Cold Ischemia Time and Graft Fibrosis Are Associated with Autoantibodies after Pediatric Liver Transplantation: A Retrospective Cohort Study of the European Reference Network TransplantChild
Abstract
:1. Introduction
2. Materials and Methods
3. Results
3.1. Cohort Characteristic
3.2. Variables Associated with SMA and ANA Positivitiy
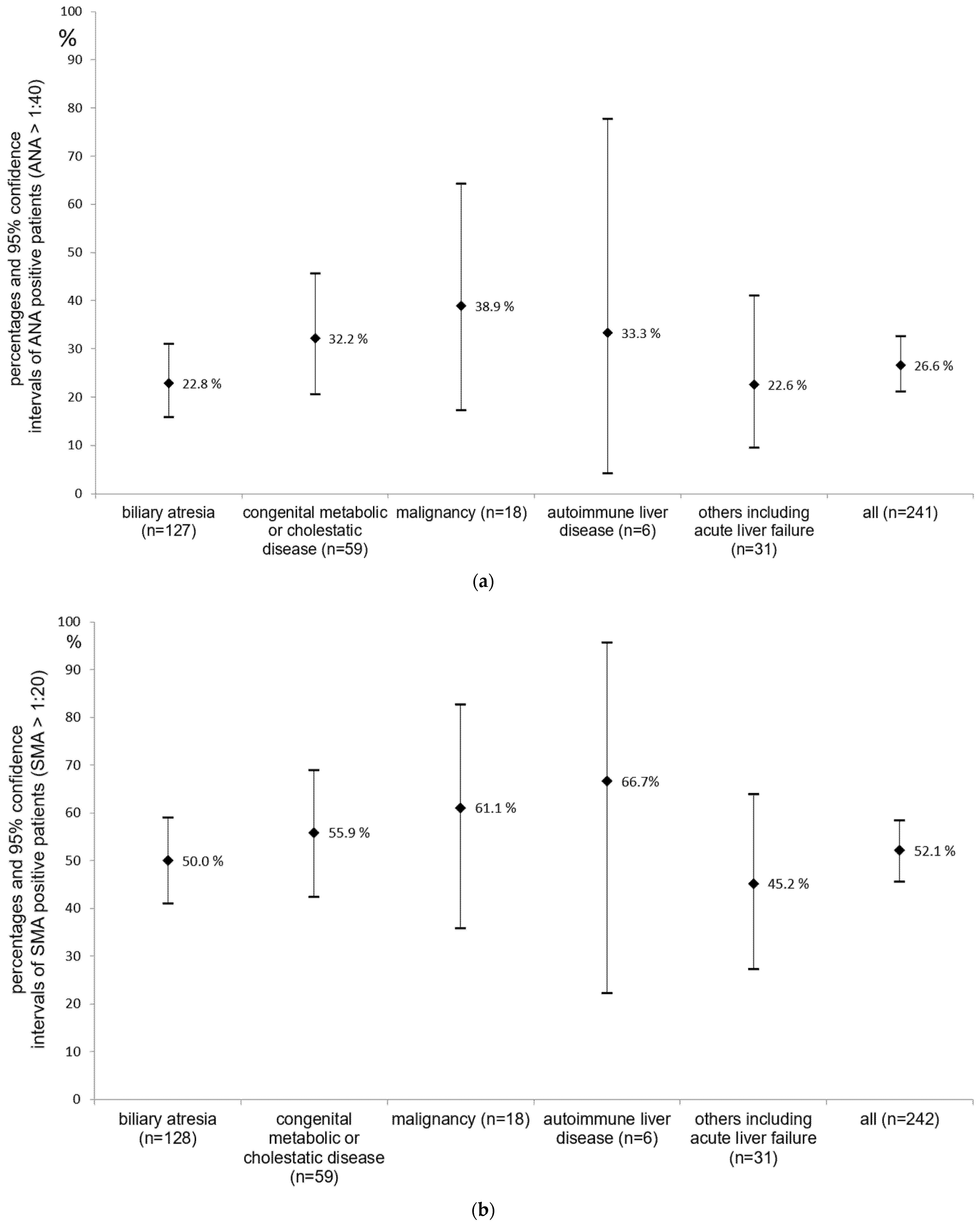
3.3. Liver Disease Leading to pLTX
3.4. Association between Autoantibodies and Histology Results
3.4.1. T-cell Mediated Rejection
3.4.2. Graft Fibrosis
4. Discussion
Limitations
5. Conclusions
Supplementary Materials
Author Contributions
Funding
Institutional Review Board Statement
Informed Consent Statement
Data Availability Statement
Acknowledgments
Conflicts of Interest
References
- Leiskau, C.; Junge, N.; Pfister, E.; Goldschmidt, I.; Mutschler, F.; Laue, T.; Ohlendorf, J.; Nasser, H.; Beneke, J.; Richter, N.; et al. Recipient-Specific Risk Factors Impairing Patient and Graft Outcome after Pediatric Liver Transplantation-Analysis of 858 Transplantations in 38 Years. Children 2021, 8, 641. [Google Scholar] [CrossRef] [PubMed]
- Evans, H.M.; Kelly, D.A.; McKiernan, P.J.; Hubscher, S. Progressive histological damage in liver allografts following pediatric liver transplantation. Hepatology 2006, 43, 1109–1117. [Google Scholar] [CrossRef] [PubMed]
- Kelly, D.; Verkade, H.J.; Rajanayagam, J.; McKiernan, P.; Mazariegos, G.; Hubscher, S. Late graft hepatitis and fibrosis in pediatric liver allograft recipients: Current concepts and future developments. Liver Transpl. 2016, 22, 1593–1602. [Google Scholar] [CrossRef] [PubMed]
- Alvarez, F.; Berg, P.A.; Bianchi, F.B.; Bianchi, L.; Burroughs, A.K.; Cancado, E.L.; Chapman, R.W.; Cooksley, W.G.; Czaja, A.J.; Desmet, V.J.; et al. International Autoimmune Hepatitis Group Report: Review of criteria for diagnosis of autoimmune hepatitis. J. Hepatol. 1999, 31, 929–938. [Google Scholar] [CrossRef]
- Gui, H.; Wang, W.; Li, Q.; Li, Z.; Lu, J.; Xie, Q. Autoimmune liver disease-associated serologic profiling in Chinese patients with acute hepatitis E virus infection. Immunol. Res. 2021, 69, 81–89. [Google Scholar] [CrossRef] [PubMed]
- de Boer, Y.S.; Kosinski, A.S.; Urban, T.J.; Zhao, Z.; Long, N.; Chalasani, N.; Kleiner, D.E.; Hoofnagle, J.H. Features of Autoimmune Hepatitis in Patients With Drug-induced Liver Injury. Clin. Gastroenterol. Hepatol. 2017, 15, 103–112. [Google Scholar] [CrossRef] [Green Version]
