Experimental Pain Sensitivity and Parental Pain Catastrophizing
Abstract
1. Introduction
2. Materials and Methods
2.1. Participants
2.2. Experimental Procedure
2.2.1. Questionnaires
Pain Catastrophizing Scale (PCS)
Pubertal Developmental Scale (PDS)
2.2.2. Experimental Pain Tests
Temporal Summation Paradigm
Conditioned Pain Modulation (CPM) Paradigms
Offset Analgesia (OA) Paradigm
Cold Pain Tolerance
2.3. Statistical Analysis
3. Results
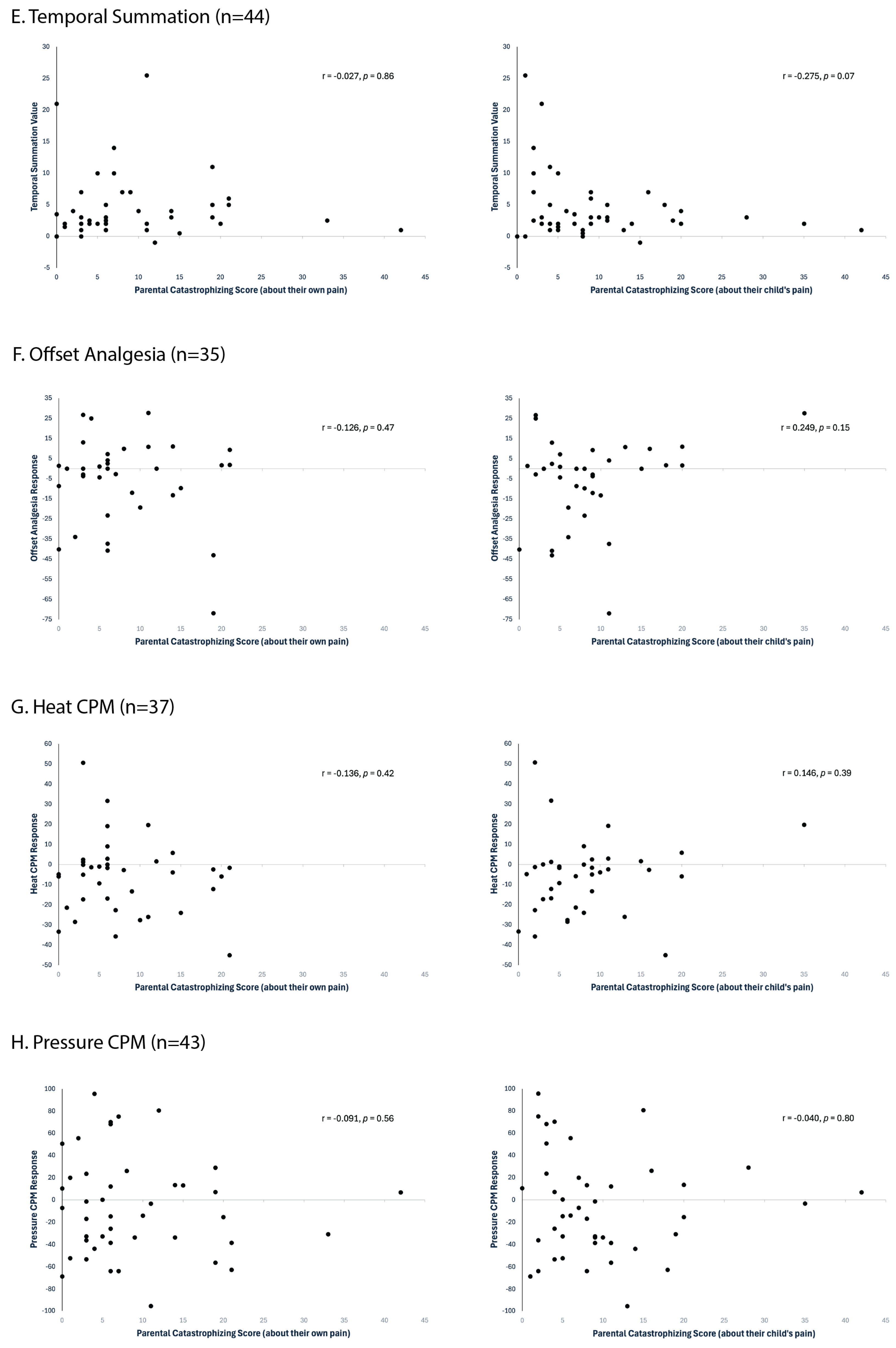
3.1. Relationships Between Parental Pain Catastrophizing and Child’s Experimental Pain Sensitivity
3.2. Family History of Psychiatric Disorder
4. Discussion
Study Strengths and Limitations
5. Conclusions
Supplementary Materials
Author Contributions
Funding
Institutional Review Board Statement
Informed Consent Statement
Data Availability Statement
Conflicts of Interest
References
- Fillingim, R.B. Individual differences in pain: Understanding the mosaic that makes pain personal. Pain 2017, 158, S11–S18. [Google Scholar] [CrossRef]
- Landry, B.W.; Fischer, P.R.; Driscoll, S.W.; Koch, K.M.; Harbeck-Weber, C.; Mack, K.J.; Wilder, R.T.; Bauer, B.A.; Brandenburg, J.E. Managing chronic pain in children and adolescents: A clinical review. PMR 2015, 7, S295–S315. [Google Scholar] [CrossRef] [PubMed]
- Tsao, J.C.; Lu, Q.; Myers, C.D.; Kim, S.C.; Turk, N.; Zeltzer, L.K. Parent and child anxiety sensitivity: Relationship to children’s experimental pain responsivity. J. Pain 2006, 7, 319–326. [Google Scholar] [CrossRef] [PubMed]
- Boerner, K.E.; Chambers, C.T.; McGrath, P.J.; LoLordo, V.; Uher, R. The effect of parental modeling on child pain responses: The role of parent and child sex. J. Pain 2017, 18, 702–715. [Google Scholar] [CrossRef]
- Sullivan, M.J.; Tripp, D.A. Pain catastrophizing: Controversies, misconceptions and future directions. J. Pain 2024, 25, 575–587. [Google Scholar] [CrossRef] [PubMed]
- Riddle, D.L.; Macfarlane, G.J.; Hamilton, D.F.; Beasley, M.; Dumenci, L. Cross-validation of good versus poor self-reported outcome trajectory types following knee arthroplasty. Osteoarthr. Cartil. 2022, 30, 61–68. [Google Scholar] [CrossRef]
- Feinstein, A.B.; Sturgeon, J.A.; Darnall, B.D.; Dunn, A.L.; Rico, T.; Kao, M.C.; Bhandari, R.P. The effect of pain catastrophizing on outcomes: A developmental perspective across children, adolescents, and young adults with chronic pain. J. Pain 2017, 18, 144–154. [Google Scholar] [CrossRef]
- Craner, J.R.; Sperry, J.A.; Evans, M.M. The relationship between pain catastrophizing and outcomes of a 3-week comprehensive pain rehabilitation program. Pain Med. 2016, 17, 2026–2035. [Google Scholar] [CrossRef]
- Campbell, C.M.; McCauley, L.; Bounds, S.C.; Mathur, V.A.; Conn, L.; Simango, M.; Edwards, R.R.; Fontaine, K.R. Changes in pain catastrophizing predict later changes in fibromyalgia clinical and experimental pain report: Cross-lagged panel analyses of dispositional and situational catastrophizing. Arthritis Res. Ther. 2012, 14, R231. [Google Scholar] [CrossRef]
