Variation in Immune and Inflammatory Blood Markers in Advanced Melanoma Patients Treated with PD-1 Inhibitors: A Preliminary Exploratory Study
Abstract
1. Introduction
2. Materials and Methods
2.1. Patients and Study Protocol
2.2. Blood Sampling and Methods
2.3. Complete Blood Counting (CBC)
2.4. Immunophenotyping
2.5. Detection of Soluble Markers
2.6. Statistical Analysis
3. Results
3.1. Evaluation of Lymphocyte Subpopulations in Patients with Advanced Melanoma
3.2. Dynamic Variation in Peripheral T Lymphocyte Subsets, B Lymphocytes, and NK Cells During Immunotherapy
3.3. Correlation Between Levels of Immune Cells and Systemic Inflammatory Markers
3.4. Assessment of Cytokine Release in Nivolumab-Treated Melanoma Patients
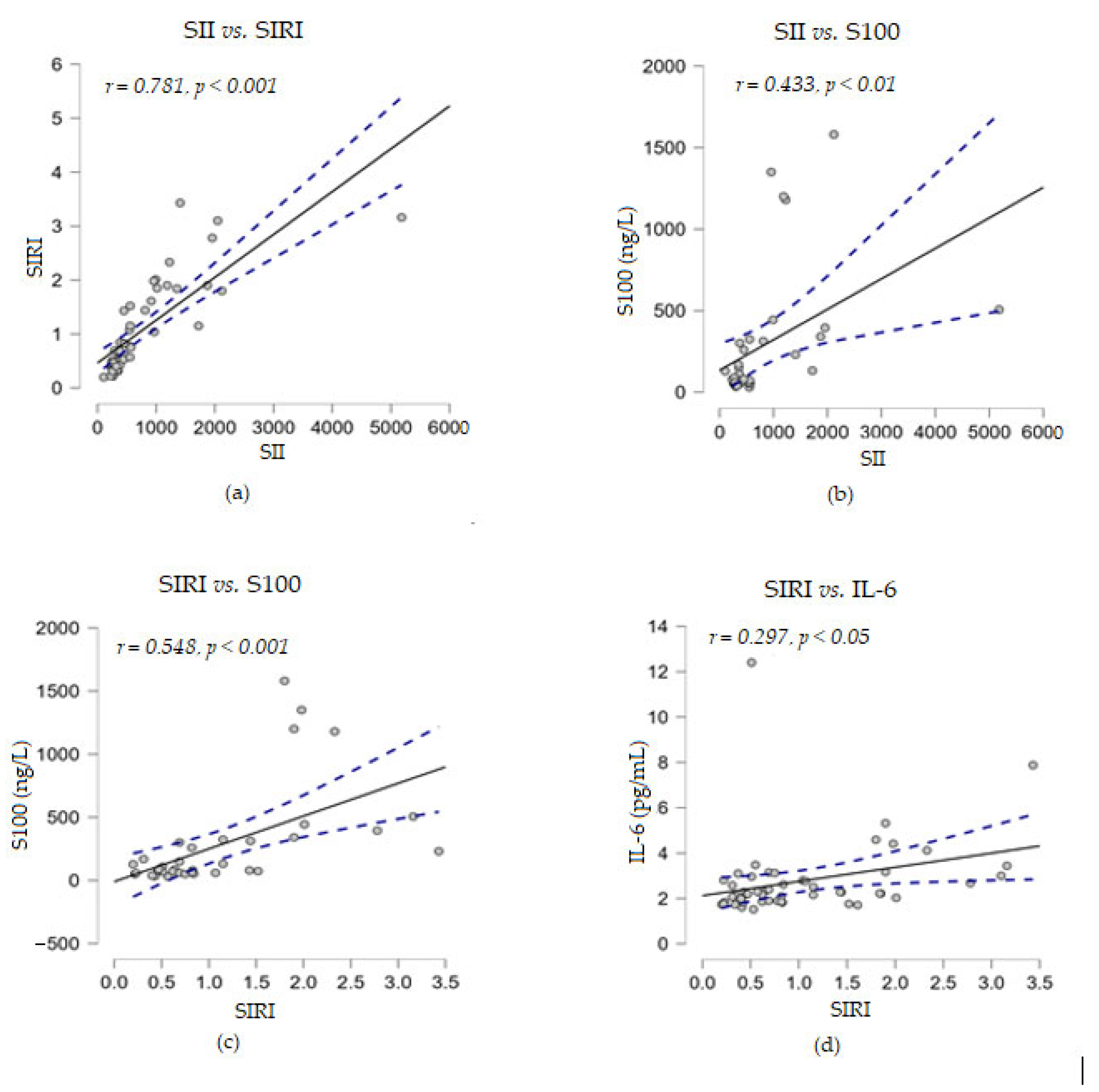
3.5. Correlation Analyses Between Systemic Inflammatory Markers and Soluble Tumor Markers
4. Discussion
5. Conclusions
Supplementary Materials
Author Contributions
Funding
Institutional Review Board Statement
Informed Consent Statement
Data Availability Statement
Acknowledgments
Conflicts of Interest
References
- Natarelli, N.; Aleman, S.J.; Mark, I.M.; Tran, J.T.; Kwak, S.; Botto, E.; Aflatooni, S.; Diaz, M.J.; Lipner, S.R. A review of current and pipeline drugs for treatment of melanoma. Pharmaceuticals 2024, 17, 214. [Google Scholar] [CrossRef] [PubMed]
- Bomar, L.; Senithilnathan, A.; Ahn, C. Systemic therapies for advanced melanoma. Dermatol. Clin. 2019, 37, 409–423. [Google Scholar] [CrossRef] [PubMed]
- Hodi, F.S.; Chiarion-Sileni, V.; Lewis, K.D.; Grob, J.-J.; Rutkowski, P.; Lao, C.D.; Cowey, C.L.; Schadendorf, D.; Wagstaff, J.; Dummer, R.; et al. Long-term survival in advanced melanoma for patients treated with nivolumab plus ipilimumab in CheckMate 067. J. Clin. Oncol. 2022, 40, 9522. [Google Scholar] [CrossRef]
- Long, G.V.; Swetter, S.M.; Menzies, A.M.; Gershenwald, J.E.; Scolyer, R.A. Cutaneous melanoma. Lancet 2023, 402, 485–502. [Google Scholar] [CrossRef]
- Boutros, A.; Croce, E.; Ferrari, M.; Gili, R.; Massaro, G.; Marconcini, R.; Arecco, L.; Tanda, E.T.; Spagnolo, F. The treatment of advanced melanoma: Current approaches and new challenges. Crit. Rev. Oncol. Hematol. 2024, 196, e104276. [Google Scholar] [CrossRef]
- Borst, J.; Busselaar, J.; Bosma, D.M.T.; Ossendorp, F. Mechanism of action of PD-1 receptor/ligand targeted cancer immunotherapy. Eur. J. Immunol. 2021, 51, 1911–1920. [Google Scholar] [CrossRef]
- Gao, M.; Shi, J.; Xiao, X.; Yao, Y.; Chen, X.; Wang, B.; Zhang, J. PD-1 regulation in immune homeostasis and immunotherapy. Cancer Lett. 2024, 588, 216726. [Google Scholar] [CrossRef]
- Ralli, M.; Botticelli, A.; Visconti, I.C.; Angeletti, D.; Fiore, M.; Marchetti, P.; Lambiase, A.; de Vincentiis, M.; Greco, A. Immunotherapy in the treatment of metastatic melanoma: Current knowledge and future directions. J. Immunol. Res. 2020, 2020, e9235638. [Google Scholar] [CrossRef]
- Sorino, C.; Iezzi, S.; Ciuffreda, L.; Falcone, I. Immunotherapy in melanoma: Advances, pitfalls, and future perspectives. Front. Mol. Biosci. 2024, 11, e1403021. [Google Scholar] [CrossRef]
- Larkin, J.; Chiarion-Sileni, V.; Gonzalez, R.; Grob, J.J.; Rutkowski, P.; Lao, C.D.; Cowey, C.L.; Schadendorf, D.; Wagstaff, J.; Dummer, R.; et al. Five-year survival with combined Nivolumab and Ipilimumab in advanced melanoma. N. Engl. J. Med. 2019, 381, 535–546. [Google Scholar] [CrossRef]
