Sign in to use this feature.

Years

Between: -

Subjects

remove_circle_outline
remove_circle_outline
remove_circle_outline
remove_circle_outline
remove_circle_outline
remove_circle_outline
remove_circle_outline
remove_circle_outline
remove_circle_outline

Journals

Article Types

Countries / Regions

remove_circle_outline
remove_circle_outline
remove_circle_outline
remove_circle_outline
remove_circle_outline

Search Results (311)

Search Parameters:
Keywords = dyslexia

Order results
Result details
Results per page
Select all
Export citation of selected articles as:
13 pages, 1015 KB  
Case Report
Adams–Oliver Syndrome Type 3: A Case Report of Concurrent RBPJ, CACNA1A, and Double-Heterozygous MTHFR Variants
by Grațian Cosmin Damian, Valerica Belengeanu, Cristina Popescu, Diana Marian, Ramona Amina Popovici and Carolina Cojocariu
Diagnostics 2026, 16(2), 274; https://doi.org/10.3390/diagnostics16020274 (registering DOI) - 15 Jan 2026
Abstract
Background and Clinical Significance: Adams–Oliver syndrome type 3 (AOS3) is a rare congenital disorder typically characterised by terminal transverse limb defects and variable involvement of other organ systems. Although pathogenic variants in RBPJ are well established in AOS3, associated neurodevelopmental or psychiatric [...] Read more.
Background and Clinical Significance: Adams–Oliver syndrome type 3 (AOS3) is a rare congenital disorder typically characterised by terminal transverse limb defects and variable involvement of other organ systems. Although pathogenic variants in RBPJ are well established in AOS3, associated neurodevelopmental or psychiatric features have been only sporadically documented. Case Presentation: We describe a male patient first evaluated at the age of 10 years and subsequently re-evaluated at 14 years, with AOS3 presenting terminal limb defects together with autistic-like behaviour, cognitive difficulties, dyslexia, and recurrent depressive symptoms. Whole-exome sequencing (WES) identified a heterozygous pathogenic variant in RBPJ (c.505A>G; p.Lys169Glu), confirming the molecular diagnosis of autosomal dominant AOS3. Additional findings included a heterozygous missense variant in CACNA1A (p.Arg1678Cys), a gene linked to neurological disorders with broad phenotypic variability. Because of elevated homocysteine levels, the patient was also tested for MTHFR variants and was found to be heterozygous for C677T and A1298C. Conclusions: This case illustrates a rare combination of a validated AOS3-associated RBPJ variant, along with additional CACNA1A and MTHFR variants that may influence the patient’s neurocognitive and psychiatric characteristics. The results underscore the importance of comprehensive genetic testing in atypical AOS presentations and highlight the complexity of interpreting overlapping genetic factors. Full article
(This article belongs to the Section Medical Imaging and Theranostics)
Show Figures

