An In-Depth Look at Nutrition Support and Adequacy for Critically Ill Children with Organ Dysfunction
Abstract
1. Introduction
2. Materials and Methods
2.1. Study Design
2.2. Patients
2.3. Organ Dysfunction and Vasoactive–Inotropic Score
2.4. Nutrition Support
2.5. Statistical Analysis
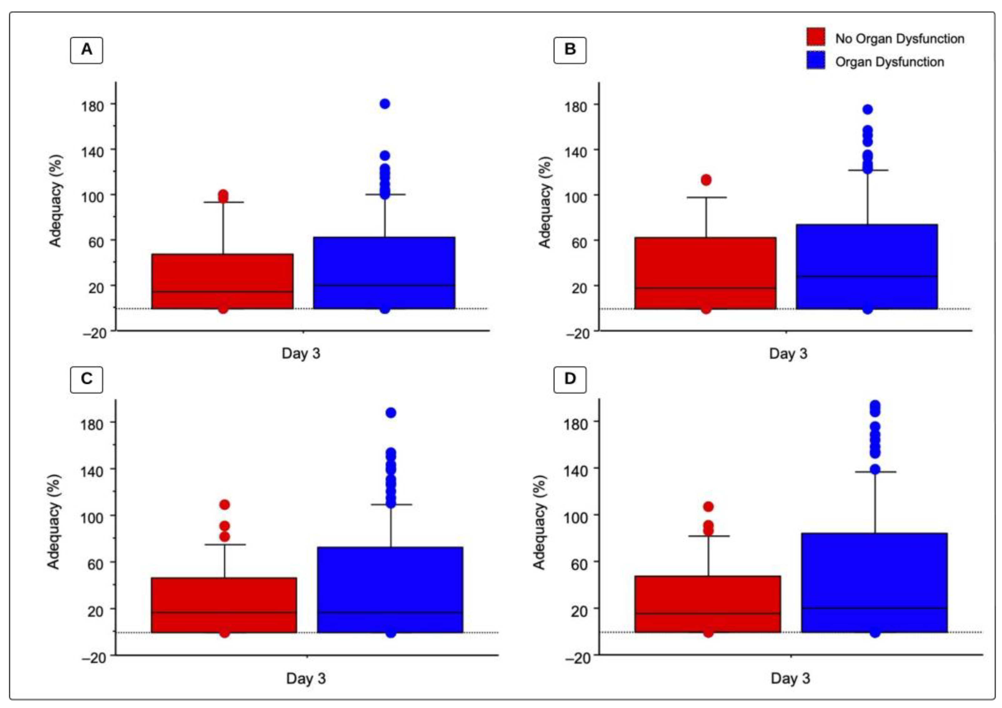
3. Results
3.1. Nutrition Support Cohort
3.2. Nutrition Support Cohort
3.3. pSOFA Score Trend and Nutrition Support
3.4. VIS and Enteral Nutrition Support
4. Discussion
5. Conclusions
Author Contributions
Funding
Institutional Review Board Statement
Informed Consent Statement
Data Availability Statement
Conflicts of Interest
References
- Orellana, R.A.; Coss-Bu, J.A. Metabolic Alterations in the Critically Ill Child. Pediatr. Med. 2021, 4, 8. [Google Scholar] [CrossRef]
- Bechard, L.J.; Parrott, J.S.; Mehta, N.M. Systematic Review of the Influence of Energy and Protein Intake on Protein Balance in Critically Ill Children. J. Pediatr. 2012, 161, 333–339.e1. [Google Scholar] [CrossRef] [PubMed]
- Joosten, K.F.M.; Kerklaan, D.; Verbruggen, S.C.A.T. Nutritional Support and the Role of the Stress Response in Critically Ill Children. Curr. Opin. Clin. Nutr. Metab. Care 2016, 19, 226–233. [Google Scholar] [CrossRef] [PubMed]
- Frankel, L.R.; Hsu, B.S.; Yeh, T.S.; Simone, S.; Agus, M.S.D.; Arca, M.J.; Coss-Bu, J.A.; Fallat, M.E.; Foland, J.; Gadepalli, S.; et al. Criteria for Critical Care Infants and Children: PICU Admission, Discharge, and Triage Practice Statement and Levels of Care Guidance. Pediatr. Crit. Care Med. 2019, 20, 847–887. [Google Scholar] [CrossRef] [PubMed]
- Mehta, N.M.; Skillman, H.E.; Irving, S.Y.; Coss-Bu, J.A.; Vermilyea, S.; Farrington, E.A.; McKeever, L.; Hall, A.M.; Goday, P.S.; Braunschweig, C. Guidelines for the Provision and Assessment of Nutrition Support Therapy in the Pediatric Critically Ill Patient: Society of Critical Care Medicine and American Society for Parenteral and Enteral Nutrition. J. Parenter. Enter. Nutr. 2017, 41, 706–742. [Google Scholar] [CrossRef] [PubMed]
