Next Article in Journal
Restoration of Heel–Toe Gait Patterns for the Prevention of Asymmetrical Hip Internal Rotation in Patients with Unilateral Spastic Cerebral Palsy
Next Article in Special Issue
Palliative Care in Pediatric Pulmonology
Previous Article in Journal
Maternal Age, the Disparity across Regions and Their Correlation to Sudden Infant Death Syndrome in Taiwan: A Nationwide Cohort Study
Previous Article in Special Issue
Needs Assessment for the Development of an Electronic Cross-Facility Health Record (ECHR) for Pediatric Palliative Care: A Design Thinking Approach
 
 
Font Type:
Arial Georgia Verdana
Font Size:
Aa Aa Aa
Line Spacing:
Column Width:
Background:
Article

Assessment of Sleep-Related Problems in Children with Cerebral Palsy Using the SNAKE Sleep Questionnaire

by
Larissa Alice Dreier
1,2,
Tugba Kapanci
3,
Katharina Lonnemann
3,
Margarete Koch-Hogrebe
3,
Lucia Wiethoff-Ubrig
3,
Markus Rauchenzauner
4,5,
Markus Blankenburg
1,6,
Boris Zernikow
1,2,
Julia Wager
1,2 and
Kevin Rostasy
3,*
1
Department of Children’s Pain Therapy and Paediatric Palliative Care, Faculty of Health, School of Medicine, Witten/Herdecke University, 58448 Witten, Germany
2
PedScience Research Institute, 45711 Datteln, Germany
3
Department of Pediatric Neurology, Children’s and Adolescents’ Hospital Datteln, Witten/Herdecke University, 58448 Witten, Germany
4
Department of Pediatrics, Hospital Kaufbeuren, 87600 Kaufbeuren, Germany
5
Department of Pediatrics, Medical University Innsbruck, 6020 Innsbruck, Austria
6
Paediatric Neurology, Psychosomatics and Pain Therapy, Center for Child, Youth and Women’s Health, Klinikum Stuttgart, Olgahospital/Frauenklinik, 70174 Stuttgart, Germany
*
Author to whom correspondence should be addressed.
Children 2021, 8(9), 772; https://doi.org/10.3390/children8090772
Submission received: 23 July 2021 / Revised: 25 August 2021 / Accepted: 30 August 2021 / Published: 1 September 2021
(This article belongs to the Collection Pediatric Palliative Care Update)

Abstract

:
Cerebral palsy (CP) represents the most common motor impairment in childhood. The presence of sleep problems has not yet been investigated with an instrument specifically designed for this population. In this hospital-based, prospective study, N = 100 children (M = 7.9, range: 2–18 years) with CP were included. All patients underwent pediatric neurologists’ screening incorporating instruments (Data Collection Form; Gross Motor Functions Classification System, GMFCS; Bimanual Fine Motor Function, BFMF) recommended by the “Surveillance of Cerebral Palsy in Europe (SCPE)”. Parents completed the “Sleep Questionnaire for Children with Severe Psychomotor Impairment (SNAKE)”. Children’s sleep behavior was increasingly conspicuous, with greater gross motor (SNAKE scales: disturbances remaining asleep, daytime sleepiness) and fine motor (additionally SNAKE scale arousal and breathing problems) functional impairment. Overall, a proportion of children showed sleep behavior outside the SNAKE’s normal range. No relevant sleep differences were identified between different CP subtypes and comorbidities. Applying a population-specific questionnaire, children’s functional impairment seems to be more relevant to their sleep behavior than the CP subtype or CP comorbidities.

1. Introduction

Cerebral palsy (CP) constitutes the most common cause of motor abnormalities in infants and children, describing a group of complex permanent motor and posture disorders that result from lesions, abnormalities, or non-progressive interferences of the developing fetal or immature brain [1,2,3].
Based on children’s neurological signs and the classification of the “Surveillance of Cerebral Palsy in Europe” (SCPE) [1], different subtypes, such as spastic, dyskinetic, dystonic, ataxic, or mixed forms, can be differentiated [1,2]. In relation to a child’s functional limitations, need for assistive technology, and quality of movement, motor function can be classified according to the Gross Motor Function Classification System (GMFCS) and thus be assigned to one of a total of five levels, considering the child’s age [4]. Children’s fine motor skills, on the other hand, can be defined with the help of the likewise five-level Bimanual Fine Motor Function System (BFMFS), which focuses on bimanual functional limitations [5].
CP is often accompanied by a multitude of comorbidities, such as epilepsy, visual, hearing, or cognitive impairment [1,6]. With a prevalence of around 19–63% [1,7,8,9,10,11,12,13,14,15,16], sleep problems constitute a common phenomenon in this population, possibly triggered by the aforementioned CP comorbidities.
Sleep problems are not only having a major impact (e.g., learning or behavioral difficulties) on the well-being of the affected child but are also frustrating for parents and siblings and may lead to a deterioration of their own sleep [6,11,17,18,19].
A simple but efficient way to obtain information regarding children’s sleep is the use of sleep questionnaires. Questionnaire-based surveys have shown that sleep problems appear to be cumulative [11,17,20] and, when considered in detail, may manifest, for instance, in the form of difficulties falling asleep [13,17,21,22,23,24], maintaining sleep [17,21,22,23,24], sleep arousals [13,17,21,22,24], altered sleep-wake patterns [17], or breathing problems [13,25]. Thereby, the number of sleep problems seems to be related to the severity of the CP phenotype and the parallel presence of comorbidities [17].
The “Sleep Questionnaire for Children with Severe Psychomotor Impairment” (Schlaffragebogen für Kinder mit Neurologischen und Anderen Komplexen Erkrankungen, SNAKE) was specifically developed for children with psychomotor impairments and complex (neurological) conditions and was confirmed to show a good reliability and validity [26]. It comprises items that are disregarded in other frequently used questionnaires, such as the “Sleep Disturbance Scale for Children” (SDSC; [21,27]), the “Children’s Sleep Habits Questionnaire” (CSHQ; [28,29,30,31,32]), or the “Sleep Behavior Questionnaire” (SBQ; [33,34]), that have been applied in different studies [35] but, however, were developed per se for healthy persons [26,36,37]. Although the potential utility of the SNAKE for examining sleep in children with CP has been pointed out [38], it has not yet been used in a systematic study with this particular population.
Therefore, the aim of this study was to investigate the sleep and potential sleep problems in children with different CP subtypes considering the potential impact of degree of motor impairment and CP comorbidities.

