Remote Neuropsychological Intervention for Developmental Dyslexia with the Tachidino Platform: No Reduction in Effectiveness for Older Nor for More Severely Impaired Children
Abstract
:1. Introduction
2. Materials and Methods
2.1. Participants
2.2. Neuropsychological Tests
- Text reading: “Prove di rapidità e correttezza nella lettura del gruppo MT” (“Test of speed and accuracy in reading, developed by the MT group”) [33]. This test assesses reading abilities for meaningful texts. It provides separate scores for speed and accuracy. Texts increase in complexity with grade level, and norms are provided for each text. Validity and reliability for the MT text reading test are reported to be satisfactory without further specifications [33]. For the last published version of the test, all test-retest reliability coefficients are above 0.59 and inter-rater reliability coefficients are 1.0 for speed and 0.99 for accuracy [34].
- Single word/non-word reading: “DDE-2: Batteria per la Valutazione della Dislessia e Disortografia Evolutiva-2” (Assessment battery for Developmental Reading and Spelling Disorders-2) [35]. The battery assesses speed and accuracy (number of errors) in reading word lists (4 lists of 24 words) and non-word lists (3 lists of 16 non-words), and provides grade norms from the second to the last grade of junior high school. The test has acceptable reliability (mean test-retest coefficients are 0.77 for speed and 0.56 for accuracy).
- Single word/non-word writing: two writing-to-dictation tasks were taken from the DDE-2 battery, giving accuracy scores according to age norms in writing 48 words and 24 non-words. Although these tests are commonly employed for diagnosis of spelling disorders, no specific reliability and validity data are available.
2.3. Procedure
2.4. Treatment
- P-type (decoding strategies based on accurate perceptual analysis mainly supported by the right hemisphere-RH, resulting in slow but relatively accurate reading) if reading speed is at least 1 SD below age mean and the proportion of time-consuming errors over total errors is ≥60%;
- L-type (anticipation strategies based on linguistic abilities and mainly supported by the left hemisphere-LH, resulting in relatively fast but inaccurate reading) if reading speed is no more than 1 SD below age mean and the proportion of substantive errors over total errors is ≥60%;
- M-type (who strive to use both kinds of strategies but do so inefficiently, resulting in both slow and inaccurate reading) in all other cases (when both error types are present in similar proportion and/or when child is both slow and inaccurate in reading).
2.5. Data Analysis
3. Results
3.1. Treatment Related Changes: Comparison between Pre- and Post-Test Assessment
3.1.1. Comparison between Age Groups
