Exploring the Effectiveness and Challenges of Community Rehabilitation Service Programs for Children with Developmental Delays: A Qualitative Study from the Perspective of Early Intervention Service Providers in Taiwan
Abstract
1. Introduction
2. Literature Review
2.1. Service Models in Early Intervention
2.2. Community-Based Services for Developmentally Delayed Children
3. Methodology
3.1. Research Structure
3.2. Participants
3.2.1. Participant A
3.2.2. Participant B
3.2.3. Participant C
3.3. Research Tools
3.4. Data Analysis
4. Result
4.1. Assessing Intervention Outcomes for Developmentally Delayed Toddlers
4.1.1. Participant A
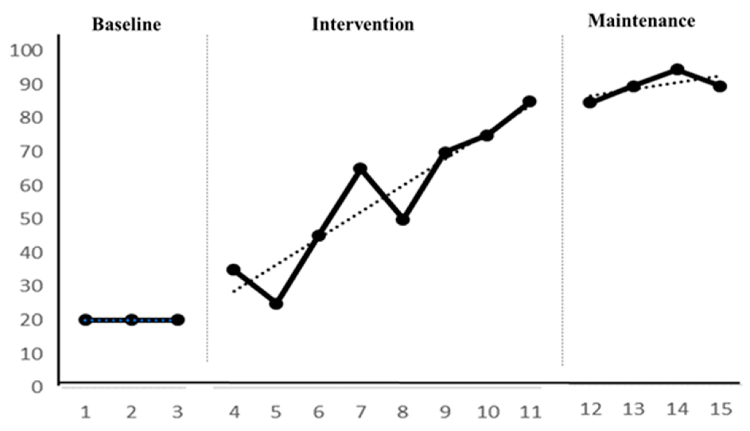
“During the baseline period (1st, 2nd, 3rd sessions), Participant A could only perform basic writing strokes and simple symbol writing, such as circles and triangles. However, they did not possess the ability to write their name or related stroke concepts” (log entries A1101001, A1101002, A1101003).
“During the intervention period (5th, 7th sessions), Participant A exhibited poor attention during the intervention process, often appearing distracted. After discussion with the parent, it was determined that this might be due to inadequate mental alertness, as Participant A’s service time was from 14:30 to 15:30, and they usually napped at school until 15:00. It was concluded that Participant A might not have been fully awake” (log entries A1101102, A1101104).
“During the intervention period (11th session), Participant A showed poor attention during the intervention process. Therefore, the researcher engaged Participant A in relevant large motor activities before the writing intervention. However, Participant A’s attention could not be regained due to excessive excitement from the motor activities, resulting in poor performance during the writing intervention” (log entry A1101204).
“During the maintenance period (14th, 15th sessions), Participant A showed significant improvement in writing their name, achieving basic goals independently without researcher guidance. Although there were still reminders needed for certain aspects of font and spatial configuration, Participant A had achieved basic goals. It was noted that the parent also engaged in relevant exercises and activities with Participant A at home” (log entries A1110103, A1110104).
4.1.2. Participant B
“During the baseline period (1st, 2nd, 3rd sessions), Participant B could only use the first four fingers for gripping. During this period, Participant B’s grip style involved using the ring finger as compensation, unable to solely use the first three fingers for relevant coloring or writing activities. Additionally, there were fewer gripping exercises with the participant at home” (log entries A1101004, A1101005, A1101006).
“During the intervention period (6th session), Participant B showed a significant reduction in using the first four fingers for gripping. However, despite using a thicker triangular pencil during the intervention, Participant B still couldn’t write or color smoothly and relied on compensation. The intervention mainly focused on motor skills” (log entry A1101107).
“During the intervention period (7th session), Participant B expressed discomfort holding the triangular pencil during the intervention and requested a different type of pen. As a result, the researcher provided a triangular-shaped colored pen for Participant B’s use. However, there was an increase in the number of times Participant B resorted to using the first four fingers for gripping that day” (log entry A1101108).
“During the intervention period (10th session), Participant B’s mental state was unstable, likely due to the emotional state of the parent that week. The parent had conflicts with the grandparent, and the parent explained many of these situations and reasons to the researcher on the intervention day, suggesting possible factors affecting Participant B’s emotional and mental state” (log entry A1101207).
“During the maintenance period (12th, 13th sessions), as the maintenance of their condition was not as expected by the researchers, inquiries were made to the mother about whether there were any related writing or coloring exercises conducted with Participant B at home. The mother stated that there were fewer exercises such as pen-holding and writing practiced at home, attributing the actual reasons to her belief that other daily activities were already aiding Participant B in improving fine motor skills and that additional practice in pen-holding was unnecessary” (entries 1110105, 1110106).