2. Materials and Methods

2.1. Participants

For this study, children aged between 2 to 18 years fulfilling the diagnostic criteria for CP according to the “Surveillance of Cerebral Palsy in Europe” (SCPE) [1]) were included. The study was approved by the Ethics Committee of the Witten/Herdecke University, Germany (approval code: 172/2014). All parents gave informed consent to participate in the study.

2.2. CP Screening

Comprehensive screening was performed on all children with CP who were planned to be admitted to the Pediatric Neurology ward of the Children’s and Adolescents’ Hospital Datteln in Germany between the years 2015–2017. Reasons for admission included symptom control (e.g., seizures), neuro-orthopedic assessments, cognitive testing, or other issues, such as targeted weight gain.
For this, all children whose parents consented to participate in the study were examined by a board-certified pediatric neurologist (K.R., M.K., L.W.-U.) who then, in the first step, assigned a CP diagnosis based on the SCPE classifications including the following subtypes: bilateral spastic cerebral palsy (BSCP), unilateral spastic cerebral palsy (USCP), dyskinetic cerebral palsy (DCP), or hypotonic-ataxic cerebral palsy [1,39].
Additional patient-related data were systematically recorded by the neuropediatricians using the SCPE “Data Collection Form for Cerebral Palsy” [39]. These data included the children’s gestational age (categorized into extreme preterm delivery: fewer than 32 weeks of gestation; preterm delivery: 32–36 gestational weeks; term born: 37–41 gestational weeks; postterm: more than 41 gestational weeks), birth weight (below 1500 g, 1500–2500 g, more than 2500 g), type of delivery (vaginal, planned C-section, emergency C-section), need for referral to the neonatal intensive care unit (NICU; yes, no), presence of cognitive impairment (yes, no, not known), presence of epilepsy (defined by two unprovoked seizures; yes, no), current intake of anticonvulsants (yes, no, not known), and presence of (severe) hearing and/or (severe) visual impairment (yes, no). Severe visual impairment was defined as a visual loss level <6/60 (Snellen scale, ref. [40]) or <0.1 (decimal scale, ref. [41]) in both eyes (blindness or no useful vision, after correction, in the better eye, ref. [1]). A severe hearing impairment was present with a hearing loss of >70 decibels (before correction, on the better ear; ref. [1]). For the assessment of the children’s cognitive, visual, and hearing abilities, the definitions of the SCPE Data Collection Form for Cerebral Palsy were considered adequate for the study purpose so that more complex assessment instruments, such as the Manual Ability Classification System (MACS, ref. [42]), did not need to be involved.
To classify the patients’ CP severity on a functional level, the GMFCS and the BFMF were applied [4,5,43].

2.3. Patients’ Sleep Behavior

To assess patients’ sleep behavior, the “Sleep Questionnaire for Children with Severe Psychomotor Impairment” (SNAKE) was handed out to the parents at admission. The SNAKE assesses children’s sleep behavior during the past 4 weeks. It is based on parent’s or caregiver’s proxy reporting and includes five scales oriented on the International Classification of Sleep Disorders-2 [44]: (1) disturbances going to sleep (value range: 5–20; normal range: 6–14, T-score: 40–60), (2) disturbances remaining asleep (value range: 5–20; normal range: 8–17 points, T-score: 41–60), (3) arousal and breathing disorders (value range: 6–24; normal range: 7–16, T-score: 41–60), (4) daytime sleepiness (value range: 3–12; normal range: 4–9, T-score: 41–58), and (5) daytime behaviour disorders (value range: 4–16; normal range: 4–12, T-score: 36–59; [26,36,37,45]. In addition, a global rating of the child’s sleep during the reference period can be made (4-point Likert scale; very well, well, satisfactory, poor).

2.4. Data Analysis

Since the assumption of normal distribution had to be discarded for all variables (Kolmogorov–Smirnov test; all p > 0.05), non-parametric statistics were applied for analyses. No a-priori sample size calculation was conducted. The sample size was set to N = 100. Due to missing sample size calculation, sensitivity analyses were performed for each test via the software G*Power, a free-to-use tool for calculating statistical power for a variety of statistical tests [46]. For this, a small to medium effect size and sufficient statistical power of 0.9 was assumed by default.
The patients’ demographic data (age, sex) were extracted from the patient’s medical records and, like the CP screening data, analyzed descriptively. The SNAKE’s mean scale values were determined to evaluate the patients’ sleep behavior.
A Kruskal–Wallis test followed by pairwise comparisons were used to determine potential differences in the sleep patterns among age groups, which were defined as follows: toddler (age 2–3 years), child (age 4–12 years), and adolescent (age 13–18 years).
The global rating of a child’s sleep quality was dichotomized into very well/well and satisfactory/poor. Point-biserial correlations were conducted to investigate the relationship between the five SNAKE scales and the remaining variables. Because of an expected cell frequency less than 5, the Fisher–Freeman–Halton exact test followed by Bonferroni–Holm correction was applied to examine associations between the GMFCS/BFMF, global rating of a child’s sleep quality, and CP comorbidities. Paired comparisons and group differences regarding the presence and extent of sleep disorders detected by the SNAKE (e.g., between the subtypes of cerebral palsy) were investigated via the Kruskal–Wallis test and the Mann–Whitney U test with subsequent Bonferroni–Holm corrections.
All analyses were performed two-tailed, with p-values < 0.05 indicating statistical significance using the IBM SPSS statistics software (version 27).

3. Results

3.1. Patient Characteristics

A total of n = 100 children (n = 41 female, n = 59 male) aged 1 to 18 years (M = 7.9; SD = 4.46; range: 2–18 years) were included in the study. Detailed patient information is depicted in Table 1.
Most of the children (n = 51, 51.5%) were born full-term, with birth weight exceeding 2500 g (n = 51, 53.1%). The majority were delivered by emergency C-section (n = 41, 41%;) and required intensive care in a NICU after birth (n = 68, 68%), where n = 44 (44%) received ventilation by a respirator or continuous positive airway pressure (CPAP) for more than 24 h.
BSCP represented the most common CP type (n = 57, 57%). The leading reason for CP was periventricular leukomalacia (n = 25, 25%). The most common GMFCS level was level 5 (n = 31, 31%), whereas most children achieved BFMF level 1 (n = 35, 35%; Table 1).
Regarding potential CP comorbidities, n = 58 (58%) children experienced epilepsy that led to the use of antiepileptic drugs in n = 47 (81%) children at the time of data collection. A total of n = 23 (23.3%) children experienced hearing and n = 65 (65.7%) visual impairment. Varying severity of cognitive impairment was present in n = 56 (71.8%) children.
Significant relations were identified between the GMFCS/BFMF and the CP comorbidities severe visual impairment, cognitive impairment, and epilepsy. The BFMF additionally showed a significant association with hearing impairment (Fisher–Freeman–Halton exact test; detectable effect size: 0.4; after Bonferroni–Holm correction, all p < 0.05).