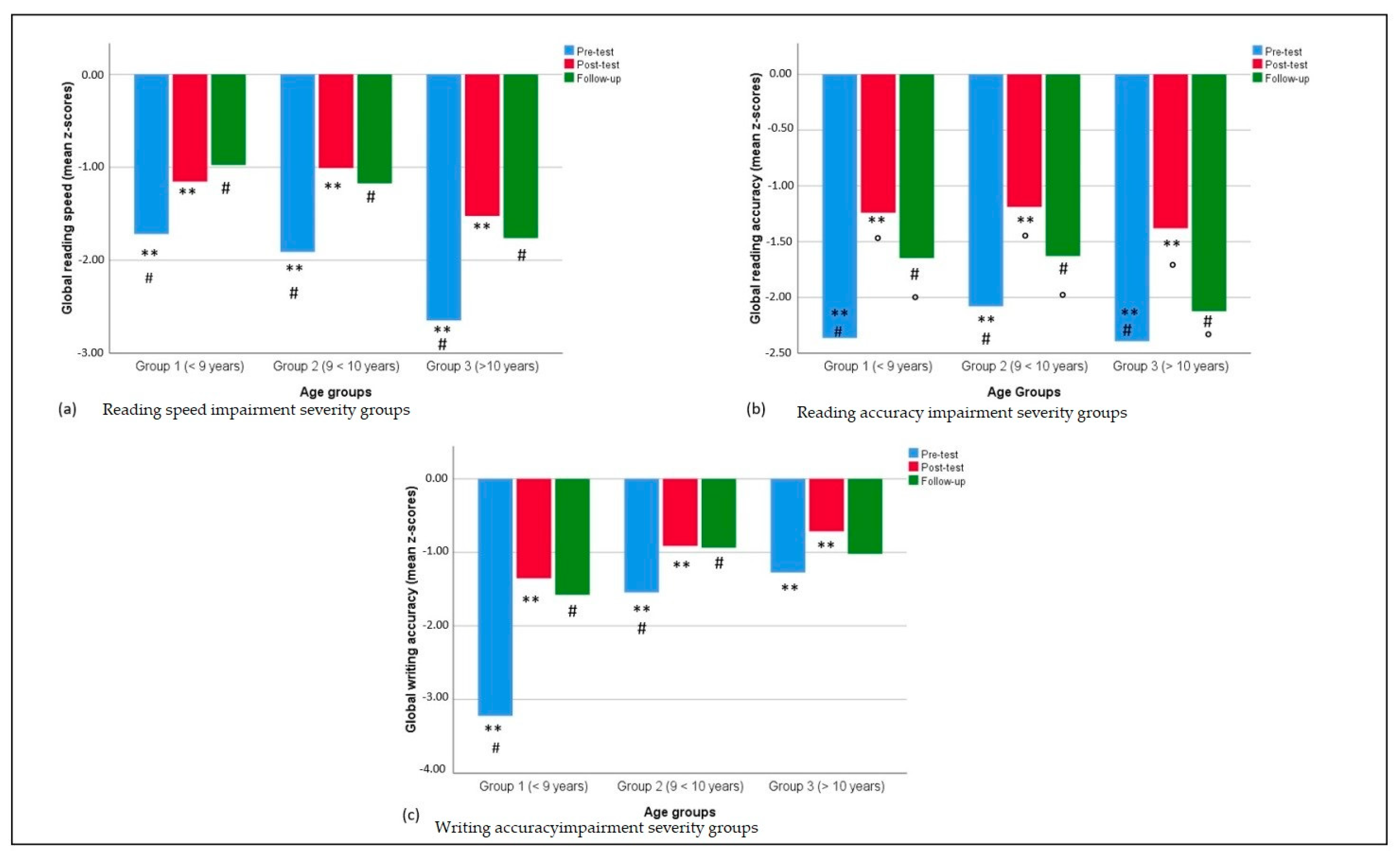
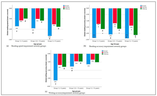
3.1.2. Comparison between Severity Groups
3.1.3. Discussion
3.2. Consolidation of the Improvements: Comparison of the Pre-Treatment Scores with Follow-Up Scores
3.2.1. Comparison between Age Groups
3.2.2. Comparison between Severity Groups
3.2.3. Discussion
3.3. Treatment Related Changes: Effects of Discontinuation of Treatment between Post-Test and Follow-Up
3.3.1. Comparison between Age Groups
3.3.2. Comparison between Severity Groups
3.3.3. Discussion
4. General Discussion and Conclusions
Author Contributions
Funding
Institutional Review Board Statement
Informed Consent Statement
Data Availability Statement
Acknowledgments
Conflicts of Interest
References
- Lyon, G.R.; Shaywitz, S.E.; Shaywitz, B.A. A definition of dyslexia. Ann. Dyslexia 2003, 53, 1–14. [Google Scholar] [CrossRef]
- World Health Organization. International Statistical Classification of Diseases and Related Health Problems, 10th ed.; World Health Organization: Geneva, Switzerland, 2010. [Google Scholar]
- Ring, J.; Black, J.L. The multiple deficit model of dyslexia: What does it mean for identification and intervention? Ann. Dyslexia 2018, 68, 104–125. [Google Scholar] [CrossRef]
- Pennington, B.F. From single to multiple deficit models of developmental disorders. Cognition 2006, 101, 385–413. [Google Scholar] [CrossRef]
- Pacheco, A.; Reis, A.; Araújo, S.; Inácio, F.; Petersson, K.M.; Faísca, L. Dyslexia heterogeneity: Cognitive profiling of Portuguese children with dyslexia. Read. Writ. 2014, 27, 1529–1545. [Google Scholar] [CrossRef]
- Peterson, R.L.; Pennington, B.F. Developmental dyslexia. Annu. Rev. Clin. Psychol. 2015, 11, 283–307. [Google Scholar] [CrossRef] [PubMed]
- Lorusso, M.L.; Fumagalli, V. La piattaforma Tachidino per la riabilitazione in remoto dei disturbi della lettura e della scrittura [The Tachidino platform for remote rehabilitation of reading and spelling disorders]. In Teleriabilitazione Nei Disturbi Di Apprendimento; Bachmann, C., Gagliardi, C., Marotta, L., Eds.; Erickson: Trento, Italy, 2020; pp. 153–170. [Google Scholar]
- Bediou, B.; Adams, D.M.; Mayer, R.E.; Tipton, E.; Green, C.S.; Bavelier, D. Meta-analysis of action video game impact on perceptual, attentional, and cognitive skills. Psychol. Bull. 2018, 144, 77–110. [Google Scholar] [CrossRef] [PubMed]
- Franceschini, S.; Gori, S.; Ruffino, M.; Viola, S.; Molteni, M.; Facoetti, A. Action video games make dyslexic children read better. Curr. Biol. 2013, 23, 462–466. [Google Scholar] [CrossRef] [Green Version]
- Bakker, D.J. Neuropsychological classification and treatment of dyslexia. J. Learn. Disabil. 1992, 25, 102–109. [Google Scholar] [CrossRef]
- Bakker, D.J. Treatment of developmental dyslexia: A review. Pediatr. Rehabil. 2006, 9, 3–13. [Google Scholar] [CrossRef]