- Edwards, R.R.; Smith, M.T.; Stonerock, G.; Haythornthwaite, J.A. Pain-related catastrophizing in healthy women is associated with greater temporal summation of and reduced habituation to thermal pain. Clin. J. Pain 2006, 22, 730–737. [Google Scholar] [CrossRef] [PubMed]
- Weissman-Fogel, I.; Sprecher, E.; Pud, D. Effects of catastrophizing on pain perception and pain modulation. Exp. Brain Res. 2008, 186, 79–85. [Google Scholar] [CrossRef]
- Trost, Z.; Strachan, E.; Sullivan, M.; Vervoort, T.; Avery, A.R.; Afari, N. Heritability of pain catastrophizing and associations with experimental pain outcomes: A twin study. Pain 2015, 156, 514–520. [Google Scholar] [CrossRef] [PubMed]
- Genizi, J.; Halevy, A.; Schertz, M.; Osman, K.; Assaf, N.; Segal, I.; Srugo, I.; Kessel, A.; Engel-Yeger, B. Sensory processing patterns affect headache severity among adolescents with migraine. J. Headache Pain 2020, 21, 48. [Google Scholar] [CrossRef] [PubMed]
- Pistoia, F.; Salfi, F.; Saporito, G.; Ornello, R.; Frattale, I.; D’Aurizio, G.; Tempesta, D.; Ferrara, M.; Sacco, S. Behavioral and psychological factors in individuals with migraine without psychiatric comorbidities. J. Headache Pain 2022, 23, 110–119. [Google Scholar] [CrossRef] [PubMed]
- Racine, M.; Moulin, D.E.; Nielson, W.R.; Morley-Forster, P.K.; Lynch, M.; Clark, A.J.; Stitt, L.; Gordon, A.; Nathan, H.; Smyth, C.; et al. The reciprocal associations between catastrophizing and pain outcomes in patients being treated for neuropathic pain: A cross-lagged panel analysis study. Pain 2016, 157, 1946–1953. [Google Scholar] [CrossRef]
- Kjøgx, H.; Kasch, H.; Zachariae, R.; Svensson, P.; Jensen, T.S.; Vase, L. Experimental manipulations of pain catastrophizing influence pain levels in patients with chronic pain and healthy volunteers. Pain 2016, 157, 1287–1296. [Google Scholar] [CrossRef] [PubMed]
- Crawford, A.; Muere, A.; Tripp, D.A.; Nickel, J.C.; Doiron, R.C.; Moldwin, R.; Katz, L. The chicken or the egg: Longitudinal changes in pain and catastrophizing in women with interstitial cystitis/bladder pain syndrome. Can. Urol. Assoc. J. 2021, 15, 326. [Google Scholar] [CrossRef]
- Taub, C.J.; Sturgeon, J.A.; Johnson, K.A.; Mackey, S.C.; Darnall, B.D. Effects of a pain catastrophizing induction on sensory testing in women with chronic low back pain: A pilot study. Pain Res. Manag. 2017, 2017, 7892494. [Google Scholar] [CrossRef] [PubMed]
- Bushnell, M.C.; Čeko, M.; Low, L.A. Cognitive and emotional control of pain and its disruption in chronic pain. Nat. Rev. Neurosci. 2013, 14, 502–511. [Google Scholar] [CrossRef]
- Traxler, J.; Hanssen, M.M.; Lautenbacher, S.; Ottawa, F.; Peters, M.L. General versus pain-specific cognitions: Pain catastrophizing but not optimism influences conditioned pain modulation. Eur. J. Pain 2019, 23, 150–159. [Google Scholar] [CrossRef] [PubMed]
