Sex Differences in the Prevalence of Chronic Pain in Mid-Life: A Systematic Review and Meta-Analysis
Abstract
1. Introduction
2. Materials and Methods
2.1. Search Strategy
2.2. Eligibility
2.3. Screening and Data Extraction
2.4. Quality-of-Evidence and Risk of Bias Assessment
- -
- Was the study’s target population a close representation of the national population in relation to relevant variables?
- -
- Was the sampling frame a true or close representation of the target population?
- -
- Was some form of random selection used to select the sample, OR was a census undertaken?
- -
- Was the likelihood of nonresponse bias minimal?
- -
- Were data collected directly from the subjects (as opposed to a proxy)?
- -
- Was an acceptable case definition used in the study?
- -
- Was the study instrument that measured the parameter of interest shown to have validity and reliability?
- -
- Was the same mode of data collection used for all subjects?
- -
- Was the length of the shortest prevalence period for the parameter of interest appropriate?
- -
- Were the numerator(s) and denominator(s) for the parameter of interest appropriate?
2.5. Analysis
3. Results
3.1. Search Results
3.2. Study Characteristics
3.3. Quality of Evidence and Risk of Bias
3.4. Narrative Analysis
3.5. Meta-Analysis
3.5.1. Subgroups Analyses
3.5.2. Heterogeneity by Risk of Bias
3.5.3. Supplementary Analysis: Overall Risk Difference of Chronic Pain Between Males and Females
4. Discussion
Strengths and Limitations
5. Conclusions
Supplementary Materials
Author Contributions
Funding
Data Availability Statement
Acknowledgments
Conflicts of Interest
References
- Case, A.; Deaton, A.; Stone, A.A. Decoding the mystery of American pain reveals a warning for the future. Proc. Natl. Acad. Sci. USA 2020, 117, 24785–24789. [Google Scholar] [CrossRef]
- Dahlhamer, J.; Lucas, J.; Zelaya, C.; Nahin, R.; Mackey, S.; DeBar, L.; Kerns, R.; Von Korff, M.; Porter, L.; Helmick, C. Prevalence of Chronic Pain and High-Impact Chronic Pain Among Adults—United States, 2016. MMWR Morb. Mortal. Wkly. Rep. 2018, 67, 1001–1006. [Google Scholar] [CrossRef] [PubMed]
- Breivik, H.; Eisenberg, E.; O’Brien, T. The individual and societal burden of chronic pain in Europe: The case for strategic prioritisation and action to improve knowledge and availability of appropriate care. BMC Public Health 2013, 13, 1229. [Google Scholar] [CrossRef] [PubMed]
- Brennan, P.L. Life Stressors: Elevations and Disparities Among Older Adults with Pain. Pain Med. 2020, 21, 2123–2136. [Google Scholar] [CrossRef] [PubMed]
- Yang, Y.; Grol-Prokopczyk, H. Chronic Pain and Friendship Among Middle-Aged and Older U.S. Adults. J. Gerontol. Ser. B 2020, 76, 2131–2142. [Google Scholar] [CrossRef]
- Mohamed Zaki, L.R.; Hairi, N.N. A Systematic Review ofthe Prevalence and Measurement of Chronic Pain in Asian Adults. Pain Manag. Nurs. 2015, 16, 440–452. [Google Scholar] [CrossRef]
- Fayaz, A.; Croft, P.; Langford, R.M.; Donaldson, L.J.; Jones, G.T. Prevalence of chronic pain in the UK: A systematic review and meta-analysis of population studies. BMJ Open 2016, 6, e010364. Available online: http://bmjopen.bmj.com/content/6/6/e010364.abstract (accessed on 1 March 2023). [CrossRef]
- Jackson, T.; Thomas, S.; Stabile, V.; Han, X.; Shotwell, M.; McQueen, K. Prevalence of chronic pain in low-income and middle-income countries: A systematic review and meta-analysis. Lancet 2015, 385, S10. [Google Scholar] [CrossRef]
- Larsson, C.; Hansson, E.E.; Sundquist, K.; Jakobsson, U. Chronic pain in older adults: Prevalence, incidence, and risk factors. Scand. J. Rheumatol. 2017, 46, 317–325. [Google Scholar] [CrossRef]
- Mundal, I.; Gråwe, R.W.; Bjørngaard, J.H.; Linaker, O.M.; Fors, E.A. Prevalence and long-term predictors of persistent chronic widespread pain in the general population in an 11-year prospective study: The HUNT study. BMC Musculoskelet. Disord. 2014, 15, 213. [Google Scholar] [CrossRef]