Figure 1

23 pages, 1740 KB  
Article
Print Exposure Interaction with Neural Tuning on Letter/Non-Letter Processing During Literacy Acquisition: An ERP Study on Dyslexic and Typically Developing Children
by Elizaveta Galperina, Olga Kruchinina, Polina Boichenkova and Alexander Kornev
Languages 2026, 11(1), 15; https://doi.org/10.3390/languages11010015 - 14 Jan 2026
Abstract
Background/Objectives: The first step in learning an alphabetic writing system is to establish letter–sound associations. This process is more difficult for children with dyslexia (DYS) than for typically developing (TD) children. Cerebral mechanisms underlying these associations are not fully understood and are [...] Read more.
Background/Objectives: The first step in learning an alphabetic writing system is to establish letter–sound associations. This process is more difficult for children with dyslexia (DYS) than for typically developing (TD) children. Cerebral mechanisms underlying these associations are not fully understood and are expected to change during the training course. This study aimed to identify the neurophysiological correlates and developmental changes of visual letter processing in children with DYS compared to TD children, using event-related potentials (ERPs) during a letter/non-letter classification task. Methods: A total of 71 Russian-speaking children aged 7–11 years participated in the study, including 38 with dyslexia and 33 TD children. The participants were divided into younger (7–8 y.o.) and older (9–11 y.o.) subgroups. EEG recordings were taken while participants classified letters and non-letter characters. We analyzed ERP components (N/P150, N170, P260, P300, N320, and P600) in left-hemisphere regions of interest related to reading: the ventral occipito-temporal cortex (VWFA ROI) and the inferior frontal cortex (frontal ROI). Results: Behavioral differences, specifically lower accuracy in children with dyslexia, were observed only in the younger subgroup. ERP analysis indicated that both groups displayed common stimulus effects, such as a larger N170 for letters in younger children. However, their developmental trajectories diverged. The DYS group showed an age-related increase in the amplitude of early components (N/P150 in VWFA ROI), which contrasts with the typical decrease observed in TD children. In contrast, the late P600 component in the frontal ROI revealed an age-related decrease in the DYS group, along with overall reduced amplitudes compared to their TD peers. Additionally, the N320 component differentiated stimuli exclusively in the DYS group. Conclusions: The data obtained in this study confirmed that the mechanisms of letter recognition in children with dyslexia differ in some ways from those of their TD peers. This atypical developmental pattern involves a failure to efficiently specialize early visual processing, as evidenced by the increasing N/P150. Additionally, there is a progressive reduction in the cognitive resources available for higher-order reanalysis and control, indicated by the decreasing frontal P600. This disruption in neural specialization and automation ultimately hinders the development of fluent reading. Full article
Show Figures

Figure 1

15 pages, 1472 KB  
Article
Intrinsic Functional Connectivity Network in Children with Dyslexia: An Extension Study on Novel Cognitive–Motor Training
by Mehdi Ramezani and Angela J. Fawcett
Brain Sci. 2026, 16(1), 55; https://doi.org/10.3390/brainsci16010055 - 30 Dec 2025
Viewed by 216
Abstract
Objectives: Innovative, evidence-based interventions for developmental dyslexia (DD) are necessary. While traditional methods remain valuable, newer approaches, such as cognitive–motor training, show the potential to improve literacy skills for those with DD. Verbal Working Memory–Balance (VWM-B) is a novel cognitive–motor training program [...] Read more.
Objectives: Innovative, evidence-based interventions for developmental dyslexia (DD) are necessary. While traditional methods remain valuable, newer approaches, such as cognitive–motor training, show the potential to improve literacy skills for those with DD. Verbal Working Memory–Balance (VWM-B) is a novel cognitive–motor training program that has demonstrated positive effects on reading, cognitive functions, and motor skills in children with DD. This extension study explored the neural mechanisms of VWM-B through voxel-to-voxel intrinsic functional connectivity (FC) analysis in children with DD. Methods: Resting-state fMRI data from 16 participants were collected in a quasi-double-blind randomized clinical trial with control and experimental groups, pre- and post-intervention measurements, and 15 training sessions over 5 weeks. Results: The mixed ANOVA interaction was significant for the right and left postcentral gyrus, bilateral precuneus, left superior frontal gyrus, and left posterior division of the supramarginal and angular gyri. Decreased FC in the postcentral gyri indicates reduced motor task engagement due to automation following VWM-B training. Conversely, increased FC in the bilateral precuneus, left superior frontal gyrus, and left posterior divisions of the supramarginal and angular gyri suggests a shift of cognitive resources from motor tasks to the cognitive functions associated with VWM-B. Conclusions: In conclusion, the study highlights that cognitive–motor dual-task training is more effective than single-task cognitive training for improving cognitive and motor functions in children with DD, emphasizing the importance of postural control and automaticity in dyslexia. The trial for this study was registered on 8 February 2018 with the Iranian Registry of Clinical Trials (IRCT20171219037953N1). Full article
(This article belongs to the Section Behavioral Neuroscience)
Show Figures

