Behavioral Inhibition and Fear: The Moderating Role of Emotional Competence and Gender in Preadolescents
Abstract
1. Introduction
Present Study
2. Materials and Methods
2.1. Participants and Procedure
2.2. Measures
2.2.1. Behavioral Inhibition System
2.2.2. Attentional Facilitation Index of Fear
2.2.3. Awareness of Others’ Emotions
2.2.4. Emotion Perception Accuracy of Fear
2.3. Data Analyses
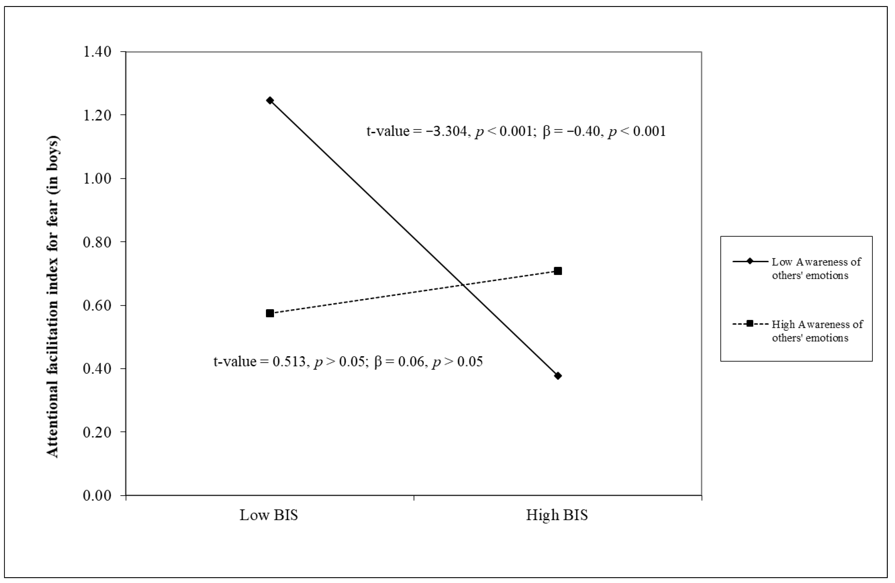
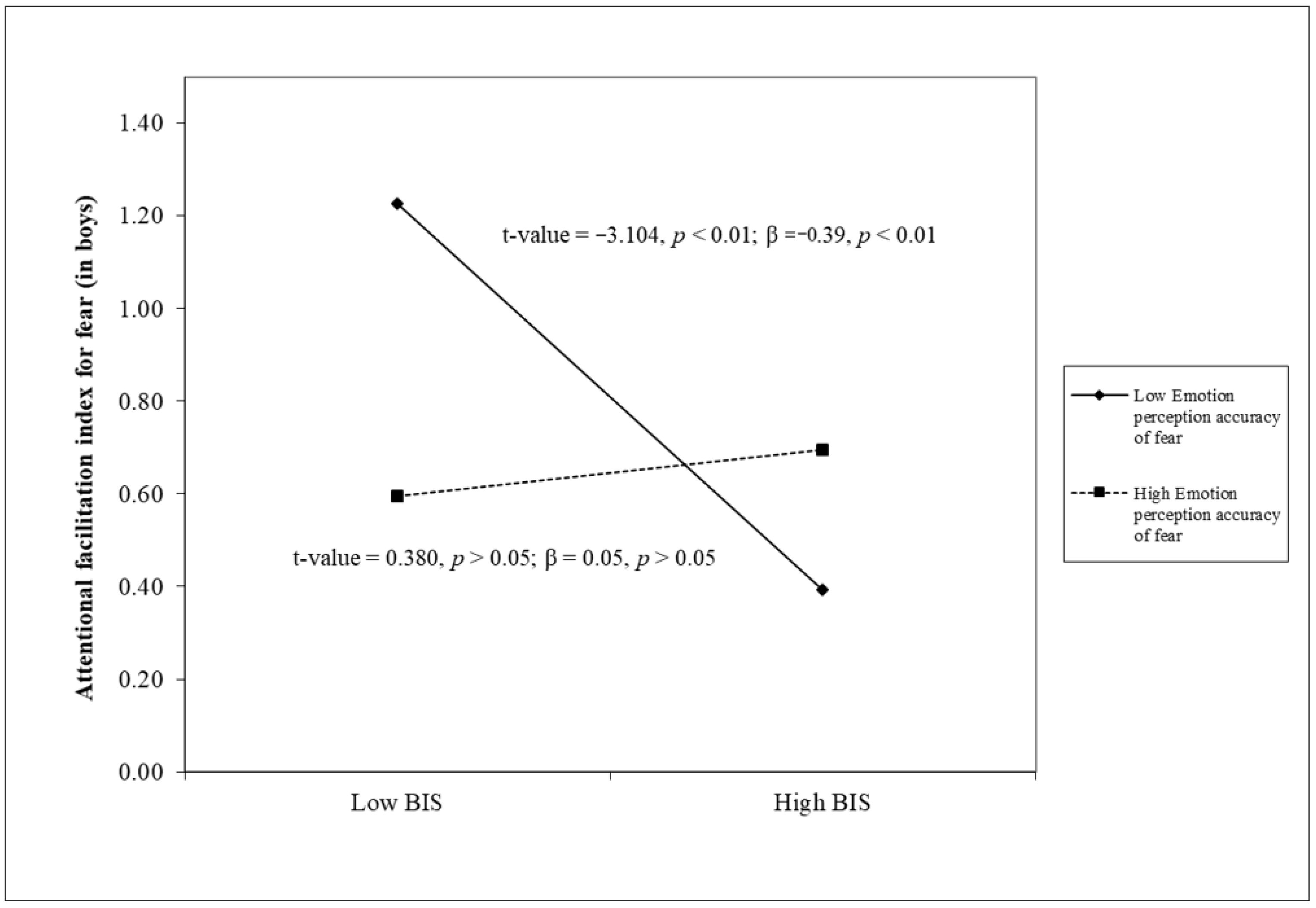
3. Results
4. Discussion
5. Limitations and Conclusions
Author Contributions
Funding
Institutional Review Board Statement
Informed Consent Statement
Data Availability Statement
Acknowledgments
Conflicts of Interest
References
- Gray, J.A. The psychophysiological basis of introversion-extraversion: A modification of Eysenck’s theory. In The Biological Basis of Individual Behavior; Nebylitsyn, V.D., Gray, J.A., Eds.; Academic Press: San Diego, CA, USA, 1972; pp. 182–205. [Google Scholar]
- Gray, J.A.; McNaughton, N. The Neuropsychology of Anxiety: An Enquiry into the Functions of the Septo-Hippocampal System, 2nd ed.; Oxford University Press: Oxford, UK, 2000; p. 424. [Google Scholar]
- Pickering, A.D.; Gray, J.A. The neuroscience of personality. In Handbook of Personality: Theory and Research, 2nd ed.; Pervin, L.A., John, O.P., Eds.; Guilford Press: New York, NY, USA, 1999; pp. 277–299. [Google Scholar]
- Carver, C.S.; White, T.L. Behavioral inhibition, behavioral activation, and affective responses to impending reward and punishment: The BIS/BAS Scales. J. Pers. Soc. Psychol. 1994, 67, 319–333. [Google Scholar] [CrossRef]
- Torrubia, R.; Ávila, C.; Moltó, J.; Caseras, X. The Sensitivity to punishment and sensitivity to reward questionnaire (SPSRQ) as a measure of Gray’s anxiety and impulsivity dimensions. Pers. Individ. Differ. 2001, 31, 837–862. [Google Scholar] [CrossRef]
- Yan, C.; Dillard, J.P. Emotion inductions cause changes in activation levels of the behavioral inhibition and approach systems. Pers. Individ. Differ. 2010, 48, 676–680. [Google Scholar] [CrossRef]
- Gonen, T.; Admon, R.; Podlipsky, I.; Hendler, T. From animal model to human brain networking: Dynamic causal modelling of motivational systems. J. Neurosci. 2012, 32, 7218–7224. [Google Scholar] [CrossRef]
- Lang, P.J.; Bradley, M.M.; Cuthbert, B.N. Emotion, attention, and the startle reflex. Psychol. Rev. 1990, 97, 377–398. [Google Scholar] [CrossRef]
- Yu, A.J.; Dayan, P. Uncertainty, neuromodulation, and attention. Neuron 2005, 46, 681–692. [Google Scholar] [CrossRef]
- Gray, J.A. Brain systems that mediate both emotion and cognition. Cogn. Emot. 1990, 4, 269–288. [Google Scholar] [CrossRef]