- Øverås, C.K.; Johansson, M.S.; de Campos, T.F.; Ferreira, M.L.; Natvig, B.; Mork, P.J.; Hartvigsen, J. Distribution and prevalence of musculoskeletal pain co-occurring with persistent low back pain: A systematic review. BMC Musculoskelet. Disord. 2021, 22, 91. [Google Scholar] [CrossRef]
- Silva, C.; Oliveira, D.; Pestana-Santos, M.; Portugal, F.; Capelo, P. Chronic non-cancer pain in adolescents: A narrative review. Braz. J. Anesthesiol. (Engl. Ed.) 2021, 72, 648–656. [Google Scholar] [CrossRef]
- King, S.; Chambers, C.T.; Huguet, A.; MacNevin, R.C.; McGrath, P.J.; Parker, L.; MacDonald, A.J. The epidemiology of chronic pain in children and adolescents revisited: A systematic review. Pain 2011, 152, 2729–2738. [Google Scholar] [CrossRef]
- Lu, C.-B.; Liu, P.-F.; Zhou, Y.-S.; Meng, F.-C.; Qiao, T.-Y.; Yang, X.-J.; Li, X.-Y.; Xue, Q.; Xu, H.; Liu, Y.; et al. Musculoskeletal Pain during the Menopausal Transition: A Systematic Review and Meta-Analysis. Neural Plast. 2020, 2020, 8842110. [Google Scholar] [CrossRef] [PubMed]
- Wong, A. Musculoskeletal pain in postmenopausal women-Implications for future research. Hong Kong Physiother. J. 2016, 34, A1–A2. [Google Scholar] [CrossRef]
- Yang, L.; Peng, W. Prevalence and Factors Associated with Body Pain: Results of a Nationally Representative Survey of 9,586 Chinese Adults Aged 60 and Over. Front. Public Health 2021, 9, 634123. [Google Scholar] [CrossRef] [PubMed]
- Keenan, K.; Ploubidis, G.B.; Silverwood, R.J.; Grundy, E. Life-course partnership history and midlife health behaviours in a population-based birth cohort. J. Epidemiol. Community Health 2017, 71, 232–238. [Google Scholar] [CrossRef]
- Lachman, M.E.; Teshale, S.; Agrigoroaei, S. Midlife as a pivotal in the life course: Balancing growth and decline at the crossroads of youth and old age. Int. J. Behav. Dev. 2015, 39, 20–31. [Google Scholar] [CrossRef]
- Lee, J.; Gutsche, T. Harmonization of Cross-National Studies of Aging. In Proceedings of the Executive Summary of the National Institute on Aging Meeting, Beijing, China, 2–3 August 2011. [Google Scholar]
- Livingston, G.; Huntley, J.; Sommerlad, A.; Ames, D.; Ballard, C.; Banerjee, S.; Brayne, C.; Burns, A.; Cohen-Mansfield, J.; Cooper, C.; et al. Dementia prevention, intervention, and care: 2020 report of the Lancet Commission. Lancet 2020, 396, 413–446. [Google Scholar] [CrossRef]
- Zhang, Z.; Hayward, M.D. Gender, the marital life course, and cardiovascular disease in late midlife. J. Marriage Fam. 2006, 68, 639–657. [Google Scholar] [CrossRef]
- Dolsen, M.R.; Crosswell, A.D.; Prather, A.A. Links Between Stress, Sleep, and Inflammation: Are there Sex Differences? Curr. Psychiatry Rep. 2019, 21, 4–9. [Google Scholar] [CrossRef]
- Hardy, C.; Thorne, E.; Griffiths, A.; Hunter, M.S. Work outcomes in midlife women: The impact of menopause, work stress and working environment. Womens Midlife Health 2018, 4, 3. [Google Scholar] [CrossRef] [PubMed]
- Hedgeman, E.; Hasson, R.E.; Karvonen-Gutierrez, C.A.; Herman, W.H.; Harlow, S.D. Perceived stress across the midlife: Longitudinal changes among a diverse sample of women, the Study of Women’s health Across the Nation (SWAN). Womens Midlife Health 2018, 4, 2. [Google Scholar] [CrossRef] [PubMed]
- McGinnis, D. Resilience, Life Events, and Well-Being During Midlife: Examining Resilience Subgroups. J. Adult Dev. 2018, 25, 198–221. [Google Scholar] [CrossRef] [PubMed]
- Sievert, L.L.; Jaff, N.; Woods, N.F. Stress and midlife women’s health. Womens Midlife Health 2018, 4, 4. [Google Scholar] [CrossRef]
- Thomas, A.J.; Mitchell, E.S.; Woods, N.F. Undesirable stressful life events, impact, and correlates during midlife: Observations from the Seattle midlife women’s health study. Womens Midlife Health 2019, 5, 1. [Google Scholar] [CrossRef]
- Zelaya, C.E.; Dahlhamer, J.M.; Lucas, J.W.; Connor, E.M. Chronic Pain and High-impact Chronic Pain Among U.S. Adults 2019. NCHS Data Brief 2020, 390, 1–8. [Google Scholar]
- Blyth, F.M.; Noguchi, N. Chronic musculoskeletal pain and its impact on older people. Best Pract. Res. Clin. Rheumatol. 2017, 31, 160–168. [Google Scholar] [CrossRef]