4.1.3. Participant C
“During the baseline period (1st, 2nd, 3rd sessions), Participant C demonstrated satisfactory writing of symbols only for 1 and 4, with no reversals and the ability to consistently name the symbols correctly. Symbol 7 could be named correctly but occasionally had writing reversals, while symbols 2, 3, 5, 6, 8, and 9 showed poor writing conditions and difficulty in naming the symbols accurately” (entries A1101007, A1101008, A1101009).
“In the intervention period (5th session), Participant C’s recognition of symbols 2, 3, 5, 6, and 9 remained unsatisfactory. Additionally, on the intervention day, a therapist accompanied the session for a semi-annual professional consultation. Participant C’s cooperation and expression were less satisfactory with the presence of a stranger: (entry A1101110).
“In the intervention period (8th session), inquiries were made about Participant C’s completion rate of symbol recognition games at home. The mother indicated nearly 100% accuracy at home, but Participant C’s completion rate was only 50% during the intervention. It was later discovered that some symbols on the toys were handwritten by the researcher, leading to inconsistencies in recognition, particularly with symbol 9. As a result, all symbol toys were subsequently provided without inconsistencies for continued practice” (entry A1101207).
“During the maintenance period (15th session), as the community rehabilitation service for Participant C was transitioning to another unit, the mother explained the service personnel changes to Participant C. Consequently, Participant C exhibited overall unstable emotions and self-control on the intervention day. However, after communication and explanation by the researcher, assuring Participant C of the availability of other toys brought by new professionals for play, Participant C’s emotional and self-control condition stabilized considerably” (entry A1110112).
4.2. Dilemmas Faced by Parents in Participating in Community Rehabilitation Services
4.2.1. Lack of Access to Relevant Rehabilitation Information
“At the beginning, the school teacher thought there was an issue with the child and informed us that there was a foundation here offering services. I think advocacy is quite important because there are some newcomers or those who have married here, information is indeed less than elsewhere”. (Interview—Mother A1110101.)
“When I took my child to get vaccinated at the health center, the nurse gave me a developmental screening questionnaire, so I knew it”. (Interview—Mother B1110102.)
“Before, the teacher and the lady from the health center mentioned it. (So I had no prior experience or involvement with related rehabilitation services.)” (Interview—Mother C1110103.)
4.2.2. Parents’ Level of Participation
“I think I just followed the teacher’s instructions and then practiced with my child at home. Yes, practicing according to the teacher’s methods and discussing with the teacher how to help the child, and then at home”. (Interview—Mother A1110101.)
“At home, in the beginning, language development was slower, so I told him more stories, talked to him more, and as for other activities”. (Interview—Mother B1110102.)
“I reviewed what the teacher taught in class with him at home to make him more proficient”. (Interview—Mother C1110103.)
4.2.3. Communication and Interaction with Professionals
“I think it’s quite suitable for the children. Moreover, I think the teacher (researcher) and the occupational therapist are quite professional, so the child has been gradually improving”. (Interview—Mother A1110101.)
“It shouldn’t be too difficult… The only difficulty is when going for assessments before, isn’t it? Is it a consultation? Only the description by the doctor made me feel less understandable, but the other assessment teachers, if you don’t understand, you can ask them, and their explanations are not as vague”. (Interview—Mother B1110102.)
“No. Because if it’s really too difficult, I would ask myself”. (Interview—Mother C1110103.)
4.2.4. Low Consistency in Parenting Among Family Members
“I think because it’s rural, there are more cases of cross-generational parenting. Sometimes grandparents are also unsure of what to do and need more advocacy or external resources”. (Interview—Mother A1110101.)
“Because if you want to persist alone, it’s really tiring. Actually, he really needs family assistance and support… because older generations tend to think differently. For example, if a child isn’t very active, they think it’s not a big deal”. (Interview—Mother B1110102.)
“Grandparents may stick to old ideas, saying it’s okay if children talk late, but to doctors, it’s not okay, they have what is known as a language problem”. (Interview—Mother C1110103.)
4.2.5. Insufficient Professional Resources
“I think we could add some different courses, diverse courses, because children need interactive activities involving large movements, so I hope there are such courses and spaces”. (Interview—Mother A1110101.)
“I hope there can be dedicated rehabilitation classrooms because teachers can bring more hands-on tools, which are easier to carry, but children also need activities involving large movements. If there is a room where we can put those large tools, it would be much more convenient for you as teachers”. (Interview—Mother B1110102.)