Figure 1

34 pages, 1422 KB  
Article
Orthographic Learning of Inconsistent Non-Words in Good and Poor Spellers: Linking Dictation and Eye-Tracking Measures
by Julie Robidoux, Antonin Rossier-Bisaillon, Boutheina Jemel and Brigitte Stanké
Behav. Sci. 2026, 16(1), 22; https://doi.org/10.3390/bs16010022 - 22 Dec 2025
Viewed by 231
Abstract
The French writing system contains numerous phoneme-to-grapheme inconsistencies that vary in their properties and distribution across words. These inconsistencies represent a major challenge for children learning to spell, especially for poor spellers or children with dyslexia-dysorthographia. To our knowledge, no study has examined [...] Read more.
The French writing system contains numerous phoneme-to-grapheme inconsistencies that vary in their properties and distribution across words. These inconsistencies represent a major challenge for children learning to spell, especially for poor spellers or children with dyslexia-dysorthographia. To our knowledge, no study has examined how inconsistencies shape orthographic learning using both eye-movement data and dictation performance, in children with good and poor spelling skills. In this eye-tracking study, twenty French-speaking children aged 9 to 12 (good spellers: n = 10; poor spellers: n = 10) learned the spelling of six bisyllabic non-words containing an inconsistent syllable across three learning cycles while we recorded their eye movements. One week later, children completed delayed dictation and recognition tasks assessing long-term consolidation and retrieval. Both groups improved their spelling accuracy and exhibited shorter and fewer fixations across learning cycles, reflecting progressive orthographic learning. However, poor spellers fixated more often and longer on the inconsistent syllable and demonstrated weaker long-term retention, suggesting a less holistic encoding and difficulties consolidating orthographic representations over time. Future research should examine whether these learning patterns generalize to real words, classroom contexts, and to children with dyslexia-dysorthographia across broader learning conditions. Full article
(This article belongs to the Special Issue Understanding Dyslexia and Developmental Language Disorders)
Show Figures

Figure 1

34 pages, 2428 KB  
Article
An In-Depth Investigation of Eye Movement Profile of Dyslexic Readers Using a Standardized Text-Reading Aloud Task in French
by Antonin Rossier-Bisaillon, Julie Robidoux, Brigitte Stanké and Boutheina Jemel
Behav. Sci. 2026, 16(1), 18; https://doi.org/10.3390/bs16010018 - 21 Dec 2025
Viewed by 306
Abstract
(1) Background: Most eye-movement studies in dyslexia focus on silent reading in controlled laboratory settings. Yet, oral reading of standardized texts remains central for identifying this disorder. By combining eye-tracking with oral reading, we captured both fixation dynamics and eye–voice span (EVS) measures, [...] Read more.
(1) Background: Most eye-movement studies in dyslexia focus on silent reading in controlled laboratory settings. Yet, oral reading of standardized texts remains central for identifying this disorder. By combining eye-tracking with oral reading, we captured both fixation dynamics and eye–voice span (EVS) measures, offering a richer view of the processes underlying dyslexia. (2) Methods: We tested 10 adults with dyslexia and 14 controls as they read aloud an unpredictable diagnostic text in French. Analyses examined psycholinguistic effects of word length and lexical frequency on fixation probabilities, counts, and durations, alongside EVS measures. (3) Results: Compared to controls, adults with dyslexia read more slowly, made more errors, and showed atypical fixation patterns: persistent word length effects, reduced frequency effects, and diminished, unstable EVS. (4) Conclusions: Together, eye-movement and EVS findings converge on a key mechanism: adults with dyslexia continue to rely heavily on sublexical decoding. This reliance creates a processing bottleneck in oral reading, where difficulties in rapid word identification cascade into sounding-out behavior and disrupted eye–voice coordination. Full article
(This article belongs to the Special Issue Understanding Dyslexia and Developmental Language Disorders)
Show Figures