- Hewig, J.; Hagemann, D.; Seifert, J.; Naumann, E.; Bartussek, D. The relation of cortical activity and BIS/BAS on the trait level. Biol. Psychol. 2006, 71, 42–53. [Google Scholar] [CrossRef]
- Pickering, A.D.; Gray, J.A. Dopamine, Appetitive Reinforcement, and the Neuropsychology of Human Learning: An Individual Differences Approach; PABST Science Publishers: Lengerich, Germany, 2001. [Google Scholar]
- Depue, R.A.; Collins, P.F. Neurobiology of the structure of personality: Dopamine, facilitation of incentive motivation, and extraversion. Behav. Brain Sci. 1999, 22, 491–569. [Google Scholar] [CrossRef]
- Balconi, M.; Brambilla, E.; Falbo, L. Appetitive vs. defensive responses to emotional cues. Autonomic measures and brain oscillation modulation. Brain Res. 2009, 1296, 72–84. [Google Scholar] [CrossRef]
- Corr, P.J. Reinforcement sensitivity theory and personality. Neurosci. Biobehav. Rev. 2004, 28, 317–332. [Google Scholar] [CrossRef] [PubMed]
- Smillie, L.D.; Pickering, A.D.; Jackson, C.J. The new reinforcement sensitivity theory: Implications for personality measurement. Pers. Soc. Psychol. Rev. 2006, 10, 320–335. [Google Scholar] [CrossRef] [PubMed]
- Bijttebier, P.; Beck, I.; Claes, L.; Vandereycken, W. Gray’s reinforcement sensitivity theory as a framework for research on personality—Psychopathology associations. Clin. Psychol. Rev. 2009, 29, 421–430. [Google Scholar] [CrossRef] [PubMed]
- Johnson, S.L.; Turner, R.J.; Iwata, N. BIS/BAS levels and psychiatric disorder: An epidemiological study. J. Psychopathol. Behav. Assess. 2003, 25, 25–36. [Google Scholar] [CrossRef]
- Kimbrel, N.A. A model of the development and maintenance of generalized social phobia. Clin. Psychol. Rev. 2008, 28, 592–612. [Google Scholar] [CrossRef]
- Fox, A.S.; Kalin, N.H. A translational neuroscience approach to understanding the development of social anxiety disorder and its pathophysiology. Am. J. Psychiatry 2014, 171, 1162–1173. [Google Scholar] [CrossRef]
- Fox, N.A.; Pine, D.S. Temperament and the emergence of anxiety disorders. J. Am. Acad. Child. Adolesc. Psychiatry 2012, 51, 125–128. [Google Scholar] [CrossRef]
- Pérez-Edgar, K.; Fox, N.A. Temperament and anxiety disorders. Child. Adolesc. Psychiatr. Clin. N. Am. 2005, 14, 681–706. [Google Scholar] [CrossRef]
- Clauss, J.A.; Blackford, J.U. Behavioral inhibition and risk for developing social anxiety disorder: A meta-analytic study. J. Am. Acad. Child. Adolesc. Psychiatry 2012, 51, 1066–1075. [Google Scholar] [CrossRef]