- Khayat, A.; Vitola, B. Prevalence and Clinical Significance of Autoantibodies in Children with Overweight and Obesity with Nonalcoholic Fatty Liver Disease. J. Pediatr. 2021, 239, 155–160. [Google Scholar] [CrossRef]
- Zhou, Y.; Zheng, K.I.; Ma, H.; Li, G.; Pan, X.; Zhu, P.; Targher, G.; Byrne, C.D.; Wang, X.; Chen, Y.; et al. Association between positivity of serum autoantibodies and liver disease severity in patients with biopsy-proven NAFLD. Nutr. Metab. Cardiovasc. Dis. 2021, 31, 552–560. [Google Scholar] [CrossRef]
- Lian, M.; Hua, J.; Sheng, L.; Qiu, D.K. Prevalence and significance of autoantibodies in patients with alcoholic liver disease. J. Dig. Dis. 2013, 14, 396–401. [Google Scholar] [CrossRef]
- Chen, C.Y.; Ho, M.C.; Wu, J.F.; Jeng, Y.M.; Chen, H.L.; Chang, M.H.; Lee, P.H.; Hu, R.H.; Ni, Y.H. Development of autoantibodies after pediatric liver transplantation. Pediatr. Transplant. 2013, 17, 144–148. [Google Scholar] [CrossRef]
- Avitzur, Y.; Ngan, B.Y.; Lao, M.; Fecteau, A.; Ng, V.L. Prospective evaluation of the prevalence and clinical significance of positive autoantibodies after pediatric liver transplantation. J. Pediatr. Gastroenterol. Nutr. 2007, 45, 222–227. [Google Scholar] [CrossRef] [PubMed]
- Richter, A.; Grabhorn, E.; Helmke, K.; Manns, M.P.; Ganschow, R.; Burdelski, M. Clinical relevance of autoantibodies after pediatric liver transplantation. Clin. Transplant. 2007, 21, 427–432. [Google Scholar] [CrossRef] [PubMed]
- Riva, S.; Sonzogni, A.; Bravi, M.; Bertani, A.; Alessio, M.G.; Candusso, M.; Stroppa, P.; Melzi, M.L.; Spada, M.; Gridelli, B.; et al. Late graft dysfunction and autoantibodies after liver transplantation in children: Preliminary results of an Italian experience. Liver Transpl. 2006, 12, 573–577. [Google Scholar] [CrossRef] [PubMed]
- Feng, S.; Bucuvalas, J.C.; Demetris, A.J.; Burrell, B.E.; Spain, K.M.; Kanaparthi, S.; Magee, J.C.; Ikle, D.; Lesniak, A.; Lozano, J.J.; et al. Evidence of Chronic Allograft Injury in Liver Biopsies From Long-term Pediatric Recipients of Liver Transplants. Gastroenterology 2018, 155, 1838–1851.e7. [Google Scholar] [CrossRef] [PubMed]
- Sheikh, A.; Chau, K.Y.; Evans, H.M. Histological findings in protocol biopsies following pediatric liver transplant: Low incidence of abnormalities at 5 years. Pediatr. Transplant. 2018, 22, e13212. [Google Scholar] [CrossRef]
- Saelens, E.M.; Van Biervliet, S.; Vande Velde, S.; Van Winckel, M.; Rogiers, X.; Vanlander, A.; Daniels, L.; Bonroy, C.; De Bruyne, R.M.L. Autoantibodies and Donor-specific Antibodies are Associated With Graft Dysfunction in Pediatric Liver Transplantation. J. Pediatr. Gastroenterol. Nutr. 2021, 72, 661–666. [Google Scholar] [CrossRef]