Figure 1

20 pages, 495 KB  
Systematic Review
The Social and Emotional Factors Affecting the Mental Health of Gifted Students with ADHD: A Systematic Review
by Rebecca McDonnell, Joyce Senior, Olga Ioannidou and Laura Lanigan
Educ. Sci. 2025, 15(12), 1671; https://doi.org/10.3390/educsci15121671 - 11 Dec 2025
Viewed by 1555
Abstract
Gifted students with neurodivergent profiles such as ADHD, autism, or dyslexia demonstrate unique cognitive and learning characteristics that can shape their educational experiences and socio-emotional development. Often referred to as twice-exceptional (2e), these students benefit from environments that recognise their strengths while responding [...] Read more.
Gifted students with neurodivergent profiles such as ADHD, autism, or dyslexia demonstrate unique cognitive and learning characteristics that can shape their educational experiences and socio-emotional development. Often referred to as twice-exceptional (2e), these students benefit from environments that recognise their strengths while responding to their diverse learning needs. Understanding the interplay between giftedness and neurodivergence is therefore essential for fostering strengths-based environments to support these students’ overall well-being. This review focuses on 2e students with ADHD, a subgroup within the gifted population who remain underexamined in the current literature. While existing research has emphasised the academic and diagnostic complexities associated with this cohort, limited studies have focused on the socio-emotional factors influencing their development. This systematic view aimed to identify and synthesise findings from existing research on the socio-emotional factors influencing the mental health of gifted students with ADHD. A comprehensive search was conducted across the EBSCO, ProQuest, and ProQuest Dissertations & Theses databases. Following PRISMA guidelines, 10 studies out of 438 met the predetermined inclusion and exclusion criteria and were critically appraised using the JBI checklists for qualitative and cross-sectional designs. These 10 papers were categorised based on authorship, title, year of publication, population, study design, theoretical frameworks, key findings, and identified risk or protective factors. The findings indicate that gifted students with ADHD experience distinct challenges in forming and maintaining peer relationships. Additionally, the intersection of giftedness and ADHD is noted as a potential risk factor, rather than a protective factor, for lower self-esteem and social connectedness. The limitations of this review, along with implications for future research and educational practice, are discussed. Full article
Show Figures

Figure 1

22 pages, 3610 KB  
Article
Directional Perception in Game-Based Dyslexia Risk Screening: A Mouse-Tracking Analysis
by Natsinee Tangsiripaiboon, Sakgasit Ramingwong, Kenneth Cosh, Narissara Eiamkanitchat and Lachana Ramingwong
Computers 2025, 14(12), 532; https://doi.org/10.3390/computers14120532 - 4 Dec 2025
Viewed by 758
Abstract
Dyslexia is not easily observed from outward appearance alone; differences typically emerge through learning performance and certain behavioral indicators. This study introduces the Direction Game, a computer-based task that uses mouse-tracking to capture behavioral signals related to directional perception, a common challenge among [...] Read more.
Dyslexia is not easily observed from outward appearance alone; differences typically emerge through learning performance and certain behavioral indicators. This study introduces the Direction Game, a computer-based task that uses mouse-tracking to capture behavioral signals related to directional perception, a common challenge among children at risk for dyslexia. The prototype consists of language-independent mini-games targeting three main types of directional confusion and was piloted with 102 primary school students. Analyses showed that concentration-related variables, particularly attentional control and visuo-motor planning, may provide more informative indicators of risk than simple accuracy scores. Machine learning models demonstrated promising classification performance relative to standardized school screening protocols. Additionally, an exploratory analysis of mouse trajectories revealed five tentative interaction profiles: hesitation, impulsivity, deliberate processing, fluent performance, and disengagement. Together, these findings highlight the potential of a simple, game-based mouse-tracking tool to support accessible and preliminary dyslexia risk assessment in classroom environments. Full article
Show Figures

