Sociodemographic Correlates of Obesity among Spanish Schoolchildren: A Cross-Sectional Study
Abstract
1. Introduction
2. Materials and Methods
2.1. Sample
2.2. Data Collection
2.3. Data Management and Statistical Analysis
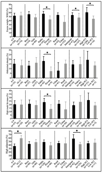
3. Results
4. Discussion
Supplementary Materials
Author Contributions
Funding
Acknowledgments
Conflicts of Interest
References
- Abarca-Gómez, L.; Abdeen, Z.A.; Hamid, Z.A.; Abu-Rmeileh, N.M.; Acosta-Cazares, B.; Acuin, C.; Adams, R.J.; Aekplakorn, W.; Afsana, K.; Aguilar-Salinas, C.A.; et al. Worldwide trends in body-mass index, underweight, overweight, and obesity from 1975 to 2016: A pooled analysis of 2416 population-based measurement studies in 128.9 million children, adolescents, and adults. Lancet 2017, 390, 2627–2642. [Google Scholar] [CrossRef]
- Rito, A.I.; Buoncristiano, M.; Spinelli, A.; Salanave, B.; Kunešová, M.; Hejgaard, T.; García Solano, M.; Fijałkowska, A.; Sturua, L.; Hyska, J.; et al. Association between Characteristics at Birth, Breastfeeding and Obesity in 22 Countries: The WHO European Childhood Obesity Surveillance Initiative—COSI 2015/2017. Obes. Facts 2019, 12, 226–243. [Google Scholar] [CrossRef] [PubMed]
- Kumar, S.; Kelly, A.S. Review of Childhood Obesity. Mayo Clin. Proc. 2017, 92, 251–265. [Google Scholar] [CrossRef] [PubMed]
- Friedemann, C.; Heneghan, C.; Mahtani, K.; Thompson, M.; Perera, R.; Ward, A.M. Cardiovascular disease risk in healthy children and its association with body mass index: Systematic review and meta-analysis. BMJ 2012, 345, e4759. [Google Scholar] [CrossRef] [PubMed]
- World Health Organization; Commission on Ending Childhood Obesity. Report of the Commission on Ending Childhood Obesity; World Health Organization: Geneva, Switzerland, 2016; ISBN 978-92-4-151006-6. [Google Scholar]
- De Onis, M.; Onyango, A.W.; Borghi, E.; Siyam, A.; Nishida, C.; Siekmann, J. Development of a WHO growth reference for school-aged children and adolescents. Bull. World Health Organ. 2007, 85, 660–667. [Google Scholar] [CrossRef] [PubMed]
- Cole, T.J.; Lobstein, T. Extended international (IOTF) body mass index cut-offs for thinness, overweight and obesity: Extended international BMI cut-offs. Pediatr. Obes. 2012, 7, 284–294. [Google Scholar] [CrossRef] [PubMed]
- Kuczmarski, R.J.; Ogden, C.L.; Guo, S.S. 2000 CDC Growth Charts for the United States: Methods and Development; Vital and Health Statistics. Series 11, Data from the National Health Survey; National Center for Biotechnology Information: Rockville Pike, MA, USA, 2002. [Google Scholar]
- Fernández, C.; Lorenzo, H.; Vrotsou, K.; Aresti, U.; Rica, I.; Sánchez, E. Estudio de Crecimiento de Bilbao: Curvas y Tablas de Crecimiento (Estudios Longitudinal y Transversal); Fundación Faustino Orbegozo: Bilbao, Spain, 2011. [Google Scholar]
- Llewellyn, A.; Simmonds, M.; Owen, C.G.; Woolacott, N. Childhood obesity as a predictor of morbidity in adulthood: A systematic review and meta-analysis: Childhood obesity and adult morbidity. Obes. Rev. 2016, 17, 56–67. [Google Scholar] [CrossRef]
- De Arruda, G.A.; Fernandes, R.A.; Christófaro, D.G.D.; de Oliveira, A.R. Relação entre idade cronológica, indicadores de adiposidade corporal e aptidão física relacionada à saúde em meninos e meninas. Rev. Andal. Med. Deporte 2013, 6, 24–29. [Google Scholar] [CrossRef][Green Version]
- Barnett, T.A.; Maximova, K.; Sabiston, C.M.; Van Hulst, A.; Brunet, J.; Castonguay, A.L.; Bélanger, M.; O’Loughlin, J. Physical activity growth curves relate to adiposity in adolescents. Ann. Epidemiol. 2013, 23, 529–533. [Google Scholar] [CrossRef][Green Version]