- Lohse, A.W.; Chazouilleres, O.; Dalekos, G.; Drenth, J.; Heneghan, M.; Hofer, H.; Lammert, F.; Lenzi, M. European Association for the Study of the Liver EASL Clinical Practice Guidelines: Autoimmune hepatitis. J. Hepatol. 2015, 63, 971–1004. [Google Scholar] [CrossRef]
- Anonymous. Banff schema for grading liver allograft rejection: An international consensus document. Hepatology 1997, 25, 658–663. [Google Scholar]
- Ishak, K.; Baptista, A.; Bianchi, L.; Callea, F.; De Groote, J.; Gudat, F.; Denk, H.; Desmet, V.; Korb, G.; MacSween, R.N. Histological grading and staging of chronic hepatitis. J. Hepatol. 1995, 22, 696–699. [Google Scholar] [CrossRef]
- von Elm, E.; Altman, D.G.; Egger, M.; Pocock, S.J.; Gotzsche, P.C.; Vandenbroucke, J.P. STROBE Initiative The Strengthening the Reporting of Observational Studies in Epidemiology (STROBE) statement: Guidelines for reporting observational studies. J. Clin. Epidemiol. 2008, 61, 344–349. [Google Scholar] [CrossRef] [Green Version]
- Lozanovski, V.J.; Dohler, B.; Weiss, K.H.; Mehrabi, A.; Susal, C. The Differential Influence of Cold Ischemia Time on Outcome After Liver Transplantation for Different Indications-Who Is at Risk? A Collaborative Transplant Study Report. Front. Immunol. 2020, 11, 892. [Google Scholar] [CrossRef] [PubMed]
- Jochmans, I.; Fieuws, S.; Tieken, I.; Samuel, U.; Pirenne, J. The Impact of Implantation Time During Liver Transplantation on Outcome: A Eurotransplant Cohort Study. Transplant. Direct 2018, 4, e356. [Google Scholar] [CrossRef]
- Stahl, J.E.; Kreke, J.E.; Malek, F.A.; Schaefer, A.J.; Vacanti, J. Consequences of cold-ischemia time on primary nonfunction and patient and graft survival in liver transplantation: A meta-analysis. PLoS ONE 2008, 3, e2468. [Google Scholar] [CrossRef] [PubMed] [Green Version]
- Rhu, J.; Ha, S.Y.; Lee, S.; Kim, J.M.; Choi, G.S.; Joh, J.W.; Lee, S.K. Risk factors of silent allograft fibrosis 10 years post-pediatric liver transplantation. Sci. Rep. 2020, 10, 1833. [Google Scholar] [CrossRef] [PubMed] [Green Version]
- Kappi, T.; Rabe, H.; Lingblom, C.; Hesselmar, B.; Kullberg-Lindh, C.; Wold, A.E.; Wenneras, C.; Saalman, R. High Frequency of Concomitant Food Allergy Development and Autoantibody Formation in Children Who Have Undergone Liver Transplantation. Transplantation 2019, 103, 2338–2346. [Google Scholar] [CrossRef]