Figure 1

33 pages, 389 KB  
Article
Compounded Disadvantage: Issues in Addressing the Educational Requirements of Twice-Exceptional Students in Schools
by Michelle Ronksley-Pavia and Catherine Clark
Educ. Sci. 2025, 15(12), 1593; https://doi.org/10.3390/educsci15121593 - 26 Nov 2025
Viewed by 1379
Abstract
Twice-exceptional learners, students with both giftedness and disability (e.g., ADHD, ASD, dyslexia), face significant educational barriers in schools. This study examined stakeholder perspectives on the most pressing issues affecting twice-exceptional students in Australia. An online survey collected responses from 118 adult stakeholders. Reflexive [...] Read more.
Twice-exceptional learners, students with both giftedness and disability (e.g., ADHD, ASD, dyslexia), face significant educational barriers in schools. This study examined stakeholder perspectives on the most pressing issues affecting twice-exceptional students in Australia. An online survey collected responses from 118 adult stakeholders. Reflexive thematic analysis identified five interconnected themes: absence of national guidelines and supports, inadequacies in educator skills and training, challenges in recognizing multiple exceptionalities, inequitable learning conditions, and significant toll on students and families. The study introduces a novel four-point explanatory model identifying systematic recognition failure mechanisms: masking effects, behavior-first interpretations, output-dependent bias, and executive function misreading. Findings reveal that twice-exceptional learners experience compounded disadvantage through multiplicative effects where each systemic failure amplifies others, creating cycles of educational inequity. The study identified policy asymmetry as a critical structural barrier, where mandated disability support exists alongside discretionary gifted education, inevitably privileging deficit-focused over strengths-based approaches. Results revealed a hidden equity crisis where family resources instead of student need influenced access to appropriate support, creating a two-tiered stratification system, which contradicts fundamental educational equity. Consensus across stakeholders indicated these challenges reflected structural issues requiring mandated national frameworks and coordinated interventions to address inadequacies in responses to twice-exceptionality. Full article
25 pages, 1614 KB  
Article
Navigating Social Inclusion: How Social and Cognitive Factors Relate to Friendship Quality in Children with ADHD, Dyslexia, and Neurotypical Development
by Sofia Kouvava, Katerina Antonopoulou, Asimina M. Ralli, Ioanna Voulgaridou and Constantinos M. Kokkinos
Educ. Sci. 2025, 15(11), 1566; https://doi.org/10.3390/educsci15111566 - 20 Nov 2025
Viewed by 791
Abstract
Friendships contribute to children’s social inclusion at school. Children with Attention Deficit/Hyperactivity Disorder (ADHD) or dyslexia experience substantial difficulty maintaining meaningful friendships. This study aims to elucidate the direct and indirect influence of social understanding on friendship quality features and executive functions in [...] Read more.
Friendships contribute to children’s social inclusion at school. Children with Attention Deficit/Hyperactivity Disorder (ADHD) or dyslexia experience substantial difficulty maintaining meaningful friendships. This study aims to elucidate the direct and indirect influence of social understanding on friendship quality features and executive functions in primary school children with neurotypical development (NT), ADHD, or dyslexia. Participants were divided into three groups of 64 children each (Mage = 9.77 years, SD = 1.22). Self-report research instruments and tasks were individually administered to examine children’s friendship quality, social understanding (beliefs, empathy, emotion regulation), and executive functions (working memory, inhibition, cognitive flexibility). Results showed that in children with NT, beliefs and emotions as components of social understanding mediated the positive relationship between all executive functions and friendship quality, after controlling for gender. In children with ADHD or dyslexia, only beliefs mediated the relationship between working memory and friendship quality. These findings highlight the dynamic role of social understanding in children’s cognitive development and their friendships, leading to psychosocial adjustment and school inclusion. Full article
Show Figures