- Khair, D.O.; Bax, H.J.; Mele, S.; Crescioli, S.; Pellizzari, G.; Khiabany, A.; Nakamura, M.; Harris, R.J.; French, E.; Hoffmann, R.M.; et al. Combining immune checkpoint inhibitors: Established and emerging targets and strategies to improve outcomes in melanoma. Front. Immunol. 2019, 10, 453. [Google Scholar] [CrossRef] [PubMed]
- Machiraju, D.; Schäfer, S.; Hassel, J.C. Potential reasons for unresponsiveness to anti-PD1 immunotherapy in young patients with advanced melanoma. Life 2021, 11, 1318. [Google Scholar] [CrossRef] [PubMed]
- Twitty, C.G.; Huppert, L.A.; Daud, A.I. Prognostic biomarkers for melanoma immunotherapy. Curr. Oncol. Rep. 2020, 22, 25. [Google Scholar] [CrossRef] [PubMed]
- Thornton, J.; Chhabra, G.; Singh, C.K.; Guzman-Perez, G.; Shirley, C.A.; Ahmad, N. Mechanisms of immunotherapy resistance in cutaneous melanoma: Recognizing a shapeshifter. Front. Oncol. 2022, 12, 880876. [Google Scholar] [CrossRef]
- Luke, J.J.; Flaherty, K.T.; Ribas, A.; Long, G.V. Targeted agents and immunotherapies: Optimizing outcomes in melanoma. Nat. Rev. Clin. Oncol. 2017, 14, 463–482. [Google Scholar] [CrossRef]
- Wu, X.; Gu, Z.; Chen, Y.; Chen, B.; Chen, W.; Weng, L.; Liu, X. Application of PD-1 blockade in cancer immunotherapy. Comput. Struct. Biotechnol. J. 2019, 17, 661–674. [Google Scholar] [CrossRef]
- Huang, A.C.; Postow, M.A.; Orlowski, R.J.; Mick, R.; Bengsch, B.; Manne, S.; Xu, W.; Harmon, S.; Giles, J.R.; Wenz, B. T-cell invigoration to tumour burden ratio associated with anti-PD-1 response. Nature 2017, 545, 60–65. [Google Scholar] [CrossRef]
- Kudura, K.; Nussbaumer, L.; Foerster, R.; Basler, L. Inflammatory blood parameters as biomarkers for response to immune checkpoint inhibition in metastatic melanoma patients. Biomedicines 2022, 10, 2135. [Google Scholar] [CrossRef]
- Splendiani, E.; Besharat, Z.M.; Covre, A.; Maio, M.; Di Giacomo, A.M.; Ferretti, E. Immunotherapy in melanoma: Can we predict response to treatment with circulating biomarkers? Pharmacol. Ther. 2024, 256, 108613. [Google Scholar] [CrossRef]
- Babacan, N.A.; Eroglu, Z. Treatment options for advanced melanoma after anti-PD-1 therapy. Curr. Oncol. Rep. 2020, 22, 38. [Google Scholar] [CrossRef]
- Passarelli, A.; Mannavola, F.; Stucci, L.S.; Tucci, M.; Silvestris, F. Immune system and melanoma biology: Balance between immunosurveillance and immune escape. Oncotarget 2017, 8, 106132–106142. [Google Scholar] [CrossRef] [PubMed]
- Manjarrez-Orduño, N.; Menard, L.C.; Kansal, S.; Fischer, P.; Kakrecha, B.; Jiang, C.; Cunningham, M.; Greenawalt, D.; Patel, V.; Yang, M.; et al. Circulating T cell subpopulations correlate with immune responses at the tumor site and clinical response to PD1 inhibition in non-small cell lung cancer. Front. Immunol. 2018, 9, 1613. [Google Scholar] [CrossRef] [PubMed]
- Krieg, C.; Nowicka, M.; Guglietta, S.; Schindler, S.; Hartmann, F.J.; Weber, L.M.; Dummer, R.; Robinson, M.D.; Levesque, M.P.; Becher, B. High-dimensional single-cell analysis predicts response to anti-PD-1 immunotherapy. Nat. Med. 2018, 24, 144–153. [Google Scholar] [CrossRef] [PubMed]
- Wistuba-Hamprecht, K.; Martens, A.; Heubach, F.; Romano, E.; Foppen, M.G.; Yuan, J.; Postow, M.; Wong, P.; Mallardo, D.; Schilling, B.; et al. Peripheral CD8 effector-memory type 1 T-cells correlate with outcome in ipilimumab-treated stage IV melanoma patients. Eur. J. Cancer. 2017, 73, 61–70. [Google Scholar] [CrossRef]