- van Rijn, R.; Schurink, I.J.; de Vries, Y.; van den Berg Aad, P.; Cerisuelo, M.C.; Murad, S.D.; Erdmann, J.I.; Gilbo, N.; de Haas, R.J.; Heaton, N.; et al. Hypothermic Machine Perfusion in Liver Transplantation—A Randomized Trial. N. Engl. J. Med. 2021, 384, 1391–1401. [Google Scholar] [CrossRef]
- Werner, M.J.M.; van Leeuwen, O.B.; de Jong Iris, E.M.; Bodewes Frank AJ, A.; Fujiyoshi, M.; Luhker, O.C.; Scheenstra, R.; de Vries, Y.; de Kleine Ruben, H.J.; Porte, R.J. First report of successful transplantation of a pediatric donor liver graft after hypothermic machine perfusion. Pediatr. Transplant. 2019, 23, e13362. [Google Scholar] [CrossRef] [Green Version]
- Oldhafer, F.; Cammann, S.; Beetz, O.; Pfister, E.D.; Junge, N.; Lau, T.; Richter, N.; Lutje, G.; Klempnauer, J.; Baumann, U.; et al. Hypothermic oxygenated perfusion for transplantation of a pediatric extended right lobe—Report of the first case. Transplantation, 2022; in press. [Google Scholar]

| Variable (n = Available Patients/Data) | Median (Mean); or Characteristic and Corresponding Absolute Number | 95%Ci; or Percentage of Available Patients/Data | Minimal– Maximal Value |
|---|---|---|---|
| Sex (n = 242) | Female n = 132 | 54.5% | - |
| Age at pLTX (n = 242) | 1.0 (3.1) y | 2.6–3.7 y | 0.0–17.3 y |
| Age at AAB analysis (n = 242) | 7.0 (8.0) y | 7.4–8.7 y | 0.8–22.2 y |
| pLTX-AAB interval (n = 242) | 49.0 (57.8) mo | 52.2–63.3 mo | 4.0–197.0 mo |
| Diagnosis (n = 242) | Biliary atresia n = 128 | 52.9% | - |
| Genetic (Metabolic + Cholestatic) liver disease n = 59 | 24.4% | - | |
| Malignancy n = 18 | 7.4% | - | |
| Acute liver failure n = 9 | 3.7% | - | |
| Autoimmune liver disease n = 6 | 2.5% | - | |
| Other diagnoses n = 22 | 9.1% | - | |
| Type of donation (n = 242) | Living-donor donation n = 44 | 18.2% | - |
| Deceased-donor donation n = 198 | 81.8% | - | |
| Type of Graft (n = 242) | Split SII + III° n = 185 | 76.5% | - |
| Other split/reduced size n = 10 | 4.1% | - | |
| Whole liver n = 47 | 19.4% | - | |
| Donor sex (n = 148) | Female n = 70 | 47.3% | - |
| Donor/Recipient sex match (n = 148) | Same sex n = 73 | 49.3% | - |
| Donor age (n = 149) | 26.0 (26.0) y | 23.6–28.4 y | 0.0–59.0 y |
| Donor/Recipient age difference (n = 149) | 24.0 (23.3) y | 20.7–25.9 y | −4.0–53.0 y |
| Cold ischemia time (CIT) (n = 149) | 387.0 (433.3) min | 403.0–463.6 min | 145.0–1025.0 min |
| CIT living donor pLTX (n = 28) | 219.0 (220.6) min | 203.2–238.0 min | 145.0–300.0 min |
| CIT deceased donor pLTX (n = 125) | 470.0 (488.0) min | 457.4–518.5 min | 155.0–1025.0 min |