- Pressman, A.J.; Peterlin, B.L.; Tompkins, D.A.; Salas, R.E.; Buenaver, L.F.; Haythornthwaite, J.A.; Campbell, C.M. Pain catastrophizing may moderate the association between pain and secondary hyperalgesia. J. Appl. Biobehav. Res. 2017, 22, e12096. [Google Scholar] [CrossRef]
- Vase, L.; Nikolajsen, L.; Christensen, B.; Egsgaard, L.L.; Arendt-Nielsen, L.; Svensson, P.; Jensen, T.S. Cognitive-emotional sensitization contributes to wind-up-like pain in phantom limb pain patients. Pain 2011, 152, 157–162. [Google Scholar] [CrossRef] [PubMed]
- Besen, E.; Gaines, B.; Linton, S.J.; Shaw, W.S. The role of pain catastrophizing as a mediator in the work disability process following acute low back pain. J. Appl. Biobehav. Res. 2017, 22, e12085. [Google Scholar] [CrossRef]
- Rogers, A.H.; Farris, S.G. A meta-analysis of the associations of elements of the fear-avoidance model of chronic pain with negative affect, depression, anxiety, pain-related disability and pain intensity. Eur. J. Pain 2022, 26, 1611–1635. [Google Scholar] [CrossRef] [PubMed]
- Rabbitts, J.A.; Fisher, E.; Rosenbloom, B.N.; Palermo, T.M. Prevalence and predictors of chronic postsurgical pain in children: A systematic review and meta-analysis. J. Pain 2017, 18, 605–614. [Google Scholar] [CrossRef]
- Chow, C.H.; Yu, C.; Yu, W.; Yeung, K.; Schmidt, L.A.; Buckley, N. Risk and protective factors in predicting pediatric acute postsurgical pain: A systematic review and meta-analysis. Health Psychol. 2023, 42, 723–734. [Google Scholar] [CrossRef] [PubMed]
- Caes, L.; Vervoort, T.; Eccleston, C.; Vandenhende, M.; Goubert, L. Parental catastrophizing about child’s pain and its relationship with activity restriction: The mediating role of parental distress. Pain 2011, 152, 212–222. [Google Scholar] [CrossRef] [PubMed]
- Neville, A.; Griep, Y.; Palermo, T.M.; Vervoort, T.; Schulte, F.; Yeates, K.O.; Sumpton, J.E.; Mychasiuk, R.; Noel, M.A. “dyadic dance”: Pain catastrophizing moderates the daily relationships between parent mood and protective responses and child chronic pain. Pain 2020, 161, 1072–1082. [Google Scholar] [CrossRef] [PubMed]
- Palermo, T.M.; Valrie, C.R.; Karlson, C.W. Family and parent influences on pediatric chronic pain: A developmental perspective. Am. Psychol. 2014, 69, 142. [Google Scholar] [CrossRef] [PubMed]
- Stone, A.L.; Wilson, A.C. Transmission of risk from parents with chronic pain to offspring: An integrative conceptual model. Pain 2016, 157, 2628. [Google Scholar] [CrossRef]
- Higgins, K.S.; Birnie, K.A.; Chambers, C.T.; Wilson, A.C.; Caes, L.; Clark, A.J.; Lynch, M.; Stinson, J.; Campbell-Yeo, M. Offspring of parents with chronic pain: A systematic review and meta-analysis of pain, health, psychological, and family outcomes. Pain 2015, 156, 2256–2266. [Google Scholar] [CrossRef] [PubMed]
- Wilson, A.C.; Holley, A.L.; Stone, A.; Fales, J.L.; Palermo, T.M. Pain, physical, and psychosocial functioning in adolescents at risk for developing chronic pain: A longitudinal case-control Stusdy. J. Pain 2020, 21, 418–429. [Google Scholar] [CrossRef]