- Bechard, L.J.; Duggan, C.; Touger-Decker, R.; Parrott, J.S.; Rothpletz-Puglia, P.; Byham-Gray, L.; Heyland, D.; Mehta, N.M. Nutritional Status Based on Body Mass Index Is Associated with Morbidity and Mortality in Mechanically Ventilated Critically Ill Children in the PICU. Crit. Care Med. 2016, 44, 1530–1537. [Google Scholar] [CrossRef] [PubMed]
- Bechard, L.J.; Rothpletz-Puglia, P.; Touger-Decker, R.; Duggan, C.; Mehta, N.M. Influence of Obesity on Clinical Outcomes in Hospitalized Children. JAMA Pediatr. 2013, 167, 476. [Google Scholar] [CrossRef] [PubMed]
- Mehta, N.M.; Bechard, L.J.; Cahill, N.; Wang, M.; Day, A.; Duggan, C.P.; Heyland, D.K. Nutritional Practices and Their Relationship to Clinical Outcomes in Critically Ill Children—An International Multicenter Cohort Study. Crit. Care Med. 2012, 40, 2204–2211. [Google Scholar] [CrossRef]
- Mehta, N.M.; Bechard, L.J.; Zurakowski, D.; Duggan, C.P.; Heyland, D.K. Adequate Enteral Protein Intake Is Inversely Associated with 60-d Mortality in Critically Ill Children: A Multicenter, Prospective, Cohort Study. Am. J. Clin. Nutr. 2015, 102, 199–206. [Google Scholar] [CrossRef]
- Pollack, M.M.; Ruttimann, U.E.; Wiley, J.S. Nutritional Depletions in Critically Ill Children: Associations with Physiologic Instability and Increased Quantity of Care. J. Parenter. Enter. Nutr. 1985, 9, 309–313. [Google Scholar] [CrossRef]
- Matics, T.J.; Sanchez-Pinto, L.N. Adaptation and Validation of a Pediatric Sequential Organ Failure Assessment Score and Evaluation of the Sepsis-3 Definitions in Critically Ill Children. JAMA Pediatr. 2017, 171, e172352. [Google Scholar] [CrossRef]
- Shime, N.; Kageyama, K.; Ashida, H.; Tanaka, Y. Application of Modified Sequential Organ Failure Assessment Score in Children after Cardiac Surgery. J. Cardiothorac. Vasc. Anesth. 2001, 15, 463–468. [Google Scholar] [CrossRef]
- O’Connor, C.; Munoz, F.M.; Gazzaneo, M.C.; Melicoff, E.; Das, S.; Lam, F.; Coss-Bu, J.A. Application of Organ Dysfunction Assessment Scores following Pediatric Lung Transplantation. Clin. Transplant. 2023, 37, e14863. [Google Scholar] [CrossRef] [PubMed]
- Panchal, A.K.; Manzi, J.; Connolly, S.; Christensen, M.; Wakeham, M.; Goday, P.S.; Mikhailov, T.A. Safety of Enteral Feedings in Critically Ill Children Receiving Vasoactive Agents. J. Parenter. Enter. Nutr. 2016, 40, 236–241. [Google Scholar] [CrossRef] [PubMed]