- Rovner, G.S.; Sunnerhagen, K.S.; Björkdahl, A.; Gerdle, B.; Börsbo, B.; Johansson, F.; Gillanders, D. Chronic pain and sex-differences; Women accept and move, while men feel blue. PLoS ONE 2017, 12, e0175737. [Google Scholar] [CrossRef]
- McMunn, A.; Bartley, M.; Kuh, D. Women’s health in mid-life: Life course social roles and agency as quality. Soc. Sci. Med. 2006, 63, 1561–1572. [Google Scholar] [CrossRef]
- Dugan, S.; Powell, L.; Kravitz, H.; Rose, S.; Karavolos, K.; Luborsky, J. Musculoskeletal pain and menopausal status. Clin. J. Pain 2006, 22, 325–331. [Google Scholar] [CrossRef]
- Mishra, G.D.; Kuh, D. Health symptoms during midlife in relation to menopausal transition: British prospective cohort study. BMJ 2012, 344, e402. [Google Scholar] [CrossRef] [PubMed]
- Andrews, P.; Steultjens, M.; Riskowski, J. Chronic widespread pain prevalence in the general population: A systematic review. Eur. J. Pain 2018, 22, 5–18. [Google Scholar] [CrossRef] [PubMed]
- Mansfield, K.E.; Sim, J.; Jordan, J.L.; Jordan, K.P. A systematic review and meta-analysis of the prevalence of chronic widespread pain in the general population. Pain 2016, 157, 55–64. [Google Scholar] [CrossRef] [PubMed]
- Picavet, H.S.J.; Monique Verschuren, W.M.; Groot, L.; Schaap, L.; van Oostrom, S.H. Pain over the adult life course: 15-year pain trajectories—The Doetinchem Cohort Study. Eur. J. Pain 2019, 23, 1723–1732. [Google Scholar] [CrossRef]
- Souza, J.B.D.; Grossmann, E.; Perissinotti, D.i.M.N.; Oliveira, J.O.D., Jr.; Fonseca, P.R.B.D.; Posso, I.D.P. Prevalence of Chronic Pain, Treatments, Perception, and Interference on Life Activities: Brazilian Population-Based Survey. Pain Res. Manag. 2017, 2017, 4643830. [Google Scholar] [CrossRef]
- Rometsch, C.; Martin, A.; Junne, F.; Cosci, F. Chronic pain in European adult populations: A systematic review of prevalence and associated clinical features. PAIN® 2024, 166, 719–731. [Google Scholar] [CrossRef]
- Moher, D.; Stewart, L.; Shekelle, P. Implementing PRISMA-P: Recommendations for prospective authors. Syst. Rev. 2016, 5, 15. [Google Scholar] [CrossRef]
- Borra, C.; Hardy, R. Differences in chronic pain prevalence between men and women at mid-life: A systematic review protocol. BMJ Open 2023, 13, e065497. [Google Scholar] [CrossRef]
- Treede, R.D.; Rief, W.; Barke, A.; Aziz, Q.; Bennett, M.I.; Benoliel, R.; Cohen, M.; Evers, S.; Finnerup, N.B.; First, M.B.; et al. A classification of chronic pain for ICD-11. Pain 2015, 156, 1003–1007. [Google Scholar] [CrossRef]
- Statistics Division of the United Nations Secretariat. Standard Country or Area Codes for Statistical Use (M49); Statistics Division of the United Nations Secretariat: New York, NY, USA, 2018. [Google Scholar]
- Hoy, D.; Brooks, P.; Woolf, A.; Blyth, F.; March, L.; Bain, C.; Baker, P.; Smith, E.; Buchbinder, R. Assessing risk of bias in prevalence studies: Modification of an existing tool and evidence of interrater agreement. J. Clin. Epidemiol. 2012, 65, 934–939. [Google Scholar] [CrossRef]
- Hoy, D.; Bain, C.; Williams, G.; March, L.; Brooks, P.; Blyth, F.; Woolf, A.; Vos, T.; Buchbinder, R. A systematic review of the global prevalence of low back pain. Arthritis Rheum. 2012, 64, 2028–2037. [Google Scholar] [CrossRef]
- Popay, J.A.; Sowden, A.; Petticrew, M.; Arai, L.; Rodgers, M.; Britten, N.; Roberts, H.; Roen, K.; Duffy, S. Guidance on the Conduct of Narrative Synthesis in Systematic Reviews 2006. Available online: https://www.researchgate.net/publication/233866356_Guidance_on_the_conduct_of_narrative_synthesis_in_systematic_reviews_A_product_from_the_ESRC_Methods_Programme?channel=doi&linkId=02e7e5231e8f3a6183000000&showFulltext=true (accessed on 21 September 2025).
- Higgins, J.; Thompson, S.; Deeks, J.; Altman, D. Measuring inconsistency in meta-analyses. Br. Med. J. 2003, 327, 557–560. [Google Scholar] [CrossRef]
- Shamim, M.A.; Dwivedi, P.; Padhi, B.K. Beyond the funnel plot: The advantages of Doi plots and prediction intervals in meta-analyses. Asian J. Psychiatry 2023, 84, 103550. [Google Scholar] [CrossRef]