- Stanciu, A.E.; Bolovan, M.L.; Zamfir-Chiru-Anton, A.; Voiosu, C.; Dabla, P.K.; Stanciu, M.M.; Serdarevic, N.; Gherghe, M. The interplay between high cumulative doses of radioactive iodine and type 2 diabetes mellitus: A complex cardiovascular challenge. Int. J. Mol. Sci. 2025, 26, 37. [Google Scholar] [CrossRef]
- Alfaddagh, A.; Martin, S.S.; Leucker, T.M.; Michos, E.D.; Blaha, M.J.; Lowenstein, C.J.; Jones, S.R.; Toth, P.P. Inflammation and cardiovascular disease: From mechanisms to therapeutics. Am. J. Prev. Cardiol. 2020, 4, 100130. [Google Scholar] [CrossRef]
- Zhou, Q.; Su, S.; You, W.; Wang, T.; Ren, T.; Zhu, L. Systemic inflammation response index as a prognostic marker in cancer patients: A systematic review and meta-analysis of 38 cohorts. Dose Response 2021, 19, 1–14. [Google Scholar] [CrossRef]
- Ravindranathan, D.; Master, V.A.; Bilen, M.A. Inflammatory markers in cancer immunotherapy. Biology 2021, 10, 325. [Google Scholar] [CrossRef]
- Zahorec, R. Neutrophil-to-lymphocyte ratio, past, present and future perspectives. Bratisl. Lek. Listy. 2021, 122, 474–488. [Google Scholar] [CrossRef]
- Fest, J.; Ruiter, R.; Ikram, M.A.; Voortman, T.; van Eijck, C.H.J.; Stricker, B.H. Reference values for white blood-cell-based inflammatory markers in the Rotterdam Study: A population-based prospective cohort study. Sci. Rep. 2018, 8, 10566. [Google Scholar] [CrossRef]
- Buonacera, A.; Stancanelli, B.; Colaci, M.; Malatino, L. Neutrophil to lymphocyte ratio: An emerging marker of the relationships between the immune system and diseases. Int. J. Mol. Sci. 2022, 23, 3636. [Google Scholar] [CrossRef] [PubMed]
- Templeton, A.J.; Ace, O.; McNamara, M.G.; Al-Mubarak, M.; Vera-Badillo, F.E.; Hermanns, T.; Seruga, B.; Ocaña, A.; Tannock, I.F.; Amir, E. Prognostic role of platelet to lymphocyte ratio in solid tumors: A systematic review and meta-analysis. Cancer Epidemiol. Biomarkers Prev. 2014, 23, 1204–1212. [Google Scholar] [CrossRef]
- Alim, L.F.; Keane, C.; Souza-Fonseca-Guimaraes, F. Molecular mechanisms of tumour necrosis factor signalling via TNF receptor 1 and TNF receptor 2 in the tumour microenvironment. Curr. Opin. Immunol. 2024, 86, 102409. [Google Scholar] [CrossRef] [PubMed]
- Turizo-Smith, A.D.; Córdoba-Hernandez, S.; Mejía-Guarnizo, L.V.; Monroy-Camacho, P.S.; Rodríguez-García, J.A. Inflammation and cancer: Friend or foe? Front. Pharmacol. 2024, 15, 1385479. [Google Scholar] [CrossRef] [PubMed]
- Wu, T.; Dai, Y. Tumor microenvironment and therapeutic response. Cancer Lett. 2017, 387, 61–68. [Google Scholar] [CrossRef]
- Ou, Y.; Liang, S.; Gao, Q.; Shang, Y.; Liang, J.; Zhang, W.; Liu, S. Prognostic value of inflammatory markers NLR, PLR, LMR, dNLR, ANC in melanoma patients treated with immune checkpoint inhibitors: A meta-analysis and systematic review. Front. Immunol. 2024, 18, 1482746. [Google Scholar] [CrossRef]
- Bolovan, L.M.; Ceausu, M.; Stanciu, A.E.; Panait, M.E.; Busca, A.; Hotnog, C.M.; Bleotu, C.; Gales, L.N.; Georgescu, M.T.; Prunoiu, V.M.; et al. Correlation studies between S100 Protein Level and Soluble MIA or Tissue MelanA and gp100 (HMB45) expression in cutaneous melanoma. J. Pers. Med. 2023, 13, 898. [Google Scholar] [CrossRef]
- Petrelli, F.; Ardito, R.; Merelli, B.; Lonati, V.; Cabiddu, M.; Seghezzi, S.; Barni, S.; Ghidini, A. Prognostic and predictive role of elevated lactate dehydrogenase in patients with melanoma treated with immunotherapy and BRAF inhibitors: A systematic review and meta-analysis. Melanoma Res. 2019, 29, 1–12. [Google Scholar] [CrossRef]