| Warm ischemia time (n = 138) | 46.0 (49.9) min | 46.8–53.1 min | 20.0–166.0 min |
| First Immunosuppression (n = 242) | Tacrolimus n = 203 | 83.9% | - |
| Cyclosporine n = 24 | 9.9% | - | |
| mTor inhibitor n = 11 | 4.5% | - | |
| Mycophenolate Mofetil n = 1 | 0.4% | - | |
| Prednisolone n = 1 | 0.4% | - | |
| None n = 2 | 0.8% | - | |
| Second Immunosuppression (n = 242) | 2nd Immunosuppression n = 75 | 31.0% | |
| Mycophenolate Mofetil or Azathioprine n = 44 | 18.2% | ||
| Prednisolone n = 27 | 11.2% | ||
| mTor inhibitor n = 4 | 1.6% | ||
| Third Immunosuppression (n = 242) | 3rd Immunosuppression n = 16 | 6.6% | |
| Mycophenolate Mofetil or Azathioprine n = 8 | 3.3% | ||
| Prednisolone n = 7 | 2.9% | ||
| mTor inhibitor n = 1 | 0.4% | ||
| ANA (n = 241) | negative n = 176 | 73.0% | - |
| 1:40 n = 10 | 4.1% | - | |
| 1:80 n = 15 | 6.2% | - | |
| 1:160 n = 36 | 15.0% | - | |
| ≥1:320 n = 4 | 1.7% | - | |
| SMA (n = 242) | negative n = 116 | 48.0% | - |
| 1:20 n = 8 | 3.3% | - | |
| 1:40 n = 62 | 25.6% | - | |
| 1:80 n = 47 | 19.4% | - | |
| 1:160 n = 7 | 2.9% | - | |
| ≥1:320 n = 2 | 0.8% | - | |
| LKM (n = 242) | 1:20 n = 1 | 0.4% | - |
| SLA (n = 241) | positive n = 0 | 0.0% | - |
| Any AAB (n = 242) | positive n = 147 | 60.7% | - |
| AST (n = 239) | 38.0 (57.0) U/L | 48.7–65.2 U/L | 7.0–670.0 U/L |
| ALT (n = 242) | 31.0 (62.1) U/L | 49.2–75.0 U/L | 7.0–958.0 U/L |
| GGT (n = 242) | 19.0 (61.4) U/L | 48.6–74.2 U/L | 6.0–665.0 U/L |
| INR (n = 242) | 1.0 (1.1) | 1.0–1.1 | 0.8–2.1 |
| Total Re-pLTX (n = 242) | n = 17 | 7.0% | 1.0–3.0 |
| Total TCMR (n = 242) | No TCMR n = 135 One TCMR n = 70 Two TCMR n = 27 >2 TCMR n = 10 | 55.8% 29.0% 11.2% 4.0% | |
| RAI of liver biopsies with corresponding AAB analysis (n = 112) | 2.0 (1.9) | 1.60–2.28 | 0.0–7.0 |
| ISHAK F-latest liver biopsy (n = 91) | 1.0 (1.3) | 1.0–1.7 | 0.0–6.0 |
| Interval pLTX-latest liver biopsy (n = 91) | 38.8 (57.5) mo | 45.9–69.2 mo | 0.7–198.8 mo |
| Study follow-up time (n = 242) | 73.5 (82.8) mo | 77.3–88.4 mo | 15.0–229.0 mo |
| Odds Ratio | 95% CI for Odds Ratio | p Value | |
|---|---|---|---|
| Patient sex (male vs. female) | 2.30 | 0.90–5.85 | 0.081 |
| Patient age at pLTX (per year) | 0.94 | 0.81–1.09 | 0.428 |
| Donor sex (male vs. female) | 0.93 | 0.38–2.27 | 0.869 |
| Donor age (per year) | 0.97 | 0.94–0.99 | 0.046 |
| CIT (per hour) | 1.37 | 1.11–1.69 | 0.003 |
| pLTX-AABa interval (per month) | 0.99 | 0.98–1.00 | 0.200 |
| Split liver versus whole organ | 2.85 | 0.60–13.59 | 0.189 |
| LDLTX versus DDLTX | 37.05 | 5.56–246.77 | <0.001 |
