The Impact of Dry Eye Disease on Corneal Biomechanics Analyzed with Corneal Visualization Scheimpflug Technology
Abstract
1. Introduction
2. Materials and Methods
2.1. Participants
2.2. Defining the DED and Non-DED
2.3. Evaluating Dry Eye Symptoms
2.4. Assessing the Tear Film Homeostasis
2.5. Examining Corneal Surface Injuries
2.6. Determining Corneal Biomechanics
2.7. Statistical Analysis and Power Calculation
3. Results
3.1. Population Characteristics
3.2. Comparison of Corneal Biomechanics Between the Non-DED and DED Patients
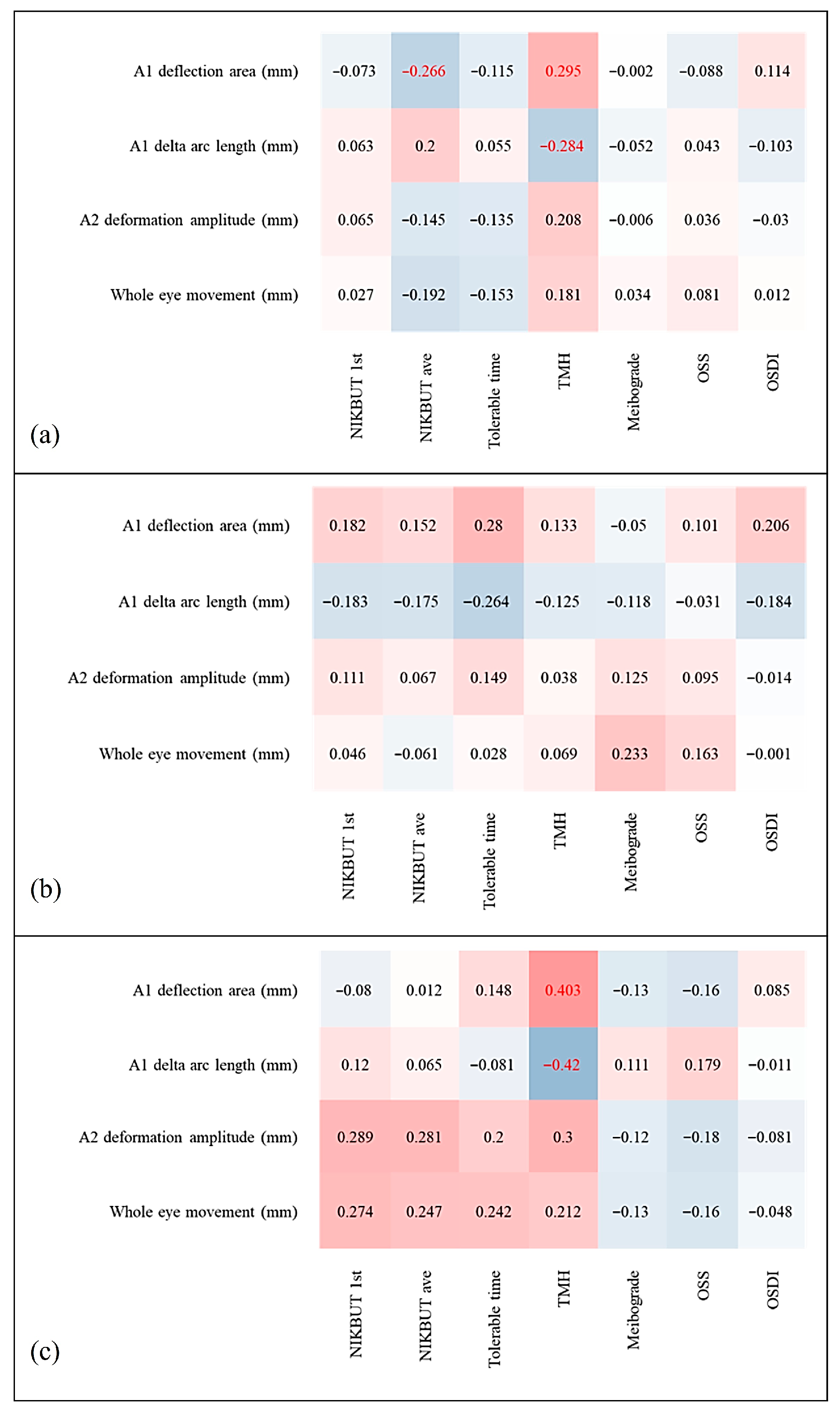
3.3. Relationships of Corvis ST Parameters and Dry Eye Parameters
4. Discussion
5. Conclusions
Supplementary Materials
Author Contributions
Funding
Institutional Review Board Statement
Informed Consent Statement
Data Availability Statement
Acknowledgments
Conflicts of Interest
Abbreviations
| DED | Dry eye disease |
| Corvis ST | Corneal Visualization Scheimpflug Technology |
| K5M | Keratograph® 5M |
| IOP | Intraocular pressure |
| SE | Spherical equivalence |
| OSDI | Ocular surface disease index |
| NIKBUT-1st | The first non-invasive keratograph break-up time |
| NIKBUT-ave | The average non-invasive keratograph break-up time |
| TMH | Tear meniscus height |
| OSS | Oxford staining score |
| A1 | The first applanation |
| A2 | The second applanation |
| DA | Deformation amplitude |
| DA_c | Deflection amplitude |
| DL | Deflection length |
| dArcL | The change of arc length within 7 mm corneal center |
| Darea | Deflection area |
| HC | The highest concavity |
| WEM | Whole eye movement |
| Max | Maximal |
| ICR | Inverse concave radius |
| bIOP | Biomechanically corrected intraocular pressure |
| SSI | Stress strain index |
| Pachy Slope (a.u.) | The slope of corneal thickness (arbitrary unit) |
| DA Ratio 1 mm (2 mm) | DA ratio between cornea apex and paracentral 1 mm (2 mm) |
| ARTh | Ambrosio Relational Thickness horizontal |
| SP-A1 | Stiffness parameter at the first applanation |
| CBI | Corneal (or Corvis) biomechanical index |
References
- Nelson, J.D.; Craig, J.P.; Akpek, E.K.; Azar, D.T.; Belmonte, C.; Bron, A.J.; Clayton, J.A.; Dogru, M.; Dua, H.S.; Foulks, G.N.; et al. TFOS DEWS II Introduction. Ocul. Surf. 2017, 15, 269–275. [Google Scholar] [CrossRef]
- Stapleton, F.; Alves, M.; Bunya, V.Y.; Jalbert, I.; Lekhanont, K.; Malet, F.; Na, K.S.; Schaumberg, D.; Uchino, M.; Vehof, J.; et al. TFOS DEWS II Epidemiology Report. Ocul. Surf. 2017, 15, 334–365. [Google Scholar] [CrossRef]
- Jones, L.; Downie, L.E.; Korb, D.; Benitez-Del-Castillo, J.M.; Dana, R.; Deng, S.X.; Dong, P.N.; Geerling, G.; Hida, R.Y.; Liu, Y.; et al. TFOS DEWS II Management and Therapy Report. Ocul. Surf. 2017, 15, 575–628. [Google Scholar] [CrossRef]