- Flordelís Lasierra, J.L.; Montejo González, J.C.; López Delgado, J.C.; Zárate Chug, P.; Martínez Lozano-Aranaga, F.; Lorencio Cárdenas, C.; Bordejé Laguna, M.L.; Maichle, S.; Terceros Almanza, L.J.; Trasmonte Martínez, M.V.; et al. Enteral Nutrition in Critically Ill Patients under Vasoactive Drug Therapy: The NUTRIVAD Study. J. Parenter. Enter. Nutr. 2022, 46, 1420–1430. [Google Scholar] [CrossRef] [PubMed]
- Otani, S.; Coopersmith, C.M. Gut Integrity in Critical Illness. J. Intensive Care 2019, 7, 17. [Google Scholar] [CrossRef]
- Srinivasan, V.; Hasbani, N.R.; Mehta, N.M.; Irving, S.Y.; Kandil, S.B.; Allen, H.C.; Typpo, K.V.; Cvijanovich, N.Z.; Faustino, E.V.S.; Wypij, D.; et al. Early Enteral Nutrition Is Associated with Improved Clinical Outcomes in Critically Ill Children: A Secondary Analysis of Nutrition Support in the Heart and Lung Failure-Pediatric Insulin Titration Trial. Pediatr. Crit. Care Med. 2020, 21, 213–221. [Google Scholar] [CrossRef] [PubMed]
- Gaies, M.; Gurney, J.; Yen, A.; Napoli, M.; Gajarski, R.; Ohye, R.; Charpie, J.; Hirsch, J. Vasoactive-Inotropic Score as a Predictor of Morbidity and Mortality in Infants after Cardiopulmonary Bypass. Pediatr. Crit. Care Med. 2010, 11, 234–238. [Google Scholar] [CrossRef]
- McClave, S.A.; Martindale, R.G.; Vanek, V.W.; McCarthy, M.; Roberts, P.; Taylor, B.; Ochoa, J.B.; Napolitano, L.; Cresci, G. Guidelines for the Provision and Assessment of Nutrition Support Therapy in the Adult Critically Ill Patient: Society of Critical Care Medicine (SCCM) and American Society for Parenteral and Enteral Nutrition (A.S.P.E.N.). J. Parenter. Enter. Nutr. 2009, 33, 277–316. [Google Scholar] [CrossRef]
- Chou, J.H.; Roumiantsev, S.; Singh, R. PediTools Electronic Growth Chart Calculators: Applications in Clinical Care, Research, and Quality Improvement. J. Med. Internet Res. 2020, 22, e16204. [Google Scholar] [CrossRef]
- Kuczmarski, R.R.J.; Ogden, C.L.C.; Guo, S.S.; Grummer-Strawn, L.M.; Flegal, K.M.; Mei, Z.; Wei, R.; Curtin, L.R.; Roche, A.F.; Johnson, C.L. CDC Growth Charts for the United States: Methods and Development; Vital and Health Statistics Series 11, Data from the National Health Survey; CDC: New York, NY, USA, 2002; Volume 246, pp. 1–190.