“I hope there will be relevant professional therapists who don’t come once in a while. I hope you can come once a month, not just every six months, because some families really can’t go out, so I hope there will be more help from your side”. (Interview—Mother C1110103.)
4.3. Challenges Faced by Professionals Participating in Community Early Intervention Programs
4.3.1. Impact of Utilization of Relevant Intervention Resources on Practical Operations
“Community intervention should provide practical strategies for daily life. However, due to limitations in the service environment, the interventions lack community relevance”. (Interview with Educational Aide 1110401.)
“Because in rural areas, the service spaces lack large educational toys. Previously, we had to bring our own materials. For example, if we wanted to assess climbing ability, it’s limited in this service space. It’s not feasible to move materials daily”. (Interview with Therapist 1110403.)
“For example, some autistic children are taught using picture cards, but later we found they couldn’t associate the cards with real objects. Since we’re already in the community, why can’t we step out? Today, we’re fixed to this spot. We can’t take the children elsewhere in the community for visits. Although it’s called community intervention, I’m restricted to this space”. (Interview with Social Worker 1110404.)
“In recent years, you may have heard about the emphasis on family-centered and community-based approaches, aiming for more integration for children. If a child has social interaction issues, why can’t we take them to the park to interact with other children there? Also, let’s have parents practice actual operations. We don’t have to spend the entire hour outside. I can spend half an hour at home and half an hour outside. I hope this part can be more flexible for us”. (Interview with Social Worker 1110404.)
“In the past, there was a case with many children at home and limited financial resources. The child didn’t understand pretend play. So, during the assessment at kindergarten, the teacher gave him a toy cake, and he started eating it directly because he thought it was real. Due to the lack of such experiences, his abilities appeared severely delayed during the assessment”. (Interview with Supervisor 1110405.)
4.3.2. Parental Involvement and Self-Concept Awareness
“In rural areas, most elders focus on transportation and daily care. Therefore, requiring home exercises can be challenging. Also, due to the regional and cultural factors, parents may not prioritize or participate in interventions. For them, as long as they provide food and clothing, it’s enough. Asking them to do more can be really difficult. Additionally, some may have difficulty understanding written instructions. Therefore, we offer practical suggestions, such as teaching elders to teach children to put shoes and bags in fixed places”. (Interview with Educational Aide 1110401.)
“I think most cases I encounter require more intervention resources. At least, the ones I’ve dealt with do. Usually, it’s those who seem to need assistance more, like those in the middle- to low-income bracket. We often need to use some techniques to communicate with them… I think some parents also need to accept additional resources”. (Interview with Therapist 1110402.)
“Currently, many parents still don’t understand their child’s situation or are unaware of it. I think raising awareness on this aspect is necessary. Even some realize it too late”. (Interview with Therapist 1110403.)
“More often, it’s ‘do for them’ rather than ‘do with them.’ It shouldn’t always be us doing everything for them; instead, we should facilitate their involvement. But parents still perceive our intervention model as needing professionals. They need to realize they should be more independent, rather than us doing everything for them. I feel they just want the service, not the parenting aspect”. (Interview with Therapist 1110403.)
“Most parents, when faced with early intervention issues, often blame themselves first. Their guilty conscience makes them want the best for their children, willing to spend money, willing to resign from work, just to prevent developmental delays, not wanting another assessment report. Most parents get stuck in this fixation…What they can’t see is that early intervention is just a process at this point in time. Even if the child’s gross motor skills are poor today, it doesn’t mean something terrible will happen to them when they grow up”. (Interview with Social Worker 1110404.)
“Parents why do they want clinic-based interventions today? It’s because they can’t do it at home, and there are issues. Having issues means they need professionals. Parents think that I’m not as professional, so giving it to professionals is definitely not a problem. But I think clinic-based interventions don’t really help parents; I think they help parents improve their children’s abilities. But in terms of parental competence improvement is lacking”. (Interview with Social Worker 1110404.)
“Sometimes, when renting venues in rural areas, it’s still necessary to do more publicity because some elders are not familiar with early intervention. They may say there are no children here, only old people”. (Interview with Supervisor 1110405.)
4.3.3. Human Resources Time and Expenses for Professional Personnel
“For some older teachers, their physical strength is limited. Unlike other units that have drivers, I feel that doing three cases in a day plus driving is already the limit. Having a fixed schedule might be better, but long hours of driving really affect mental well-being”. (Interview—Educational Counselor 1110401.)