- Wolffsohn, J.S.; Wang, M.T.M.; Vidal-Rohr, M.; Menduni, F.; Dhallu, S.; Ipek, T.; Acar, D.; Recchioni, A.; France, A.; Kingsnorth, A.; et al. Demographic and lifestyle risk factors of dry eye disease subtypes: A cross-sectional study. Ocul. Surf. 2021, 21, 58–63. [Google Scholar] [CrossRef]
- McDonald, M.; Patel, D.A.; Keith, M.S.; Snedecor, S.J. Economic and Humanistic Burden of Dry Eye Disease in Europe, North America, and Asia: A Systematic Literature Review. Ocul. Surf. 2016, 14, 144–167. [Google Scholar] [CrossRef] [PubMed]
- Efraim, Y.; Chen, F.Y.T.; Stashko, C.; Cheong, K.N.; Gaylord, E.; McNamara, N.; Knox, S.M. Alterations in corneal biomechanics underlie early stages of autoimmune-mediated dry eye disease. J. Autoimmun. 2020, 114, 102500. [Google Scholar] [CrossRef]
- Long, Q.; Wang, J.Y.; Xu, D.; Li, Y. Comparison of corneal biomechanics in Sjogren’s syndrome and non-Sjogren’s syndrome dry eyes by Scheimpflug based device. Int. J. Ophthalmol. 2017, 10, 711–716. [Google Scholar] [PubMed]
- Satitpitakul, V.; Taweekitikul, P.; Puangsricharern, V.; Kasetsuwan, N.; Reinprayoon, U.; Kittipibul, T. Alteration of corneal biomechanical properties in patients with dry eye disease. PLoS ONE 2021, 16, e0254442. [Google Scholar] [CrossRef]
- Long, Q.; Wang, J.; Yang, X.; Jin, Y.; Ai, F.; Li, Y. Assessment of Corneal Biomechanical Properties by CorVis ST in Patients with Dry Eye and in Healthy Subjects. J. Ophthalmol. 2015, 2015, 380624. [Google Scholar] [CrossRef] [PubMed]
- Yang, S.; Zhang, J.; Tan, Y.; Wang, Y. Unraveling the mechanobiology of cornea: From bench side to the clinic. Front. Bioeng. Biotechnol. 2022, 10, 953590. [Google Scholar] [CrossRef]
- Reyes, J.L.; Vannan, D.T.; Eksteen, B.; Avelar, I.J.; Rodriguez, T.; Gonzalez, M.I.; Mendoza, A.V. Innate and Adaptive Cell Populations Driving Inflammation in Dry Eye Disease. Mediat. Inflamm. 2018, 2018, 2532314. [Google Scholar] [CrossRef] [PubMed]
- Harrell, C.R.; Feulner, L.; Djonov, V.; Pavlovic, D.; Volarevic, V. The Molecular Mechanisms Responsible for Tear Hyperosmolarity-Induced Pathological Changes in the Eyes of Dry Eye Disease Patients. Cells 2023, 12, 2755. [Google Scholar] [CrossRef] [PubMed]
- De Paiva, C.S.; Chotikavanich, S.; Pangelinan, S.B.; Pitcher, J.D., 3rd; Fang, B.; Zheng, X.; Ma, P.; Farley, W.J.; Siemasko, K.F.; Niederkorn, J.Y.; et al. IL-17 disrupts corneal barrier following desiccating stress. Mucosal Immunol. 2009, 2, 243–253. [Google Scholar] [CrossRef] [PubMed]