| Prednisolone-free immunosuppression | 5.28 | 1.45–19.28 | 0.012 |
| Aspartate aminotransferase (per U/L) | 1.01 | 0.96–1.03 | 0.530 |
| Alanine aminotransferase (per U/L) | 1.00 | 0.98–1.01 | 0.834 |
| Gamma glutamyl transferase (per U/L) | 1.00 | 1.00–1.01 | 0.200 |
| Odds Ratio | 95% CI for Odds Ratio | p Value | |
|---|---|---|---|
| Patient sex (male vs. female) | 1.70 | 0.76–3.80 | 0.201 |
| Patient age at pLTX (per year) | 1.10 | 0.97–1.25 | 0.141 |
| Donor sex (male vs. female) | 0.73 | 0.33–1.63 | 0.447 |
| Donor age (per year) | 1.01 | 0.98–1.05 | 0.489 |
| CIT (per hour) | 1.42 | 1.18–1.72 | <0.001 |
| pLTX-AABa interval (per month) | 1.00 | 0.99–1.01 | 0.443 |
| Split liver versus whole organ | 1.95 | 0.54–7.05 | 0.306 |
| LDLTX versus DDLTX | 6.37 | 1.50–27.34 | 0.013 |
| Prednisolone-free immunosuppression | 0.84 | 0.26–7.70 | 0.767 |
| Aspartate aminotransferase (per U/L) | 1.01 | 0.99–1.03 | 0.379 |
| Alanine aminotransferase (per U/L) | 1.00 | 0.98–1.01 | 0.834 |
| Gamma glutamyl transferase (per U/L) | 1.00 | 0.99–1.00 | 0.417 |
| Coefficient B (Unstandardized) | 95% CI | p Value | |
|---|---|---|---|
| Patient sex (male vs. female) | 0.27 | −0.42–0.96 | 0.445 |
| Patient age at pLTX (per year) | −0.03 | −0.12–0.05 | 0.448 |
| pLTX-AABa interval (per year) | −0.05 | −0.14–0.05 | 0.330 |
| LDLTX vs. DDLTX | −0.48 | −1.48–0.52 | 0.341 |
| SMA titer | 0.00 | −0.01–0.01 | 0.466 |
| ANA titer | 0.00 | 0.00–0.01 | 0.208 |
| Coefficient B (Unstandardized) | 95% CI | p Value | |
|---|---|---|---|
| Patient sex (male vs. female) | 0.27 | −0.41–0.95 | 0.427 |
| Patient age at pLTX (per year) | −0.03 | −0.11–0.05 | 0.475 |
| pLTX-AABa interval (per year) | −0.05 | −0.14–0.04 | 0.292 |
| LDLTX vs. DDLTX | −0.46 | −1.44–0.52 | 0.349 |
| SMA > 1:80 vs. ≤ 1:80 | 1.12 | −0.60–2.85 | 0.199 |
| ANA > 1:80 vs. ≤ 1:80 | 0.62 | 0.29–1.52 | 0.179 |
| Coefficient B (Unstandardized) | 95% CI | p Value | |
|---|---|---|---|
| Patient sex (male vs. female) | 0.08 | −0.58–0.75 | 0.802 |
| Patient age at pLTX (per year) | −0.09 | −0.20–0.02 | 0.108 |
| Donor sex (male vs. female) | 0.17 | −0.50–0.84 | 0.622 |
| Donor age (per year) | 0.04 | 0.01–0.06 | 0.009 |
| CIT (per hour) | 0.13 | 0.02–0.23 | 0.021 |
| pLTX-AABa interval (per year) | 0.02 | −0.06–0.10 | 0.664 |
| SMA titer | −0.00 | −0.01–0.01 | 0.569 |
| ANA titer | 0.01 | 0.00–0.01 | 0.046 |
| Coefficient B (Unstandardized) | 95% CI | p Value | |
|---|---|---|---|
| Patient sex (male vs. female) | 0.07 | −0.58–0.71 | 0.838 |