3.2. Patients’ Sleep Behavior

In 70% (n = 70) of the cases, the SNAKE was filled out by a child’s mother (father: n = 15, 15%; mother and father: n = 12, 12%; other relatives: n = 3, 3%). On average, children achieved the following SNAKE scale values: (1) disturbances going to sleep: M = 10.81, SD = 3.83; (2) disturbances remaining asleep: M = 11.11, SD = 4.47; (3) arousal and breathing disorders: M = 10.04, SD = 3.68; (4) daytime sleepiness: M = 5.63, SD = 2.76; and (5) daytime behavior disorders: M = 8.35, SD = 3.49. Skewed distributions or outliers could not be found for any of the scales. On all scales, a certain proportion of children achieved mean SNAKE scale values outside the normal range: (1) disturbances going to sleep: n = 24, 24.7%; (2) disturbances remaining asleep: n = 35, 35.4%; (3) arousal and breathing disorders: n = 32, 32%; (4) daytime sleepiness: n = 52, 53.1%; and (5) daytime behavior disorders: n = 17, 17.2% (Figure 1).
On scale 4 (daytime sleepiness), a significant difference was identified in the sleep patterns of the participants depending on their age. Pairwise comparisons showed that toddlers achieved significantly higher SNAKE scale 4 values than the comparison groups children (χ2 = 28.57, p < 0.01) and adolescents (χ2 = 30.98, p < 0.01; detectable effect size: 0.4).
Overall, n = 29 (29.3%) parents/caregivers stated that their child had slept very well during the past 4 weeks, n = 49 (49.5%) that their child had slept well, n = 17 (17.2%) that their child had slept satisfactorily, and n = 4 (4%) that their child had slept poorly. The SNAKE’s global rating of a child’s sleep quality was related to a child’s hearing impairment (Fisher–Freeman–Halton exact test; after Bonferroni–Holm correction, p < 0.05).
Significant positive correlations were found between four of the five scales and the extent of gross motor impairment as measured by the GMFCS. Likewise, the degree of fine motor impairment (BFMF) was positively correlated with all five SNAKE scales. Interestingly, no correlations between the type of CP and the SNAKE scales were identified (all p > 0.05, Table 2).
Regarding the assessed comorbidities, the majority of parents of children with epilepsy indicated in the SNAKE that their child did not sleep poorly because of epileptic seizures (n = 41, 74.5%, SD = 0.91). Further, the SNAKE scale 2 (disturbances remaining asleep) correlated with (severe) visual and cognitive impairment as well as with epilepsy. For scale 3 (arousal and breathing disorders), correlative associations with hearing impairment and epilepsy were identified. Scale 4 (daytime sleepiness) correlated with severe hearing impairment and epilepsy and scale 5 (daytime behavior disorders) with cognitive impairment and epilepsy. None of the SNAKE scales showed an association with anticonvulsant medication intake (Table 2; detectable effect size: 0.3).
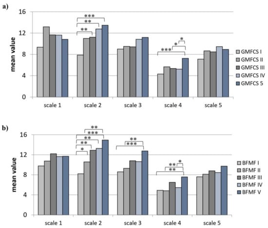
Children with the least gross motor impairment achieved significantly lower scale values on scale 2 (disturbances remaining asleep) than those with more profound motor deficits (χ2 = 26.79, p < 0.01; pairwise comparisons: GMFCS 1–3, GMFCS 1–4, GMFCS 1–5; all p < 0.05), as can be seen in Figure 2 (detectable effect size: 0.4). A similar result could be demonstrated for scale 4 (χ2 = 17.39, p < 0.05; pairwise comparisons: GMFCS 1–5, p < 0.001; GMFCS 3–5, p < 0.05; GMFCS 4–5, p < 0.05; Figure 2a).
Pairwise comparisons as per the post-hoc test of the Kruskal–Wallis test showed that children in the greatest fine motor impairment group (BFMF 5) achieved higher scores on the scales 2 (χ2 = 32.13, p < 0.01), 3 (χ2 = 14.09, p < 0.01), and 4 (χ2 = 14.80, p < 0.01) of the SNAKE questionnaire than children in the other groups (Figure 2b).
After Bonferroni correction, the conducted Mann–Whitney U tests (detectable effect size: 0.6) showed no differences between children experiencing severe visual impairment, reported cognitive impairment, or epilepsy and those children who did not.