- Ma, J.; Wang, Y.; Wei, P.; Jhanji, V. Biomechanics and structure of the cornea: Implications and association with corneal disorders. Surv. Ophthalmol. 2018, 63, 851–861. [Google Scholar] [CrossRef]
- Lan, G.; Twa, M.D.; Song, C.; Feng, J.; Huang, Y.; Xu, J.; Qin, J.; An, L.; Wei, X. In vivo corneal elastography: A topical review of challenges and opportunities. Comput. Struct. Biotechnol. J. 2023, 21, 2664–2687. [Google Scholar] [CrossRef] [PubMed]
- Koprowski, R. Automatic method of analysis and measurement of additional parameters of corneal deformation in the Corvis tonometer. Biomed. Eng. Online 2014, 13, 150. [Google Scholar] [CrossRef]
- Fotovat-Ahmadi, N.; Siddiqui, O.; Ong, J.; Thanitcul, C.; Reinhardt, C.; Cologna, S.M.; Aakalu, V.K. The ocular surface tear film as a biomarker for systemic health. Ocul. Surf. 2025, 37, 283–300. [Google Scholar] [CrossRef]
- Da Silva, F.; Linhares, J.M.M.; Lira, M. The influence of the tear film on the intraocular pressure and the corneal biomechanical properties analyzed with the Ocular Response Analyzer. J. Optom. 2024, 17, 100488. [Google Scholar] [CrossRef]
- Komninou, M.A.; Seiler, T.G.; Enzmann, V. Corneal biomechanics and diagnostics: A review. Int. Ophthalmol. 2024, 44, 132. [Google Scholar] [CrossRef]
- Johnson, M.E.; Murphy, P.J. Changes in the tear film and ocular surface from dry eye syndrome. Prog. Retin. Eye Res. 2004, 23, 449–474. [Google Scholar] [CrossRef]
- Craig, J.P.; Nichols, K.K.; Akpek, E.K.; Caffery, B.; Dua, H.S.; Joo, C.K.; Liu, Z.; Nelson, J.D.; Nichols, J.J.; Tsubota, K.; et al. TFOS DEWS II Definition and Classification Report. Ocul. Surf. 2017, 15, 276–283. [Google Scholar] [CrossRef]
- Wang, M.T.M.; Craig, J.P. Comparative Evaluation of Clinical Methods of Tear Film Stability Assessment: A Randomized Crossover Trial. JAMA Ophthalmol. 2018, 136, 291–294. [Google Scholar] [CrossRef]
- Vidas Pauk, S.; Petricek, I.; Jukic, T.; Popovic-Suic, S.; Tomic, M.; Kalauz, M.; Jandrokovic, S.; Masnec, S. Noninvasive Tear Film Break-up Time Assessment Using Handheld Lipid Layer Examination Instrument. Acta Clin. Croat. 2019, 58, 63–71. [Google Scholar] [CrossRef] [PubMed]
- Szczesna-Iskander, D.H.; Llorens-Quintana, C. Agreement between invasive and noninvasive measurement of tear film breakup time. Sci. Rep. 2024, 14, 3852. [Google Scholar] [CrossRef]
- Schiffman, R.M.; Christianson, M.D.; Jacobsen, G.; Hirsch, J.D.; Reis, B.L. Reliability and validity of the Ocular Surface Disease Index. Arch Ophthalmol. 2000, 118, 615–621. [Google Scholar] [CrossRef] [PubMed]