“We often visit individual case families, but their problems may not be limited to just one. It may not only involve early intervention issues for children, but they may also require additional professional interventions, such as additional medical examinations or further tracking of specific conditions. I feel that some parents themselves also need to access other resources. At this point, assistance might be relatively limited from above, and I can only provide my own expertise to the parts that this child needs consistently. They may need other therapists or other professionals to come in, but what we can offer is only a single profession”. (Interview—Therapist 1110402.)
“The differences between regions are too large. In urban areas, children’s therapy sessions may be packed, but in rural areas, there is nothing available, and there is no choice in professionals”. (Interview—Therapist 1110402.)
“But from the perspective of practitioners, usually, the service messages I receive are short-term. The frequency is low, occasionally going once, and the frequency is not high. The case volume may not be high either. It’s just going to distant places and dealing with two or three cases like this. Otherwise, I have to work from Monday to Friday, and I can only work on Saturdays and Sundays. So, I have to take extra leave to serve the community, which I think is difficult”. (Interview—Therapist 1110402.)
“Suppose I go to other places, like the rural areas we went to before. In one morning, there may be two or three cases, or maybe three or four cases for the whole day, right? Then I have to take a day off inevitably, and subtracting the travel time, everyone has travel time to work. For that whole day, I can only serve these few children, and then it’s the next time, maybe it’s already the next semester, or even next year, or even later. Basically, I think the incentive for this is very low”. (Interview—Therapist 1110402.)
“Because I think if it’s once every six months for (professional consultation), I may still be getting to know the parents. So, there may be many things they (parents) may not necessarily mention. So, if this child really needs therapeutic activities, there may be some limitations, and some children may not need continuous (therapy). Some I may have encountered two or three times or more, and some may have only encountered once. I think it’s like meeting by chance, it’s hard to give them some advice on information”. (Interview—Therapist 1110403.)
4.3.4. Communication and Processes with Administrative Systems
“However, after serving for such a long time, I have been thinking, shouldn’t the exercises the child does at school also count as part of his development practice? Why should he take a four-hour leave just for a one-hour session with us? Due to the current epidemic situation and the child’s daily routine, usually, when he needs to use our scheduled service, it’s usually based on taking a four-hour leave as a benchmark. It’s not just four hours in the morning; it could also be in the afternoon. So, if some children actually make stable progress through training at school, do they really need to take an hour, or rather, four hours off to receive a one-hour scheduled service? This is what I’m pondering (or community therapy resources)”. (Interview—Social Worker 1110404.)
“The related bureaucratic hierarchy within the administrative system is more likely to cause delays in time, whether in administrative processing or in the service delivery of frontline professionals. If the administration gets stuck, subsequent services will also be affected, such as the handover at the beginning of the year… Although we all know that the administrative system needs to go through layers of approval, because it is too bureaucratic, it leads to the inability to complete subsequent related tasks”. (Interview—Supervisor 1110405.)
“For example, in the case of fund disbursement operations, the administrative system may not complete the process, resulting in the inability to disburse funds. While this may be manageable for large units, smaller units may not necessarily have sufficient funding allocation for frontline professional personnel. The only thing units can do is to communicate with the administrative system, but this situation will affect the execution of the entire service plan”. (Interview—Supervisor 1110405.)
“I feel that sometimes there is a sense of communication breakdown, communication is not smooth (emphasis). When we ask questions (to the administrative system), it’s always about the difficulties we encounter in our work, and these are difficulties that we cannot solve on our own, and we rely on you. Like recently, with the epidemic getting worse. We ask, because some children are facing school closures and so on, is the epidemic getting worse? Should we just switch everything to online, or what measures should we take? Or can you tell us what indicators we should follow before we switch everything to online? However, they don’t respond, even though the epidemic situation is severe, and things are changing rapidly”. (Interview—Supervisor 1110405.)
5. Conclusions
6. Limitations
Author Contributions
Funding
Institutional Review Board Statement
Informed Consent Statement
Data Availability Statement
Acknowledgments
Conflicts of Interest
References
- Dunst, C.J. Rethinking early intervention. Anal. Interv. Dev. Disabil. 1985, 5, 165–201. [Google Scholar] [CrossRef]
- Dunst, C.J. Revisiting "Rethinking early intervention". Top. Early Child. Spec. Educ. 2000, 20, 95–104. [Google Scholar] [CrossRef]
- Edition, F. Diagnostic and statistical manual of mental disorders. Am. Psychiatr. Assoc. 2018, 21, 591–643. Available online: https://www.hakjisa.co.kr/common_file/bbs_DSM-5_Update_October2018_NewMaster.pdf (accessed on 3 May 2024).