- Orsso, C.E.; Silva, M.I.B.; Gonzalez, M.C.; Rubin, D.A.; Heymsfield, S.B.; Prado, C.M.; Haqq, A.M. Assessment of body composition in pediatric overweight and obesity: A systematic review of the reliability and validity of common techniques. Obes. Rev. 2020, 21. [Google Scholar] [CrossRef]
- Schröder, H.; Ribas, L.; Koebnick, C.; Funtikova, A.; Gomez, S.F.; Fíto, M.; Perez-Rodrigo, C.; Serra-Majem, L. Prevalence of Abdominal Obesity in Spanish Children and Adolescents. Do We Need Waist Circumference Measurements in Pediatric Practice? PLoS ONE 2014, 9, e87549. [Google Scholar] [CrossRef] [PubMed]
- González-Muniesa, P.; Mártinez-González, M.-A.; Hu, F.B.; Després, J.-P.; Matsuzawa, Y.; Loos, R.J.F.; Moreno, L.A.; Bray, G.A.; Martinez, J.A. Obesity. Nat. Rev. Dis. Primer 2017, 3, 17034. [Google Scholar] [CrossRef] [PubMed]
- Serral, G.; Bru, R.; Sánchez-Martínez, F.; Ariza, C. Overweight and childhood obesity according to socioeconomic variables in schoolchildren of third grade in the city of Barcelona. Nutr. Hosp. 2019, 36, 1043–1048. [Google Scholar] [CrossRef]
- Arriscado, D.; Muros, J.J.; Zabala, M.; Dalmau, J.M. Influencia del sexo y el tipo de escuela sobre los índices de sobrepeso y obesidad. Rev. Pediatría Aten. Primaria 2014, 16, e139–e146. [Google Scholar] [CrossRef][Green Version]
- Guo, Y.; Yin, X.; Wu, H.; Chai, X.; Yang, X. Trends in Overweight and Obesity among Children and Adolescents in China from 1991 to 2015: A Meta-Analysis. Int. J. Environ. Res. Public Health 2019, 16, 4656. [Google Scholar] [CrossRef] [PubMed]
- De Bont, J.; Díaz, Y.; Casas, M.; García-Gil, M.; Vrijheid, M.; Duarte-Salles, T. Time Trends and Sociodemographic Factors Associated with Overweight and Obesity in Children and Adolescents in Spain. JAMA Netw. Open 2020, 3, e201171. [Google Scholar] [CrossRef]
- Beal, T.; Le, T.D.; Trinh, H.T.; Burra, D.D.; Béné, C.; Huynh, T.T.T.; Truong, M.T.; Nguyen, S.D.; Tran, D.T.; Nguyen, K.T.; et al. Child Overweight or Obesity Is Associated with Modifiable and Geographic Factors in Vietnam: Implications for Program Design and Targeting. Nutrients 2020, 12, 1286. [Google Scholar] [CrossRef] [PubMed]
- Hales, C.M.; Fryar, C.D.; Carroll, M.D.; Freedman, D.S.; Ogden, C.L. Trends in Obesity and Severe Obesity Prevalence in US Youth and Adults by Sex and Age, 2007–2008 to 2015–2016. JAMA 2018, 319, 1723. [Google Scholar] [CrossRef]
- Estudio ALADINO 2019 Estudio de Vigilancia del Crecimiento, Alimentación, Actividad Física, Desarrollo Infantil y Obesidad en España 2019; Ministerio de Sanidad, Servicios Sociales e Igualdad: Madrid, Spain, 2020.
- Vaquero-Álvarez, M.; Romero-Saldaña, M.; Valle-Alonso, J.; Llorente Cantarero, F.J.; Blancas-Sánchez, I.M.; Fonseca del Pozo, F.J. Estudio de la obesidad en una población infantil rural y su relación con variables antropométricas. Aten. Primaria 2019, 51, 341–349. [Google Scholar] [CrossRef]
- Vásquez, F.; Diaz, E.; Lera, L.; Vásquez, L.; Anziani, A.; Levton, B.; Burrows, R. Evaluación longitudinal de la composición corporal por diferentes. Nutr. Hosp. 2013, 28, 148–154. [Google Scholar] [CrossRef]
- Simmonds, M.; Llewellyn, A.; Owen, C.G.; Woolacott, N. Predicting adult obesity from childhood obesity: A systematic review and meta-analysis: Adult obesity from childhood obesity. Obes. Rev. 2016, 17, 95–107. [Google Scholar] [CrossRef] [PubMed]
- Bel-Serrat, S.; Heinen, M.M.; Mehegan, J.; O’Brien, S.; Eldin, N.; Murrin, C.M.; Kelleher, C.C. School sociodemographic characteristics and obesity in schoolchildren: Does the obesity definition matter? BMC Public Health 2018, 18, 337. [Google Scholar] [CrossRef] [PubMed]
- Ministerio de Sanidad, Consumo y Bienestar Social. Encuesta Nacional de Salud de España 2017; Ministerio de Sanidad, Consumo y Bienestar Social: Madrid, Spain, 2018.