4. Discussion

This study aimed to investigate the sleep of children with different types and comorbidities of CP using a sleep questionnaire specifically designed for those with neurological and other complex conditions. Similar to already existing evidence, we identified an association between GMFCS/BFMF and different CP comorbidities, which again illustrates the complex interplay between functional abilities and the concomitant symptoms of the CP disease. A plausible and prominent explanation for this may be that different brain lesions causing motor dysfunction may also have direct and indirect effects on other functional areas, such as speech, hearing, or epilepsy [20,47,48,49,50,51].
One of the study’s main findings was that apparently not the CP disorder per se or the corresponding CP subtype is crucial for sleep or potential sleep problems in this particular population but much more the child’s functional impairment as measured by the GMFCS or BFMF. A similar finding regarding the association between the gross motor impairment and sleep behavior of children with CP was described in a recently published study [15].
Unlike in our study, the authors found an association between the “disorders of arousal” scale of the “Sleep Disturbance Scale for Children” (SDSC, ref. [27]) and CP children’s gross motor impairment. One possible explanation for this difference may be that none of the existing studies so far used an instrument for this very special population, a consideration also made by the authors of the study mentioned above [15].
(Sleep) questionnaires that have not been developed and validated for children with exceptional motor characteristics always bear the risk that (motor) behaviors that are somewhat normal for the child and are possibly not considered by parents to be troublesome for the child’s sleep might nevertheless be rated as sleep problems in such questionnaires. This consideration also fits with our finding that the children included in this study were within the normal range on most of the SNAKE scales. This is confirmed by only 4% of parents who rated their child’s sleep in the last 4 weeks as satisfactory or poor overall. In contrast to other questionnaires currently in use, it is conceivable that the SNAKE is capable of appropriately contextualizing the sleep behavior of children with underlying CP disorders and does not “false positively” declare it a disorder. This strongly suggests that for special populations, particular instruments should always be used [15,52]. We identified an association between the children’s global sleep quality and the presence of a hearing impairment. Today, it is known that maternal voice can positively influence children’s sleep and, for example, prevent involuntary awakening due to environmental influences [53]. Due to a hearing impairment, parents may not or only limitedly be able to acoustically soothe their child or to perform popular sleep rituals, such as reading a book aloud. This may be reflected in the parental assessment of their child’s sleep quality.
Our study showed that toddlers showed a more conspicuous daytime sleepiness than children or adolescents. This contradicts existing literature, which identified more sleep problems in older children than in younger ones [54]. Since none of the other SNAKE scales showed corresponding effects, it is unlikely that this result can be explained by, for example, toddlers’ peculiar sleep-regulation mechanisms. Possibly, parents misinterpreted the questions about their child’s sleep behavior during the daytime and considered “intentional” falling asleep like the nap, which is typical for this age group, as sudden (pathological) falling asleep during the daytime. Future projects should shed more light on such findings by collecting additional sleep-associated variables (e.g., does the child take naps, does the child take medication during the day).
We found that children with greater gross and fine motor impairment showed more sleep-through difficulties and more frequent daytime sleepiness than children with lesser impairments, which, focusing on the specific type of sleep problems, fits the existing literature [25,54]. At the same time, this seems plausible for children with CP, whose nightly sleep may be disturbed, e.g., by being physically unable to independently position their bodies and thus becoming uncomfortable, by nightly pain, or by medical or nursing measures, and consequently may lead to associated daytime sleepiness [6,20,23,24,55,56].
Although we identified associations between children’s sleep patterns and CP comorbidities, post-hoc analyses showed no relevant differences in the sleep behavior of children with and without these comorbidities. Probably, it is not so much the CP comorbidities but the children’s functional impairments that are relevant to their sleep. Nevertheless, since other studies have already shown comparable associations, one possible reason for this may simply be that our sample size was still too small. Future studies involving more detailed information on comorbidities (e.g., by using objective measures, such as actigraphy, or by qualitative interviews with parents and providers regarding their assessment of the importance of these factors for children’s sleep) and a larger sample size should be conducted [3,16,23,54].

5. Limitations

In our study, some children also scored outside the normal range of the SNAKE, which may tend to indicate abnormal sleep behavior and fits with the numerous existing studies, which ascribed sleep disturbances to children with CP [17,21,25,54,57,58]. Nevertheless, as the greatest limitation of the study, it must be stressed at this point that the SNAKE defines no cut-off values that determine at what point a child’s sleep behavior is clinically relevant and thus potentially requiring special attention or treatment [37,45]. In order for the SNAKE to be fully applicable to complex samples, such as the one studied, and also to have relevance as a diagnostic tool for everyday clinical practice, the definition of cut-off values, for example, as part of a revision of the SNAKE, should definitely be sought.
Another limitation is that the study’s sample size (N = 100) was not based on a-priori calculations. Even though the sensitivity calculations showed that sufficient effect sizes and thus interpretable and meaningful results could be expected for all tests of interest, corresponding a-priori calculations should be performed in future replicating studies. In this context, it is nevertheless important considering that especially in highly specialized settings, such as the one focused on in this study, researchers are always faced with the challenges of small samples [59]. Researchers should therefore always weigh realistically between the desired sample sizes and effects and the actual sample that is presumably to be reached.
The sleep behavior of children with CP may be influenced by more parameters and patient characteristics that were not evaluated in detail within the scope of this study. For example, information on the (artificial) respiration of a child, on the child’s entire medication, on cardiorespiratory, or musculoskeletal abnormalities were not focused in detail, as we were primarily interested in variables that are recorded as part of the SCPE Data Collection Form and by the SNAKE. For the purpose of the study, the selected variables are to be considered satisfactory, as the main objective of the study and our corresponding questions could be answered. Nonetheless, CP is a highly complex disorder [3], so the collection of additional patient characteristics and variables is imperative in future studies to continuously better understand sleep behavior and potential sleep problems in this population [6,57,58].
Lastly, the sleep-related results of our study are based on the judgment of the children’s parents. Given that these are experts on their child and that the application of sleep questionnaires, albeit not specifically developed for children with neurological disorders and psychomotor impairments, is a frequently chosen method in children and patients with CP [54], this should not per se be considered a weakness of the study. Even if there are more objective procedures, such as polysomnography (the “gold standard” of sleep diagnostics) and actigraphy [60,61], these are often only available to a limited extent in the clinical setting and particularly with PSG impose a potentially substantial burden and stress on patients and families (e.g., unfamiliar environment, need to stay overnight in clinic, etc., [61]). It has been emphasized that despite being correlated, actigraphy and sleep questionnaires/sleep logs may generate different estimates of the same sleep parameter, suggesting that these provide unique information contributing to the clinical understanding of patients’ sleep behavior and potential disorders [62]. Against this background, our study provides for the first time insights into a questionnaire that is even more specific than comparable instruments for CP patients and thus offers great potential for future use. In a next highly significant step, the questionnaire should be combined and compared with objective diagnostic measures, such as PSG or actigraphy, and with the impression of additional informants (e.g., professional caregivers [63]) to generate further evidence on the SNAKE and a comprehensive picture of the sleep behavior of this special population.

6. Conclusions

Our study showed that sleep peculiarities of children with CP seem to be primarily linked to their functional impairment. Nevertheless, these peculiarities do not necessarily represent sleep disorders, as the incorporation of a questionnaire developed specifically for this population showed. Follow-up studies should further elucidate these findings taking into account the limitations addressed.

Author Contributions

Conceptualization, L.A.D., T.K., K.L. and K.R.; methodology, L.A.D., T.K., K.L. and K.R.; validation, L.A.D., T.K., K.L., M.K.-H., L.W.-U., M.R., M.B., B.Z., J.W. and K.R.; formal analysis, L.A.D.; investigation, K.L., M.K-H., L.W.-U. and K.R.; writing—original draft preparation, L.A.D. and T.K.; writing—review and editing, T.K., K.L., M.K.-H., L.W.-U., M.R., M.B., B.Z., J.W. and K.R.; visualization, L.A.D.; supervision, K.R. All authors have read and agreed to the published version of the manuscript.