- Perez-Tomas, R.; Perez-Guillen, I. Lactate in the tumor microenvironment: An essential molecule in cancer progression and treatment. Cancers 2020, 12, 3244. [Google Scholar] [CrossRef]
- Prunoiu, V.M.; Marincas, A.M.; Bratucu, R.; Bratucu, E.; Ionescu, S.; Ravaş, M.M.; Vasile, I.B. The value of C reactive protein and the leukocytes in the peritoneal fluid in the predicting postoperative digestive fistulas. Chirurgia 2020, 115, 236–245. [Google Scholar] [CrossRef]
- Xu, J.; Zhao, J.; Wang, J.; Sun, C.; Zhu, X. Prognostic value of lactate dehydrogenase for melanoma patients receiving anti-PD-1/PD-L1 therapy. Medicine 2021, 100, e25318. [Google Scholar] [CrossRef] [PubMed]
- Janka, E.A.; Ványai, B.; Szabó, I.L.; Toka-Farkas, T.; Várvölgyi, T.; Kapitány, A.; Szegedi, A.; Emri, G. Primary tumour category, site of metastasis, and baseline serum S100B and LDH are independent prognostic factors for survival in metastatic melanoma patients treated with anti-PD-1. Front. Oncol. 2023, 17, 1237643. [Google Scholar] [CrossRef] [PubMed]
- Farhana, A.; Lappin, S.L. Biochemistry, Lactate Dehydrogenase; StatPearls Publishing: Treasure Island, FL, USA, 2024. [Google Scholar]
- Wagner, N.B.; Forschner, A.; Leiter, U.; Garbe, C.; Eigentler, T.K. S100B and LDH as early prognostic markers for response and overall survival in melanoma patients treated with anti-PD-1 or combined anti-PD-1 plus anti-CTLA-4 antibodies. Br. J. Cancer. 2018, 119, 339–346. [Google Scholar] [CrossRef] [PubMed]
- Forget, P.; Khalifa, C.; Defour, J.P.; Latinne, D.; Van Pel, M.C.; De Kock, M. What is the normal value of the neutrophil-to-lymphocyte ratio? BMC Res. Notes 2017, 10, 12. [Google Scholar] [CrossRef]
- Meng, X.; Chang, Q.; Liu, Y.; Chen, L.; Wei, G.; Yang, J.; Zheng, P.; He, F.; Wang, W.; Ming, L. Determinant roles of gender and age on SII, PLR, NLR, LMR and MLR and their reference intervals defining in Henan, China: A posteriori and big-data-based. J. Clin. Lab. Anal. 2018, 32, e22228. [Google Scholar] [CrossRef]
- Kourilovitch, M.; Galarza-Maldonado, C. Could a simple biomarker as neutrophil-to-lymphocyte ratio reflect complex processes orchestrated by neutrophils? J. Transl. Autoimmun 2023, 6, 100159. [Google Scholar] [CrossRef]
- Zhang, Y.; Liu, F.; Wang, Y. Evidence of the prognostic value of pretreatment systemic inflammation response index in cancer patients: A pooled analysis of 19 cohort studies. Dis. Markers 2020, 2020, 8854267. [Google Scholar] [CrossRef]
- Yang, C.; Hu, B.W.; Tang, F.; Zhang, Q.; Quan, W.; Wang, J.; Wang, Z.F.; Li, Y.R.; Li, Z.Q. Prognostic value of systemic immune-inflammation index (SII) in patients with glioblastoma: A comprehensive study based on meta-analysis and retrospective single-center analysis. J. Clin. Med. 2022, 11, 7514. [Google Scholar] [CrossRef]
- Stanciu, A.E.; Hurduc, A.; Stanciu, M.M.; Gherghe, M.; Gheorghe, D.C.; Prunoiu, V.M.; Zamfir-Chiru-Anton, A. Portrait of the inflammatory response to radioiodine therapy in female patients with differentiated thyroid cancer with/without Type 2 diabetes mellitus. Cancers 2023, 15, 3793. [Google Scholar] [CrossRef]
- BD Biosciences. Available online: https://www.bdbiosciences.com/en-us/products/reagents/flow-cytometry-reagents/clinical-diagnostics (accessed on 22 March 2025).
