9 | 10 |
Publisher’s Note: MDPI stays neutral with regard to jurisdictional claims in published maps and institutional affiliations. |
© 2022 by the authors. Licensee MDPI, Basel, Switzerland. This article is an open access article distributed under the terms and conditions of the Creative Commons Attribution (CC BY) license (https://creativecommons.org/licenses/by/4.0/).
Share and Cite
Kuo, H.-C.; Liu, S.-F.; Lin, P.-X.; Yang, K.D.; Lin, B.-S. Near Infrared Spectroscopy Detects Change of Tissue Hemoglobin and Water Levelsin Kawasaki Disease and Coronary Artery Lesions. Children 2022, 9, 299. https://doi.org/10.3390/children9030299
Kuo H-C, Liu S-F, Lin P-X, Yang KD, Lin B-S. Near Infrared Spectroscopy Detects Change of Tissue Hemoglobin and Water Levelsin Kawasaki Disease and Coronary Artery Lesions. Children. 2022; 9(3):299. https://doi.org/10.3390/children9030299
Chicago/Turabian StyleKuo, Ho-Chang, Shih-Feng Liu, Pin-Xing Lin, Kuender D. Yang, and Bor-Shyh Lin. 2022. "Near Infrared Spectroscopy Detects Change of Tissue Hemoglobin and Water Levelsin Kawasaki Disease and Coronary Artery Lesions" Children 9, no. 3: 299. https://doi.org/10.3390/children9030299
APA StyleKuo, H.-C., Liu, S.-F., Lin, P.-X., Yang, K. D., & Lin, B.-S. (2022). Near Infrared Spectroscopy Detects Change of Tissue Hemoglobin and Water Levelsin Kawasaki Disease and Coronary Artery Lesions. Children, 9(3), 299. https://doi.org/10.3390/children9030299