- Wang, T.M. A Study on the Effectiveness of Family Support for Young Children with Mental Developmental Disabilities and Its Related Issues. Bull. Spec. Educ. 1995, 12, 75–103. Available online: http://bse.spe.ntnu.edu.tw/upload/journal/prog/d9c25a28_20220329.pdf (accessed on 8 June 2024).
- Gao, Y.S.; Lan, W.C. Family-professional collaboration in home-based early intervention for children with developmental disabilities: Preliminary research for family participating in assessment process. Dev. Spec. Educ. 2020, 69, 75–90. [Google Scholar] [CrossRef]
- Guralnick, M.J. Recent developments in early intervention efficacy research: Implications for family involvement in PL 99-457. Top. Early Child. Spec. Educ. 1989, 9, 1–17. [Google Scholar] [CrossRef]
- Meisels, S.J.; Shonkoff, J.P. Early childhood intervention: A continuing evolution. Handb. Early Child. Interv. 2000, 2, 3–31. [Google Scholar] [CrossRef]
- Ramey, C.T.; Ramey, S.L. Effective early intervention. Ment. Retard. 1992, 30, 337. Available online: https://eric.ed.gov/?id=EJ457523 (accessed on 1 July 2024). [PubMed]
- Douglas, S.N.; Meadan, H.; Schultheiss, H. A Meta-synthesis of Caregivers’ Experiences Transitioning from Early Intervention to Early Childhood Special Education. Early Childhood Educ. J. 2022, 50, 371–383. [Google Scholar] [CrossRef]
- Guralnick, M.J. Applying the Developmental Systems Approach to inclusive community-based early intervention programs: Process and practice. Infants Young Child. 2020, 33, 173–183. [Google Scholar] [CrossRef]
- Tollan, K.; Jezrawi, R.; Underwood, K.; Janus, M. A Review on Early Intervention Systems. Curr. Dev. Disord. Rep. 2023, 10, 147–153. [Google Scholar] [CrossRef] [PubMed]
- Underwood, K.; Frankel, E.; Parekh, G.; Janus, M. Transitioning work of families: Understanding trans-institutional power in early childhood programs and services. Except. Educ. Int. 2019, 29, 135–153. [Google Scholar] [CrossRef]
- Wang, T.M. 99-457 Public Law: Another Turning Point in the Development of Special Education in the United States. 1992. Available online: https://reurl.cc/yL1366 (accessed on 12 July 2024).
- Wright, P.W. The Individuals with Disabilities Education Improvement Act of 2004. 2004. Available online: www.wrightslaw.com/idea/idea (accessed on 30 June 2024).
- Wang, T.M. Effectiveness of a Parent Support Program for Families with Developmentally Delayed Children Aged 0 to 3 Years. Bull. Spec. Educ. 2013, 38, 1–28. [Google Scholar] [CrossRef]
- Ueda, K.; Yonemoto, N.; Bailey, D.B., Jr. Psychometric validation of the family outcomes survey-revised in Japan. Res. Dev. Disabil. 2015, 39, 55–66. [Google Scholar] [CrossRef] [PubMed]
- Poon, K.K.; Ooi, N.; Bull, R.; Bailey, D.B., Jr. Psychometric validation of the family outcome survey-revised in Singapore. Res. Dev. Disabil. 2014, 35, 1534–1543. [Google Scholar] [CrossRef]
- National Regulatory Database. The Special Education Act. 2023. Available online: https://law.moj.gov.tw/LawClass/LawAll.aspx?pcode=H0080027 (accessed on 2 April 2024).
- National Regulatory Database. The Protection of Children and Youths Welfare and Rights Act. 2021. Available online: https://reurl.cc/bV6DRy (accessed on 2 April 2024).
- Lin, Y.J. The Study of Community Based Services for Children with Developmental Delays in Low Resource Communities. Bull. Spec. Educ. 2013, 38, 1–29. [Google Scholar] [CrossRef]
- Ke, P.S.; Lin, M.H. The Study for Community Branches of Early Intervention. Community Dev. J. (Q.) 2015, 150, 223–234. Available online: https://cdj.sfaa.gov.tw/Journal/Content?gno=4896 (accessed on 25 May 2024).
- Huang, H.Y. Perceptions of Parents with Developmentally Delayed Children toward Community-based Early Intervention Services. Master’s Thesis, Providence University, Taichung, Taiwan, 2017. Available online: https://hdl.handle.net/11296/ys9mb4 (accessed on 3 April 2024).
- Hung, T.M. A Study of Collaboration on Community Based Services between Early Intervention Childhood Educators and Social Workers in Low Resource Communities. Master’s Thesis, National Taichung University of Education, Taichung, Taiwan, 2024. Available online: https://hdl.handle.net/11296/6za72z (accessed on 3 April 2024).