- Tian, L.; Qu, J.H.; Zhang, X.Y.; Sun, X.G. Repeatability and Reproducibility of Noninvasive Keratograph 5M Measurements in Patients with Dry Eye Disease. J. Ophthalmol. 2016, 2016, 8013621. [Google Scholar] [CrossRef]
- Pult, H.; Riede-Pult, B. Comparison of subjective grading and objective assessment in meibography. Contact Lens Anterior Eye 2013, 36, 22–27. [Google Scholar] [CrossRef]
- Bron, A.J.; Evans, V.E.; Smith, J.A. Grading of corneal and conjunctival staining in the context of other dry eye tests. Cornea 2003, 22, 640–650. [Google Scholar] [CrossRef]
- Vinciguerra, R.; Ambrosio, R., Jr.; Elsheikh, A.; Roberts, C.J.; Lopes, B.; Morenghi, E.; Azzolini, C.; Vinciguerra, P. Detection of Keratoconus with a New Biomechanical Index. J. Refract. Surg. 2016, 32, 803–810. [Google Scholar] [CrossRef]
- Lin, F.Y.; Ho, R.W.; Yu, H.J.; Yang, I.H.; Fang, P.C.; Kuo, M.T. Impacts and Correlations on Corneal Biomechanics, Corneal Optical Density and Intraocular Pressure after Cataract Surgery. Diagnostics 2024, 14, 1557. [Google Scholar] [CrossRef]
- Jedzierowska, M.; Koprowski, R. Novel dynamic corneal response parameters in a practice use: A critical review. Biomed. Eng. Online 2019, 18, 17. [Google Scholar] [CrossRef]
- Valbon, B.F.; Ambrosio, R., Jr.; Fontes, B.M.; Luz, A.; Roberts, C.J.; Alves, M.R. Ocular biomechanical metrics by CorVis ST in healthy Brazilian patients. J. Refract. Surg. 2014, 30, 468–473. [Google Scholar] [CrossRef]
- Yang, K.; Xu, L.; Fan, Q.; Gu, Y.; Song, P.; Zhang, B.; Zhao, D.; Pang, C.; Ren, S. Evaluation of new Corvis ST parameters in normal, Post-LASIK, Post-LASIK keratectasia and keratoconus eyes. Sci. Rep. 2020, 10, 5676. [Google Scholar] [CrossRef]
- Tung, C.I.; Perin, A.F.; Gumus, K.; Pflugfelder, S.C. Tear meniscus dimensions in tear dysfunction and their correlation with clinical parameters. Am. J. Ophthalmol. 2014, 157, 301–310.e1. [Google Scholar] [CrossRef]
- Blackburn, B.J.; Jenkins, M.W.; Rollins, A.M.; Dupps, W.J. A Review of Structural and Biomechanical Changes in the Cornea in Aging, Disease, and Photochemical Crosslinking. Front. Bioeng. Biotechnol. 2019, 7, 66. [Google Scholar] [CrossRef] [PubMed]
- Pradhan, Z.S.; Sreenivasaiah, S.; Deshmukh, S.; Mangala, L.; Shroff, S.; Devi, S.; Webers, C.A.; Rao, H.L. Factors affecting corneal deformation amplitude measured by Corvis ST in eyes with open-angle glaucoma. Indian J. Ophthalmol. 2024, 72, 533–537. [Google Scholar] [CrossRef]
- Asaoka, R.; Nakakura, S.; Tabuchi, H.; Murata, H.; Nakao, Y.; Ihara, N.; Rimayanti, U.; Aihara, M.; Kiuchi, Y. The Relationship between Corvis ST Tonometry Measured Corneal Parameters and Intraocular Pressure, Corneal Thickness and Corneal Curvature. PLoS ONE 2015, 10, e0140385. [Google Scholar] [CrossRef] [PubMed]