- Lorusso, M.L.; Facoetti, A.; Bakker, D.J. Neuropsychological treatment of dyslexia: Does type of treatment matter? J. Learn. Disabil. 2011, 44, 136–149. [Google Scholar] [CrossRef] [PubMed] [Green Version]
- Lorusso, M.L.; Facoetti, A.; Paganoni, P.; Pezzani, M.; Molteni, M. Effects of visual hemisphere-specific stimulation versus reading-focused training in dyslexic children. Neuropsychol. Rehabil. 2006, 16, 194–212. [Google Scholar] [CrossRef] [PubMed]
- Koen, B.J. The Neurobiological Development of Reading Fluency. In Neurodevelopment and Neurodevelopmental Disorder; Fitzgerald, M., Ed.; IntechOpen: London, UK, 2019; Available online: https://www.intechopen.com/chapters/65561 (accessed on 27 December 2021). [CrossRef] [Green Version]
- Koen, B.J.; Hawkins, J.; Zhu, X.; Jansen, B.; Fan, W.; Johnson, S. The location and effects of visual hemisphere-specific stimulation on reading fluency in children with the characteristics of dyslexia. J. Learn. Disabil. 2018, 51, 399–415. [Google Scholar] [CrossRef] [PubMed]
- Peters, J.L.; De Losa, L.; Bavin, E.L.; Crewther, S.G. Efficacy of dynamic visuo-attentional interventions for reading in dyslexic and neurotypical children: A systematic review. Neurosci. Biobehav. Rev. 2019, 100, 58–76. [Google Scholar] [CrossRef] [PubMed]
- Tressoldi, P.E.; Vio, C.; Lorusso, M.L.; Facoetti, A.; Iozzino, R. Confronto di efficacia ed efficienza tra trattamenti per il miglioramento della lettura in soggetti dislessici. [Comparison of efficacy and efficiency between treatments for reading improvements in dyslexic subjects]. Psicol. Clin. Dello Svilupp. 2003, 7, 481–494. [Google Scholar] [CrossRef]
- Franceschini, S.; Trevisan, P.; Ronconi, L.; Bertoni, S.; Colmar, S.; Double, K.; Facoetti, A.; Gori, S. Action video games improve reading abilities and visual-to-auditory attentional shifting in English-speaking children with dyslexia. Sci. Rep. 2017, 7, 5863. [Google Scholar] [CrossRef] [PubMed]
- Green, C.S.; Bavelier, D. Action video game modifies visual selective attention. Nature 2003, 423, 534–537. [Google Scholar] [CrossRef] [Green Version]
- Bertoni, S.; Franceschini, S.; Puccio, G.; Mancarella, M.; Gori, S.; Facoetti, A. Action Video Games Enhance Attentional Control and Phonological Decoding in Children with Developmental Dyslexia. Brain Sci. 2021, 11, 171. [Google Scholar] [CrossRef]
- Chopin, A.; Bediou, B.; Bavelier, D. Altering perception: The case of action video gaming. Curr. Opin. Psychol. 2019, 29, 168–173. [Google Scholar] [CrossRef]
- Pecini, C.; Spoglianti, S.; Bonetti, S.; Di Lieto, M.C.; Guaran, F.; Martinelli, A.; Gasperini, F.; Cristofani, P.; Casalini, C.; Mazzotti, S.; et al. Training RAN or reading? A telerehabilitation study on developmental dyslexia. Dyslexia 2019, 25, 318–331. [Google Scholar] [CrossRef] [PubMed]