- Pérez-Edgar, K.E.; Guyer, A.E. Behavioral inhibition: Temperament or prodrome? Curr. Behav. Neurosci. Rep. 2014, 1, 182–190. [Google Scholar] [CrossRef]
- Bar-Haim, Y.; Lamy, D.; Pergamin, L.; Bakermans-Kranenburg, M.; van IJzendoorn, M. Threat-related attentional bias in anxious and nonanxious individuals: A meta-analytic study. Psychol. Bull. 2007, 133, 1–24. [Google Scholar] [CrossRef] [PubMed]
- Bradley, B.P.; Mogg, K.; Millar, N.H. Covert and overt orienting of attention to emotional faces in anxiety. Cogn. Emo. 2000, 14, 789–808. [Google Scholar] [CrossRef]
- Cisler, J.M.; Koster, E.H. Mechanisms of attentional biases towards threat in anxiety disorders: An integrative review. Clin. Psychol. Rev. 2010, 30, 203–216. [Google Scholar] [CrossRef] [PubMed]
- Compton, R.J. The Interface Between Emotion and Attention: A Review of Evidence from Psychology and Neuroscience. Behav. Cogn. Neurosci. Rev. 2003, 2, 115–129. [Google Scholar] [CrossRef]
- Fox, E.; Russo, R.; Bowles, R.; Dutton, K. Do threatening stimuli draw or hold visual attention in subclinical anxiety? J. Exp. Psychol. Gen. 2001, 130, 681–700. [Google Scholar] [CrossRef]
- Gasper, K.; Clore, G.L. Attending to the big picture: Mood and global versus local processing of visual information. Psychol. Sci. 2002, 13, 34–40. [Google Scholar] [CrossRef]
- Keogh, E.; French, C.C. The effect of trait anxiety and mood manipulation on the breadth of attention. Eur. J. Pers. 1999, 13, 209–223. [Google Scholar] [CrossRef]
- Yiend, J.; Mathews, A. Anxiety and attention to threatening pictures. Q. J. Exp. Psychol. Sect. A. 2001, 54, 665–681. [Google Scholar] [CrossRef]
- Britton, J.C.; Lissek, S.; Grillon, C.; Norcross, M.A.; Pine, D.S. Development of anxiety: The role of threat appraisal and fear learning. Depress. Anxiety 2011, 28, 5–17. [Google Scholar] [CrossRef]
- Monk, C.S.; Telzer, E.H.; Mogg, K.; Bradley, B.P.; Mai, X.; Louro, H.M.C.; Chen, G.; McClure-Tone, E.B.; Ernst, M.; Pine, D.S. Amygdala and Ventrolateral Prefrontal Cortex Activation to Masked Angry Faces in Children and Adolescents with Generalized Anxiety Disorder. Arch. Gen. Psychiatry 2008, 65, 568–576. [Google Scholar] [CrossRef]
- Todd, R.M.; Cunningham, W.A.; Anderson, A.K.; Thompson, E. Affect-biased attention as emotion regulation. Trends Cogn. Sci. 2012, 16, 365–372. [Google Scholar] [CrossRef] [PubMed]
- Cooper, R.M.; Langton, S.R. Attentional bias to angry faces using the dot-probe task? It depends when you look for it. Behav. Res. Ther. 2006, 44, 1321–1329. [Google Scholar] [CrossRef] [PubMed]