- Said, E.A.; Al-Reesi, I.; Al-Shizawi, N.; Jaju, S.; Al-Balushi, M.S.; Koh, C.Y.; Al-Jabri, A.A.; Jeyaseelan, L. Defining IL-6 levels in healthy individuals: A meta-analysis. J. Med. Virol. 2021, 93, 3915–3924. [Google Scholar] [CrossRef]
- Wu, H.; Wen, Y.; Yue, C.; Li, X.; Gao, R. Serum TNF-α Level Is Associated with Disease Severity in Adult Patients with Immunoglobulin A Vasculitis Nephritis. Dis. Markers 2020, 2020, 5514145. [Google Scholar] [CrossRef] [PubMed]
- Panteghini, M. Serum enzymes. In Tietz Textbook of Laboratory Medicine, 7th ed.; Rifai, N., Chiu, R.W.K., Young, I., Burnham, C.D., Wittwer, C.T., Eds.; Elsevier: St Louis, MO, USA, 2023; Chapter 32. [Google Scholar]
- Simion, L.; Rotaru, V.; Cirimbei, C.; Stefan, D.-C.; Gherghe, M.; Ionescu, S.; Tanase, B.C.; Luca, D.C.; Gales, L.N.; Chitoran, E. Analysis of efficacy-to-safety Ratio of Angiogenesis-Inhibitors Based Therapies in Ovarian Cancer: A Systematic Review and Meta-Analysis. Diagnostics 2023, 13, 1040. [Google Scholar] [CrossRef]
- Chen, D.S.; Mellman, I. Elements of cancer immunity and the cancer-immune set point. Nature 2017, 541, 321–330. [Google Scholar] [CrossRef]
- Sandru, A.; Panaitescu, E.; Voinea, S.; Bolovan, M.; Stanciu, A.; Cinca, S.; Blidaru, A. Prognostic value of melanoma inhibitory activity protein in localized cutaneous malignant melanoma. J. Skin Cancer 2014, 2014, e843214. [Google Scholar] [CrossRef]
- Jiang, Y.; Zhao, X.; Fu, J.; Wang, H. Progress and challenges in precise treatment of tumors with PD-1/PD-L1 blockade. Front. Immunol. 2020, 11, 339. [Google Scholar] [CrossRef]
- Xu, Y.; Fu, Y.; Zhu, B.; Wang, J.; Zhang, B. Predictive biomarkers of immune checkpoint inhibitors-related toxicities. Front. Immunol. 2020, 11, 2023. [Google Scholar] [CrossRef]
- Ren, M.; Zhang, J.; Kong, Y.; Bai, Q.; Qi, P.; Zhang, L.; Wang, Q.; Zhou, X.; Chen, Y.; Zhu, X. BRAF, C-KIT, and NRAS mutations correlated with different clinicopathological features: An analysis of 691 melanoma patients from a single center. Ann. Transl. Med. 2022, 10, 31. [Google Scholar] [CrossRef]
- Aoude, L.G.; Brosda, S.; Ng, J.; Lonie, J.M.; Belle, C.J.; Patel, K.; Koufariotis, L.T.; Wood, S.; Atkinson, V.; Smithers, B.M.; et al. Circulating tumor DNA: A promising biomarker for predicting recurrence in patients with BRAF-negative melanoma. J. Mol. Diagn. 2023, 25, 771–781. [Google Scholar] [CrossRef]
- Adeuyan, O.; Gordon, E.R.; Kenchappa, D.; Bracero, Y.; Singh, A.; Espinoza, G.; Geskin, L.J.; Saenger, Y.M. An update on methods for detection of prognostic and predictive biomarkers in melanoma. Front. Cell Dev. Biol. 2023, 11, 1290696. [Google Scholar] [CrossRef]
- Wolchok, J.D.; Chiarion-Sileni, V.; Gonzalez, R.; Grob, J.J.; Rutkowski, P.; Lao, C.D.; Cowey, C.L.; Schadendorf, D.; Wagstaff, J.; Dummer, R. CheckMate 067: 6.5-year outcomes in patients (pts) with advanced melanoma. J. Clin. Oncol. 2021, 39, 9506. [Google Scholar] [CrossRef]
- Knight, A.; Karapetyan, L.; Kirkwood, J.M. Immunotherapy in melanoma: Recent advances and future directions. Cancers 2023, 15, 1106. [Google Scholar] [CrossRef] [PubMed]
- Sharma, P.; Hu-Lieskovan, S.; Wargo, J.A.; Ribas, A. Primary, adaptive, and acquired resistance to cancer immunotherapy. Cell 2017, 168, 707–723. [Google Scholar] [CrossRef] [PubMed]
- Soler, M.F.; Abaurrea, A.; Azcoaga, P.; Araujo, A.M.; Caffarel, M.M. New perspectives in cancer immunotherapy: Targeting IL-6 cytokine family. J. Immunother. Cancer 2023, 11, e007530. [Google Scholar] [CrossRef] [PubMed]