- Furlong, L.; Serry, T.; Bridgman, K.; Erickson, S. An evidence-based synthesis of instructional reading and spelling procedures using telepractice: A rapid review in the context of COVID-19. Int. J. Lang. Commun. Disord. 2021, 56, 456–472. [Google Scholar] [CrossRef]
- Colenbrander, D.; Ricketts, J.; Breadmore, H.L. Early identification of dyslexia: Understanding the issues. Lang. Speech Hear. Serv. Sch. 2018, 49, 817–828. [Google Scholar] [CrossRef] [Green Version]
- Snowling, M.J. Early identification and interventions for dyslexia: A contemporary view. J. Res. Spec. Educ. Needs 2013, 13, 7–14. [Google Scholar] [CrossRef] [PubMed] [Green Version]
- Tressoldi, P.E.; Lorusso, M.L.; Brenbati, F.; Donini, R. Fluency remediation in dyslexic children: Does age make a difference? Dyslexia 2008, 14, 142–152. [Google Scholar] [CrossRef]
- Lovett, M.W.; Steinbach, K.A. The effectiveness of remedial programs for reading disabled children of different ages: Does the benefit decrease for older children? Learn. Disabil. Q. 1997, 20, 189–210. [Google Scholar] [CrossRef]
- Middleton, A.E.; Farris, E.A.; Ring, J.J.; Odegard, T.N. Predicting and Evaluating Treatment Response: Evidence Toward Protracted Response Patterns for Severely Impacted Students With Dyslexia. J. Learn. Disabil. 2021. [Google Scholar] [CrossRef]
- Stuebing, K.K.; Barth, A.E.; Trahan, L.H.; Reddy, R.R.; Miciak, J.; Fletcher, J.M. Are child cognitive characteristics strong predictors of responses to intervention? A meta-analysis. Rev. Educ. Res. 2015, 85, 395–429. [Google Scholar] [CrossRef] [Green Version]
- Eden, G.F.; Jones, K.M.; Cappell, K.; Gareau, L.; Wood, F.B.; Zeffiro, T.A.; Dietz, N.A.; Agnew, J.A.; Flowers, D. Neural changes following remediation in adult developmental dyslexia. Neuron 2004, 44, 411–422. [Google Scholar] [CrossRef] [PubMed] [Green Version]
- Nukari, J.M.; Poutiainen, E.T.; Arkkila, E.P.; Haapanen, M.L.; Lipsanen, J.O.; Laasonen, M.R. Both individual and group-based neuropsychological interventions of dyslexia improve processing speed in young adults: A randomized controlled study. J. Learn. Disabil. 2020, 53, 213–227. [Google Scholar] [CrossRef]
- Suggate, S.P. Why what we teach depends on when: Grade and reading intervention modality moderate effect size. Dev. Psychol. 2010, 46, 1556–1579. [Google Scholar] [CrossRef]
- Cornoldi, C.; Colpo, G. Nuove Prove Di Lettura MT [New MT Reading Test]; Giunti O.S: Florence, Italy, 1998. [Google Scholar]
- Cornoldi, C.; Carretti, B. Prove MT-3 Clinica: La Valutazione Delle Abilità Di Lettura E Comprensione [MT-3 Test for Clinical Work: Assessing Reading and Comprehension Abilities]; Giunti EDU: Florence, Italy, 2016. [Google Scholar]