Funding

This research received no external funding.

Institutional Review Board Statement

The study was conducted according to the guidelines of the Declaration of Helsinki and approved by the Ethics Committee of the Witten/Herdecke University, Germany (approval code: 172/2014).

Informed Consent Statement

Informed consent was obtained from all parents whose children were involved in the study.

Data Availability Statement

The datasets used and/or analyzed within the framework of this study are available from the corresponding author on reasonable request.

Acknowledgments

We would like to thank all parents and caregivers and all their children who took part in the study.

Conflicts of Interest

The authors declare no conflict of interest.

References

  1. Christine, C.; Dolk, H.; Platt, M.J.; Colver, A.; Prasauskiene, A.; Krägeloh-Mann, I. Recommendations from the scpe collaborative group for defining and classifying cerebral palsy. Dev. Med. Child Neurol. Suppl. 2007, 109, 35–38. [Google Scholar] [PubMed]
  2. Patel, D.R.; Neelakantan, M.; Pandher, K.; Merrick, J. Cerebral palsy in children: A clinical overview. Transl. Pediatrics 2020, 9, S125–S135. [Google Scholar] [CrossRef] [PubMed]
  3. Sadowska, M.; Sarecka-Hujar, B.; Kopyta, I. Cerebral palsy: Current opinions on definition, epidemiology, risk factors, classification and treatment options. Neuropsychiatr. Dis. Treat. 2020, 16, 1505–1518. [Google Scholar] [CrossRef] [PubMed]
  4. Palisano, R.; Rosenbaum, P.; Walter, S.; Russell, D.; Wood, E.; Galuppi, B. Development and reliability of a system to classify gross motor function in children with cerebral palsy. Dev. Med. Child Neurol. 1997, 39, 214–223. [Google Scholar] [CrossRef]
  5. Beckung, E.; Hagberg, G. Neuroimpairments, activity limitations, and participation restrictions in children with cerebral palsy. Dev. Med. Child Neurol. 2002, 44, 309–316. [Google Scholar] [CrossRef] [PubMed]
  6. Fitzgerald, D.A.; Follett, J.; Van Asperen, P.P. Assessing and managing lung disease and sleep disordered breathing in children with cerebral palsy. Paediatr. Respir. Rev. 2009, 10, 18–24. [Google Scholar] [CrossRef] [PubMed]
  7. Tsubouchi, Y.; Tanabe, A.; Saito, Y.; Noma, H.; Maegaki, Y. Long-term prognosis of epilepsy in patients with cerebral palsy. Dev. Med. Child Neurol. 2019, 61, 1067–1073. [Google Scholar] [CrossRef] [PubMed] [Green Version]
  8. Rauchenzauner, M.; Schiller, K.; Honold, M.; Baldissera, I.; Biedermann, R.; Tschiderer, B.; Albrecht, U.; Arnold, C.; Rostasy, K. Visual impairment and functional classification in children with cerebral palsy. Neuropediatrics 2021. [Google Scholar] [CrossRef]
  9. Stadskleiv, K. Cognitive functioning in children with cerebral palsy. Dev. Med. Child Neurol. 2020, 62, 283–289. [Google Scholar] [CrossRef] [PubMed]
  10. Löwing, K.; Gyllensvärd, M.; Tedroff, K. Exploring sleep problems in young children with cerebral palsy—A population-based study. Eur. J. Paediatr. Neurol. 2020, 28, 186–192. [Google Scholar] [CrossRef]
  11. Lelis, A.L.; Cardoso, M.V.; Hall, W.A. Sleep disorders in children with cerebral palsy: An integrative review. Sleep Med. Rev. 2016, 30, 63–71. [Google Scholar] [CrossRef] [PubMed]
  12. Owens, J. Classification and epidemiology of childhood sleep disorders. Prim. Care 2008, 35, 533–546.vii. [Google Scholar] [CrossRef] [PubMed]
  13. Newman, C.J.; O’Regan, M.; Hensey, O. Sleep disorders in children with cerebral palsy. Dev. Med. Child Neurol. 2006, 48, 564–568. [Google Scholar] [CrossRef]
  14. Sandella, D.E.; O’Brien, L.M.; Shank, L.K.; Warschausky, S.A. Sleep and quality of life in children with cerebral palsy. Sleep Med. 2011, 12, 252–256. [Google Scholar] [CrossRef] [PubMed] [Green Version]
  15. Obrecht, A.; de Almeida, M.F.; Maltauro, L.; da Silva, W.D.L.; Bueno Zonta, M.; de Souza Crippa, A.C. The relationship between gross motor function impairment in cerebral palsy and sleeping issues of children and caregivers. Sleep Med. 2021, 81, 261–267. [Google Scholar] [CrossRef]
  16. Galland, B.C.; Elder, D.E.; Taylor, B.J. Interventions with a sleep outcome for children with cerebral palsy or a post-traumatic brain injury: A systematic review. Sleep Med. Rev. 2012, 16, 561–573. [Google Scholar] [CrossRef]
  17. Horwood, L.; Mok, E.; Li, P.; Oskoui, M.; Shevell, M.; Constantin, E. Prevalence of sleep problems and sleep-related characteristics in preschool- and school-aged children with cerebral palsy. Sleep Med. 2018, 50, 1–6. [Google Scholar] [CrossRef] [PubMed]
  18. Atmawidjaja, R.W.; Wong, S.W.; Yang, W.W.; Ong, L.C. Sleep disturbances in malaysian children with cerebral palsy. Dev. Med. Child Neurol. 2014, 56, 681–685. [Google Scholar] [CrossRef] [Green Version]
  19. Griffiths, N.; Spence, K.; Loughran-Fowlds, A.; Westrup, B. Individualised developmental care for babies and parents in the nicu: Evidence-based best practice guideline recommendations. Early Hum. Dev. 2019, 139, 104840. [Google Scholar] [CrossRef]
  20. McCabe, S.M.; Blackmore, A.M.; Abbiss, C.R.; Langdon, K.; Elliott, C. Sleep concerns in children and young people with cerebral palsy in their home setting. J. Paediatr. Child Health 2015, 51, 1188–1194. [Google Scholar] [CrossRef]
  21. Cohen, R.; Halevy, A.; Shuper, A. Children’s sleep disturbance scale in differentiating neurological disorders. Pediatric Neurol. 2013, 49, 465–468. [Google Scholar] [CrossRef]
  22. Munyumu, K.; Idro, R.; Abbo, C.; Kaddumukasa, M.; Katabira, E.; Mupere, E.; Kakooza-Mwesige, A. Prevalence and factors associated with sleep disorders among children with cerebral palsy in uganda; a cross-sectional study. BMC Pediatrics 2018, 18, 26. [Google Scholar] [CrossRef] [PubMed] [Green Version]
  23. Dutt, R.; Roduta-Roberts, M.; Brown, C.A. Sleep and children with cerebral palsy: A review of current evidence and environmental non-pharmacological interventions. Children 2015, 2, 78–88. [Google Scholar] [CrossRef] [PubMed] [Green Version]
  24. Romeo, D.M.; Brogna, C.; Quintiliani, M.; Baranello, G.; Pagliano, E.; Casalino, T.; Sacco, A.; Ricci, D.; Mallardi, M.; Musto, E.; et al. Sleep disorders in children with cerebral palsy: Neurodevelopmental and behavioral correlates. Sleep Med. 2014, 15, 213–218. [Google Scholar] [CrossRef]