- Burns, J.P.; Sellers, D.E.; Meyer, E.C.; Lewis-Newby, M.; Truog, R.D. Epidemiology of Death in the PICU at Five U.S. Teaching Hospitals. Crit. Care Med. 2014, 42, 2101–2108. [Google Scholar] [CrossRef]
- Carcillo, J.A.; Kuch, B.A.; Han, Y.Y.; Day, S.; Greenwald, B.M.; McCloskey, K.A.; Pearson-Shaver, A.L.; Orr, R.A. Mortality and Functional Morbidity after Use of PALS/APLS by Community Physicians. Pediatrics 2009, 124, 500–508. [Google Scholar] [CrossRef]
- Heneghan, J.A.; Rogerson, C.; Goodman, D.M.; Hall, M.; Kohne, J.G.; Kane, J.M. Epidemiology of Pediatric Critical Care Admissions in 43 United States Children’s Hospitals, 2014–2019. Pediatr. Crit. Care Med. 2022, 23, 484–492. [Google Scholar] [CrossRef] [PubMed]
- Pollack, M.M.; Holubkov, R.; Reeder, R.; Dean, J.M.; Meert, K.L.; Berg, R.A.; Newth, C.J.; Berger, J.T.; Harrison, R.E.; Carcillo, J.; et al. PICU Length of Stay: Factors Associated with Bed Utilization and Development of a Benchmarking Model. Pediatr. Crit. Care Med. 2018, 19, 196–203. [Google Scholar] [CrossRef]
- Typpo, K.; Watson, R.S.; Bennett, T.D.; Farris, R.W.D.; Spaeder, M.C.; Petersen, N.J. Outcomes of Day 1 Multiple Organ Dysfunction Syndrome in the PICU. Pediatr. Crit. Care Med. 2019, 20, 914–922. [Google Scholar] [CrossRef]
- Watson, R.S.; Crow, S.S.; Hartman, M.E.; Lacroix, J.; Odetola, F.O. Epidemiology and Outcomes of Pediatric Multiple Organ Dysfunction Syndrome. Pediatr. Crit. Care Med. 2017, 18, S4–S16. [Google Scholar] [CrossRef]
- Brown, A.-M.; Carpenter, D.; Keller, G.; Morgan, S.; Irving, S.Y. Nursing in the Pediatric Intensive Care Unit: Enteral Nutrition in the PICU: Current Status and Ongoing Challenges. J. Pediatr. Intensive Care 2015, 4, 111. [Google Scholar] [CrossRef] [PubMed]
- Bechard, L.J.; Zurakowski, D.; Staffa, S.J.; Mehta, N.M. Time to Achieve Delivery of Nutrition Targets Is Associated with Clinical Outcomes in Critically Ill Children. Am. J. Clin. Nutr. 2021, 114, 1859–1867. [Google Scholar] [CrossRef] [PubMed]
- Mehta, N.M.; Bechard, L.J.; Leavitt, K.; Duggan, C. Cumulative Energy Imbalance in the Pediatric Intensive Care Unit: Role of Targeted Indirect Calorimetry. J. Parenter. Enter. Nutr. 2009, 33, 336–344. [Google Scholar] [CrossRef]
- Mehta, N.M.; Bechard, L.J.; Dolan, M.; Ariagno, K.; Jiang, H.; Duggan, C. Energy Imbalance and the Risk of Overfeeding in Critically Ill Children. Pediatr. Crit. Care Med. 2011, 12, 398–405. [Google Scholar] [CrossRef]
- Fivez, T.; Kerklaan, D.; Mesotten, D.; Verbruggen, S.; Wouters, P.J.; Vanhorebeek, I.; Debaveye, Y.; Vlasselaers, D.; Desmet, L.; Casaer, M.P.; et al. Early versus Late Parenteral Nutrition in Critically Ill Children. N. Engl. J. Med. 2016, 374, 1111–1122. [Google Scholar] [CrossRef] [PubMed]
- Saleh, N.Y.; Aboelghar, H.M.; Abdelaty, N.B.; Garib, M.I.; Mahmoud, A.A. Timing of Parenteral Nutrition Initiation in Critically Ill Children: A Randomized Clinical Trial. Clin. Exp. Pediatr. 2023, 66, 403–411. [Google Scholar] [CrossRef] [PubMed]