- Liao, H.F.; Lin, H.F.; Yang, M.H.; Su, H.C.; Lin, M.Y.; Chen, S.L.; Hwang, A.W.; Liu, W.Y.; Ko, Y.T.; Chen, C.F.; et al. The Handbook of Community-Based Childhood Early Intervention. Formos. J. Med. 2016, 20, 344–354. [Google Scholar] [CrossRef]
- Rollins, P.R.; Campbell, M.; Hoffman, R.T.; Self, K. A community-based early intervention program for toddlers with autism spectrum disorders. Autism 2016, 20, 219–232. [Google Scholar] [CrossRef]
- Pacia, C.; Holloway, J.; Gunning, C.; Lee, H. A systematic review of family-mediated social communication interventions for young children with autism. Rev. J. Autism Dev. Disord. 2022, 9, 208–234. [Google Scholar] [CrossRef]
- Smith, I.M.; Flanagan, H.E.; Garon, N.; Bryson, S.E. Effectiveness of community-based early intervention based on pivotal response treatment. J. Autism Dev. Disord. 2015, 45, 1858–1872. [Google Scholar] [CrossRef]
- Sun, S.H.; Chang, H.Y. A Pilot Study on the Current Situation of Developmentally Delayed Children’s Health Care Resources in Taiwan. Comm. Child. Bur. Minist. Inter. 2011, 1–264. Available online: http://140.128.69.63/ir/bitstream/310903500/44201/1/100301100000A1002.pdf (accessed on 17 July 2024).
- Social and Family Affairs Administration, MOHW. Development of a Home-Based Services Implementation Plan for Children with Delays. 2014. Available online: https://reurl.cc/0vz9mk (accessed on 6 May 2024).
- Ministry of the Interior. Development of a Pilot Program for Home-Based and Community-Based Care for Children with Delays (Pilot Program). 2009. Available online: https://www.rootlaw.com.tw/LawArticle.aspx?LawID=A040040061018200-0981014 (accessed on 18 June 2024).
- Social and Family Affairs Administration, MOHW. Development of a Community-Based Therapeutic Services Implementation Plan for Children with Delays. 2019. Available online: https://reurl.cc/EjKDpn (accessed on 5 July 2024).
- Hong, C.S. Community-Based Services for Children with Developmental Delay in Rural Area. Master’s Thesis, National Taipei University of Education, Taipei, Taiwan, 2014. Available online: https://hdl.handle.net/11296/cp33y4 (accessed on 3 April 2024).
- Bailey, D.B.; Wolery, M. Teaching Infants and Preschoolers with Disabilities; Prentice Hall: Hoboken, NJ, USA, 1992. [Google Scholar] [CrossRef]
- Wang, T.M. A Study on the Supply and Demand of Early Childhood Care Services for Young Children with Mental Developmental Disabilities in Taiwan and Related Issues. Bull. Spec. Educ. 1995, 14, 21–44. Available online: https://reurl.cc/jWdpvm (accessed on 22 June 2024).
- Welbourne, P. Social Work with Children and Families: Developing Advanced Practice; Routledge: London, UK, 2012. [Google Scholar] [CrossRef]
- Hsu, T.W. Introduction to Early Childhood Care. 2004. Available online: https://www.sanmin.com.tw/product/index/000397543 (accessed on 21 July 2024).
- Dunst, C.J.; Bruder, M.B. Valued outcomes of service coordination, early intervention, and natural environments. Except. Child. 2002, 68, 361–375. [Google Scholar] [CrossRef]
- McBride, S.L.; Brotherson, M.J.; Joanning, H.; Whiddon, D.; Demmitt, A. Implementation of family-centered services: Perceptions of families and professionals. J. Early Interv. 1993, 17, 414–430. [Google Scholar] [CrossRef]
- Sheckler, K. Family Centered Planning: A Case Study Exploring How It Shapes Preschool Parents’ Roles during the IEP Process. Doctoral Dissertation, California State University, Sacramento, CA, USA, 2023. Available online: https://reurl.cc/9vzybd (accessed on 28 May 2024).
- Department of Health. Early Steps Service Delivery Policy and Guidance: Delivering Service in the Routines and Daily Activities of Children with Disabilities and Their Families; Florida Department of Health-Children’s Medical Services: Tallahassee, FL, USA, 2004.
- Lin, K.S. Investigate the Effectiveness of Implementation of the Early Childhood Special Education in Taiwan. 2012. Available online: https://ah.lib.nccu.edu.tw/item?item_id=67285 (accessed on 13 June 2024).
