Association between Sleep Time and Blood Pressure in Korean Adolescents: Cross-Sectional Analysis of KNHANES VII
Abstract
:1. Introduction
2. Materials and Methods
2.1. Study Population
2.2. Measurement of Variables
2.3. Statistical Analyses
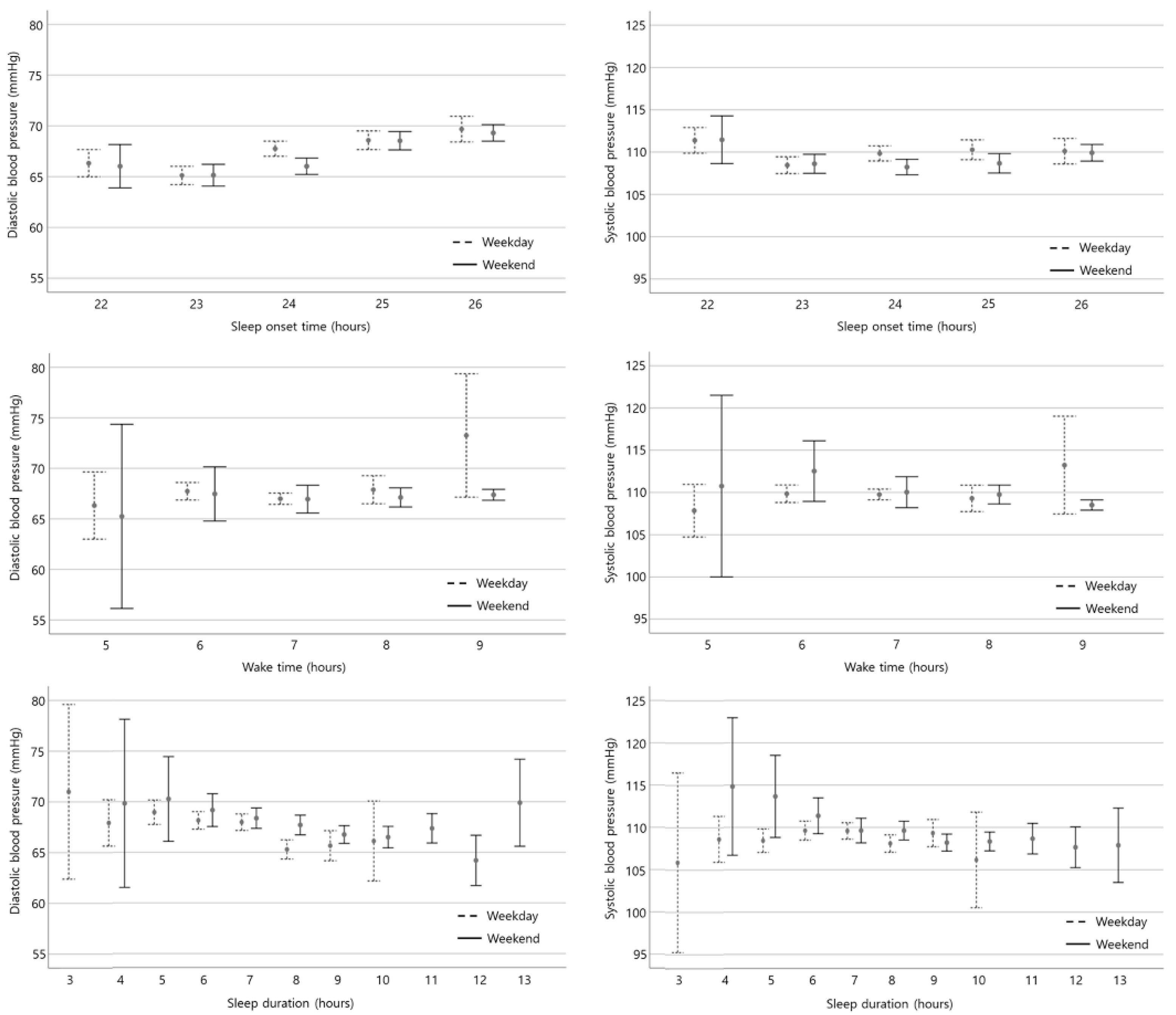
3. Results
4. Discussion
5. Conclusions
Author Contributions
Funding
Institutional Review Board Statement
Informed Consent Statement
Data Availability Statement
Acknowledgments
Conflicts of Interest
References
- Forouzanfar, M.H.; Liu, P.; Roth, G.A.; Ng, M.; Biryukov, S.; Marczak, L.; Alexander, L.; Estep, K.; Abate, K.H.; Akinyemiju, T.F.; et al. Global Burden of Hypertension and Systolic Blood Pressure of at Least 110 to 115 mm Hg, 1990–2015. JAMA 2017, 317, 165–182. [Google Scholar] [CrossRef] [PubMed] [Green Version]
- Olsen, M.H.; Angell, S.Y.; Asma, S.; Boutouyrie, P.; Burger, D.; Chirinos, J.A.; Damasceno, A.; Delles, C.; Gimenez-Roqueplo, A.-P.; Hering, D.; et al. A call to action and a lifecourse strategy to address the global burden of raised blood pressure on current and future generations: The Lancet Commission on hypertension. Lancet 2016, 388, 2665–2712. [Google Scholar] [CrossRef]
- Zhou, B.; Bentham, J.; Di Cesare, M.; Bixby, H.; Danaei, G.; Cowan, M.J.; Paciorek, C.J.; Singh, G.; Hajifathalian, K.; Bennett, J.E.; et al. Worldwide trends in blood pressure from 1975 to 2015: A pooled analysis of 1479 population-based measurement studies with 19.1 million participants. Lancet 2017, 389, 37–55. [Google Scholar] [CrossRef] [Green Version]
- Samuels, J.A.; Zavala, A.S.; Kinney, J.M.; Bell, C.S. Hypertension in Children and Adolescents. Adv. Chronic. Kidney Dis. 2019, 26, 146–150. [Google Scholar] [CrossRef] [PubMed]
- Obarzanek, E.; Wu, C.O.; Cutler, J.A.; Kavey, R.E.; Pearson, G.D.; Daniels, S.R. Prevalence and incidence of hypertension in adolescent girls. J. Pediatr. 2010, 157, 461–467.e5. [Google Scholar] [CrossRef] [PubMed]
- Cappuccio, F.P.; Miller, M.A. Sleep and Cardio-Metabolic Disease. Curr. Cardiol. Rep. 2017, 19, 110. [Google Scholar] [CrossRef] [PubMed] [Green Version]