- Sullivan, M.J.; Bishop, S.R.; Pivik, J. The pain catastrophizing scale: Development and validation. Psychol. Assess. 1995, 7, 524. [Google Scholar] [CrossRef]
- Goubert, L.; Eccleston, C.; Vervoort, T.; Jordan, A.; Crombez, G. Parental catastrophizing about their child’s pain. The parent version of the Pain Catastrophizing Scale (PCS-P): A preliminary validation. Pain 2006, 123, 254–263. [Google Scholar] [CrossRef] [PubMed]
- Crombez, G.; Bijttebier, P.; Eccleston, C.; Mascagni, T.; Mertens, G.; Goubert, L.; Verstraeten, K. The child version of the pain catastrophizing scale (PCS-C): A preliminary validation. Pain 2003, 104, 639–646. [Google Scholar] [CrossRef] [PubMed]
- Petersen, A.C.; Crockett, L.; Richards, M.; Boxer, A. A self-report measure of pubertal status: Reliability, validity, and initial norms. J. Youth Adolesc. 1988, 17, 117–133. [Google Scholar] [CrossRef] [PubMed]
- Schmitz, A.K.; Vierhaus, M.; Lohaus, A. Pain tolerance in children and adolescents: Sex differences and psychosocial influences on pain threshold and endurance. Eur. J. Pain 2013, 17, 124–131. [Google Scholar] [CrossRef]
- Nahman-Averbuch, H.; Li, R.; Boerner, K.E.; Lewis, C.; Garwood, S.; Palermo, T.M.; Jordan, A. Alterations in pain during adolescence and puberty. Trends Neurosci. 2023, 46, 307–317. [Google Scholar] [CrossRef] [PubMed]
- Kielstra, S.C.; Reezigt, R.R.; Coppieters, M.W.; de Vries, R.; Arendt-Nielsen, L.; Petersen, K.K.; Yarnitsky, D.; Scholten-Peeters, G.G. A myriad of methods to determine temporal summation of pain in people with musculoskeletal pain and healthy participants: A scoping review. Pain Rep. 2024, 9, e1176. [Google Scholar] [CrossRef] [PubMed]
- Nahman-Averbuch, H.; Granovsky, Y.; Coghill, R.C.; Yarnitsky, D.; Sprecher, E.; Weissman-Fogel, I. Waning of “conditioned pain modulation”: A novel expression of subtle pronociception in migraine. Headache J. Head Face Pain 2013, 53, 1104–1115. [Google Scholar] [CrossRef]
- Yarnitsky, D.; Bouhassira, D.; Drewes, A.M.; Fillingim, R.B.; Granot, M.; Hansson, P.; Landau, R.; Marchand, S.; Matre, D.; Nilsen, K.B.; et al. Recommendations on practice of conditioned pain modulation (CPM) testing. Eur. J. Pain 2015, 19, 805–806. [Google Scholar] [CrossRef] [PubMed]
- Nahman-Averbuch, H.; Martucci, K.T.; Granovsky, Y.; Weissman-Fogel, I.; Yarnitsky, D.; Coghill, R.C. Distinct brain mechanisms support spatial vs temporal filtering of nociceptive information. Pain 2014, 155, 2491–2501. [Google Scholar] [CrossRef]
- Ligato, D.; Petersen, K.K.; Mørch, C.D.; Arendt-Nielsen, L. Offset analgesia: The role of peripheral and central mechanisms. Eur. J. Pain 2018, 22, 142–149. [Google Scholar] [CrossRef]
- Pagé, M.G.; Campbell, F.; Isaac, L.; Stinson, J.; Katz, J. Parental risk factors for the development of pediatric acute and chronic postsurgical pain: A longitudinal study. J. Pain Res. 2013, 6, 727–741. [Google Scholar] [CrossRef] [PubMed]