Figure 1

19 pages, 416 KB  
Article
Self-Reported Dyslexia Traits as Positive Predictors of Self-Reported Cognitive Failures in the Workplace
by James H. Smith-Spark and Madalyn Huang
Behav. Sci. 2025, 15(11), 1582; https://doi.org/10.3390/bs15111582 - 18 Nov 2025
Viewed by 592
Abstract
There is little direct empirical evidence indicating how dyslexia-related cognitive difficulties express themselves in employment settings, although employers may be legally required to support neurodivergent workers through targeted accommodations. The current pre-registered online survey investigated the relationship between dyslexia traits and the self-reported [...] Read more.
There is little direct empirical evidence indicating how dyslexia-related cognitive difficulties express themselves in employment settings, although employers may be legally required to support neurodivergent workers through targeted accommodations. The current pre-registered online survey investigated the relationship between dyslexia traits and the self-reported frequency of workplace cognitive failures. Four hundred native English speakers were recruited via Prolific. All respondents identified as being full- or part-time UK employees in a central place of work. The respondents completed a series of published self-report questionnaires on neurodivergent symptomatology, mental wellbeing, personality characteristics, and busyness and routine at work. Hierarchical multiple regression analyses were used to determine whether dyslexia traits were predictive of workplace cognitive failures. After controlling for age, busyness and routine, Big Five personality traits, mental wellbeing, and self-reported ADHD symptoms, dyslexia traits were a significant positive predictor of the overall frequency of workplace cognitive failures. Self-reported dyslexia traits were also significant positive but weak predictors of the individual memory, attention, and action factors. The predictive relationships found between self-reported dyslexia traits and workplace cognitive failures suggest that a similar approach with officially diagnosed individuals would prove fruitful in understanding how dyslexia affects work performance and improve targeted support for dyslexic employees. Full article
Show Figures

Figure 1

17 pages, 690 KB  
Article
Heterogeneity in English as a Foreign Language: Skills Among Norwegian 6th Graders with Dyslexia—The Impact of Language Comprehension and Processing Profiles
by Turid Magnhild Helland, Randi Kaasa and Wenche Andersen Helland
Brain Sci. 2025, 15(11), 1230; https://doi.org/10.3390/brainsci15111230 - 15 Nov 2025
Viewed by 638
Abstract
Background: English as a first foreign language (EFL) is often difficult for students with dyslexia. This study maps a broad range of EFL verbal and literacy skills in 6th graders with dyslexia compared to a control group. Methods: Participants were 127 controls (CON) [...] Read more.
Background: English as a first foreign language (EFL) is often difficult for students with dyslexia. This study maps a broad range of EFL verbal and literacy skills in 6th graders with dyslexia compared to a control group. Methods: Participants were 127 controls (CON) and 60 students with dyslexia (DYS), split into dys+ and dys− by their comprehension scores. They were tested with “The English 2 Dyslexia Test” containing seven subtests within three domains: Sentences, Pragmatics, and Literacy. The data were analysed in Part 1: domains and groups, and in Part 2: linguistic skills and spelling by groups. Results: Part 1. CON scored better than DYS on all tests. However, the differences between the two subgroups, dys+ and dys−, were larger than expected. Dys+ scored in line with CON on several tests, while dys− scored below CON on all tests and lower than dys+ on all except for spelling. Part 2. Minor differences were seen between CON and dys+ in linguistic skills, and both CON and dys+ scored higher than dys−. Spelling was scored by the number of graphemes. CON scored higher than both dys+ and dys−, with no difference between the subgroups. Conclusions: The results were discussed in accordance with neurocognitive theories of the auditory and visual timing systems. The overall low scores in dys− were mainly attributed to auditory processing problems, while the specific low spelling scores in dys+ were mainly attributed to visual processing problems. More research is needed on how the behavioural patterns in the two dyslexia subgroups relate to neural correlates in the meeting between EFL and different L1 language typologies and orthographies. Full article
(This article belongs to the Special Issue Current Advances in Developmental Dyslexia)
Show Figures