  25. Grychtol, R.; Chan, E.Y. Use of non-invasive ventilation in cerebral palsy. Arch. Dis. Child 2018, 103, 1170–1177. [Google Scholar] [CrossRef] [PubMed]
  26. Blankenburg, M.; Tietze, A.L.; Hechler, T.; Hirschfeld, G.; Michel, E.; Koh, M.; Zernikow, B. Snake: The development and validation of a questionnaire on sleep disturbances in children with severe psychomotor impairment. Sleep Med. 2013, 14, 339–351. [Google Scholar] [CrossRef]
  27. Bruni, O.; Ottaviano, S.; Guidetti, V.; Romoli, M.; Innocenzi, M.; Cortesi, F.; Giannotti, F. The sleep disturbance scale for children (sdsc). Construction and validation of an instrument to evaluate sleep disturbances in childhood and adolescence. J. Sleep Res. 1996, 5, 251–261. [Google Scholar] [CrossRef]
  28. Owens, J.A.; Spirito, A.; McGuinn, M. The children’s sleep habits questionnaire (cshq): Psychometric properties of a survey instrument for school-aged children. Sleep 2000, 23, 1043–1051. [Google Scholar] [CrossRef]
  29. Churchill, S.S.; Kieckhefer, G.M.; Bjornson, K.F.; Herting, J.R. Relationship between sleep disturbance and functional outcomes in daily life habits of children with down syndrome. Sleep 2015, 38, 61–71. [Google Scholar] [CrossRef] [Green Version]
  30. Larson, A.M.; Ryther, R.C.; Jennesson, M.; Geffrey, A.L.; Bruno, P.L.; Anagnos, C.J.; Shoeb, A.H.; Thibert, R.L.; Thiele, E.A. Impact of pediatric epilepsy on sleep patterns and behaviors in children and parents. Epilepsia 2012, 53, 1162–1169. [Google Scholar] [CrossRef]
  31. Breau, L.M.; Camfield, C.S. Pain disrupts sleep in children and youth with intellectual and developmental disabilities. Res. Dev. Disabil. 2011, 32, 2829–2840. [Google Scholar] [CrossRef]
  32. Wayte, S.; McCaughey, E.; Holley, S.; Annaz, D.; Hill, C.M. Sleep problems in children with cerebral palsy and their relationship with maternal sleep and depression. Acta Paediatr. 2012, 101, 618–623. [Google Scholar] [CrossRef]
  33. Cortesi, F.; Giannotti, F.; Ottaviano, S. Sleep problems and daytime behavior in childhood idiopathic epilepsy. Epilepsia 1999, 40, 1557–1565. [Google Scholar] [CrossRef]
  34. Byars, A.W.; Byars, K.C.; Johnson, C.S.; DeGrauw, T.J.; Fastenau, P.S.; Perkins, S.; Austin, J.K.; Dunn, D.W. The relationship between sleep problems and neuropsychological functioning in children with first recognized seizures. Epilepsy Behav. EB 2008, 13, 607–613. [Google Scholar] [CrossRef] [Green Version]
  35. Bloetzer, C.; Jeannet, P.Y.; Lynch, B.; Newman, C.J. Sleep disorders in boys with duchenne muscular dystrophy. Acta Paediatr. 2012, 101, 1265–1269. [Google Scholar] [CrossRef] [PubMed] [Green Version]
  36. Tietze, A.L.; Blankenburg, M.; Hechler, T.; Michel, E.; Koh, M.; Schluter, B.; Zernikow, B. Sleep disturbances in children with multiple disabilities. Sleep Med. Rev. 2012, 16, 117–127. [Google Scholar] [CrossRef] [PubMed]
  37. Dreier, L.A.; Zernikow, B.; Blankenburg, M.; Wager, J. A sleep questionnaire for children with severe psychomotor impairment (snake)-concordance with a global rating of sleep quality. Children 2018, 5, 20. [Google Scholar] [CrossRef] [PubMed] [Green Version]
  38. Bautista, M.; Whittingham, K.; Edwards, P.; Boyd, R.N. Psychometric properties of parent and child reported sleep assessment tools in children with cerebral palsy. Dev. Med. Child Neurol. 2018, 60, 162–172. [Google Scholar] [CrossRef] [PubMed]
  39. Petruch, U.; Weber, P.M.; Krägeloh-Mann, I. The reference and training manual of the scpe (surveillance of cerebral palsy in europe). Neuropediatrics 2004, 35, 495–496. [Google Scholar] [CrossRef]
  40. McGraw, P.; Winn, B.; Whitaker, D. Reliability of the snellen chart. BMJ 1995, 310, 1481–1482. [Google Scholar] [CrossRef] [PubMed] [Green Version]
  41. Moutray, T.N.; Williams, M.A.; Jackson, A.J. Change of visual acuity recording methods in clinical studies across the years. Ophthalmologica 2008, 222, 173–177. [Google Scholar] [CrossRef]
  42. Eliasson, A.-C.; Krumlinde-Sundholm, L.; Rösblad, B.; Beckung, E.; Arner, M.; Öhrvall, A.-M.; Rosenbaum, P. The manual ability classification system (macs) for children with cerebral palsy: Scale development and evidence of validity and reliability. Dev. Med. Child Neurol. 2006, 48, 549–554. [Google Scholar] [CrossRef]
  43. Surveillance of Cerebral Palsy in Europe. Surveillance of cerebral palsy in Europe: A collaboration of cerebral palsy surveys and registers. Surveillance of cerebral palsy in europe (scpe). Dev. Med. Child Neurol. 2000, 42, 816–824. [Google Scholar]
  44. American Academy of Sleep Medicine. International Classification of Sleep Disorders. Diagnostic and Coding Manual, 2nd ed.; American Academy of Sleep Medicine: Westchester, IL, USA, 2005. [Google Scholar]
  45. Dreier, L.A.; Wager, J.; Blankenburg, M.; Zernikow, B. The unfavorable alliance of pain and poor sleep in children with life-limiting conditions and severe psychomotor impairment. Children 2018, 5, 82. [Google Scholar] [CrossRef] [PubMed] [Green Version]
  46. Faul, F.; Erdfelder, E.; Lang, A.-G.; Buchner, A. G*power 3: A flexible statistical power analysis program for the social, behavioral, and biomedical sciences. Behav. Res. Methods 2007, 39, 175–191. [Google Scholar] [CrossRef]
  47. Himmelmann, K.; Beckung, E.; Hagberg, G.; Uvebrant, P. Gross and fine motor function and accompanying impairments in cerebral palsy. Dev. Med. Child Neurol. 2006, 48, 417–423. [Google Scholar] [CrossRef] [Green Version]
  48. Himmelmann, K.; Horber, V.; Sellier, E.; De la Cruz, J.; Papavasiliou, A.; Krägeloh-Mann, I. Neuroimaging patterns and function in cerebral palsy-application of an mri classification. Front. Neurol. 2020, 11, 617740. [Google Scholar] [CrossRef] [PubMed]
  49. Shevell, M.I.; Dagenais, L.; Hall, N. Comorbidities in cerebral palsy and their relationship to neurologic subtype and GMFCS level. Neurology 2009, 72, 2090–2096. [Google Scholar] [CrossRef]
  50. Ballester-Plané, J.; Laporta-Hoyos, O.; Macaya, A.; Póo, P.; Meléndez-Plumed, M.; Toro-Tamargo, E.; Gimeno, F.; Narberhaus, A.; Segarra, D.; Pueyo, R. Cognitive functioning in dyskinetic cerebral palsy: Its relation to motor function, communication and epilepsy. Eur. J. Paediatr. Neurol. 2018, 22, 102–112. [Google Scholar] [CrossRef] [PubMed]
  51. Philip, S.S.; Guzzetta, A.; Chorna, O.; Gole, G.; Boyd, R.N. Relationship between brain structure and cerebral visual impairment in children with cerebral palsy: A systematic review. Res. Dev. Disabil. 2020, 99, 103580. [Google Scholar] [CrossRef]