- Pérez-Edgar, K.; Bar-Haim, Y.; McDermott, J.M.; Chronis-Tuscano, A.; Pine, D.S.; Fox, N.A. Attention biases to threat and behavioral inhibition in early childhood shape adolescent social withdrawal. Emotion 2010, 10, 349. [Google Scholar] [CrossRef] [PubMed]
- Broeren, S.; Muris, P.; Bouwmeester, S.; van der Heijden, K.B.; Abee, A. The role of repetitive negative thoughts in the vulnerability for emotional problems in non-clinical children. J. Child. Fam. Stud. 2011, 20, 135–148. [Google Scholar] [CrossRef] [PubMed]
- Pérez-Edgar, K.; Reeb-Sutherland, B.C.; McDermott, J.M.; White, L.K.; Henderson, H.A.; Degnan, K.A.; Hane, A.A.; Pine, D.S.; Fox, N.A. Attention biases to threat link behavioral inhibition to social withdrawal over time in very young children. J. Abnorm. Child. Psychol. 2011, 39, 885–895. [Google Scholar] [CrossRef]
- White, L.K.; Degnan, K.A.; Henderson, H.A.; Pérez-Edgar, K.; Walker, O.L.; Shechner, T.; Leibenluft, E.; Bar-Haim, Y.; Pine, D.S.; Fox, N.A. Developmental relations between behavioral inhibition, anxiety, and attention biases to threat and positive information. Child. Dev. 2015, 80, 49–69. [Google Scholar] [CrossRef]
- Bacon, A.M.; Corr, P.J. Motivating emotional intelligence: A reinforcement sensitivity theory (RST) perspective. Motiv. Emot. 2017, 41, 254–264. [Google Scholar] [CrossRef][Green Version]
- Merchán-Clavellino, A.; Alameda-Bailén, J.R.; Zayas García, A.; Guil, R. Mediating effect of trait emotional intelligence between the behavioral activation system (BAS)/behavioral inhibition system (BIS) and positive and negative affect. Front. Psychol. 2019, 10, 424. [Google Scholar] [CrossRef]
- Phillips, P.F.; Chen, H. Emotional intelligence and the role of motivation within the context of career guidance counselling for those experiencing unemployment. Irish J. Appl. Soc. Stud. 2018, 18, 1. [Google Scholar] [CrossRef]
- Salguero-Alcañiz, M.P.; Merchán-Clavellino, A.; Alameda-Bailén, J.R. Youth dating violence, behavioral sensitivity, and emotional intelligence: A mediation analysis. Healthcare 2023, 11, 2445. [Google Scholar] [CrossRef]
- Leach, L.S.; Christensen, H.; Mackinnon, A.J.; Windsor, T.D.; Butterworth, P. Gender differences in depression and anxiety across the adult lifespan: The role of psychosocial mediators. Soc. Psychiatry Psychiatr. Epidemiol. 2008, 43, 983–998. [Google Scholar] [CrossRef] [PubMed]
- Leone, L.; Perugini, M.; Bagozzi, R.P.; Pierro, A.; Mannetti, L. Construct validity and generalizability of the Carver–White behavioural inhibition system/behavioural activation system scales. Eur. J. Pers. 2001, 15, 373–390. [Google Scholar] [CrossRef]