- Page, M.J.; McKenzie, J.E.; Bossuyt, P.M.; Boutron, I.; Hoffmann, T.C.; Mulrow, C.D.; Shamseer, L.; Tetzlaff, J.M.; Akl, E.A.; Brennan, S.E.; et al. The PRISMA 2020 statement: An updated guideline for reporting systematic reviews. BMJ 2021, 37, n71. [Google Scholar] [CrossRef]
- Kamerman, P.R.; Bradshaw, D.; Laubscher, R.; Pillay-van Wyk, V.; Gray, G.E.; Mitchell, D.; Chetty, S. Almost 1 in 5 South African adults have chronic pain: A prevalence study conducted in a large nationally representative sample. Pain 2020, 161, 1629–1635. [Google Scholar] [CrossRef] [PubMed]
- Elzahaf, R.A.; Johnson, M.I.; Tashani, O.A. The epidemiology of chronic pain in Libya: A cross-sectional telephone survey. BMC Public Health 2016, 16, 776. [Google Scholar] [CrossRef] [PubMed]
- Yeo, S.N.; Tay, K.H. Pain prevalence in Singapore. Ann. Acad. Med. Singap. 2009, 38, 937–942. [Google Scholar] [CrossRef] [PubMed]
- Buskila, D.; Abramov, G.; Biton, A.; Neumann, L. The prevalence of pain complaints in a general population in Israel and its implications for utilization of health services. J. Rheumatol. 2000, 27, 1521–1525. [Google Scholar]
- Turhanoğlu, A.D.; Yilmaz, Ş.; Kaya, S.; Dursun, M.; Kararmaz, A.; Saka, G. The epidemiological aspects of fibromyalgia syndrome in adults living in Turkey: A population based study. J. Musculoskelet. Pain 2008, 16, 141–147. [Google Scholar] [CrossRef]
- Andersson, H.I. The epidemiology of chronic pain in a Swedish rural area. Qual. Life Res. 1994, 3 (Suppl. S1), S19–S26. [Google Scholar] [CrossRef] [PubMed]
- Damsgård, E.; Thrane, G.; Fleten, N.; Bagge, J.; Sørlie, T.; Anke, A.; Broderstad, A.R. Persistent pain associated with socioeconomic and personal factors in a Sami and Non-Sami population in Norway: An analysis of SAMINOR 2 survey data. Int. J. Circumpolar Health 2020, 79, 1787022. [Google Scholar] [CrossRef] [PubMed]
- Elliott, A.M.; Smith, B.H.; Hannaford, P.C.; Smith, W.C.; Chambers, W.A. The course of chronic pain in the community: Results of a 4-year follow-up study. Pain 2002, 99, 299–307. [Google Scholar] [CrossRef] [PubMed]
- Jakobsson, U. The epidemiology of chronic pain in a general population: Results of a survey in southern Sweden. Scand. J. Rheumatol. 2010, 39, 421–429. [Google Scholar] [CrossRef]
- Raftery, M.N.; Sarma, K.; Murphy, A.W.; De La Harpe, D.; Normand, C.; McGuire, B.E. Chronic pain in the Republic of Ireland—Community prevalence, psychosocial profile and predictors of pain-related disability: Results from the Prevalence, Impact and Cost of Chronic Pain (PRIME) study, Part 1. Pain 2011, 152, 1096–1103. [Google Scholar] [CrossRef]
- Rustøen, T.; Wahl, A.K.; Hanestad, B.R.; Lerdal, A.; Paul, S.; Miaskowski, C. Age and the Experience of Chronic Pain: Differences in Health and Quality of Life Among Younger, Middle-Aged, and Older Adults. Clin. J. Pain 2005, 21, 513–523. Available online: https://journals.lww.com/00002508-200511000-00008 (accessed on 21 June 2024). [CrossRef]
- Mas, A.J.; Carmona, L.; Valverde, M.; Ribas, B. Prevalence and impact of fibromyalgia on function and quality of life in individuals from the general population: Results from a natiowide study in Spain. Clin. Exp. Rheumatol. 2008, 26, 519–526. [Google Scholar]
- Johannes, C.B.; Le, T.K.; Zhou, X.; Johnston, J.A.; Dworkin, R.H. The Prevalence of Chronic Pain in United States Adults: Results of an Internet-Based Survey. J. Pain 2010, 11, 1230–1239. [Google Scholar] [CrossRef]
- Wolfe, F.; Rosse, K.; Anderson, J.; Russell, I.J.; Hebert, L. The Prevalence and Characteristics of Fibromyalgia in the General Population. Arthritis Rheum. 1995, 38, 11–28. [Google Scholar] [CrossRef]
- White, K.P.; Speechley, M.; Harth, M.; Østybe, T. The London Fibromyalgia Epidemiology study: The prevalence of fibromyalgia syndrome in London, Ontario. J. Rheumatol. 1999, 26, 1570–1576. [Google Scholar]
- Blyth, F.M.; March, L.M.; Brnabic, A.J.M.; Jorm, L.R.; Williamson, M.; Cousins, M.J. Chronic pain in Australia: A prevalence study. Pain 2001, 89, 127–134. [Google Scholar] [CrossRef]