- Grebenciucova, E.; VanHaerents, S. Interleukin 6: At the interface of human health and disease. Front. Immunol. 2023, 14, 1255533. [Google Scholar] [CrossRef]
- Zgura, A.; Gales, L.; Bratila, E.; Mehedintu, C.; Haineala, B.; Barac, R.I.; Popa, A.R.; Buhas, C.; Berceanu, C.; Andreescu, C.V.; et al. Variation of the T lymphocytes according to treatment in breast cancer. Rev. Chim. 2019, 70, 1649–1654. [Google Scholar] [CrossRef]
- Lee, H.; Da Silva, I.P.; Palendira, U.; Scolyer, R.A.; Long, G.V.; Wilmott, J.S. Targeting NK cells to enhance melanoma response to immunotherapies. Cancers 2021, 13, 1363. [Google Scholar] [CrossRef]
- Balta, E.; Wabnitz, G.H.; Samstag, Y. Hijacked. Immune cells in the tumor microenvironment: Molecular mechanisms of immunosuppression and cues to improve T cell-based immunotherapy of solid tumors. Int. J. Mol. Sci. 2021, 22, 5736. [Google Scholar] [CrossRef]
- Müller, B.; Bärenwaldt, A.; Herzig, P.; Zippelius, A.; Maul, L.V.; Hess, V.; König, D.; Läubli, H. Changes of peripheral T cell subsets in melanoma patients with immune-related adverse events. Front. Immunol. 2023, 12, 1125111. [Google Scholar] [CrossRef]
- Fife, C.; Williams, J.; James, F.; Gregory, S.; Andreou, T.; Sunderland, A.; McKimmie, C.; Brownlie, R.J.; Salmond, R.J.; Heaton, S.; et al. Natural killer cells are required for the recruitment of CD8+ T cells and the efficacy of immune checkpoint blockade in melanoma brain metastases. J. Immunother. Cancer. 2024, 12, e009522. [Google Scholar] [CrossRef]
- Neagu, M.; Constantin, C.; Dumitrascu, G.R.; Lupu, A.R.; Caruntu, C.; Boda, D.; Zurac, S. Inflammation markers in cutaneous melanoma-edgy biomarkers for prognosis. Discoveries 2015, 3, e38. [Google Scholar] [CrossRef]
- Barth, D.A.; Stanzer, S.; Spiegelberg, J.A.; Bauernhofer, T.; Absenger, G.; Szkandera, J.; Gerger, A.; Smolle, M.A.; Hutterer, G.C.; Ahyai, S.A.; et al. Patterns of peripheral blood B-cell subtypes are associated with treatment response in patients treated with immune checkpoint inhibitors: A prospective longitudinal pan-cancer study. Front. Immunol. 2022, 13, 840207. [Google Scholar] [CrossRef] [PubMed]
- Jiang, P.; Jing, S.; Sheng, G.; Jia, F. The basic biology of NK cells and its application in tumor immunotherapy. Front. Immunol. 2024, 15, 1420205. [Google Scholar] [CrossRef] [PubMed]
- Willsmore, Z.N.; Harris, R.J.; Crescioli, S.; Hussein, K.; Kakkassery, H.; Thapa, D.; Cheung, A.; Chauhan, J.; Bax, H.J.; Chenoweth, A.; et al. B Cells in patients with melanoma: Implications for treatment with checkpoint inhibitor antibodies. Front. Immunol. 2020, 11, 622442. [Google Scholar] [CrossRef] [PubMed]
- de Jonge, K.; Tillé, L.; Lourenco, J.; Maby-El Hajjami, H.; Nassiri, S.; Racle, J.; Gfeller, D.; Delorenzi, M.; Verdeil, G.; Baumgaertner, P.; et al. Inflammatory B cells correlate with failure to checkpoint blockade in melanoma patients. Oncoimmunology 2021, 10, 1873585. [Google Scholar] [CrossRef]
- Hirano, T. IL-6 in inflammation, autoimmunity and cancer. Int. Immunol. 2020, 33, 127–148. [Google Scholar] [CrossRef]
- Gu, Y.; Mohammad, I.S.; Liu, Z. Overview of the STAT-3 signaling pathway in cancer and the development of specific inhibitors. Oncol. Lett. 2020, 19, 2585–2594. [Google Scholar] [CrossRef]
- Kumari, N.; Dwarakanath, B.S.; Das, A.; Bhatt, A.N. Role of interleukin-6 in cancer progression and therapeutic resistance. Tumour Biol. 2016, 37, 11553–11572. [Google Scholar] [CrossRef]
- Laino, A.S.; Woods, D.; Vassallo, M.; Qian, X.; Tang, H.; Wind-Rotolo, M.; Weber, J. Serum interleukin-6 and C-reactive protein are associated with survival in melanoma patients receiving immune checkpoint inhibition. J. Immunotherap. Cancer 2020, 8, e000842. [Google Scholar] [CrossRef]