| Patient age at pLTX (per year) | −0.10 | −0.20–0.01 | 0.065 |
| Donor sex (male vs. female) | 0.24 | −0.42–0.89 | 0.471 |
| Donor age (per year) | 0.03 | 0.01–0.06 | 0.009 |
| CIT (per hour) | 0.1 | −0.01–0.20 | 0.072 |
| pLTX-AABa interval (per year) | 0.02 | −0.6–0.10 | 0.646 |
| SMA >1:80 versus ≤ 1:80 | 0.05 | −1.78–1.89 | 0.955 |
| ANA >1:80 versus ≤ 1:80 | 1.10 | 0.29–1.91 | 0.009 |
Publisher’s Note: MDPI stays neutral with regard to jurisdictional claims in published maps and institutional affiliations. |
© 2022 by the authors. Licensee MDPI, Basel, Switzerland. This article is an open access article distributed under the terms and conditions of the Creative Commons Attribution (CC BY) license (https://creativecommons.org/licenses/by/4.0/).
Share and Cite
Junge, N.; Di Giorgio, A.; Girard, M.; Demir, Z.; Kaminska, D.; Janowska, M.; Urbonas, V.; Varnas, D.; Maggiore, G.; Alterio, T.; et al. Cold Ischemia Time and Graft Fibrosis Are Associated with Autoantibodies after Pediatric Liver Transplantation: A Retrospective Cohort Study of the European Reference Network TransplantChild. Children 2022, 9, 275. https://doi.org/10.3390/children9020275
Junge N, Di Giorgio A, Girard M, Demir Z, Kaminska D, Janowska M, Urbonas V, Varnas D, Maggiore G, Alterio T, et al. Cold Ischemia Time and Graft Fibrosis Are Associated with Autoantibodies after Pediatric Liver Transplantation: A Retrospective Cohort Study of the European Reference Network TransplantChild. Children. 2022; 9(2):275. https://doi.org/10.3390/children9020275
Chicago/Turabian StyleJunge, Norman, Angelo Di Giorgio, Muriel Girard, Zeynep Demir, Diana Kaminska, Maria Janowska, Vaidotas Urbonas, Dominykas Varnas, Giuseppe Maggiore, Tommaso Alterio, and et al. 2022. "Cold Ischemia Time and Graft Fibrosis Are Associated with Autoantibodies after Pediatric Liver Transplantation: A Retrospective Cohort Study of the European Reference Network TransplantChild" Children 9, no. 2: 275. https://doi.org/10.3390/children9020275
APA StyleJunge, N., Di Giorgio, A., Girard, M., Demir, Z., Kaminska, D., Janowska, M., Urbonas, V., Varnas, D., Maggiore, G., Alterio, T., Leiskau, C., Vondran, F. W. R., Richter, N., D’Antiga, L., Mikolajczyk, R., Pfister, E.-D., & Baumann, U. (2022). Cold Ischemia Time and Graft Fibrosis Are Associated with Autoantibodies after Pediatric Liver Transplantation: A Retrospective Cohort Study of the European Reference Network TransplantChild. Children, 9(2), 275. https://doi.org/10.3390/children9020275