- Dominick, C.; Blyth, F. Epidemiology of Pain and Non-Pain Co-morbidities. In Pain Co-Morbidities: Understanding the Complex Patient; Giamberardino, M.A., Jensen, T.S., Eds.; IASP Press: Seattle, WA, USA, 2012. [Google Scholar]
- Miller, A.; Sanderson, K.; Bruno, R.; Breslin, M.; Neil, A.L. The prevalence of pain and analgesia use in the Australian population: Findings from the 2011 to 2012 Australian National Health Survey. Pharmacoepidemiol. Drug Saf. 2017, 26, 1403–1410. [Google Scholar] [CrossRef]
- Wolfe, F.; Smythe, H.; Yunus, M.B.; Bennett, R.; Bombardier, C.; Goldenberg, D.L.; Clauw, D.; Russell, I.J.; Gatter, S.G.; Allen, M.S.; et al. The American College of Rheumatology 1990 criteria for the classification of fibromyalgia: Report of the Multicenter Criteria Committee. Arthritis Rheum. 1990, 33, 160–172. [Google Scholar] [CrossRef] [PubMed]
- Schwarzer, G.; Rücker, G.; Semaca, C. LFK index does not reliably detect small-study effects in meta-analysis: A simulation study. Res. Synth. Methods 2024, 15, 603–615. [Google Scholar] [CrossRef] [PubMed]
- Murray, C.B.; de la Vega, R.; Murphy, L.K.; Kashikar-Zuck, S.; Palermo, T.M. The prevalence of chronic pain in young adults. Pain 2021, 163, 972–984. Available online: https://journals.lww.com/10.1097/j.pain.0000000000002541 (accessed on 21 September 2025). [CrossRef] [PubMed]
- Sá, K.N.; Baptista, A.F.; Matos, M.A.; Lessa, Í. Chronic pain and gender in Salvador population, Brazil. Pain 2008, 139, 498–506. [Google Scholar] [CrossRef]
- Cooksey, R.; Choy, E. Exploring gender differences, medical history, and treatments used in patients with fibromyalgia in the UK using primary-care data: A retrospective, population-based, cohort study. Lancet Rheumatol. 2022, 4, S20. [Google Scholar] [CrossRef]
- Lin, L. Bias caused by sampling error in meta-analysis with small sample sizes. PLoS ONE 2018, 13, e0204056. [Google Scholar] [CrossRef]
- Sterne, J.A.C.; Gavaghan, D.; Egger, M. Publication and related bias in meta-analysis: Power of statistical tests and prevalence in the literature. J. Clin. Epidemiol. 2000, 53, 1119–1129. Available online: https://www.sciencedirect.com/science/article/pii/S0895435600002420 (accessed on 21 September 2025). [CrossRef]
- Turner, R.M.; Bird, S.M.; Higgins, J.P.T. The Impact of Study Size on Meta-analyses: Examination of Underpowered Studies in Cochrane Reviews. PLoS ONE 2013, 8, e59202. [Google Scholar] [CrossRef]
- Treede, R.D.; Rief, W.; Barke, A.; Aziz, Q.; Bennett, M.I.; Benoliel, R.; Cohen, M.; Evers, S.; Finnerup, N.B.; First, M.B.; et al. Chronic pain as a symptom or a disease: The IASP Classification of Chronic Pain for the International Classification of Diseases (ICD-11). Pain 2019, 160, 19–27. Available online: https://journals.lww.com/pain/Fulltext/2019/01000/Chronic_pain_as_a_symptom_or_a_disease__the_IASP.3.aspx (accessed on 21 September 2025). [CrossRef]
- Steingrímsdóttir, Ó.A.; Landmark, T.; Macfarlane, G.J.; Nielsen, C.S. Defining chronic pain in epidemiological studies: A systematic review and meta-analysis. Pain 2017, 158, 2092–2107. [Google Scholar] [CrossRef]
- Higgins, J.P.T.; Thomas, J.; Chandler, J.; Cumpston, M.; Li, T.; Page, M.J.; Welch, V.A. Chapter 10: Analysing data and undertaking meta-analyses. In Cochrane Handbook for Systematic Reviews of Interventions (Cochrane, 2024); John Wiley & Sons: Hoboken, NJ, USA, 2024. [Google Scholar]



| Study | Analytic Sample Age | Country, UN Geographic Region | Pain Definition | Chronicity Threshold | Sex or Gender | Risk of Bias |
|---|---|---|---|---|---|---|
| Andersson et al. (1994) [54] | 45–59 | Southern Sweden—Europe | Chronic pain A | Over 3 months | sex | Moderate |
| Blyth et al. (2001) [64] | 40–59 | New South Wales, Australia—Oceania | Chronic pain | Over 3 months | sex | Low |
| Buskila et al. (2000) [52] | 41–50 | Yeruham, Israel—Asia | Chronic regional pain A | Over 3 months | sex | Low |