- Ministerio de Medio Ambiente y Medio Rural y Marino. Población y Sociedad Rural; Serie AgrInfo; Unidad de Análisis y Prospectiva; Ministerio de Medio Ambiente y Medio Rural y Marino: Madrid, Spain, 2009.
- Taylor, R.W.; Jones, I.E.; Williams, S.M.; Goulding, A. Evaluation of waist circumference, waist-to-hip ratio, and the conicity index as screening tools for high trunk fat mass, as measured by dual-energy X-ray absorptiometry, in children aged 3–19 y. Am. J. Clin. Nutr. 2000, 72, 490–495. [Google Scholar] [CrossRef] [PubMed]
- Browning, L.M.; Hsieh, S.D.; Ashwell, M. A systematic review of waist-to-height ratio as a screening tool for the prediction of cardiovascular disease and diabetes: 0.5 could be a suitable global boundary value. Nutr. Res. Rev. 2010, 23, 247–269. [Google Scholar] [CrossRef] [PubMed]
- Stewart, A.; Sutton, L. (Eds.) Body Composition in Sport, Exercise, and Health; Routledge: Abingdon, UK; New York, NY, USA, 2012; ISBN 978-0-415-61497-9. [Google Scholar]
- Brook, C.G. Determination of body composition of children from skinfold measurements. Arch. Dis. Child. 1971, 46, 182–184. [Google Scholar] [CrossRef] [PubMed]
- Siri, W.E. Body composition from fluid spaces and density: Analysis of methods. In Techniques for Measuring Body Composition; National Academy of Sciences: Washington, DC, USA, 1961; pp. 223–244. [Google Scholar]
- Weststrate, J.A.; Deurenberg, P. Body composition in children: Proposal for a method for calculating body fat percentage from total body density or skinfold-thickness measurements. Am. J. Clin. Nutr. 1989, 50, 1104–1115. [Google Scholar] [CrossRef]
- Gasol Foundation Resultados Principales del Estudio PASOS 2019 Sobre la Actividad Física, los Estilos de vida y la Obesidad de la Población Española de 8 a 16 años; Gasol Foundation: Barcelona, Spain, 2019.
- Ogden, C.L.; Carroll, M.D.; Curtin, L.R.; McDowell, M.A.; Tabak, C.J.; Flegal, K.M. Prevalence of overweight and obesity in the United States, 1999–2004. JAMA 2006, 295, 1549–1555. [Google Scholar] [CrossRef]
- Long, J.M.; Mareno, N.; Shabo, R.; Wilson, A.H. Overweight and obesity among White, Black, and Mexican American children: Implications for when to intervene. J. Spec. Pediatr. Nurs. JSPN 2012, 17, 41–50. [Google Scholar] [CrossRef]
- Skinner, A.C.; Ravanbakht, S.N.; Skelton, J.A.; Perrin, E.M.; Armstrong, S.C. Prevalence of Obesity and Severe Obesity in US Children, 1999–2016. Pediatrics 2018, 141, e20173459. [Google Scholar] [CrossRef]
- Ogden, C.L.; Fryar, C.D.; Hales, C.M.; Carroll, M.D.; Aoki, Y.; Freedman, D.S. Differences in Obesity Prevalence by Demographics and Urbanization in US Children and Adolescents, 2013–2016. JAMA 2018, 319, 2410. [Google Scholar] [CrossRef]
- Ellis, K.J.; Abrams, S.A.; Wong, W.W. Monitoring Childhood Obesity: Assessment of the Weight/Height2 Index. Am. J. Epidemiol. 1999, 150, 939–946. [Google Scholar] [CrossRef] [PubMed]
- Rolland-Cachera, M.F.; Deheeger, M.; Bellisle, F.; Sempé, M.; Guilloud-Bataille, M.; Patois, E. Adiposity rebound in children: A simple indicator for predicting obesity. Am. J. Clin. Nutr. 1984, 39, 129–135. [Google Scholar] [CrossRef] [PubMed]
- Wang, Y.; Beydoun, M.A. The Obesity Epidemic in the United States Gender, Age, Socioeconomic, Racial/Ethnic, and Geographic Characteristics: A Systematic Review and Meta-Regression Analysis. Epidemiol. Rev. 2007, 29, 6–28. [Google Scholar] [CrossRef] [PubMed]