Figure 1

12 pages, 933 KB  
Article
Children with Dyslexia Benefit from Short Combined Reading and Motor Training: Objective Measures Assessed by Eye Movements and Postural Sway Recordings
by Simona Caldani, Elie Khoury, Richard Delorme and Maria Pia Bucci
Brain Sci. 2025, 15(11), 1218; https://doi.org/10.3390/brainsci15111218 - 13 Nov 2025
Viewed by 794
Abstract
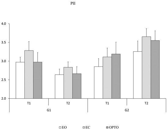
Background/Objectives: Children with dyslexia report poor motor control; several studies have shown poor eye movements control during reading and important body instability in these children. The present study aimed to test in children whether reading and postural abilities in children with dyslexia could [...] Read more.
Background/Objectives: Children with dyslexia report poor motor control; several studies have shown poor eye movements control during reading and important body instability in these children. The present study aimed to test in children whether reading and postural abilities in children with dyslexia could benefit from a short combined reading and postural training program. Methods: Thirty-two children with dyslexia were randomly assigned to training group (G1) or control group (G2). All participants completed eye movements recording during reading and postural recording under an unstable support before and after the intervention. G1 underwent a 10 min combined reading and postural training while G2 had a 10 min rest. During reading, the reading time, the duration of fixations, as well as the occurrence, amplitude, and number of forward saccades (saccades from the left to the right) and backward saccades (saccades from the right to the left) were measured. The PII (postural instability index) was measured under unstable support. G1 exhibited a significant decrease after training in reading time, fixation duration, and the number of forward saccades. Furthermore, we observed a significant reduction in postural instability. In contrast, G2 failed to show any significant changes in eye movements and postural recordings. Conclusions: We suggest such a combined reading and postural training approach could help dyslexic children to improve motor abilities. Adaptive mechanisms through improved cerebellar activity could be responsible for such motor enhancement. Full article
(This article belongs to the Section Developmental Neuroscience)
Show Figures

Figure 1

14 pages, 1038 KB  
Article
Beyond Global IQ: Identifying Subgroups of Intellectual Functioning in Dyslexia Through Latent Profile Analysis
by Bartosz M. Radtke, Ariadna Łada-Maśko, Paweł Jurek, Michał Olech, Shally Novita and Urszula Sajewicz-Radtke
J. Intell. 2025, 13(11), 144; https://doi.org/10.3390/jintelligence13110144 - 10 Nov 2025
Viewed by 891
Abstract
Dyslexia, a heterogeneous neurodevelopmental disorder, is characterized by persistent reading and spelling difficulties despite average intellectual potential. Although intellectual functioning in dyslexia is often described as average, emerging evidence suggests meaningful within-group variability. This study examined whether children and adolescents with dyslexia exhibited [...] Read more.
Dyslexia, a heterogeneous neurodevelopmental disorder, is characterized by persistent reading and spelling difficulties despite average intellectual potential. Although intellectual functioning in dyslexia is often described as average, emerging evidence suggests meaningful within-group variability. This study examined whether children and adolescents with dyslexia exhibited distinct intellectual profiles based on the Stanford-Binet Intelligence Scales, Fifth Edition (SB5). Data were obtained from a large, diagnostically verified sample of 3458 individuals aged 10–19 years assessed in psychological-pedagogical counseling centers across Poland. We used latent profile analysis (LPA) of all 10 SB5 subtests and compared models that specified 2–6 latent classes. The optimal solution identified two profiles: (a) a small subgroup (5%) with globally reduced intellectual functioning and a profound deficit in verbal working memory (>3 standard deviations below the norm) and (b) the predominant subgroup (95%) with broadly average intellectual functioning and relatively preserved reasoning abilities. Profile membership was associated with socioeconomic status; the low-functioning subgroup was associated with lower parental education and age, as younger participants were more likely to belong to this group. These findings highlight the dimensional nature of intellectual heterogeneity in dyslexia and underscore the diagnostic value of profile-based approaches over global intelligence quotient (IQ) scores. Full article
Show Figures