- Bertrand, F.; Montfort, A.; Marcheteau, E.; Imbert, C.; Gilhodes, J.; Filleron, T.; Rochaix, P.; Andrieu-Abadie, N.; Levade, T.; Meyer, N.; et al. TNFα blockade overcomes resistance to anti-PD-1 in experimental melanoma. Nat. Commun. 2017, 8, 2256. [Google Scholar] [CrossRef]
- Mercogliano, M.F.; Bruni, S.; Mauro, F.; Elizalde, P.V.; Schillaci, R. Harnessing tumor necrosis factor alpha to achieve effective cancer immunotherapy. Cancers 2021, 13, 564. [Google Scholar] [CrossRef]
- Hoejberg, L.; Bastholt, L.; Johansen, J.S.; Christensen, I.J.; Gehl, J.; Schmidt, H. Serum interleukin-6 as prognostic biomarkers in patients with metastatic melanoma. Melanoma Res. 2012, 22, 287–293. [Google Scholar] [CrossRef] [PubMed]
- Bai, R.; Lv, Z.; Xu, D.; Cui, J. Predictive biomarkers for cancer immunotherapy with immune checkpoint inhibitors. Biomark. Res. 2020, 8, 34. [Google Scholar] [CrossRef] [PubMed]
- Sreejit, G.; Flynn, M.C.; Patil, M.; Krishnamurthy, P.; Murphy, A.J.; Nagareddy, P.R. S100 family proteins in inflammation and beyond. Adv. Clin. Chem. 2020, 98, 173–231. [Google Scholar] [PubMed]






| Clinico-Pathological Characteristics | Number of Patients | Percentage (%) | |
|---|---|---|---|
| Age (years) | 57.5 ± 12.6 (mean ± SD) | 20 | |
| Sex | Female | 13 | 65% |
| Male | 7 | 35% | |
| Tumor location | Chest | 13 | 65% |
| Inferior limbs | 3 | 15% | |
| Superior limbs | 1 | 5% | |
| Head and neck | 1 | 5% | |
| Pelvic | 2 | 10% | |
| Histological subtype | Superficial spreading | 15 | 75% |
| Nodular | 4 | 20% | |
| Acral | 1 | 5% | |
| Stage | III | 8 | 40% |
| IV | 12 | 60% |
| Variables | T1 (n = 20) | T2 (n = 20) | T3 (n = 20) | p-Value T1 vs. T3 |
|---|---|---|---|---|
| Lymphocytes (×109/L) | 1.69 (1.40–2.15) | 2.02 (1.52–2.53) | 2.08 (1.51–2.50) | >0.05 |
| Neutrophils (×109/L) | 3.19 (2.61–4.11) | 3.85 (2.81–4.72) | 3.29 (2.87–5.11) | <0.001 |
| Monocytes (×109/L) | 0.37 (0.31–0.48) | 0.44 (0.36–0.58) | 0.52 (0.40–0.57) | <0.001 |
| Platelets (×109/L) | 251.00 (216.75–293.00) | 318.00 (235.75–341.75) | 290.00 (252.25–351.75) | <0.001 |
| NLR | 1.74 (1.39–2.71) | 2.01 (1.38–2.64) | 1.55 (1.19–2.85) | <0.001 |
| MLR | 0.19 (0.17–0.33) | 0.23 (0.16–0.33) | 0.21 (0.15–0.34) | <0.001 |
| PLR | 145.93 (105.75–216.75) | 146.50 (121.00–170.50) | 135.00 (108.31–260.75) | <0.01 |
| SII (×109/L) | 446.55 (330.81–662.97) | 555.36 (370.61–928.60) | 417.14 (315.48–966.80) | <0.001 |
| SIRI (×109/L) | 0.66 (0.46–1.25) | 0.72 (0.56–1.46) | 0.83 (0.41–1.92) | <0.001 |
| Melanoma Group | SII (189–1168) * | SIRI (≤1.26) * | IL-6 (≤5.19 pg/mL) * | TNF-α (≤8.1 pg/mL) * | S100 (≤90 ng/L) * | LDH (125–220 U/L) * |
|---|---|---|---|---|---|---|
| Number of samples | 60 | 60 | 60 | 60 | 36 | 60 |
| Median | 448.77 | 0.72 | 2.28 | 3.62 | 98.91 | 188.00 |
| Mean | 751.95 | 1.05 | 2.78 | 3.91 | 284.58 | 212.17 |
| SD (±) | 815.95 | 0.83 | 1.74 | 1.35 | 398.19 | 67.37 |
| Minimum | 105.48 | 0.20 | 1.52 | 0.49 | 29.00 | 142.00 |
| Maximum | 5182.01 | 3.43 | 12.40 | 11.77 | 1580.32 | 456.00 |
| 25th percentile (25th%) | 338.16 | 0.45 | 1.89 | 3.42 | 64.54 | 171.75 |
| 75th percentile (75th%) | 960.61 | 1.54 | 2.97 | 4.04 | 315.75 | 237.00 |
| (A) | |||||
|---|---|---|---|---|---|
| Control Group (n = 20) Positive Cells (%) | Melanoma Group (n = 104) Positive Cells (%) | p- Value | |||
| Cell Types | Mean ± SD | Median (25th–75th%) a | Mean ± SD | Median (25th–75th%) a | |