| Chronic widespread pain B | Over 3 months | |||||
| Damsgård et al. (2020) [55] | 40–59 | North Norway—Europe | Chronic pain | Over 3 months | interchangeable | High |
| Dominick et al. (2011) [65] | 45–54 | New Zealand—Oceania | Chronic pain | Over 6 months | Interchangeable | Moderate |
| Elliott et al. (2002) [56] | 45–54 | Grampian, Scotland—Europe | Chronic pain | Over 3 months | Sex | Low |
| Elzahaf et al. (2016) [50] | 41–60 | Tripoli, Benghazi and Sabha, Libya—Asia | Chronic pain | Over 3 months | Sex | Low |
| Jakobsson (2010) [57] | 45–59 (160, M 46.3%, F 53.8%) | Province of Skåne, Sweden—Europe | Chronic pain | Over 3 months | Interchangeable | Moderate |
| Johannes et al. (2010) [61] | 45–54 | United States of America—Northern America—0.926 | Chronic pain A | Over 6 months | Interchangeable | Low |
| Kamerman et al. (2020) [49] | 45–54 | South Africa—Africa | Chronic pain A | Over 3 months | Sex | Moderate |
| Mas et al. (2008) [60] | 40–59 | Spain—Europe—0.904 | Fibromyalgia C | Over 3 months | Sex | High |
| Miller et al. (2017) [66] | 45–54 | Australia—Oceania—0.944 | Chronic pain | Over 6 months | Sex | Low |
| Raftery et al. (2011) [58] | 45–54 | Ireland—Europe | Chronic pain | Over 3 months | Gender | Low |
| Rustøen et al. (2005) [59] | 40–59 | Norway—Europe | Chronic pain | Over 3 months | Gender | High |
| Turhanoğlu et al. (2008) [53] | 40–59 | Turkey—Asia | Fibromyalgia C D | Over 3 months | Sex | High |
| White et al. (1999) [63] | 45–54 | Canada—Northern America—0.929 | Fibromyalgia C D | Over 3 months | Sex | Low |
| Wolfe et al. (1995) [62] | 40–59 | Wichita, United States of America—Northern America—0.926 | Chronic regional pain E | Over 3 months | Sex | High |
| Chronic widespread pain F | ||||||
| Fibromyalgia C D | ||||||
| Yeo and Tai (2009) [51] | 46–55 | Singapore—Asia | Chronic pain A | Over 3 months | Interchangeable | Moderate |
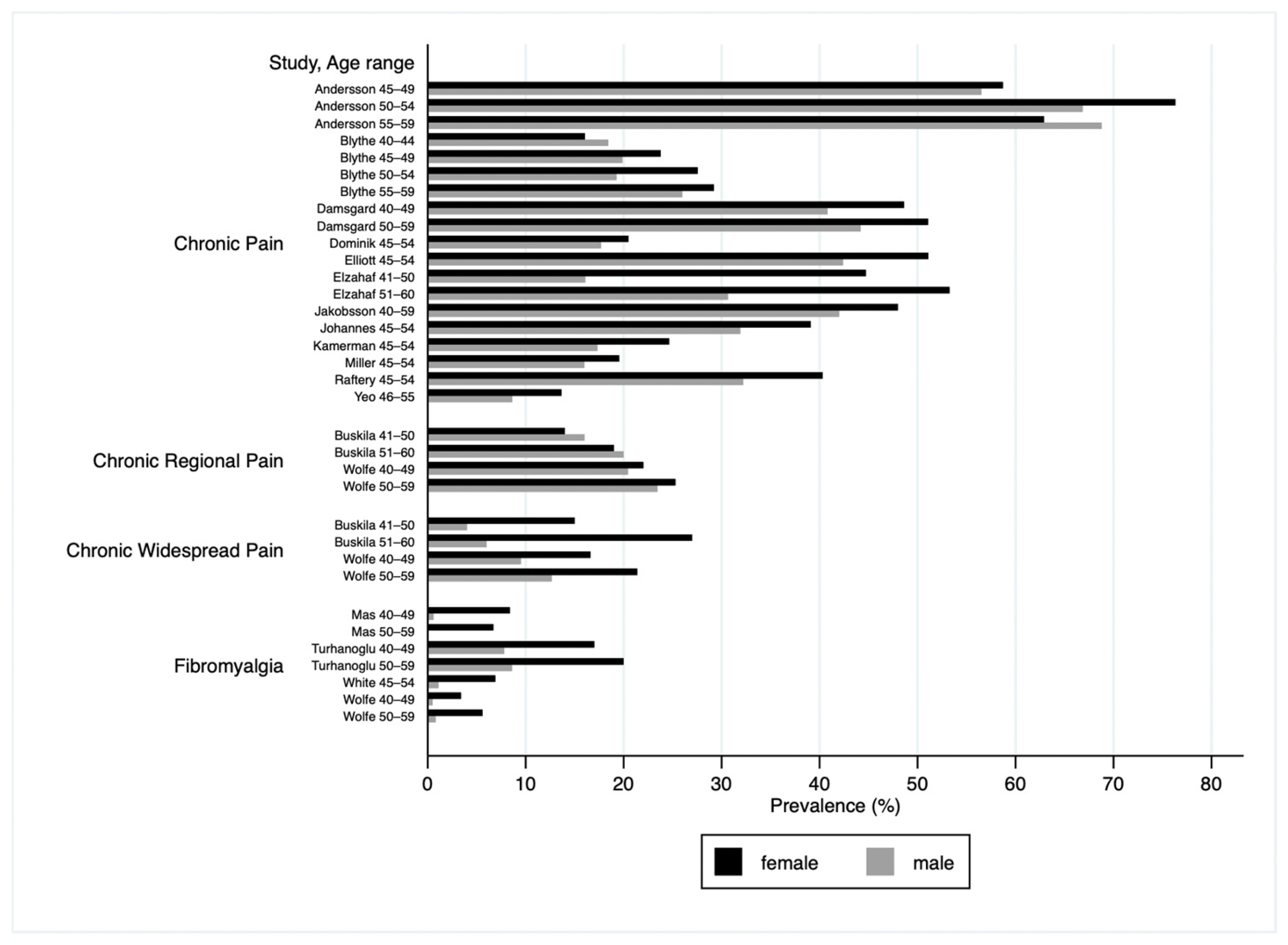
| Study | Sample Size in Relevant Age Range (Total n of Original Study) | Pain Type | Pain Prevalence (%, 95% CI) | Number Reporting Pain | Sample Size | |||
|---|---|---|---|---|---|---|---|---|
| Female | Male | Female | Male | Female | Male | |||
| Andersson et al. [54] (1994) | 639 A (1609) | Chronic pain | Age 45–49: 58.71 B Age 50–54: 76.31 B Age 55–59: 62.90 B | Age 45–49: 56.51 B Age 50–54: 66.85 B Age 55–59: 68.79 B | Not provided | Not provided | Not provided | Not provided |
| Blyth et al. (2001) [64] | 6506 (17,543) | Chronic pain | Age 40–44: 16.05 B Age 45–49: 23.78 B Age 50–54: 27.56 B Age 55–59: 29.22 B | Age 40–44: 18.44 B age 45–49: 19.87 B Age 50–54: 19.28 B Age 55–59: 25.98 B | Age 40–44: 187 Age 45–49: 210 Age 50–54: 211 Age 55–59: 217 | Age 40–44: 161 Age 45–49: 165 Age 50–54: 137 Age 55–59: 139 | Age 40–44: 1165 C Age 45–49: 883 C Age 50–54: 766 C Age 55–59: 743 C | Age 40–44: 873 C Age 45–49: 830 C Age 50–54: 711 C Age 55–59: 535 C |
| Buskila et al. (2000) [52] | Not provided (2210) | Chronic regional pain | Age 41–50: 14.00 Age 51–60: 19.00 | Age 41–50: 16.00 Age 51–60: 20.00 | Not provided | Not provided | Not provided | Not provided |
| Chronic widespread pain | Age 41–50: 15.00 Age 51–60: 27.00 | Age 41–50: 4.00 Age 51–60: 6.00 | Not provided | Not provided | Not provided | Not provided | ||
| Damsgård et al. (2020) [55] | 2737 (5546) | Chronic pain | Age 40–49: 48.62 Age 50–59: 51.07 | Age 40–49: 40.81 Age 50–59: 44.19 | Age 40–49: 353 D Age 50–59: 429 D | Age 40–49: 211 D Age 50–59: 289 D | Age 40–49: 726 D Age 50–59: 840 D | Age 40–49: 517 D Age 50–59: 654 D |
| Dominick et al. (2011) [65] | Not provided (12,488) | Chronic pain | Age 45–54: 20.50 (17.6–23.5) E | Age 45–54: 17.70, (14.5–21.0) E | Not provided | Not provided | Not provided | Not provided |
| Elliott et al. (2002) [56] | 326 (1608) | Chronic pain | Age 45–54: 51.1 (43.8–58.4) | Age 45–54: 42.4 (34.3–50.4) | Age 45–54: 92 F | Age 45–54: 62 F | Age 45–54: 180 F | Age 45–54: 146 F |