Figure 1

29 pages, 1045 KB  
Article
Bridging Accessibility Gaps in Dyslexia Intervention: Non-Inferiority of a Technology-Assisted Approach to Dyslexia Instruction
by Anna E. Middleton, Karen J. Avrit, Marjorie Zielke, Erik DeFries, Marcela Davila and Sheryl L. Frierson
Educ. Sci. 2025, 15(11), 1460; https://doi.org/10.3390/educsci15111460 - 2 Nov 2025
Viewed by 1205
Abstract
Dyslexia is a highly prevalent learning disability characterized by deficits in specific cognitive and linguistic skills which impair accurate and fluent reading of written words. Intensive, comprehensive, multicomponent interventions are effective in improving outcomes for students with dyslexia, but effective curriculum delivery has [...] Read more.
Dyslexia is a highly prevalent learning disability characterized by deficits in specific cognitive and linguistic skills which impair accurate and fluent reading of written words. Intensive, comprehensive, multicomponent interventions are effective in improving outcomes for students with dyslexia, but effective curriculum delivery has traditionally required an educator with substantial training. Many school systems lack sufficient staff with this level of expertise to successfully meet the needs of all their struggling readers. Towards this end, a technology-assisted dyslexia intervention was developed to provide teacher support through a virtual human avatar, resulting in significantly reduced training time while maintaining the comprehensive scope and structure of a traditional intervention model. This paper evaluates the comparative efficacy of the tech-assisted delivery model and the traditional model across two independent substudies. Results from quasi-experimental observational substudies in both laboratory school (n = 82) and public-school (n = 157) samples demonstrate non-inferiority, i.e., comparable student progress in reading and spelling, of the tech-assisted instruction compared to the traditional delivery model. Furthermore, despite differences in the educator training model, implementation fidelity was equivalently strong (>90%) in both groups. Findings provide encouraging evidence towards the scalability of effective dyslexia intervention by providing technology-based support at the level of the teacher. Implications for practice and questions for future research are discussed. Full article
(This article belongs to the Special Issue Students with Special Educational Needs in Reading and Writing)
Show Figures

Figure 1

26 pages, 7247 KB  
Article
DyslexiaNet: Examining the Viability and Efficacy of Eye Movement-Based Deep Learning for Dyslexia Detection
by Ramis İleri, Çiğdem Gülüzar Altıntop, Fatma Latifoğlu and Esra Demirci
J. Eye Mov. Res. 2025, 18(5), 56; https://doi.org/10.3390/jemr18050056 - 15 Oct 2025
Viewed by 750
Abstract
Dyslexia is a neurodevelopmental disorder that impairs reading, affecting 5–17.5% of children and representing the most common learning disability. Individuals with dyslexia experience decoding, reading fluency, and comprehension difficulties, hindering vocabulary development and learning. Early and accurate identification is essential for targeted interventions. [...] Read more.
Dyslexia is a neurodevelopmental disorder that impairs reading, affecting 5–17.5% of children and representing the most common learning disability. Individuals with dyslexia experience decoding, reading fluency, and comprehension difficulties, hindering vocabulary development and learning. Early and accurate identification is essential for targeted interventions. Traditional diagnostic methods rely on behavioral assessments and neuropsychological tests, which can be time-consuming and subjective. Recent studies suggest that physiological signals, such as electrooculography (EOG), can provide objective insights into reading-related cognitive and visual processes. Despite this potential, there is limited research on how typeface and font characteristics influence reading performance in dyslexic children using EOG measurements. To address this gap, we investigated the most suitable typefaces for Turkish-speaking children with dyslexia by analyzing EOG signals recorded during reading tasks. We developed a novel deep learning framework, DyslexiaNet, using scalogram images from horizontal and vertical EOG channels, and compared it with AlexNet, MobileNet, and ResNet. Reading performance indicators, including reading time, blink rate, regression rate, and EOG signal energy, were evaluated across multiple typefaces and font sizes. Results showed that typeface significantly affects reading efficiency in dyslexic children. The BonvenoCF font was associated with shorter reading times, fewer regressions, and lower cognitive load. DyslexiaNet achieved the highest classification accuracy (99.96% for horizontal channels) while requiring lower computational load than other networks. These findings demonstrate that EOG-based physiological measurements combined with deep learning offer a non-invasive, objective approach for dyslexia detection and personalized typeface selection. This method can provide practical guidance for designing educational materials and support clinicians in early diagnosis and individualized intervention strategies for children with dyslexia. Full article
Show Figures

Figure 1

Back to TopTop