- Dougherty, B.L.; Zelikovsky, N.; Miller, K.S.; Rodriguez, D.; Armstrong, S.L.; Sherry, D.D. Longitudinal impact of parental catastrophizing on child functional disability in pediatric amplified pain. J. Pediatr. Psychol. 2021, 46, 474–484. [Google Scholar] [PubMed]
- Wilson, A.C.; Moss, A.; Palermo, T.M.; Fales, J.L. Parent pain and catastrophizing are associated with pain, somatic symptoms, and pain-related disability among early adolescents. J. Pediatr. Psychol. 2014, 39, 418–426. [Google Scholar] [CrossRef]
- Wheeler, C.H.; Williams, A.C.de.C.; Morley, S.J. Meta-analysis of the psychometric properties of the Pain Catastrophizing Scale and associations with participant characteristics. Pain 2019, 160, 1946–1953. [Google Scholar] [CrossRef] [PubMed]
- Kraljevic, S.; Banozic, A.; Maric, A.; Cosic, A.; Sapunar, D.; Puljak, L. Parents’ pain catastrophizing is related to pain catastrophizing of their adult children. Int. J. Behav. Med. 2012, 19, 115–119. [Google Scholar] [CrossRef] [PubMed]
- Pas, R.; Rheel, E.; Van Oosterwijck, S.; Leysen, L.; Van De Vijver, E.; Nijs, J.; Ickmans, K.; Meeus, M. Endogenous pain modulation in children with functional abdominal pain disorders. Pain 2019, 160, 1883–1890. [Google Scholar] [CrossRef]
- Pielech, M.; Ryan, M.; Logan, D.; Kaczynski, K.; White, M.T.; Simons, L.E. Pain catastrophizing in children with chronic pain and their parents: Proposed clinical reference points and reexamination of the Pain Catastrophizing Scale measure. Pain 2014, 155, 2360–2367. [Google Scholar] [CrossRef] [PubMed]
- Akbarzadeh, G.; Daniali, H.; Javdzadh, M.; Line, C.A.E.S.; Ranjbar, S.; Habibi, M. The relationship of parental pain catastrophizing with parents reports of children’s anxiety, depression, and headache severity. Iran. J. Child. Neurol. 2018, 12, 55. [Google Scholar] [PubMed]
- Nahman-Averbuch, H.; Nir, R.R.; Sprecher, E.; Yarnitsky, D. Psychological factors and conditioned pain modulation. Clin. J. Pain 2016, 32, 541–554. [Google Scholar] [CrossRef]
- Nahman-Averbuch, H.; Yarnitsky, D.; Granovsky, Y.; Gerber, E.; Dagul, P.; Granot, M. The role of stimulation parameters on the conditioned pain modulation response. Scand. J. Pain 2013, 4, 10–14. [Google Scholar] [CrossRef] [PubMed]
- Imai, Y.; Petersen, K.K.; Mørch, C.D.; Arendt Nielsen, L. Comparing test–retest reliability and magnitude of conditioned pain modulation using different combinations of test and conditioning stimuli. Somatosens. Mot. Res. 2016, 33, 169–177. [Google Scholar] [CrossRef] [PubMed]
- Kennedy, D.L.; Kemp, H.I.; Ridout, D.; Yarnitsky, D.; Rice, A.S. Reliability of conditioned pain modulation: A systematic review. Pain 2016, 157, 2410–2419. [Google Scholar] [CrossRef]
- Wallrath, M.K.; Geremek, A.; Rubel, J.; Lindner, C.; Hechler, T. Parental responses to child pain: The role of parental and child somatic and anxiety symptoms. Schmerz Berl. Ger. 2021, 36, 39–48. [Google Scholar]