| CD3+ T cells | 72.09 ± 4.97 | 70.87 (68.33–75.56) | 68.39 ± 13.40 | 70.00 (62.60–76.10) | <0.05 |
| CD3+CD4+ T cells | 45.47 ± 4.63 | 45.27 (41.82–48.59) | 37.53 ± 9.45 | 37.35 (32.68–43.48) | <0.001 |
| CD3+CD8+ T cells | 30.60 ± 4.40 | 31.34 (28.24–33.04) | 30.14 ± 11.34 | 28.72 (21.87–39.47) | >0.05 |
| CD4+/CD8+ ratio | 1.81 ± 0.43 | 1.46 (1.27–1.78) | 1.48 ± 0.82 | 1.21 (0.85–1.95) | >0.05 |
| CD19+ B cells | 10.33 ± 4.01 | 9.26 (8.03–11.58) | 13.16 ± 6.24 | 13.11 (7.59–17.79) | <0.01 |
| CD16+CD56+NK cells | 13.21 ± 5.53 | 13.20 (10.02–6.25) | 16.89 ± 10.57 | 14.11 (9.92–21.65) | <0.05 |
| (B) | |||||
| Control Group Absolute counts (×103/μL) | Melanoma Group Absolute counts (×103/μL) | p- Value | |||
| Cell Types | Mean ± SD | Median (25th–75th%) a | Mean ± SD | Median (25th–75th%) a | |
| CD3+ T cells | 1.35 ± 0.28 | 1.34 (1.16–1.55) | 1.36 ± 0.52 | 1.20 (0.94–1.78) | <0.05 |
| CD3+CD4+ T cells | 0.85 ± 0.16 | 0.84 (0.70–0.94) | 0.72 ± 0.27 | 0.68 (0.51–0.89) | <0.001 |
| CD3+CD8+ T cells | 0.58 ± 0.15 | 0.58 (0.48–0.70) | 0.63 ± 0.35 | 0.54 (0.35–0.77) | >0.05 |
| CD4+/CD8+ ratio | 1.81 ± 0.42 | 1.46 (1.27–1.77) | 1.50 ± 0.85 | 1.22 (0.85–1.96) | >0.05 |
| CD19+ B cells | 0.19 ± 0.07 | 0.18 (0.14–0.23) | 0.24 ± 0.14 | 0.21 (0.13–0.32) | <0.01 |
| CD16+CD56+NK cells | 0.25 ± 0.09 | 0.25 (0.19–0.33) | 0.30 ± 0.19 | 0.22 (0.14–0.43) | <0.05 |
Disclaimer/Publisher’s Note: The statements, opinions and data contained in all publications are solely those of the individual author(s) and contributor(s) and not of MDPI and/or the editor(s). MDPI and/or the editor(s) disclaim responsibility for any injury to people or property resulting from any ideas, methods, instructions or products referred to in the content. |
© 2025 by the authors. Licensee MDPI, Basel, Switzerland. This article is an open access article distributed under the terms and conditions of the Creative Commons Attribution (CC BY) license (https://creativecommons.org/licenses/by/4.0/).
Share and Cite
Bolovan, L.M.; Panait, M.E.; Busca, A.; Stanciu, A.E.; Chiriac, D.; Mihalcea, C.E.; Hotnog, C.M.; Georgescu, M.T.; Voinea, S.C.; Prunoiu, V.M.; et al. Variation in Immune and Inflammatory Blood Markers in Advanced Melanoma Patients Treated with PD-1 Inhibitors: A Preliminary Exploratory Study. Biomedicines 2025, 13, 1378. https://doi.org/10.3390/biomedicines13061378
Bolovan LM, Panait ME, Busca A, Stanciu AE, Chiriac D, Mihalcea CE, Hotnog CM, Georgescu MT, Voinea SC, Prunoiu VM, et al. Variation in Immune and Inflammatory Blood Markers in Advanced Melanoma Patients Treated with PD-1 Inhibitors: A Preliminary Exploratory Study. Biomedicines. 2025; 13(6):1378. https://doi.org/10.3390/biomedicines13061378
Chicago/Turabian StyleBolovan, Lucica Madalina, Marieta Elena Panait, Antonela Busca, Adina Elena Stanciu, Daniela Chiriac, Corina Elena Mihalcea, Camelia Mia Hotnog, Mihai Teodor Georgescu, Silviu Cristian Voinea, Virgiliu Mihail Prunoiu, and et al. 2025. "Variation in Immune and Inflammatory Blood Markers in Advanced Melanoma Patients Treated with PD-1 Inhibitors: A Preliminary Exploratory Study" Biomedicines 13, no. 6: 1378. https://doi.org/10.3390/biomedicines13061378
APA StyleBolovan, L. M., Panait, M. E., Busca, A., Stanciu, A. E., Chiriac, D., Mihalcea, C. E., Hotnog, C. M., Georgescu, M. T., Voinea, S. C., Prunoiu, V. M., Brasoveanu, L. I., & Gales, L. N. (2025). Variation in Immune and Inflammatory Blood Markers in Advanced Melanoma Patients Treated with PD-1 Inhibitors: A Preliminary Exploratory Study. Biomedicines, 13(6), 1378. https://doi.org/10.3390/biomedicines13061378