- Hwang, H.S.; Kim, E.C.; Kim, M.S.; Yang, S.W. A novel method for quantifying the biomechanical parameters of orbital soft tissue using a corneal dynamic scheimpflug analyser: A retrospective study. BMC Ophthalmol. 2019, 19, 53. [Google Scholar] [CrossRef] [PubMed]
- He, X.; Wang, S.; Sun, H.; He, H.; Shi, Y.; Wu, Y.; Wu, H.; Liu, Z.; Zhuang, J.; Li, W. Lacrimal Gland Microenvironment Changes After Obstruction of Lacrimal Gland Ducts. Investig. Ophthalmol. Vis. Sci. 2022, 63, 14. [Google Scholar] [CrossRef]
- Zhang, M.; Tian, X.; Wu, Y.; Zhang, L.; Zhang, L.; Zheng, X.; Ou, S.; Gu, H. Establishment of A Mouse Model of Aqueous Deficiency Dry Eye. J. Vis. Exp. 2024, 213, e67317. [Google Scholar] [CrossRef]
- Grieve, K.; Ghoubay, D.; Georgeon, C.; Latour, G.; Nahas, A.; Plamann, K.; Crotti, C.; Bocheux, R.; Borderie, M.; Nguyen, T.M.; et al. Stromal striae: A new insight into corneal physiology and mechanics. Sci. Rep. 2017, 7, 13584. [Google Scholar] [CrossRef] [PubMed]
- Dogru, M.; Simsek, C.; Kojima, T.; Aketa, N.; Tsubota, K.; Shimazaki, J. The Impact of Noncontact Tonometry and Icare Rebound Tonometry on Tear Stability and Dry Eye Clinical Practice. J. Clin. Med. 2022, 11, 2819. [Google Scholar] [CrossRef]
- Yousefi, A.; Ma, Y.; Roberts, C.J.; Moroi, S.E.; Reilly, M.A. Hydrodynamic Interaction Between Tear Film and Air Puff from Noncontact Tonometry. Transl. Vis. Sci. Technol. 2022, 11, 2. [Google Scholar] [CrossRef]
- Wolffsohn, J.S.; Arita, R.; Chalmers, R.; Djalilian, A.; Dogru, M.; Dumbleton, K.; Gupta, P.K.; Karpecki, P.; Lazreg, S.; Pult, H.; et al. TFOS DEWS II Diagnostic Methodology report. Ocul. Surf. 2017, 15, 539–574. [Google Scholar] [CrossRef]
- Behrens, A.; Doyle, J.J.; Stern, L.; Chuck, R.S.; McDonnell, P.J.; Azar, D.T.; Dua, H.S.; Hom, M.; Karpecki, P.M.; Laibson, P.R.; et al. Dysfunctional tear syndrome: A Delphi approach to treatment recommendations. Cornea 2006, 25, 900–907. [Google Scholar] [CrossRef]
- Yazdani, M.; Fiskadal, J.; Chen, X.; Utheim, O.A.; Raeder, S.; Vitelli, V.; Utheim, T.P. Tear Film Break-Up Time and Dry Eye Disease Severity in a Large Norwegian Cohort. J. Clin. Med. 2021, 10, 884. [Google Scholar] [CrossRef]
- Alfaro-Juarez, A.; Caro-Magdaleno, M.; Montero-Iruzubieta, J.; Fernandez-Palacin, A.; Munoz-Morales, A.; Castilla-Martino, M.A.; Spinola-Munoz, C.; Rodriguez de la Rua, E. Keratograph 5M As a Useful and Objective Tool for Evaluating the Ocular Surface in Limbal Stem Cell Deficiency. Clin. Ophthalmol. 2019, 13, 2025–2033. [Google Scholar] [CrossRef] [PubMed]