- Smith, I.M.; Koegel, R.L.; Koegel, L.K.; Openden, D.A.; Fossum, K.L.; Bryson, S.E. Effectiveness of a novel community-based early intervention model for children with autistic spectrum disorder. Am. J. Intellect. Dev. Disabil. 2010, 115, 504–523. [Google Scholar] [CrossRef]
- Ridout, S.; Eldevik, S. Measures Used to Assess Treatment Outcomes in Children with Autism Receiving Early and Intensive Behavioral Interventions: A Review. Rev. J. Autism Dev. Disord. 2023, 1–13. [Google Scholar] [CrossRef]
- Magnacca, C.A. Mental Health and Autism Symptom Severity of Autistic Youth who Received Early Intensive Behavioural Intervention. 2023. Available online: https://hdl.handle.net/10315/41676 (accessed on 11 May 2024).
- Nahmias, A.S. Community-Based Early Intervention for Children with Autism Spectrum Disorder. Publicly Accessible Penn Dissertations. 2017. Available online: https://repository.upenn.edu/edissertations/2496 (accessed on 7 July 2024).
- Wang, Y.S. Discussion on Day Early Treatment Institution and Home Caregivers Service Predicament. Master’s Thesis, Shu-Te University, Kaohsiung, Taiwan, 2007. Available online: https://hdl.handle.net/11296/ju8m54 (accessed on 3 April 2024).
- Ko, C.S. A Case Study of Early-Intervention Home Visiting Services in Taipei County. Bull. Spec. Educ. 2009, 34, 1–24. [Google Scholar] [CrossRef]
- Lien, P.Y. The Barriers and Solutions of Home-Based Early Intervention Service Provided by Educare Givers—An Example of the Taitung Office of Taiwan Association of Child Development and Early Intervention (TACDEI). Master’s Thesis, National Dong Hwa University, Hualien, Taiwan, 2018. Available online: https://hdl.handle.net/11296/7wfwaf (accessed on 3 April 2024).
- Delan Center for Intellectual Development. Love Begins at Home Family-Centered Early Childhood Care Services. 2003. Available online: https://www.theresa.org.tw/share_publication.html (accessed on 25 June 2024).
- Horner, R.H.; Carr, E.G.; Halle, J.; McGee, G.; Odom, S.; Wolery, M. The use of single-subject research to identify evidence-based practice in special education. Except. Child. 2005, 71, 165–179. [Google Scholar] [CrossRef]
- First Social Welfare Foundation. Infant and Toddler Early Intervention Curriculum Guidelines, Taipei, Taiwan. 2004, pp. 1–47. Available online: https://reurl.cc/vap7ok (accessed on 20 May 2024).
- Thomas, G. How to Do Your Case Study. 2021, pp. 1–320. Available online: http://digital.casalini.it/9781529755916 (accessed on 16 May 2024).
- Sjoberg, G.; Orum, A.M.; Feagin, J.R. A Case for the Case Study; The University of North Carolina Press: Chapel Hill, NC, USA, 2020; Available online: https://muse.jhu.edu/pub/12/monograph/book/77227 (accessed on 4 July 2024).
- Kazdin, A.E. Single-case experimental designs: Characteristics, changes, and challenges. J. Exp. Anal. Behav. 2021, 115, 56–85. [Google Scholar] [CrossRef]
- Cope, D.G. Methods and meanings: Credibility and trustworthiness of qualitative research. Oncol. Nurs. Forum 2014, 40, 89–91. [Google Scholar] [CrossRef]
- Guba, E.G.; Lincoln, Y.S. Competing paradigms in qualitative research. Handb. Qual. Res. 1994, 2, 105. Available online: https://miguelangelmartinez.net/IMG/pdf/1994_Guba_Lincoln_Paradigms_Quali_Research_chapter.pdf (accessed on 9 July 2024).