- Cappuccio, F.P.; Cooper, D.; D’Elia, L.; Strazzullo, P.; Miller, M.A. Sleep duration predicts cardiovascular outcomes: A systematic review and meta-analysis of prospective studies. Eur. Heart J. 2011, 32, 1484–1492. [Google Scholar] [CrossRef] [PubMed] [Green Version]
- Chandola, T.; Ferrie, J.E.; Perski, A.; Akbaraly, T.; Marmot, M.G. The effect of short sleep duration on coronary heart disease risk is greatest among those with sleep disturbance: A prospective study from the Whitehall II cohort. Sleep 2010, 33, 739–744. [Google Scholar] [CrossRef] [PubMed] [Green Version]
- Khan, M.A.; Mathur, K.; Barraza, G.; Sin, S.; Yang, C.J.; Arens, R.; Sutton, N.; Mahgerefteh, J. The relationship of hypertension with obesity and obstructive sleep apnea in adolescents. Pediatr. Pulmonol. 2020, 55, 1020–1027. [Google Scholar] [CrossRef] [PubMed]
- Fobian, A.D.; Elliott, L.; Louie, T. A Systematic Review of Sleep, Hypertension, and Cardiovascular Risk in Children and Adolescents. Curr. Hypertens Rep. 2018, 20, 42. [Google Scholar] [CrossRef] [PubMed]
- Hwangbo, Y.; Kim, W.J.; Chu, M.K.; Yun, C.H.; Yang, K.I. Association between weekend catch-up sleep duration and hypertension in Korean adults. Sleep Med. 2013, 14, 549–554. [Google Scholar] [CrossRef] [PubMed]
- Santos, E.; Souza, O.F. Evidence of the association between sleep duration and blood pressure in adolescents: A systematic review. Rev. Paul. Pediatr. 2021, 39, e2019225. [Google Scholar] [CrossRef]
- Gupta, N.; Maranda, L.; Gupta, R. Differences in self-reported weekend catch up sleep between children and adolescents with and without primary hypertension. Clin. Hypertens. 2018, 24, 7. [Google Scholar] [CrossRef] [Green Version]
- Kim, J.J.; Hwang, I.C. Weekend catch-up sleep is associated with reduced metabolic derangements in Korean adults. Neurol. Sci. 2021, 42, 735–737. [Google Scholar] [CrossRef] [PubMed]
- Kim, S.J.; Lee, Y.J.; Cho, S.J.; Cho, I.H.; Lim, W.; Lim, W. Relationship between weekend catch-up sleep and poor performance on attention tasks in Korean adolescents. Arch. Pediatr. Adolesc. Med. 2011, 165, 806–812. [Google Scholar] [CrossRef] [PubMed]