- Sartori, G.; Job, R. DDE-2: Batteria Per La Valutazione Della Dislessia E Della Disortografia Evolutiva-2 [Assessment Battery for Developmental Reading and Spelling Disorders]; Giunti O.S: Florence, Italy, 2007. [Google Scholar]
- Snider, S.E.; Quisenberry, A.J.; Bickel, W.K. Order in the absence of an effect: Identifying rate-dependent relationships. Behav. Processes 2016, 127, 18–24. [Google Scholar] [CrossRef] [Green Version]
- Spencer-Smith, M.; Klingberg, T. Benefits of a working memory training program for inattention in daily life: A systematic review and meta-analysis. PLoS ONE 2015, 10, e0119522. [Google Scholar] [CrossRef] [Green Version]
- Cancer, A.; Bonacina, S.; Antonietti, A.; Salandi, A.; Molteni, M.; Lorusso, M.L. The effectiveness of interventions for developmental dyslexia: Rhythmic reading training compared with hemisphere-specific stimulation and action video games. Front. Psychol. 2020, 11, 1158. [Google Scholar] [CrossRef]
- Lotfi, S.; Rostami, R.; Shokoohi-Yekta, M.; Ward, R.T.; Motamed-Yeganeh, N.; Mathew, A.S.; Lee, H.J. Effects of computerized cognitive training for children with dyslexia: An ERP study. J. Neurolinguistics 2020, 55, 100904. [Google Scholar] [CrossRef]
- Newport, E.L.; Bavelier, D.; Neville, H.J. Critical thinking about critical periods: Perspectives on a critical period for language acquisition. In Language, Brain and Cognitive Development: Essays in Honor of Jacques Mehler; Dupoux, E., Ed.; MIT Press: Cambridge, MA, USA, 2001; pp. 481–502. [Google Scholar]
- Bishop, D.V. What causes specific language impairment in children? Curr. Dir. Psychol. Sci. 2006, 15, 217–221. [Google Scholar] [CrossRef] [PubMed] [Green Version]
- Hakkaart-van Roijen, L.; Goettsch, W.G.; Ekkebus, M.; Gerretsen, P.; Stolk, E.A. The cost-effectiveness of an intensive treatment protocol for severe dyslexia in children. Dyslexia 2011, 17, 256–267. [Google Scholar] [CrossRef]
- Glazzard, J. The impact of dyslexia on pupils’ self-esteem. Support Learn. 2010, 25, 63–69. [Google Scholar] [CrossRef]
- Barbiero, C.; Montico, M.; Lonciari, I.; Monasta, L.; Penge, R.; Vio, C.; Tressoldi, P.E.; Carrozzi, M.; De Petris, A.; De Cagno, A.G.; et al. The lost children: The underdiagnosis of dyslexia in Italy. A cross-sectional national study. PLoS ONE 2009, 14, e0210448. [Google Scholar] [CrossRef] [Green Version]





| Group 1 (Younger than 9 Years) | Group 2 (between 9 and 10 Years) | Group 3 (11 Years Old and Older) | |||||
|---|---|---|---|---|---|---|---|
| Mean (SD) | Cohen’s dz (p) | Mean (SD) | Cohen’s dz (p) | Mean (SD) | Cohen’s dz (p) | ||
| Global reading speed | PRE | −2.40 (2.96) | −0.77 (<0.001) | −1.95 (2.01) | −0.99 (<0.001) | −2.61 (2.34) | −0.90 (<0.001) |
| POST | −1.61 (2.09) | −1.05 (1.79) | −1.51 (1.75) | ||||