| Elzahaf et al. (2016) [50] | 332 (1212) | Chronic pain | Age 41–50: 44.72 B Age 51–60: 53.27 B | Age 41–50: 16.08 B Age 51–60: 30.65 B | Not provided | Not provided | Not provided | Not provided |
| Jakobsson (2010) [57] | 160 | Chronic pain | Age 45–59: 48 | Age 45–59: 42 | 41 G | 31 G | 86 | 74 |
| Johannes et al. (2010) [61] | 6687 (27,035) | Chronic pain | Age 45–54: 39.1 (36.3–42.0) E | Age 45–54: 31.9 (28.7–35.2) E | 1583 | 815 | 4194 | 2493 |
| Kamerman et al. (2020) [49] | 1373 (10,336) | Chronic pain | Age 45–54: 24.64 (21.34–28.57) B,E | Age 45–54: 17.32 (13.39–22.05) B,E | Not provided | Not provided | Not provided | Not provided |
| Mas et al. (2008) [60] | Not provided (2192) | Fibromyalgia | Age 40–49: 8.4 Age 50–59: 6.7 | Age 40–49: 0.6 Age 50–59: 0 | Not provided | Not provided | Not provided | Not provided |
| Miller et al. (2017) [66] | Not provided (16,412) | Chronic pain | Age 45–54: 19.54 B | Age 45–54: 15.99 B | Not provided | Not provided | Not provided | Not provided |
| Raftery et al. (2011) [58] | 242 (1204) | Chronic pain | Age 45–54: 40.3 | Age 45–54: 32.2 | Age 45–54:50 | Age 45–54: 38 | Age 45–54: 124 C | Age 45–54: 118 C |
| Turhanoğlu et al. (2008) [53] | 187 (600) | Fibromyalgia | Age 40–49: 17.0 Age 50–59: 20.0 | Age 40–49: 7.8 Age 50–59: 8.6 | Age 40–49: 9 Age 50–59: 7 | Age 40–49: 5 Age 50–59: 3 | Age 40–49: 53 Age 50–59: 35 | Age 40–49: 64 Age 50–59: 35 |
| White et al. (1999) [63] | 459 | Fibromyalgia | Age 45–54: 6.9 (6.2–7.6) | Age 45–54: 1.1 (0.4–2.9) | Age 45–54: 19 | Age 45–54: 2 | Age 45–54: 276 | Age 45–54: 183 |
| Wolfe et al. (1995) [62] E | 912 (3006) | Chronic regional pain | Age 40–49: 22.01 (19.4–24.6) E Age 50–59: 25.29 (22.3–28.3) E | Age 40–49: 20.44 (17.8–22.8) E Age 50–59: 23.45 (20.4–26.4) E | Not provided | Not provided | Not provided | Not provided |
| Chronic widespread pain | Age 40–49: 16.61 (14.0–19.0) E Age 50–59: 21.39 (18.2–24.6) E | Age 40–49: 9.51 (7.6–11.4) E Age 50–59: 12.65 (10.1–15.1) E | Not provided | Not provided | Not provided | Not provided | ||
| Fibromyalgia | Age 40–49: 3.4 (1.4–4.6) E Age 50–59: 5.6 (3.2–8.0) E | Age 40–49: 0.5 (0.0–1.0) E Age 50–59: 0.8 (0.0–1.7) E | Not provided | Not provided | Not provided | Not provided | ||
| Yeo and Tai (2009) [51] | Not provided (4141) | Chronic pain | Age 46–55: 13.65 B | Age 46–55: 8.62 B | Not provided | Not provided | Not provided | Not provided |
| Relative Risk (95% Confidence Interval Where Counts Are Available to Allow Calculation) for Female vs. Male Pain | ||||
|---|---|---|---|---|
| Study | Generic Chronic Pain | Chronic Regional Pain | Chronic Widespread Pain | Fibromyalgia |
| Andersson et al. (1994) [54] A | Age 45–49: 1.04 Age 50–54: 1.26 Age 55–59: 0.88 | |||
| Blyth et al. (2001) [64] B | Age 40–44: 0.87 (0.72, 1.05) Age 45–49: 1.20 (1.00, 1.43) Age 50–54: 1.43 (1.18, 1.73) Age 55–59: 1.12 (0.95, 1.35) | |||
| Buskila et al. (2000) [52] A | Age 41–50: 0.88 Age 51–60: 0.95 | Age 41–50: 3.75 Age 51–60: 4.5 | ||
| Damsgård et al. (2020) [55] B | Age 40–49: 1.19 (1.05, 1.35) Age 50–59: 1.16 (1.04, 1.29) | |||
| Dominick et al. (2011) [65] A C | Age 45–54: 1.17 | |||
| Elliott et al. (2002) [56] B | Age 45–54: 1.20 (0.95, 1.53) | |||
| Elzahaf et al. (2016) [50] A | Age 41–50: 2.81 Age 51–60: 1.71 | |||
| Jakobsson (2010) [57] B | Age 40–59: 1.14 (0.80, 1.61) | |||
| Johannes (2010) [61] B C | Age 45–54: 1.16 (1.08, 1.24) | |||
| Kamerman (2020) [49] A C | Age 45–54: 1.47 | |||
| Mas (2008) [60] A | Age 40–49: 8.0 | |||
| Age 50–59: N/A D | ||||
| Miller (2017) [66] A | Age 45–54: 1.25 | |||
| Raftery (2011) [58] B | Age 45–54: 1.25 (0.89–1.76) | |||
| Turhanoğlu (2008) [53] B | Age 40–49: 2.17 (0.78, 6.09) Age 50–59: 2.33 (0.66, 8.30) | |||
| White (1999) [63] B | Age 45–54: 6.23 (1.49, 26.72) | |||
| Wolfe (1995) [62] A C | Age 40–49: 1.10 Age 50–59: 1.09 | Age 40–49: 1.70 Age 50–59: 1.9169 | Age 40–49: 3.0 Age 50–59: 6.0 | |
| Yeo (2009) [51] A | Age 46–55: 1.56 | |||
| Study | Sample Size in Relevant Age Range (Total n of Original Study) | Pain Type | Pain Prevalence (%, 95% CI) | Number Reporting Pain | Sample Size | |||