- Mardaga, S.; Hansenne, M. Relationships between Cloninger’s biosocial model of personality and the behavioral inhibition/approach systems (BIS/BAS). Pers. Individ. Differ. 2007, 42, 715–722. [Google Scholar] [CrossRef]
- Atkinson, J.; Sharp, C.; Schmitz, J.; Yaroslavsky, I. Behavioral activation and inhibition, negative affect, and gambling severity in a sample of young adult college students. J. Gambl. Stud. 2012, 28, 437–449. [Google Scholar] [CrossRef] [PubMed]
- Eme, R.F. Sex differences in child-onset, life-course-persistent conduct disorder: A review of biological influences. Clin. Psychol. Rev. 2007, 27, 607–627. [Google Scholar] [CrossRef]
- Scholten, M.R.; van Honk, J.; Aleman, A.; Kahn, R.S. Behavioral inhibition system(BIS), behavioral activation system (BAS) and schizophrenia: Relationship with psychopathology and physiology. J. Psychiatr. Res. 2006, 40, 638–645. [Google Scholar] [CrossRef]
- Li, Y.; Qiao, L.; Sun, J.; Wei, D.; Li, W.; Qiu, J.; Zhang, Q.; Shi, H. Gender-specific neuroanatomical basis of behavioral inhibition/approach systems (BIS/BAS) in a large sample of young adults: A voxel-based morphometric investigation. Behav. Brain Res. 2014, 274, 400–408. [Google Scholar] [CrossRef]
- Jung, W.H.; Lee, T.Y.; Kim, M.; Lee, J.; Oh, S.; Lho, S.K.; Moon, S.Y.; Kwon, J.S. Sex differences in the behavioral inhibition system and ventromedial prefrontal cortex connectivity. Soc. Cogn. Affect. Neurosci. 2022, 17, 571–578. [Google Scholar] [CrossRef]
- Ma-Kellams, C.; Wu, M.S. Gender, behavioral inhibition/activation, and emotional reactions to negative natural and social events. Pers. Individ. Differ. 2020, 157, 109809. [Google Scholar] [CrossRef]
- Calkins, S.D.; Fox, N.A.; Marshall, T.R. Behavioral and physiological antecedents of inhibited and uninhibited behavior. Child. Dev. 1996, 67, 523–540. [Google Scholar] [CrossRef]
- Fox, N.A.; Henderson, H.A.; Rubin, K.H.; Calkins, S.D.; Schmidt, L.A. Continuity and discontinuity of behavioral inhibition and exuberance: Psychophysiological and behavioral influences across the first four years of life. Child. Dev. 2001, 72, 1–21. [Google Scholar] [CrossRef] [PubMed]
- Leone, L.; Pierro, A.; Mannetti, L. Validità della versione italiana delle scale BIS/BAS di Carver e White (1994): Generalizzabilità della struttura e relazioni con costrutti affini. G. Ital. Psicol. 2002, 29, 413–436. [Google Scholar]
- Gronchi, G.; Righi, S.; Pierguidi, L.; Giovannelli, F.; Murasecco, I.; Viggiano, M.P. Automatic and controlled attentional orienting in the elderly: A dual-process view of the positivity effect. Acta Psychol. 2018, 185, 229–234. [Google Scholar] [CrossRef] [PubMed]