- Sweeney, S.; Wilson, C. Parental anxiety and offspring development: A systematic review. J. Affect. Disord. 2023, 327, 64–78. [Google Scholar] [CrossRef]
- Li, D.J.; Chen, M.H.; Bai, Y.M.; Tsai, S.J.; Cheng, C.M.; Su, T.P.; Chen, T.J.; Yeh, T.C.; Liang, C.S. Parental post-traumatic stress disorder and increased risk of chronic pain conditions and major psychiatric disorders in their offspring. Gen. Hosp. Psychiatry 2022, 79, 152–157. [Google Scholar] [CrossRef]
- Suess, H.; Wiegand-Grefe, S.; Adema, B.; Daubmann, A.; Kilian, R.; Zapf, A.; Winter, S.M.; Lambert, M.; Wegscheider, K.; Busmann, M. Clinical trial data: Both parents having psychiatric symptoms as risk factor for children’s mental illness. Children 2022, 9, 1697. [Google Scholar] [CrossRef] [PubMed]
- Ayano, G.; Betts, K.; Maravilla, J.C.; Alati, R. The risk of anxiety disorders in children of parents with severe psychiatric disorders: A systematic review and meta-analysis. J. Affect. Disord. 2021, 282, 472–487. [Google Scholar] [CrossRef]
- Tegethoff, M.; Belardi, A.; Stalujanis, E.; Meinlschmidt, G. Comorbidity of mental disorders and chronic pain: Chronology of onset in adolescents of a national representative cohort. J. Pain 2015, 16, 1054–1064. [Google Scholar] [CrossRef]
- Hechler, T.; Vervoort, T.; Hamann, M.; Tietze, A.L.; Vocks, S.; Goubert, L.; Hermann, C.; Wager, J.; Blankenburg, M.; Schroeder, S.; et al. Parental catastrophizing about their child’s chronic pain: Are mothers and fathers different? Eur. J. Pain 2011, 15, 515.e1–515.e9. [Google Scholar] [PubMed]
- Benjamin, J.Z.; Harbeck-Weber, C.; Sim, L. Pain is a family matter: Quality of life in mothers and fathers of youth with chronic pain. Child Care Health Dev. 2019, 45, 440–447. [Google Scholar] [CrossRef]


| Estimate (SE) | β | 95% CI (Lower, Upper) | p | |
|---|---|---|---|---|
| Heat Pain Intensity Ratings, n = 38 | ||||
| Model 1 (R2 = 0.070, Cohen’s f2 = 0.075) | ||||
| PCS-Parent | 1.126 (0.71) | 0.267 | −0.31, 2.56 | 0.120 |
| PCS-Child | −0.077 (0.49) | −0.026 | −1.08, 0.93 | 0.876 |
| PDS | −0.189 (6.26) | −0.005 | −12.91, 12.53 | 0.976 |
| Model 2 (R2 = 0.003, Cohen’s f2 = 0.003) | ||||
| PCS-Parentchild | −0.175 (0.62) | −0.049 | −1.44, 1.09 | 0.780 |
| PCS-Child | 0.037 (0.51) | 0.013 | −0.99, 1.07 | 0.943 |
| PDS | −1.389 (6.54) | −0.037 | −14.68, 11.90 | 0.833 |
| Cold Pain Intensity Ratings, n = 44 | ||||
| Model 1 (R2 = 0.127, Cohen’s f2 = 0.145) | ||||
| PCS-Parent | −0.270 (0.46) | −0.087 | −1.20, 0.66 | 0.562 |
| PCS-Child | 0.900 (0.43) | 0.311 | 0.03, 1.77 | 0.043 * |
| PDS | 4.230 (5.72) | 0.110 | −7.33, 15.79 | 0.464 |
| Model 2 (R2 = 0.168, Cohen’s f2 = 0.202) | ||||
| PCS-Parentchild | −0.686 (0.45) | −0.220 | −1.60, 0.23 | 0.136 |
| PCS-Child | 0.870 (0.42) | 0.301 | 0.02, 1.72 | 0.045 * |
| PDS | 3.680 (5.61) | 0.096 | −7.64, 15.00 | 0.515 |
| Cold Pain Tolerance Duration, n = 44 | ||||
| Model 1 (R2 = 0.112, Cohen’s f2 = 0.126) | ||||