- Adu, P. A Step-by-Step Guide to Qualitative Data Coding; Routledge: London, UK, 2019. [Google Scholar] [CrossRef]
- Baralt, M. Coding qualitative data. In Research Methods in Second Language Acquisition: A Practical Guide; John Wiley & Sons: Hoboken, NJ, USA, 2011; pp. 222–244. [Google Scholar] [CrossRef]
- Deterding, N.M.; Waters, M.C. Flexible coding of in-depth interviews: A twenty-first-century approach. Sociol. Methods Res. 2021, 50, 708–739. [Google Scholar] [CrossRef]




| Participant | Gender | Age | Education Level | Occupation/Experience |
|---|---|---|---|---|
| Mother A | Female | 34 | Bachelor | Labor |
| Mother B | Female | 35 | Senior high school | Housewife |
| Mother C | Female | 38 | Senior high school | Housewife |
| Educational aide | Female | 44 | Master | 17 years |
| Therapist | Male | 28 | Bachelor | 4 years |
| Social worker | Female | 31 | Bachelor | 9 years |
| Supervisor | Female | 31 | Bachelor | 9 years |
| Stage | A | B | M |
|---|---|---|---|
| Number | 3 | 8 | 4 |
| Trend path | — | / | / |
| Trend stability | 100% | 50% | 100% |
| Average level | 10 | 32.5 | 67.5 |
| Level range | 10–10 | 15–55 | 55–90 |
| Level stability | 100% | 25% | 25% |
| Level change | 0 | 10 | 35 |
| Stage | A/B | B/M | A/M |
|---|---|---|---|
| Trend change | / | / | / |
| Trend stability | Stable–unstable | Unstable–unstable | Stable–stable |
| Level change | 15 | 20 | 45 |
| Average level Change | 22.5 | 35 | 57.5 |
| Overlap percentage | 0% | 50% | 0% |
| Stage | A | B | M |
|---|---|---|---|
| Number | 3 | 8 | 4 |
| Trend path | — | / | / |
| Trend stability | 100% | 87.5% | 100% |
| Average level | 10 | 60.6 | 64.4 |
| Level range | 10–10 | 25–82.5 | 55–72.5 |
| Level stability | 100% | 37.5% | 100% |
| Level change | 0 | 57.5 | 17.5 |
| Stage | A/B | B/M | A/M |
|---|---|---|---|
| Trend change | / | \ | / |
| Trend stability | Stable–unstable | Unstable–stable | Stable–stable |
| Level change | 15 | −27.5 | 45 |
| Average level change | 50.6 | 3.8 | 54.4 |
| Overlap percentage | 0% | 100% | 0% |
| Stage | A | B | M |
|---|---|---|---|
| Number | 3 | 8 | 4 |
| Trend path | — | / | / |
| Trend stability | 100% | 75% | 100% |
| Average level | 20 | 56.3 | 90 |
| Level range | 20–20 | 25–85 | 85–95 |
| Level stability | 100% | 25% | 100% |
| Level change | 0 | 60 | 10 |
| Stage | A/B | B/M | A/M |
|---|---|---|---|
| Trend change | / | / | / |
| Trend stability | Stable–unstable | Unstable–stable | Stable–stable |
| Level change | 15 | 0 | 65 |
| Average level Change | 26.3 | 33.7 | 70 |
| Overlap percentage | 0% | 25% | 0% |
Disclaimer/Publisher’s Note: The statements, opinions and data contained in all publications are solely those of the individual author(s) and contributor(s) and not of MDPI and/or the editor(s). MDPI and/or the editor(s) disclaim responsibility for any injury to people or property resulting from any ideas, methods, instructions or products referred to in the content. |
© 2024 by the authors. Licensee MDPI, Basel, Switzerland. This article is an open access article distributed under the terms and conditions of the Creative Commons Attribution (CC BY) license (https://creativecommons.org/licenses/by/4.0/).
Share and Cite
Sun, S.-J.; Wang, W.-L.; Huang, W.-L.; Ho, W.-S. Exploring the Effectiveness and Challenges of Community Rehabilitation Service Programs for Children with Developmental Delays: A Qualitative Study from the Perspective of Early Intervention Service Providers in Taiwan. Children 2024, 11, 999. https://doi.org/10.3390/children11080999
Sun S-J, Wang W-L, Huang W-L, Ho W-S. Exploring the Effectiveness and Challenges of Community Rehabilitation Service Programs for Children with Developmental Delays: A Qualitative Study from the Perspective of Early Intervention Service Providers in Taiwan. Children. 2024; 11(8):999. https://doi.org/10.3390/children11080999
Chicago/Turabian StyleSun, Shu-Jou, Wei-Lin Wang, Wei-Lun Huang, and Wei-Sho Ho. 2024. "Exploring the Effectiveness and Challenges of Community Rehabilitation Service Programs for Children with Developmental Delays: A Qualitative Study from the Perspective of Early Intervention Service Providers in Taiwan" Children 11, no. 8: 999. https://doi.org/10.3390/children11080999
APA StyleSun, S.-J., Wang, W.-L., Huang, W.-L., & Ho, W.-S. (2024). Exploring the Effectiveness and Challenges of Community Rehabilitation Service Programs for Children with Developmental Delays: A Qualitative Study from the Perspective of Early Intervention Service Providers in Taiwan. Children, 11(8), 999. https://doi.org/10.3390/children11080999