- Botrán, M.; López-Herce, J.; Mencía, S.; Urbano, J.; Solana, M.J.; García, A. Enteral Nutrition in the Critically Ill Child: Comparison of Standard and Protein-Enriched Diets. J. Pediatr. 2011, 159, 27–32.e1. [Google Scholar] [CrossRef] [PubMed]
- Coss-Bu, J.A.; Hamilton-Reeves, J.; Patel, J.J.; Morris, C.R.; Hurt, R.T. Protein Requirements of the Critically Ill Pediatric Patient. Nutr. Clin. Pract. 2017, 32, 128S–141S. [Google Scholar] [CrossRef] [PubMed]
- Doctor, A.; Zimmerman, J.; Agus, M.; Rajasekaran, S.; Wardenburg, J.B.; Fortenberry, J.; Zajicek, A.; Mairson, E.; Typpo, K. Pediatric Multiple Organ Dysfunction Syndrome: Promising Therapies. Pediatr. Crit. Care Med. 2017, 18, S67–S82. [Google Scholar] [CrossRef] [PubMed]
- Fell, D.M.; Bitetto, E.A.; Skillman, H.E. Timing of Enteral Nutrition and Parenteral Nutrition in the PICU. Nutr. Clin. Pract. 2023, 38, S174–S212. [Google Scholar] [CrossRef] [PubMed]
- Khorasani, E.N.; Mansouri, F. Effect of Early Enteral Nutrition on Morbidity and Mortality in Children with Burns. Burns 2010, 36, 1067–1071. [Google Scholar] [CrossRef]
- Mikhailov, T.A.; Kuhn, E.M.; Manzi, J.; Christensen, M.; Collins, M.; Brown, A.M.; Dechert, R.; Scanlon, M.C.; Wakeham, M.K.; Goday, P.S. Early Enteral Nutrition Is Associated with Lower Mortality in Critically Ill Children. J. Parenter. Enter. Nutr. 2014, 38, 459–466. [Google Scholar] [CrossRef]



| All PICU Admissions | n = 1283 |
|---|---|
| Age (years) | 2.83 (0.62–10) |
| Weight (kg) | 13.4 (7.3–31.6) |
| Female/male | 554/729 |
| BMI/A z-score | 0.11 ± 1.90 (SD) |
| Prevalence of acute malnutrition, n (%) | 135 (10.5) |
| Prevalence of normal nutritional status, n (%) | 974 (75.9) |
| Prevalence of obesity, n (%) | 174 (13.6) |
| PIM2, ROM (%) | 3.1 (0.87–4.5) |
| pSOFA score day 1 | 5 (4–7) |
| Prevalence of organ dysfunction day 1, n (%) | 843 (65.7) |
| pSOFA score day 3 | 5 (3–7) |
| Prevalence of organ dysfunction day 3, n (%) | 729 (56.8) |
| Mechanical ventilation upon admission, n (%) | 941 (73.3) |
| Mechanical ventilation (hours) | 143 (80–249) |
| PICU LOS (days) | 6.7 (4.4–11) |
| Hospital LOS (days) | 18 (10–33) |
| Mortality, n (%) | 89 (6.94) |
| Nutrition Support Cohort | n = 164 |
|---|---|
| Age (years) | 11.72 (7.73–15.4) |
| Weight (kg) | 36.8 (23.3–55.3) |
| Female/male | 74/90 |
| BMI/A z-score | 0.30 ± 1.65 (SD) |
| Prevalence of acute malnutrition, n (%) | 13 (7.9) |
| Prevalence of normal nutritional status, n (%) | 129 (78.7) |
| Prevalence of obesity, n (%) | 22 (13.4) |
| PIM2, ROM (%) | 3.71 (2.83–6.35) |
| pSOFA score day 1 | 7.5 (5–10) |
| Prevalence of organ dysfunction day 1, n (%) | 130 (79.3) |
| pSOFA score day 3 | 7 (5–9) |
| Prevalence of organ dysfunction day 3, n (%) | 129 (78.7) |
| Vasoactive–inotropic score day 1 | 0 (0–10) |
| Vasoactive–inotropic score day 3 | 0 (0–4.8) |
| Mechanical ventilation on admission, n (%) | 131 (79.9) |
| Mechanical ventilation (hours) | 223 (157–392) |
| PICU LOS (days) | 11.93 (9.4–20) |
| Hospital LOS (days) | 29.5 (19–53) |
| Mortality, n (%) | 20 (12.2) |