- Wolffsohn, J.S.; Benitez-Del-Castillo, J.M.; Loya-Garcia, D.; Inomata, T.; Iyer, G.; Liang, L.; Pult, H.; Sabater, A.L.; Starr, C.E.; Vehof, J.; et al. TFOS DEWS III: Diagnostic Methodology. Am. J. Ophthalmol. 2025, 279, 387–450. [Google Scholar] [CrossRef] [PubMed]


| Characteristics a | All Participants (n = 72) | Non-DED (n = 38) | DED (n = 34) | p Value |
|---|---|---|---|---|
| Basic characters | ||||
| Age (year) | 64.0 (15.0) | 62.0 (12.0) | 64.0 (17.0) | 0.458 |
| Gender (female; %) | 71 (92.2) | 37 (97.4) | 31 (91.2) | 0.338 |
| Sjogren syndrome (%) | 40 (55.6) | 19 (50) | 21 (61.8) | 0.350 |
| SE (diopter) | −0.25 (3.75) | −0.25 (3.88) | −0.13 (3.37) | 0.721 |
| IOP (mmHg) | 15.0 (3.5) | 15.0 (3.6) | 14.5 (3.1) | 0.874 |
| Tear film homeostatic parameters | ||||
| OSDI | 49.0 (67.8) | 48.0 (34.5) | 50.0 (47.5) | 0.491 |
| NIKBUT-1st (s) | 4.01 (2.47) | 4.40 (3.15) | 3.44 (1.80) | 0.001 * |
| NIKBUT-ave (s) | 6.14 (3.87) | 8.48 (7.34) | 4.59 (2.47) | <0.001 * |
| NIKBUT tolerability (s) | 10.13 (7.20) | 12.78 (12.83) | 6.18 (3.20) | <0.001 * |
| TMH (mm) | 0.16 (0.13) | 0.15 (0.07) | 0.17 (0.17) | 0.255 |
| Meibograde | 2.0 (2.0) | 2.0 (2.0) | 3.0 (2.0) | 0.396 |
| OSS | 0.0 (1.0) | 0.0 (1.0) | 0.5 (1.8) | 0.278 |
| Corvis ST Parameters a | Non-DED (n = 38) | DED (n = 34) | p Value b |
|---|---|---|---|
| Basic parameters | |||
| A1 indices | |||
| A1 Time (ms) | 7.12 (0.52) | 7.09 (0.41) | 0.897 |
| A1 Velocity (m/s) | 0.16 (0.03) | 0.16 (0.03) | 0.685 |
| A1 DA (mm) | 0.15 (0.02) | 0.15 (0.02) | 0.693 |
| A1 DA_c (mm) | 0.11 (0.01) | 0.11 (0.01) | 0.063 |
| A1 DL (mm) | 2.41 (0.28) | 2.47 (0.22) | 0.092 |
| A1 dArcL (mm) | −0.022 (0.007) | −0.023 (0.006) | 0.024 * |
| A1 Darea (mm2) | 0.19 (0.04) | 0.22 (0.04) | 0.002 * |
| A2 indices | |||
| A2 Time (ms) | 20.6 (0.5) | 20.7 (0.4) | 0.875 |
| A2 Velocity (m/s) | −0.39 (0.06) | −0.39 (0.05) | 0.664 |
| A2 DA (mm) | 0.41 (0.11) | 0.46 (0.12) | 0.024 * |
| A2 DA_c (mm) | 0.13 (0.03) | 0.13 (0.02) | 0.477 |
| A2 DL (mm) | 2.81 (0.93) | 2.96 (0.89) | 0.531 |
| A2 dArcL (mm) | −0.03 (0.01) | −0.03 (0.01) | 0.326 |
| A2 Darea (mm2) | 0.28 (0.11) | 0.30 (0.10) | 0.463 |
| HC indices | |||
| HC Time (ms) | 17.3 (0.8) | 17.3 (0.9) | 0.772 |
| HC DA (mm) c | 1.12 (0.17) | 1.12 (0.17) | 0.644 |
| HC DA_c (mm) | 0.92 (0.20) | 0.90 (0.17) | 0.835 |
| HC DL (mm) | 6.29 (0.84) | 6.23 (0.78) | 0.681 |
| HC dArcL (mm) | −0.15 (0.03) | −0.15 (0.03) | 0.580 |
| HC Darea (mm2) | 3.17 (0.98) | 3.16 (0.83) | 0.875 |
| Limit indices | |||
| WEM (mm) | 0.30 (0.14) | 0.36 (0.13) | 0.021 * |
| WEM time (ms) | 21.6 (1.4) | 21.9 (0.7) | 0.183 |