- Ogden, C.L.; Carroll, M.D.; Kit, B.K.; Flegal, K.M. Prevalence of Obesity and Trends in Body Mass Index among US Children and Adolescents, 1999–2010. JAMA 2012, 307, 483. [Google Scholar] [CrossRef]
- Yusuf, Z.I.; Dongarwar, D.; Yusuf, R.A.; Bell, M.; Harris, T.; Salihu, H.M. Social Determinants of Overweight and Obesity among Children in the United States. Int. J. MCH AIDS 2020, 9, 22–33. [Google Scholar] [CrossRef]
- Arriscado, D.; Muros, J.J.; Zabala, M.; Dalmau, J.M. Relación entre condición física y composición corporal en escolares de primaria del norte de España (Logroño). Nutr. Hosp. 2014, 30, 385–394. [Google Scholar] [CrossRef]
- Tovar-Galvez, M.I.; González-Jiménez, E.; Martí-García, C.; Schmidt-RioValle, J. Composición corporal en escolares: Comparación entre métodos antropométricos simples e impedancia bioeléctrica. Endocrinol. Diabetes Nutr. 2017, 64, 424–431. [Google Scholar] [CrossRef]
- Cowell, C.T.; Briody, J.; Lloyd-Jones, S.; Smith, C.; Moore, B.; Howman-Giles, R. Fat Distribution in Children and Adolescents & ndash; the Influence of Sex and Hormones. Horm. Res. 1997, 48, 93–100. [Google Scholar] [CrossRef]
- Nielsen, D.H.; Cassady, S.L.; Janz, K.F.; Cook, J.S.; Hansen, J.R.; Wu, Y.-T. Criterion methods of body composition analysis for children and adolescents. Am. J. Hum. Biol. 1993, 5, 211–223. [Google Scholar] [CrossRef]
- Mekonnen, T.; Tariku, A.; Abebe, S.M. Overweight/obesity among school aged children in Bahir Dar City: Cross sectional study. Ital. J. Pediatr. 2018, 44. [Google Scholar] [CrossRef]
- Elías-Boneta, A.R.; Toro, M.J.; Garcia, O.; Torres, R.; Palacios, C. High prevalence of overweight and obesity among a representative sample of Puerto Rican children. BMC Public Health 2015, 15. [Google Scholar] [CrossRef]
- Hirvonen, K.; Bai, Y.; Headey, D.; Masters, W.A. Affordability of the EAT–Lancet reference diet: A global analysis. Lancet Glob. Health 2020, 8, e59–e66. [Google Scholar] [CrossRef]
- De Arruda Moreira, M.; Coelho Cabral, P.; da Silva Ferreira, H.; Cabral de Lira, P.I. Prevalence and factors associated with overweight and obesity in children under five in Alagoas, Northeast of Brazil; a population-based study. Nutr. Hosp. 2014, 29, 1320–1326. [Google Scholar] [CrossRef]
- Murphy, R.; Stewart, A.W.; Hancox, R.J.; Wall, C.R.; Braithwaite, I.; Beasley, R.; Mitchell, E.A.; The ISAAC Phase Three Study Group. Obesity underweight and BMI distribution characteristics of children by gross national income and income inequality: Results from an international survey: BMI distribution by GNI and Gini. Obes. Sci. Pract. 2018, 4, 216–228. [Google Scholar] [CrossRef]
- Biehl, A.; Hovengen, R.; Grøholt, E.-K.; Hjelmesæth, J.; Strand, B.H.; Meyer, H.E. Adiposity among children in Norway by urbanity and maternal education: A nationally representative study. BMC Public Health 2013, 13, 842. [Google Scholar] [CrossRef]
- Joens-Matre, R.R.; Welk, G.J.; Calabro, M.A.; Russell, D.W.; Nicklay, E.; Hensley, L.D. Rural–Urban Differences in Physical Activity, Physical Fitness, and Overweight Prevalence of Children. J. Rural Health 2008, 24, 49–54. [Google Scholar] [CrossRef]
- Murer, S.B.; Saarsalu, S.; Zimmermann, J.; Herter-Aeberli, I. Risk factors for overweight and obesity in Swiss primary school children: Results from a representative national survey. Eur. J. Nutr. 2016, 55, 621–629. [Google Scholar] [CrossRef]