- Righi, S.; Gronchi, G.; Ramat, S.; Gavazzi, G.; Cecchi, F.; Viggiano, M.P. Automatic and controlled attentional orienting toward emotional faces in patients with Parkinson’s disease. Cogn. Affect. Behav. Neurosci. 2023, 23, 371–382. [Google Scholar] [CrossRef]
- Ciucci, E.; Kimonis, E.; Frick, P.J.; Righi, S.; Baroncelli, A.; Tambasco, G.; Facci, C. Attentional Orienting to Emotional Faces Moderates the Association Between Callous-Unemotional Traits and Peer-Nominated Aggression in Young Adolescent School Children. J. Abnorm. Child. Psychol. 2018, 46, 1011–1019. [Google Scholar] [CrossRef]
- Dalrymple, K.A.; Gomez, J.; Duchaine, B. The Dartmouth Database of Children’s Faces: Acquisition and validation of a new face stimulus set. PLoS ONE 2013, 8, e79131. [Google Scholar] [CrossRef]
- Schneider, W.; Eschman, A.; Zuccolotto, A. E-Prime, Version 2.0; [Computer software and manual]; Psychology Software Tools Inc.: Pittsburgh, PA, USA, 2022.
- Koster, E.H.; Verschuere, B.; Crombez, G.; Van Damme, S. Time-course of attention for threatening pictures in high and low trait anxiety. Behav. Res. Ther. 2005, 43, 1087–1098. [Google Scholar] [CrossRef]
- Koster, E.H.; Crombez, G.; Verschuere, B.; De Houwer, J. Selective attention to threat in the dot probe paradigm: Differentiating vigilance and difficulty to disengage. Behav. Res. Ther. 2004, 42, 1183–1192. [Google Scholar] [CrossRef]
- Rieffe, C.; Oosterveld, P.; Miers, A.C.; Terwogt, M.M.; Ly, V. Emotion awareness and internalising symptoms in children and adolescents: The Emotion Awareness Questionnaire revised. Pers. Individ. Differ. 2008, 45, 756–761. [Google Scholar] [CrossRef]
- Camodeca, M.; Rieffe, C. Validation of the Italian Emotion Awareness Questionnaire for children and adolescents. Eur. J. Dev. Psychol. 2013, 10, 402–409. [Google Scholar] [CrossRef]
- Bennetts, R.J.; Murray, E.; Boyce, T.; Bate, S. Prevalence of Face Recognition Deficits in Middle Childhood. Q. J. Exp. Psychol. 2017, 70, 234–258. [Google Scholar] [CrossRef] [PubMed]
- Della Longa, L.; Nosarti, C.; Farroni, T. Emotion Recognition in Preterm and Full-Term School-Age Children. Int. J. Environ. Res. Public Health 2022, 19, 6507. [Google Scholar] [CrossRef] [PubMed]
- Fine, S.E.; Trentacosta, C.J.; Izard, C.E.; Mostow, A.J.; Campbell, J.L. Anger perception, caregivers’ use of physical discipline, and aggression in children at risk. Soc. Dev. 2004, 13, 213–228. [Google Scholar] [CrossRef]
- Holmbeck, G.N. Post-hoc probing of significant moderational and mediational effects in studies of pediatric populations. J. Pediat. Psychol. 2002, 27, 87–96. [Google Scholar] [CrossRef]