  52. Hutson, J.A.; Snow, L. Sleep assessments for children with severe cerebral palsy: A scoping review. Arch. Rehabil. Res. Clin. Transl. 2020, 2, 100087. [Google Scholar]
  53. Shellhaas, R.A.; Burns, J.W.; Barks, J.D.E.; Hassan, F.; Chervin, R.D. Maternal voice and infant sleep in the neonatal intensive care unit. Pediatrics 2019, 144, e20190288. [Google Scholar] [CrossRef] [PubMed]
  54. Horwood, L.; Li, P.; Mok, E.; Shevell, M.; Constantin, E. A systematic review and meta-analysis of the prevalence of sleep problems in children with cerebral palsy: How do children with cerebral palsy differ from each other and from typically developing children? Sleep Health 2019, 5, 555–571. [Google Scholar] [CrossRef]
  55. Hadden, K.L.; von Baeyer, C.L. Pain in children with cerebral palsy: Common triggers and expressive behaviors. Pain 2002, 99, 281–288. [Google Scholar] [CrossRef]
  56. Sato, H.; Iwasaki, T.; Yokoyama, M.; Inoue, T. Monitoring of body position and motion in children with severe cerebral palsy for 24 h. Disabil. Rehabil. 2014, 36, 1156–1160. [Google Scholar] [CrossRef] [PubMed]
  57. Angriman, M.; Caravale, B.; Novelli, L.; Ferri, R.; Bruni, O. Sleep in children with neurodevelopmental disabilities. Neuropediatrics 2015, 46, 199–210. [Google Scholar] [CrossRef] [PubMed] [Green Version]
  58. Ghorbanpour, Z.; Hosseini, S.A.; Akbarfahimi, N.; Rahgozar, M. Correlation between sleep disorders and function in children with spastic cerebral palsy. Iran. J. Child Neurol. 2019, 13, 35–44. [Google Scholar] [PubMed]
  59. Beecham, E.; Hudson, B.F.; Oostendorp, L.; Candy, B.; Jones, L.; Vickerstaff, V.; Lakhanpaul, M.; Stone, P.; Chambers, L.; Hall, D.; et al. A call for increased paediatric palliative care research: Identifying barriers. Palliat. Med. 2016, 30, 979–980. [Google Scholar] [CrossRef] [Green Version]
  60. Kaleyias, J.; Manley, P.; Kothare, S.V. Sleep disorders in children with cancer. Semin. Pediatric Neurol. 2012, 19, 25–34. [Google Scholar] [CrossRef] [PubMed]
  61. Simard-Tremblay, E.; Constantin, E.; Gruber, R.; Brouillette, R.T.; Shevell, M. Sleep in children with cerebral palsy: A review. J. Child Neurol. 2011, 26, 1303–1310. [Google Scholar] [CrossRef]
  62. Smith, M.T.; McCrae, C.S.; Cheung, J.; Martin, J.L.; Harrod, C.G.; Heald, J.L.; Carden, K.A. Use of actigraphy for the evaluation of sleep disorders and circadian rhythm sleep-wake disorders: An american academy of sleep medicine clinical practice guideline. J. Clin. Sleep Med. 2018, 14, 1231–1237. [Google Scholar] [CrossRef] [PubMed] [Green Version]
  63. Schwantes, S.; O’Brien, H.W. Pediatric palliative care for children with complex chronic medical conditions. Pediatric Clin. N. Am. 2014, 61, 797–821. [Google Scholar] [CrossRef] [PubMed]
Figure 1. Box plot diagram for Sleep Questionnaire for Children with Severe Psychomotor Impairment (SNAKE) scales 1–5 (dashed lines indicate the upper and lower ends of the respective normal range).
Figure 1. Box plot diagram for Sleep Questionnaire for Children with Severe Psychomotor Impairment (SNAKE) scales 1–5 (dashed lines indicate the upper and lower ends of the respective normal range).
Children 08 00772 g001
Figure 2. Differences between the five levels of Gross Motor Function Classification System (GMFCS) (a) and Bimanual Fine Motor Function (BFMF) (b) for the SNAKE scales 1–5. 1. disturbances going to sleep, 2. disturbances remaining asleep, 3. arousal and breathing disorders, 4. daytime sleepiness, 5. daytime behavior disorders. * p < 0.05, ** p < 0.01, *** p < 0.001.
Figure 2. Differences between the five levels of Gross Motor Function Classification System (GMFCS) (a) and Bimanual Fine Motor Function (BFMF) (b) for the SNAKE scales 1–5. 1. disturbances going to sleep, 2. disturbances remaining asleep, 3. arousal and breathing disorders, 4. daytime sleepiness, 5. daytime behavior disorders. * p < 0.05, ** p < 0.01, *** p < 0.001.
Children 08 00772 g002
Table 1. Patient characteristics (N = 100).
Table 1. Patient characteristics (N = 100).
Characteristicsn (%) *
Type of CP
BSCP57 (57)
USCP29 (29)
dyskinetic14 (14)
dystonic13
choreoathethoid1
cause of CP
periventricular leukomalacia25 (25)
ischemic stroke13 (13)
hypoxic brain injury13 (13)
brain malformations13 (13)
infections10 (10)
unknown10 (10)
intracranial bleeding8 (8)
genetic factors7 (7)
traumatic brain injury1 (1)
CP comorbidities
epilepsy58 (58)
use of anticonvulsants47 (81)
visual impairment65 (65.7)
severe15 (23.8)
cognitive impairment 56 (71.8)
hearing impairment23 (23.2)
severe6 (26.1)
birth weight
>2500 g51 (53.1)
1500–2500 g18 (18.8)
1000–1499.99 g16 (16.7)
<1000 g11 (11.5)
gestational age
term born (37–41 weeks)51 (51.5)
extreme preterm (<32 weeks)32 (32.3)
preterm (32–36 weeks)15 (15.2)
postterm (>41 weeks)1 (1)
type of delivery
C-section, emergency41 (41)
vaginal34 (34)
C-section, planned25 (25)
GMFCS
I29 (29)
II6 (6)
III21 (21)
IV13 (13)
V31 (31)
BFMF
I35 (35)
II24 (24)
III10 (10)
IV11 (11)
V20 (20)
* n may differ for individual characteristics; CP, cerebral palsy; BSCP, bilateral spastic cerebral palsy; USCP, unilateral spastic cerebral palsy; GMFCS, Gross Motor Functions Classification System; BFMF, Bimanual Fine Motor Function.
Table 2. Correlation of the SNAKE scale values with the CP subtype, different comorbidities, GMFCS, and BFMF.
Table 2. Correlation of the SNAKE scale values with the CP subtype, different comorbidities, GMFCS, and BFMF.
SNAKE ScalesCP Characteristics
SubtypeComorbidities
VI
severe
HI
severe
CIEpilepsyAnticonvulsantsGMFCSBFMF
10.090.000.030.070.02−0.110.130.20 *
0.060.00
20.020.21 *0.170.32 *0.27 *0.070.49 **0.57 **
0.30 *0.03
3−0.120.12 0.27 *0.150.24 *−0.050.24 *0.41 **
0.14−0.00
40.060.15 −0.050.160.22 *0.040.39 *0.34 **
0.27 *−0.13
50.020.15 0.050.23 *0.23 *0.110.21 *0.21 *
0.15−0.09
1. disturbances going to sleep, 2. disturbances remaining asleep, 3. arousal and breathing disorders, 4. daytime sleepiness, 5. daytime behavior disorders. CP, cerebral palsy; VI, visual impairment; HI, hearing impairment; CI, cognitive impairment. * p < 0.05, ** p < 0.01.
Publisher’s Note: MDPI stays neutral with regard to jurisdictional claims in published maps and institutional affiliations.