| PCS-Parent | −1.423 (0.77) | −0.275 | −2.98, 0.14 | 0.073 |
| PCS-Child | −0.916 (0.72) | −0.191 | −2.37, 0.54 | 0.210 |
| PDS | −4.247 (9.56) | −0.067 | −23.56, 15.07 | 0.660 |
| Model 2 (R2 = 0.069, Cohen’s f2 = 0.074) | ||||
| PCS-Parentchild | −0.932 (0.79) | −0.181 | −2.53, 0.67 | 0.245 |
| PCS-Child | −0.902 (0.74) | −0.188 | −2.39, 0.59 | 0.228 |
| PDS | −4.536 (9.81) | −0.071 | −24.36, 15.29 | 0.646 |
| Pressure Pain Threshold, n = 44 | ||||
| Model 1 (R2 = 0.036, Cohen’s f2 = 0.037) | ||||
| PCS-Parent | −0.056 (1.28) | −0.007 | −2.65, 2.53 | 0.966 |
| PCS-Child | 0.204 (1.19) | 0.027 | −2.21, 2.61 | 0.865 |
| PDS | 18.431 (15.87) | 0.182 | −13.64, 50.50 | 0.252 |
| Model 2 (R2 = 0.036, Cohen’s f2 = 0.037) | ||||
| PCS-Parentchild | −0.309 (1.28) | −0.038 | −2.90, 2.28 | 0.810 |
| PCS-Child | 0.187 (1.19) | 0.025 | −2.22, 2.60 | 0.876 |
| PDS | 18.155 (15.89) | 0.179 | −13.97, 50.28 | 0.260 |
| Temporal Summation, n = 44 | ||||
| Model 1 (R2 = 0.082, Cohen’s f2 = 0.089) | ||||
| PCS-Parent | −0.007 (0.09) | −0.012 | −0.19, 0.18 | 0.939 |
| PCS-Child | 0.158 (0.08) | 0.287 | −0.01, 0.33 | 0.067 |
| PDS | −0.227 (1.12) | −0.031 | −2.48, 2.03 | 0.840 |
| Model 2 (R2 = 0.148, Cohen’s f2 = 0.174) | ||||
| PCS-Parentchild | −0.153 (0.09) | −0.259 | −0.33, 0.02 | 0.086 |
| PCS-Child | 0.149 (0.08) | 0.270 | −0.01, 0.31 | 0.074 |
| PDS | −0.372 (1.08) | −0.051 | −2.55, 1.81 | 0.732 |
| Offset Analgesia, n = 35 | ||||
| Model 1 (R2 = 0.088, Cohen’s f2 = 0.096) | ||||
| PCS-Parent | −0.459 (0.59) | −0.134 | −1.67, 0.75 | 0.443 |
| PCS-Child | −0.230 (0.41) | −0.097 | −1.07, 0.61 | 0.583 |
| PDS | −6.938 (5.11) | −0.237 | −17.35, 3.48 | 0.184 |
| Model 2 (R2 = 0.115, Cohen’s f2 = 0.130) | ||||
| PCS-Parentchild | 0.666 (0.53) | 0.213 | −0.43, 1.76 | 0.223 |
| PCS-Child | −0.223 (0.41) | −0.096 | −1.06, 0.60 | 0.578 |
| PDS | −5.765 (5.06) | −0.197 | −16.09, 4.56 | 0.263 |
| Heat CPM, n = 37 | ||||
| Model 1 (R2 = 0.132, Cohen’s f2 = 0.152) | ||||
| PCS-Parent | −0.485 (0.49) | −0.161 | −1.48, 0.52 | 0.330 |
| PCS-Child | 0.216 (0.34) | 0.104 | −0.48, 0.91 | 0.532 |
| PDS | −8.685 (4.22) | −0.338 | −17.27, −0.10 | 0.048 * |
| Model 2 (R2 = 0.120, Cohen’s f2 = 0.136) | ||||
| PCS-Parentchild | 0.311 (0.45) | 0.114 | −0.60, 1.23 | 0.495 |
| PCS-Child | 0.215 (0.34) | 0.103 | −0.49, 0.92 | 0.538 |
| PDS | −8.050 (4.28) | −0.313 | −16.75, 0.65 | 0.069 |
| Pressure CPM, n = 43 | ||||
| Model 1 (R2 = 0.021, Cohen’s f2 = 0.021) | ||||
| PCS-Parent | −0.437 (0.80) | −0.086 | −2.06, 1.19 | 0.589 |
| PCS-Child | 0.504 (0.75) | 0.108 | −1.01, 2.02 | 0.504 |
| PDS | −2.794 (10.12) | −0.044 | −23.26, 17.67 | 0.784 |
| Model 2 (R2 = 0.015, Cohen’s f2 = 0.015) | ||||
| PCS-Parentchild | −0.189 (0.82) | −0.037 | −1.84, 1.46 | 0.818 |
| PCS-Child | 0.515 (0.75) | 0.110 | −1.00, 2.03 | 0.497 |
| PDS | −2.887 (10.20) | −0.045 | −23.53, 17.75 | 0.779 |
| Family − Psych (n = 32) | Family + Psych (n = 12) | p | |||