- Pardo Arquero, V.P.; Jiménez Pavón, D.; Guillén del Castillo, M.; Benítez Sillero, J.D. Actividad física, condición física y adiposidad: Inmigrantes versus escolares españoles. Rev. Int. Med. Cienc. Act. Física Deporte 2014, 14, 319–338. [Google Scholar]
- On behalf of the IDEFICS Consortium; Iguacel, I.; Fernández-Alvira, J.M.; Bammann, K.; Chadjigeorgiou, C.; De Henauw, S.; Heidinger-Felső, R.; Lissner, L.; Michels, N.; Page, A.; et al. Social vulnerability as a predictor of physical activity and screen time in European children. Int. J. Public Health 2018, 63, 283–295. [Google Scholar] [CrossRef]
- Renzaho, A.M.N.; Swinburn, B.; Burns, C. Maintenance of traditional cultural orientation is associated with lower rates of obesity and sedentary behaviours among African migrant children to Australia. Int. J. Obes. 2008, 32, 594–600. [Google Scholar] [CrossRef]
- Hao, L.; Kim, J.J.H. Immigration and the American Obesity Epidemic. Int. Migr. Rev. 2009, 43, 237–262. [Google Scholar] [CrossRef] [PubMed]


| Variables | Mean | SD | CI95% |
|---|---|---|---|
| Age (years) | 8.7 | 1.8 | (8.5–8.9) |
| Weight (kg) | 35.7 | 10.9 | (34.6–36.8) |
| Height (cm) | 1.36 | 0.12 | (1.35–1.37) |
| BMI (kg/m2) | 19.05 | 3.71 | (18.67–19.43) |
| WC (cm) | 62.1 | 8.2 | (61.3–62.9) |
| WHtR (WC/Height (cm)) | 0.46 | 0.05 | (0.45–0.47) |
| BF (%) | 29.63 | 7.13 | (28.90–30.36) |
| BF (kg) | 11.17 | 5.93 | (10.56–11.78) |
| FFM (%) | 70.37 | 7.13 | (69.64–71.10) |
| FFM (kg) | 24.54 | 5.58 | (23.97–25.11) |
| Variables | n | % | CI95% |
|---|---|---|---|
| BMI (WHO) | |||
| Overweight | 104 | 28.1 | (23.8–32.9) |
| Obesity | 90 | 24.3 | (20.2–29.0) |
| Excess weight | 194 | 52.4 | (47.3–57.5) |
| WHtR | |||
| Abdominal obesity | 54 | 14.6 | (11.4–18.6) |
| WC | |||
| High trunk fat mass | 75 | 20.3 | (16.5–24.7) |
| %BF | |||
| High adiposity | 168 | 45.4 | (40.4–50.5) |
Publisher’s Note: MDPI stays neutral with regard to jurisdictional claims in published maps and institutional affiliations. |
© 2020 by the authors. Licensee MDPI, Basel, Switzerland. This article is an open access article distributed under the terms and conditions of the Creative Commons Attribution (CC BY) license (http://creativecommons.org/licenses/by/4.0/).
Share and Cite
López-Gil, J.F.; López-Benavente, A.; Tárraga López, P.J.; Yuste Lucas, J.L. Sociodemographic Correlates of Obesity among Spanish Schoolchildren: A Cross-Sectional Study. Children 2020, 7, 201. https://doi.org/10.3390/children7110201
López-Gil JF, López-Benavente A, Tárraga López PJ, Yuste Lucas JL. Sociodemographic Correlates of Obesity among Spanish Schoolchildren: A Cross-Sectional Study. Children. 2020; 7(11):201. https://doi.org/10.3390/children7110201
Chicago/Turabian StyleLópez-Gil, José Francisco, Alba López-Benavente, Pedro Juan Tárraga López, and Juan Luis Yuste Lucas. 2020. "Sociodemographic Correlates of Obesity among Spanish Schoolchildren: A Cross-Sectional Study" Children 7, no. 11: 201. https://doi.org/10.3390/children7110201
APA StyleLópez-Gil, J. F., López-Benavente, A., Tárraga López, P. J., & Yuste Lucas, J. L. (2020). Sociodemographic Correlates of Obesity among Spanish Schoolchildren: A Cross-Sectional Study. Children, 7(11), 201. https://doi.org/10.3390/children7110201