- Hasler, B.P.; Dahl, R.E.; Holm, S.; Jakubcak, J.L.; Ryan, N.D.; Silk, J.; Phillips, M.L.; Forbes, E. Weekend-weekday advances in sleep timing are associated with altered reward-related brain function in healthy adolescents. Biol. Psychol. 2012, 91, 334–341. [Google Scholar] [CrossRef] [PubMed] [Green Version]
- Zhang, R.; Tomasi, D.; Shokri-Kojori, E.; Wiers, C.E.; Wang, G.J.; Volkow, N.D. Sleep inconsistency between weekends and weekdays is associated with changes in brain function during task and rest. Sleep 2020, 43, zsaa076. [Google Scholar] [CrossRef] [PubMed] [Green Version]
- Wühl, E. Hypertension in childhood obesity. Acta Paediatr. 2019, 108, 37–43. [Google Scholar] [CrossRef] [PubMed] [Green Version]
- Hagman, E.; Danielsson, P.; Elimam, A.; Marcus, C. The effect of weight loss and weight gain on blood pressure in children and adolescents with obesity. Int. J. Obes. 2019, 43, 1988–1994. [Google Scholar] [CrossRef] [PubMed]
- Riley, M.; Hernandez, A.K.; Kuznia, A.L. High Blood Pressure in Children and Adolescents. Am. Fam Physician 2018, 98, 486–494. [Google Scholar] [PubMed]

| Variables | Total (n = 1470) | |||||
|---|---|---|---|---|---|---|
| Range | Mean (±SD) | Boy (n = 761) | Girl (n = 709) | p # | ||
| Systolic BP (mmHg) | 81–156 | 108.9(±9.8) | 111.7 (±8.9) | 106.0 (±8.9) | <0.001 | |
| Diastolic BP (mmHg) | 35–94 | 67.3 (±8.4) | 67.6 (±7.8) | 67.0 (±7.8) | 0.215 | |
| Height (cm) | 114–189 | 164.7 (±8.7) | 169.1 (±8.6) | 160.0 (±5.9) | 0.001 | |
| Weight (kg) | 28–111 | 58.2 (±13.4) | 62.4 (±14.4) | 53.7 (±10.4) | 0.001 | |
| Week day | Sleep onset time * | 22–26 | 23.9 (±1.2) | 23.8 (±1.1) | 24.0 (±1.2) | 0.001 |
| Wake time * | 5–9 | 6.9 (±0.6) | 6.9 (±0.6) | 6.8 (±0.6) | 0.001 | |
| Sleep duration $ | 3–10 | 6.9 (±1.3) | 7.1 (±9.8) | 6.7 (±1.4) | 0.001 | |
| Weekend | Sleep onset time * | 22–26 | 24.5 (±1.2) | 24.4 (±1.2) | 24.6 (±1.2) | 0.001 |
| Wake time * | 5–9 | 8.6 (±0.8) | 8.5 (±0.8) | 8.7 (±0.7) | 0.001 | |
| Sleep duration $ | 4–14 | 8.8 (±1.6) | 8.7 (±1.6) | 9.0 (±1.6) | 0.001 | |
| Systolic BP | Diastolic BP | ||||
|---|---|---|---|---|---|
| Variables | Correlation Coefficient | p-Value | Correlation Coefficient | p-Value | |
| Weekday | Sleep onset time | 0.013 | 0.631 | 0.158 | <0.001 |
| Wake time | 0.002 | 0.953 | 0.009 | 0.721 | |