|---|---|---|---|---|---|
| Mean ± SD | 95% CI (Lower, Upper) | Mean ± SD | 95% CI (Lower, Upper) | ||
| Pain catastrophizing scores | |||||
| PCS-Parent | 9.31 ± 1.58 | 6.13, 12.50 | 8.92 ± 2.58 | 3.71, 14.12 | 0.896 |
| PCS-Parentchild | 9.28 ± 1.58 | 6.09, 12.47 | 10.58 ± 2.58 | 5.37, 15.80 | 0.669 |
| PCS-Child | 14.00 ± 1.84 | 10.28, 17.72 | 11.92 ± 3.06 | 5.75, 18.08 | 0.563 |
| Experimental pain sensitivity measures | |||||
| Heat Pain Intensity | 30.63 ± 5.07 | 20.36, 40.89 | 30.19 ± 8.08 | 13.82, 46.57 | 0.964 |
| Cold Pain Intensity | 39.06 ± 4.80 | 29.38, 48.75 | 39.87 ± 7.96 | 23.82, 55.94 | 0.930 |
| Cold Pain Tolerance | 53.45 ± 7.99 | 37.34, 69.57 | 45.46 ± 13.25 | 18.73, 72.18 | 0.608 |
| Pressure Pain Threshold | 172.48 ± 12.65 | 146.96, 198.0 | 177.92 ± 20.98 | 135.6, 220.23 | 0.825 |
| Temporal Summation | 4.32 ± 0.92 | 2.47, 6.17 | 4.33 ± 1.52 | 1.27, 7.40 | 0.993 |
| Offset Analgesia | −6.52 ± 4.32 | −15.30, 2.26 | −5.98 ± 6.51 | −19.22, 7.25 | 0.946 |
| Heat CPM | −8.52 ± 3.54 | −15.71, −1.33 | −1.26 ± 5.55 | −12.53, 10.0 | 0.278 |
| Pressure CPM | −11.23 ± 8.74 | −28.88, 6.41 | −4.82 ± 14.28 | −33.63, 24.0 | 0.704 |
Disclaimer/Publisher’s Note: The statements, opinions and data contained in all publications are solely those of the individual author(s) and contributor(s) and not of MDPI and/or the editor(s). MDPI and/or the editor(s) disclaim responsibility for any injury to people or property resulting from any ideas, methods, instructions or products referred to in the content. |
© 2024 by the authors. Licensee MDPI, Basel, Switzerland. This article is an open access article distributed under the terms and conditions of the Creative Commons Attribution (CC BY) license (https://creativecommons.org/licenses/by/4.0/).
Share and Cite
Banerjee, G.; Brown, J.; McMichael, A.; Ben Abdallah, A.; Buday, S.; Barch, D.M.; Baranski, T.; Haroutounian, S.; AuBuchon, J.; Nahman-Averbuch, H. Experimental Pain Sensitivity and Parental Pain Catastrophizing. Children 2024, 11, 1528. https://doi.org/10.3390/children11121528
Banerjee G, Brown J, McMichael A, Ben Abdallah A, Buday S, Barch DM, Baranski T, Haroutounian S, AuBuchon J, Nahman-Averbuch H. Experimental Pain Sensitivity and Parental Pain Catastrophizing. Children. 2024; 11(12):1528. https://doi.org/10.3390/children11121528
Chicago/Turabian StyleBanerjee, Gourav, Joel Brown, Alana McMichael, Arbi Ben Abdallah, Sarah Buday, Deanna M. Barch, Thomas Baranski, Simon Haroutounian, Jacob AuBuchon, and Hadas Nahman-Averbuch. 2024. "Experimental Pain Sensitivity and Parental Pain Catastrophizing" Children 11, no. 12: 1528. https://doi.org/10.3390/children11121528
APA StyleBanerjee, G., Brown, J., McMichael, A., Ben Abdallah, A., Buday, S., Barch, D. M., Baranski, T., Haroutounian, S., AuBuchon, J., & Nahman-Averbuch, H. (2024). Experimental Pain Sensitivity and Parental Pain Catastrophizing. Children, 11(12), 1528. https://doi.org/10.3390/children11121528