| Global reading accuracy | PRE | −2.81 (1.97) | −1.19 (<0.001) | −2.05 (1.80) | −0.80 (<0.001) | −2.47 (1.92) | −0.71 (0.003) |
| POST | −1.47 (1.28) | −1.17 (1.32) | −1.51 (1.73) | ||||
| Global writing accuracy | PRE | −3.68 (2.91) | −1.46 (<0.001) | −1.53 (2.84) | −0.40 (0.015) | −1.22 (1.53) | −0.56 (0.019) |
| POST | −1.73 (2.38) | −0.92 (2.24) | −0.70 (1.45) | ||||
| Group a (Less Severely Impaired) | Group b (Moderately Impaired) | Group c (Severely Impaired) | |||||
|---|---|---|---|---|---|---|---|
| Mean (SD) | Cohen’s dz (p) | Mean (SD) | Cohen’s dz (p) | Mean (SD) | Cohen’s dz (p) | ||
| Global reading speed | PRE | −0.33 (0.46) | −0.88 (<0.001) (n = 26) | −1.96 (0.57) | −0.86 (<0.001) (n = 46) | −5.56 (3.24) | −1.38 (<0.001) (n = 19) |
| POST | 0.20 (0.63) | −1.17 (0.99) | −3.81 (2.14) | ||||
| Global reading accuracy | PRE | −0.63 (0.31) | −1.06 (<0.001) (n = 24) | −1.87 (0.48) | −1.06 (<0.001) (n = 40) | −4.69 (1.77) | −1.20 (<0.001) (n = 27) |
| POST | −13 (0.48) | −1.12 (0.75) | −2.75 (1.53) | ||||
| Global writing accuracy | PRE | 0.05 (0.54) | 0.04 (0.83) (n = 37) | −1.87 (0.63) | −1.30 (<0.001) (n = 28) | −5.79 (2.76) | −1.42 (<0.001) (n = 23) |
| POST | 0.02 (0.86) | −0.68 (1.01) | −3.44 (2.76) | ||||
Publisher’s Note: MDPI stays neutral with regard to jurisdictional claims in published maps and institutional affiliations. |
© 2022 by the authors. Licensee MDPI, Basel, Switzerland. This article is an open access article distributed under the terms and conditions of the Creative Commons Attribution (CC BY) license (https://creativecommons.org/licenses/by/4.0/).
Share and Cite
Lorusso, M.L.; Borasio, F.; Molteni, M. Remote Neuropsychological Intervention for Developmental Dyslexia with the Tachidino Platform: No Reduction in Effectiveness for Older Nor for More Severely Impaired Children. Children 2022, 9, 71. https://doi.org/10.3390/children9010071
Lorusso ML, Borasio F, Molteni M. Remote Neuropsychological Intervention for Developmental Dyslexia with the Tachidino Platform: No Reduction in Effectiveness for Older Nor for More Severely Impaired Children. Children. 2022; 9(1):71. https://doi.org/10.3390/children9010071
Chicago/Turabian StyleLorusso, Maria Luisa, Francesca Borasio, and Massimo Molteni. 2022. "Remote Neuropsychological Intervention for Developmental Dyslexia with the Tachidino Platform: No Reduction in Effectiveness for Older Nor for More Severely Impaired Children" Children 9, no. 1: 71. https://doi.org/10.3390/children9010071
APA StyleLorusso, M. L., Borasio, F., & Molteni, M. (2022). Remote Neuropsychological Intervention for Developmental Dyslexia with the Tachidino Platform: No Reduction in Effectiveness for Older Nor for More Severely Impaired Children. Children, 9(1), 71. https://doi.org/10.3390/children9010071