| Sleep duration | −0.009 | 0.741 | −0.136 | <0.001 | |
| Weekend | Sleep onset time | 0.023 | 0.371 | 0.184 | <0.001 |
| Wake time | −0.081 | 0.002 | 0.015 | 0.567 | |
| Sleep duration | −0.088 | 0.001 | −0.088 | 0.001 | |
| Variables | Coefficient (95% Confidence Interval) | p-Value |
|---|---|---|
| Sex | 0.516 (−0.540–1.572) | 0.338 |
| Age | 0.561 (0.267–0.854) | <0.001 |
| Alcohol history | −0.106 (−1.181–0.969) | 0.847 |
| Smoking history | 0.853 (−0.515–2.222) | 0.222 |
| Height | 0.007 (−0.066–0.081) | 0.850 |
| Weight | 0.117 (0.076–0.158) | <0.001 |
| Weekday sleep onset time | −0.197 (−3.200–2.806) | 0.898 |
| Weekday wake time | 0.614 (−2.264–3.49) | 0.676 |
| Weekday sleep duration | 0.087 (−2.738–2.912) | 0.952 |
| Weekend sleep onset time | 0.926 (0.288–1.565) | 0.004 |
| Weekend wake time | −0.484 (−1.321–0.353) | 0.257 |
| Weekend sleep duration | 0.167 (−0.247–0.582) | 0.429 |
Publisher’s Note: MDPI stays neutral with regard to jurisdictional claims in published maps and institutional affiliations. |
© 2021 by the authors. Licensee MDPI, Basel, Switzerland. This article is an open access article distributed under the terms and conditions of the Creative Commons Attribution (CC BY) license (https://creativecommons.org/licenses/by/4.0/).
Share and Cite
Chang, S.-W.; Kang, J.-W. Association between Sleep Time and Blood Pressure in Korean Adolescents: Cross-Sectional Analysis of KNHANES VII. Children 2021, 8, 1202. https://doi.org/10.3390/children8121202
Chang S-W, Kang J-W. Association between Sleep Time and Blood Pressure in Korean Adolescents: Cross-Sectional Analysis of KNHANES VII. Children. 2021; 8(12):1202. https://doi.org/10.3390/children8121202
Chicago/Turabian StyleChang, Suk-Won, and Ju-Wan Kang. 2021. "Association between Sleep Time and Blood Pressure in Korean Adolescents: Cross-Sectional Analysis of KNHANES VII" Children 8, no. 12: 1202. https://doi.org/10.3390/children8121202
APA StyleChang, S.-W., & Kang, J.-W. (2021). Association between Sleep Time and Blood Pressure in Korean Adolescents: Cross-Sectional Analysis of KNHANES VII. Children, 8(12), 1202. https://doi.org/10.3390/children8121202