|---|---|---|---|---|---|---|---|---|
| Female | Male | Female | Male | Female | Male | |||
| Blyth et al. (2001) [64] | 6506 (17,543) | Chronic pain | Age 40–59: 23.19 A | Age 40–59: 20.41 A | Age 40–59: 825 A | Age 40–59: 602 A | Age 40–59: 3557 A | Age 40–59: 2949 A |
| Damsgård et al. (2020) [55] | 2737 (5546) | Chronic pain | Age 40–59: 49.94 B | Age 40–59: 42.70 B | Age 40–59: 782 B | Age 40–59: 500 B | Age 40–59: 1566 B | Age 40–59: 1171 B |
| Elliott et al. (2002) [56] | 326 (1608) | Chronic pain | Age 45–54: 51.1 (43.8–58.4) | Age 45–54: 42.4 (34.3–50.4) | Age 45–54: 92 | Age 45–54: 62 | Age 45–54: 180 | Age 45–54: 146 |
| Jakobsson (2010) [57] | 160 | Chronic pain | Age 45–59: 48 | Age 45–59: 42 | Age 45–59: 41 | Age 45–59: 31 | Age 45–59: 86 | Age 45–59: |
| Johannes et al. (2010) [61] | 6687 (27,035) | Chronic pain | Age 45–54: 39.1 (36.3–42.0) | Age 45–54: 31.9 (28.7–35.2) | Age 45–54: 1583 | Age 45–54: 815 | Age 45–54: 4194 | Age 45–54: 2493 |
| Raftery et al. (2011) [58] | 242 (1204) | Chronic pain | Age 45–54: 40.3 | Age 45–54: 32.2 | Age 45–54: 50 | Age 45–54: 38 | Age 45–54: 124 | Age 45–54: 118 |
| Turhanoğlu et al. (2008) [53] | 187 (600) | Fibromyalgia | Age 40–59: 18.18 | Age 40–59: 8.08 | Age 40–59: 16 B | Age 40–59: 8 B | Age 40–59: 88 B | Age 40–59: 99 B |
| White et al. (1999) [63] | 459 | Fibromyalgia | Age 45–54: 6.9 (6.2–7.6) | Age 45–54: 1.1 (0.4–2.9) | Age 45–54: 19 | Age 45–54: 2 | Age 45–54: 276 | Age 45–54: 183 |
| Studies | Sample Size | Pooled Estimate (RRR) | 95% CI | I2 | |
|---|---|---|---|---|---|
| Primary analysis | |||||
| 8 | 17,304 | 1.16 | 1.11–1.21 | 0.00 | |
| Subgroup analysis by UN geographic region | |||||
| Africa | 0 | - | - | - | - |
| Asia | 1 | 187 | 2.25 | 1.01–5.00 | - |
| Europe | 4 | 3465 | 1.18 | 1.09–1.27 | 0.00 |
| Latin America and Caribbean | 0 | - | - | - | - |
| Northern America | 2 | 7146 | 2.30 | 0.45–11.77 | 81.08 |
| Oceania | 1 | 6506 | 1.14 | 1.04–1.25 | - |
| Subgroup analysis by CP type | |||||
| CP | 6 | 16,658 | 1.16 | 1.04–1.25 | 0.02 |
| Fibromyalgia | 2 | 646 | 3.13 | 1.22–8.04 | 33.04 |
| Subgroup analysis by threshold for chronicity | |||||
| 3 months | 7 | 10,617 | 1.17 | 1.10–1.24 | 0.00 |
| 6 months | 1 | 6687 | 1.16 | 1.08–1.24 | - |
| Subgroup analysis by risk of bias | |||||
| Low | 5 | 14,220 | 1.16 | 1.10–1.22 | 0.00 |
| Moderate | 1 | 160 | 1.14 | 0.80–1.61 | - |
| High | 2 | 2924 | 1.43 | 0.79–2.59 | 60.81 |
Disclaimer/Publisher’s Note: The statements, opinions and data contained in all publications are solely those of the individual author(s) and contributor(s) and not of MDPI and/or the editor(s). MDPI and/or the editor(s) disclaim responsibility for any injury to people or property resulting from any ideas, methods, instructions or products referred to in the content. |
© 2025 by the authors. Licensee MDPI, Basel, Switzerland. This article is an open access article distributed under the terms and conditions of the Creative Commons Attribution (CC BY) license (https://creativecommons.org/licenses/by/4.0/).
Share and Cite
Borra, C.; Pawson, J.; Rich, N.; Hardy, R. Sex Differences in the Prevalence of Chronic Pain in Mid-Life: A Systematic Review and Meta-Analysis. Biomedicines 2025, 13, 2523. https://doi.org/10.3390/biomedicines13102523
Borra C, Pawson J, Rich N, Hardy R. Sex Differences in the Prevalence of Chronic Pain in Mid-Life: A Systematic Review and Meta-Analysis. Biomedicines. 2025; 13(10):2523. https://doi.org/10.3390/biomedicines13102523
Chicago/Turabian StyleBorra, Catherine, Jessica Pawson, Nathalie Rich, and Rebecca Hardy. 2025. "Sex Differences in the Prevalence of Chronic Pain in Mid-Life: A Systematic Review and Meta-Analysis" Biomedicines 13, no. 10: 2523. https://doi.org/10.3390/biomedicines13102523
APA StyleBorra, C., Pawson, J., Rich, N., & Hardy, R. (2025). Sex Differences in the Prevalence of Chronic Pain in Mid-Life: A Systematic Review and Meta-Analysis. Biomedicines, 13(10), 2523. https://doi.org/10.3390/biomedicines13102523