Share and Cite

MDPI and ACS Style

Dreier, L.A.; Kapanci, T.; Lonnemann, K.; Koch-Hogrebe, M.; Wiethoff-Ubrig, L.; Rauchenzauner, M.; Blankenburg, M.; Zernikow, B.; Wager, J.; Rostasy, K. Assessment of Sleep-Related Problems in Children with Cerebral Palsy Using the SNAKE Sleep Questionnaire. Children 2021, 8, 772. https://doi.org/10.3390/children8090772

AMA Style

Dreier LA, Kapanci T, Lonnemann K, Koch-Hogrebe M, Wiethoff-Ubrig L, Rauchenzauner M, Blankenburg M, Zernikow B, Wager J, Rostasy K. Assessment of Sleep-Related Problems in Children with Cerebral Palsy Using the SNAKE Sleep Questionnaire. Children. 2021; 8(9):772. https://doi.org/10.3390/children8090772

Chicago/Turabian Style

Dreier, Larissa Alice, Tugba Kapanci, Katharina Lonnemann, Margarete Koch-Hogrebe, Lucia Wiethoff-Ubrig, Markus Rauchenzauner, Markus Blankenburg, Boris Zernikow, Julia Wager, and Kevin Rostasy. 2021. "Assessment of Sleep-Related Problems in Children with Cerebral Palsy Using the SNAKE Sleep Questionnaire" Children 8, no. 9: 772. https://doi.org/10.3390/children8090772

APA Style

Dreier, L. A., Kapanci, T., Lonnemann, K., Koch-Hogrebe, M., Wiethoff-Ubrig, L., Rauchenzauner, M., Blankenburg, M., Zernikow, B., Wager, J., & Rostasy, K. (2021). Assessment of Sleep-Related Problems in Children with Cerebral Palsy Using the SNAKE Sleep Questionnaire. Children, 8(9), 772. https://doi.org/10.3390/children8090772

Note that from the first issue of 2016, this journal uses article numbers instead of page numbers. See further details here.

Article Metrics

Back to TopTop