- Fernández-Berrocal, P.; Alcaide, R.; Extremera, N.; Pizarro, D. The role of emotional intelligence in anxiety and depression among adolescents. Ind. Diff. Res. 2006, 4, 16–27. [Google Scholar]


| M (SD) | Skew. | Kurt. | 1 | 2 | 3 | 4 | 5 | 6 | |
|---|---|---|---|---|---|---|---|---|---|
| 1—Age (a) | 155.71 (10.69) | −0.26 | −0.45 | - | |||||
| 2—Gender (b) | - | - | - | 0.08 | - | ||||
| 3—BIS | 3.29 (0.76) | −0.34 | 0.15 | −0.08 | −0.23 *** | - | |||
| 4—Attentional facilitation index of fear | 0.00 (1.00) | −0.27 | 4.52 | 0.04 | −0.02 | −0.11 | - | ||
| 5—Awareness of others’ emotions | 2.55 (0.39) | −0.90 | 0.27 | 0.01 | −0.30 *** | 0.25 *** | −0.11 | - | |
| 6—Emotion perception accuracy of fear | 0.50 (0.22) | −0.22 | −0.59 | 0.09 | −0.22 *** | 0.08 | −0.10 | 0.24 *** | - |
| Age | Gender | BIS | Awareness of Others’ Emotions | Emotion Perception Accuracy of Fear | R2 | F | |
|---|---|---|---|---|---|---|---|
| Attentional facilitation index of fear | 0.04 | −0.09 | −0.11 (a), (b) | −0.08 | −0.10 | 0.01 | (5263) = 1.686 |
Disclaimer/Publisher’s Note: The statements, opinions and data contained in all publications are solely those of the individual author(s) and contributor(s) and not of MDPI and/or the editor(s). MDPI and/or the editor(s) disclaim responsibility for any injury to people or property resulting from any ideas, methods, instructions or products referred to in the content. |
© 2025 by the authors. Licensee MDPI, Basel, Switzerland. This article is an open access article distributed under the terms and conditions of the Creative Commons Attribution (CC BY) license (https://creativecommons.org/licenses/by/4.0/).
Share and Cite
Baroncelli, A.; Righi, S.; Facci, C.; Ciucci, E. Behavioral Inhibition and Fear: The Moderating Role of Emotional Competence and Gender in Preadolescents. Children 2025, 12, 179. https://doi.org/10.3390/children12020179
Baroncelli A, Righi S, Facci C, Ciucci E. Behavioral Inhibition and Fear: The Moderating Role of Emotional Competence and Gender in Preadolescents. Children. 2025; 12(2):179. https://doi.org/10.3390/children12020179
Chicago/Turabian StyleBaroncelli, Andrea, Stefania Righi, Carolina Facci, and Enrica Ciucci. 2025. "Behavioral Inhibition and Fear: The Moderating Role of Emotional Competence and Gender in Preadolescents" Children 12, no. 2: 179. https://doi.org/10.3390/children12020179
APA StyleBaroncelli, A., Righi, S., Facci, C., & Ciucci, E. (2025). Behavioral Inhibition and Fear: The Moderating Role of Emotional Competence and Gender in Preadolescents. Children, 12(2), 179. https://doi.org/10.3390/children12020179