| n = 164 | Caloric Intake (kcal/kg/day) | Caloric Adequacy (%) | Protein Intake (g/kg/day) | Protein Adequacy (%) | ||||
|---|---|---|---|---|---|---|---|---|
| Total | Enteral | Total | Enteral | Total | Enteral | Total | Enteral | |
| Day 1 | 4 ± 11 * | 2 ± 8 * | 0 (0–0) | 0 (0–0) | 0.18 ± 0.48 * | 0.06 ± 0.23 * | 0 (0–0) | 0 (0–0) |
| Day 3 | 15 ± 19 * | 7 ± 16 * | 19 (0–60) | 0 (0–15) | 0.64 ± 0.81 * | 0.25 ± 0.55 * | 16 (0–70) | 0 (0–13) |
| Day 5 | 28 ± 22 * | 12 ± 20 * | 65 (26–100) | 2 (0–44) | 1.22 ± 0.95 * | 0.44 ± 0.69 * | 69 (25–105) | 2 (0–46) |
| Day 7 | 31 ± 22 * | 15 ± 22 * | 74 (42–104) | 6 (0–71) | 1.46 ± 1.04 * | 0.60 ± 0.85 * | 83 (45–124) | 6 (0–64) |
| Caloric prescription by a dietitian: 44 ± 17 kcal/kg/day | Protein prescription by a dietitian: 1.70 ± 0.42 g/kg/day | |||||||
| n = 164 | Calories (kcal/kg/day) | Protein (g/kg/day) | ||
|---|---|---|---|---|
| Day 1 | Day 3 | Day 1 | Day 3 | |
| Organ dysfunction | 0 (0–0) | 9.3 (0–25.1) | 0 (0–0) | 0.30 (0–1.27) |
| No organ dysfunction | 0 (0–0) | 5.5 (0–19.4) | 0 (0–0) | 0.24 (0–0.72) |
| n = 164 | Enteral Caloric Adequacy (%) | Enteral Protein Adequacy (%) |
|---|---|---|
| VIS trending upward (n = 26) | 0 (0–0) | 0 (0–0) |
| VIS trending downward (n = 46) | 0 (0–0) | 0 (0–0) |
| VIS unchanged (n = 92) | 0.56 (0–25) * | 0.48 (0–26) ** |
Disclaimer/Publisher’s Note: The statements, opinions and data contained in all publications are solely those of the individual author(s) and contributor(s) and not of MDPI and/or the editor(s). MDPI and/or the editor(s) disclaim responsibility for any injury to people or property resulting from any ideas, methods, instructions or products referred to in the content. |
© 2024 by the authors. Licensee MDPI, Basel, Switzerland. This article is an open access article distributed under the terms and conditions of the Creative Commons Attribution (CC BY) license (https://creativecommons.org/licenses/by/4.0/).
Share and Cite
Knebusch, N.; Hong-Zhu, P.; Mansour, M.; Daughtry, J.N.; Fogarty, T.P.; Stein, F.; Coss-Bu, J.A. An In-Depth Look at Nutrition Support and Adequacy for Critically Ill Children with Organ Dysfunction. Children 2024, 11, 709. https://doi.org/10.3390/children11060709
Knebusch N, Hong-Zhu P, Mansour M, Daughtry JN, Fogarty TP, Stein F, Coss-Bu JA. An In-Depth Look at Nutrition Support and Adequacy for Critically Ill Children with Organ Dysfunction. Children. 2024; 11(6):709. https://doi.org/10.3390/children11060709
Chicago/Turabian StyleKnebusch, Nicole, Paola Hong-Zhu, Marwa Mansour, Jennifer N. Daughtry, Thomas P. Fogarty, Fernando Stein, and Jorge A. Coss-Bu. 2024. "An In-Depth Look at Nutrition Support and Adequacy for Critically Ill Children with Organ Dysfunction" Children 11, no. 6: 709. https://doi.org/10.3390/children11060709
APA StyleKnebusch, N., Hong-Zhu, P., Mansour, M., Daughtry, J. N., Fogarty, T. P., Stein, F., & Coss-Bu, J. A. (2024). An In-Depth Look at Nutrition Support and Adequacy for Critically Ill Children with Organ Dysfunction. Children, 11(6), 709. https://doi.org/10.3390/children11060709