| Max DA (mm) c | 1.12 (0.17) | 1.12 (0.17) | 0.644 |
| Max DA_c (mm) | 0.95 (0.17) | 0.92 (0.12) | 0.616 |
| Max DA_c time (ms) | 15.7 (1.7) | 16.4 (1.5) | 0.191 |
| Max dArcL (mm) | −0.17 (0.05) | −0.19 (0.04) | 0.112 |
| Max ICR (mm−1) | 0.19 (0.03) | 0.19 (0.02) | 0.826 |
| Peak Distance (mm) | 4.96 (0.46) | 4.81 (0.36) | 0.652 |
| Radius (mm) | 6.47 (1.20) | 6.75 (1.20) | 0.787 |
| Integrated parameters | |||
| bIOP (mmHg) | 14.3 (3.5) | 13.6 (2.5) | 0.202 |
| SSI (mmHg/mm) | 1.18 (0.34) | 1.26 (0.39) | 0.299 |
| Pachy Slope (a.u.) | 41.3 (18.6) | 45.8 (12.2) | 0.143 |
| Max DA Ratio 1 mm (a.u.) | 1.57 (0.09) | 1.57 (0.06) | 0.588 |
| Max DA Ratio 2 mm (a.u.) | 4.48 (0.84) | 4.38 (0.59) | 0.830 |
| ARTh (mm) | 490 (184) | 482(166) | 0.443 |
| Integrated Radius (mm) | 8.42 (1.34) | 8.17 (1.22) | 0.600 |
| SP-A1 (mmHg/mm) | 99.5 (24.2) | 95.2 (23.9) | 0.398 |
| CBI (a.u.) | 0.36 (0.44) | 0.31 (0.48) | 0.795 |
Disclaimer/Publisher’s Note: The statements, opinions and data contained in all publications are solely those of the individual author(s) and contributor(s) and not of MDPI and/or the editor(s). MDPI and/or the editor(s) disclaim responsibility for any injury to people or property resulting from any ideas, methods, instructions or products referred to in the content. |
© 2025 by the authors. Licensee MDPI, Basel, Switzerland. This article is an open access article distributed under the terms and conditions of the Creative Commons Attribution (CC BY) license (https://creativecommons.org/licenses/by/4.0/).
Share and Cite
Chiu, L.-W.; Ho, R.-W.; Yu, H.-J.; Fang, P.-C.; Yang, I.-H.; Kuo, M.-T. The Impact of Dry Eye Disease on Corneal Biomechanics Analyzed with Corneal Visualization Scheimpflug Technology. Biomedicines 2025, 13, 2524. https://doi.org/10.3390/biomedicines13102524
Chiu L-W, Ho R-W, Yu H-J, Fang P-C, Yang I-H, Kuo M-T. The Impact of Dry Eye Disease on Corneal Biomechanics Analyzed with Corneal Visualization Scheimpflug Technology. Biomedicines. 2025; 13(10):2524. https://doi.org/10.3390/biomedicines13102524
Chicago/Turabian StyleChiu, Li-Wen, Ren-Wen Ho, Hun-Ju Yu, Po-Chiung Fang, I-Hui Yang, and Ming-Tse Kuo. 2025. "The Impact of Dry Eye Disease on Corneal Biomechanics Analyzed with Corneal Visualization Scheimpflug Technology" Biomedicines 13, no. 10: 2524. https://doi.org/10.3390/biomedicines13102524
APA StyleChiu, L.-W., Ho, R.-W., Yu, H.-J., Fang, P.-C., Yang, I.-H., & Kuo, M.-T. (2025). The Impact of Dry Eye Disease on Corneal Biomechanics Analyzed with Corneal Visualization Scheimpflug Technology. Biomedicines, 13(10), 2524. https://doi.org/10.3390/biomedicines13102524

