The Effects of Synthetic Polymers on the Release Patterns of Bupivacaine Hydrochloride from Sodium Hyaluronate Hydrogels
Abstract
1. Introduction
2. Materials and Methods
2.1. Hydrogel Preparation
2.2. Viscosity Measurements
2.3. Dissolution Tests
2.4. Difference Factor and Similarity Factor
2.5. Kinetic Study
2.6. Statistical Analysis
2.7. FTIR-ATR Measurements
2.8. DSC Measurements
3. Results and Discussion
3.1. Viscosity Study
3.2. Release Study
3.3. Release Curve Comparison
3.4. Kinetic Analysis
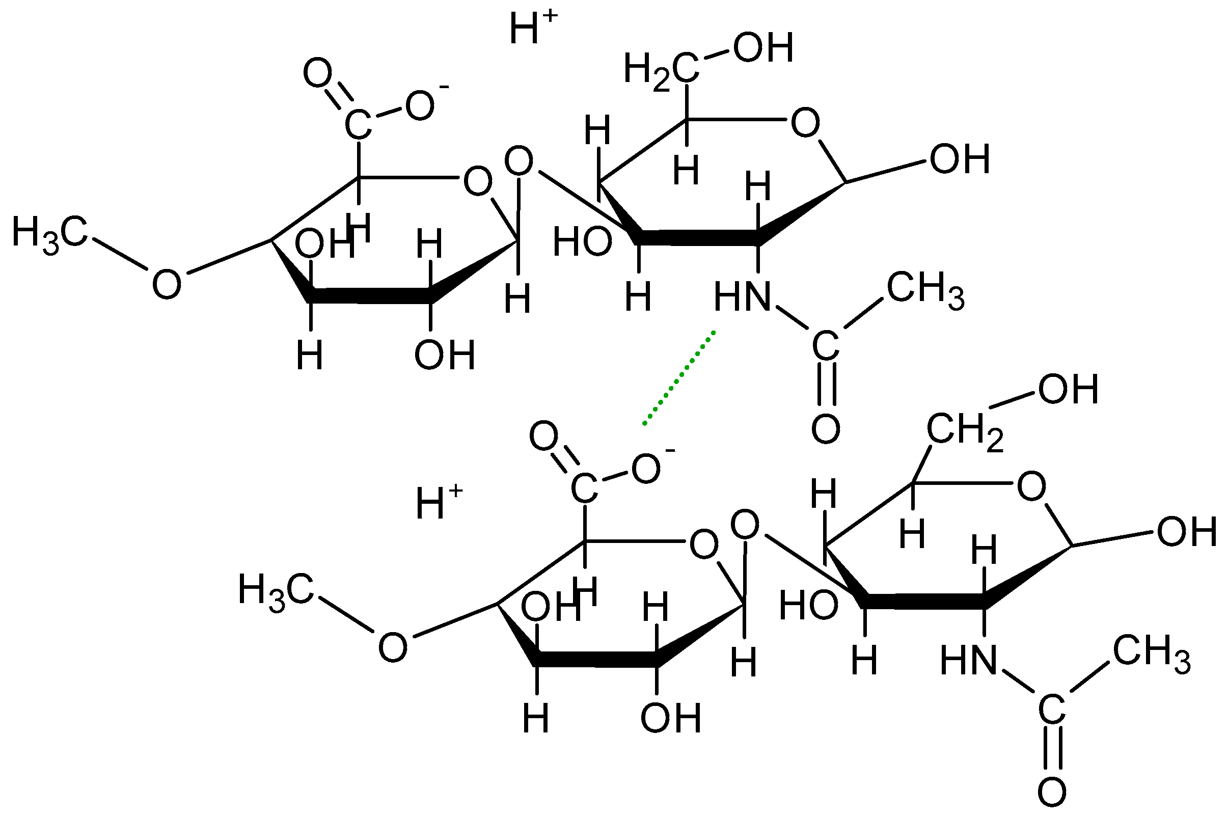
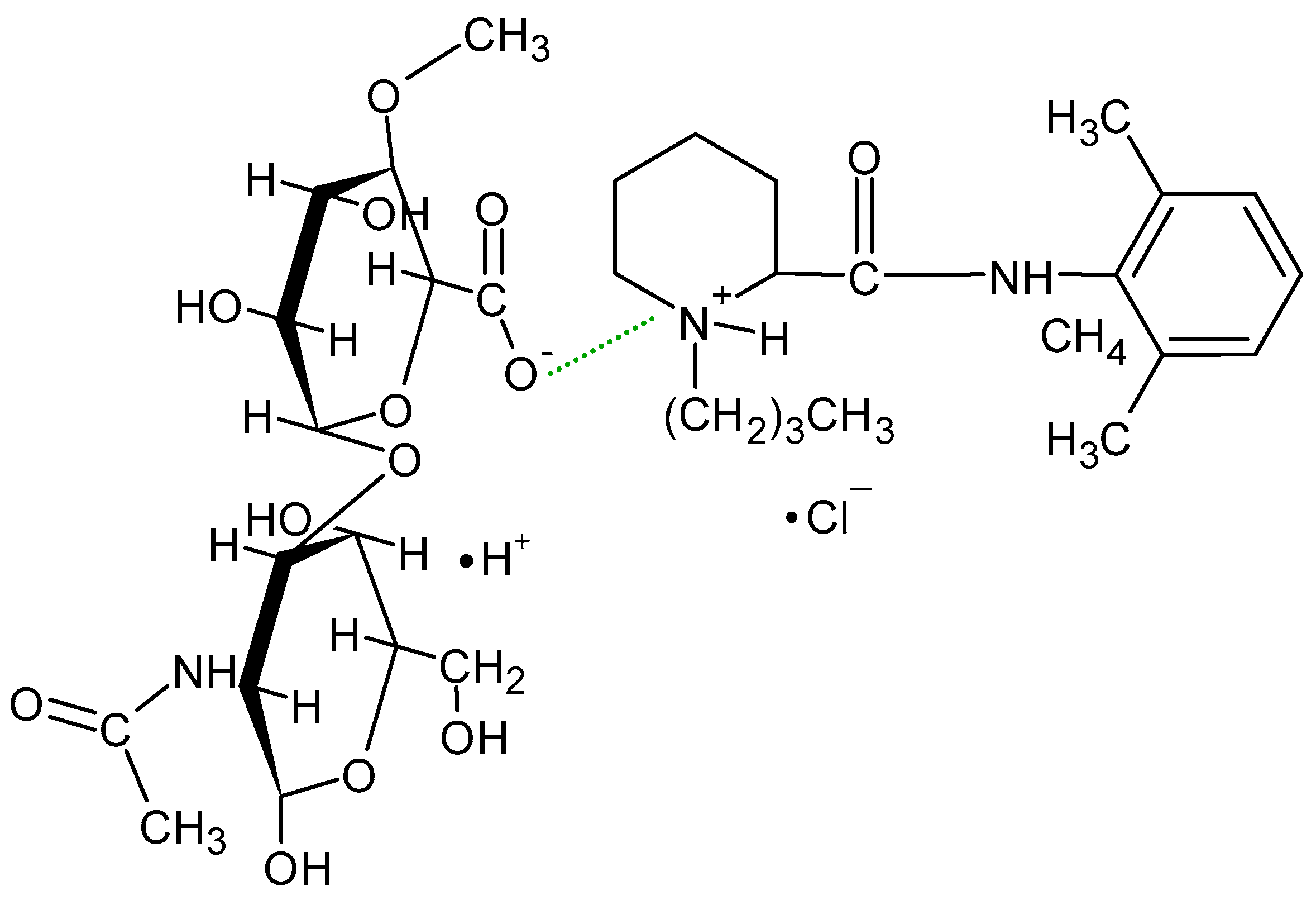
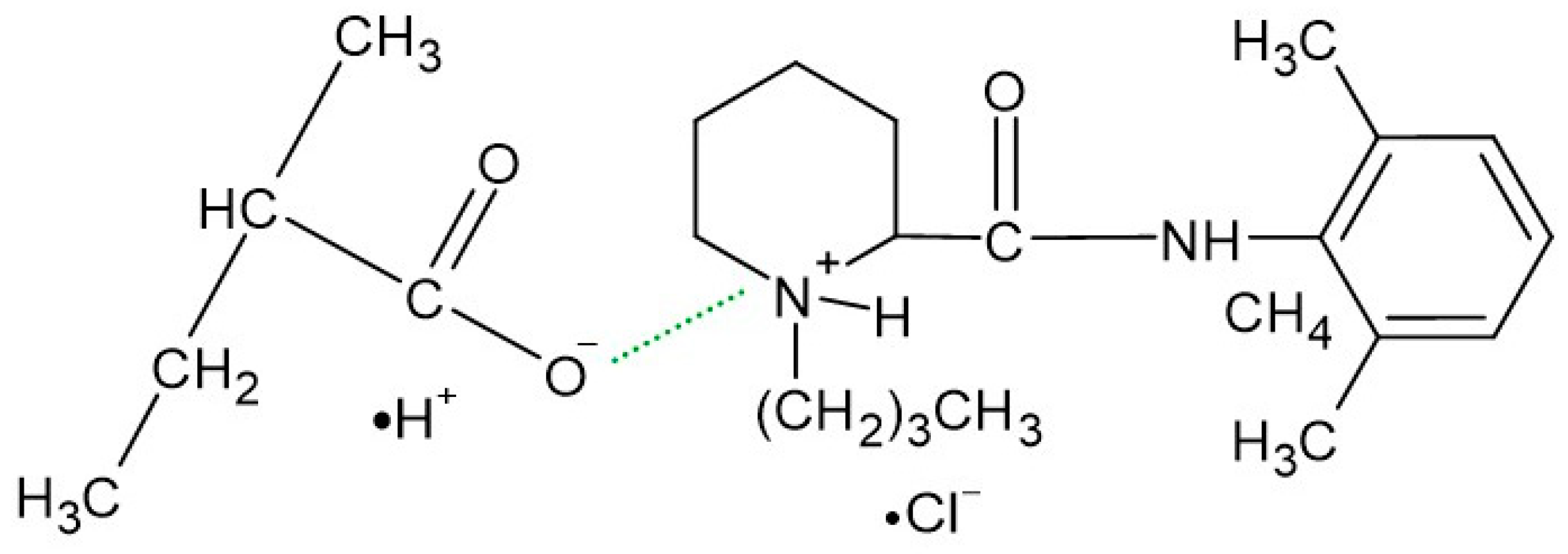
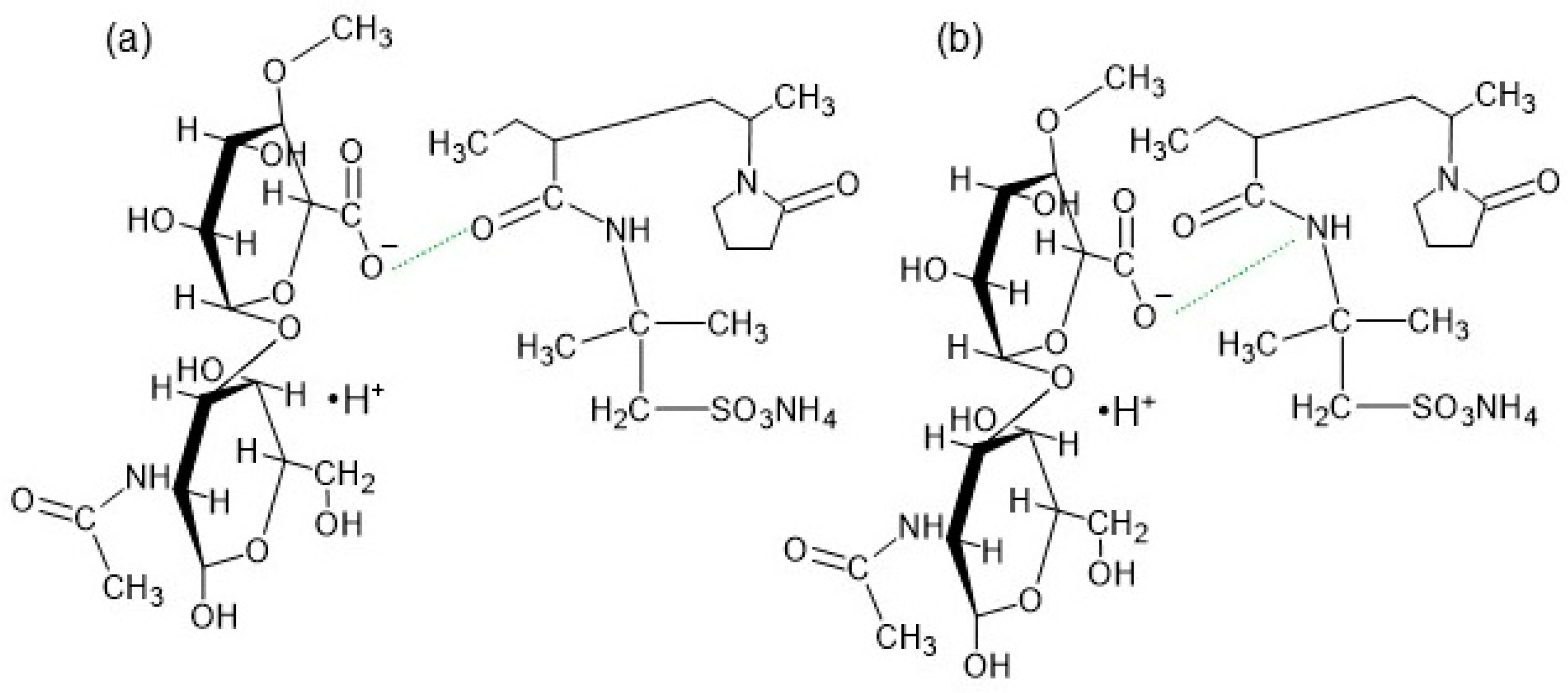
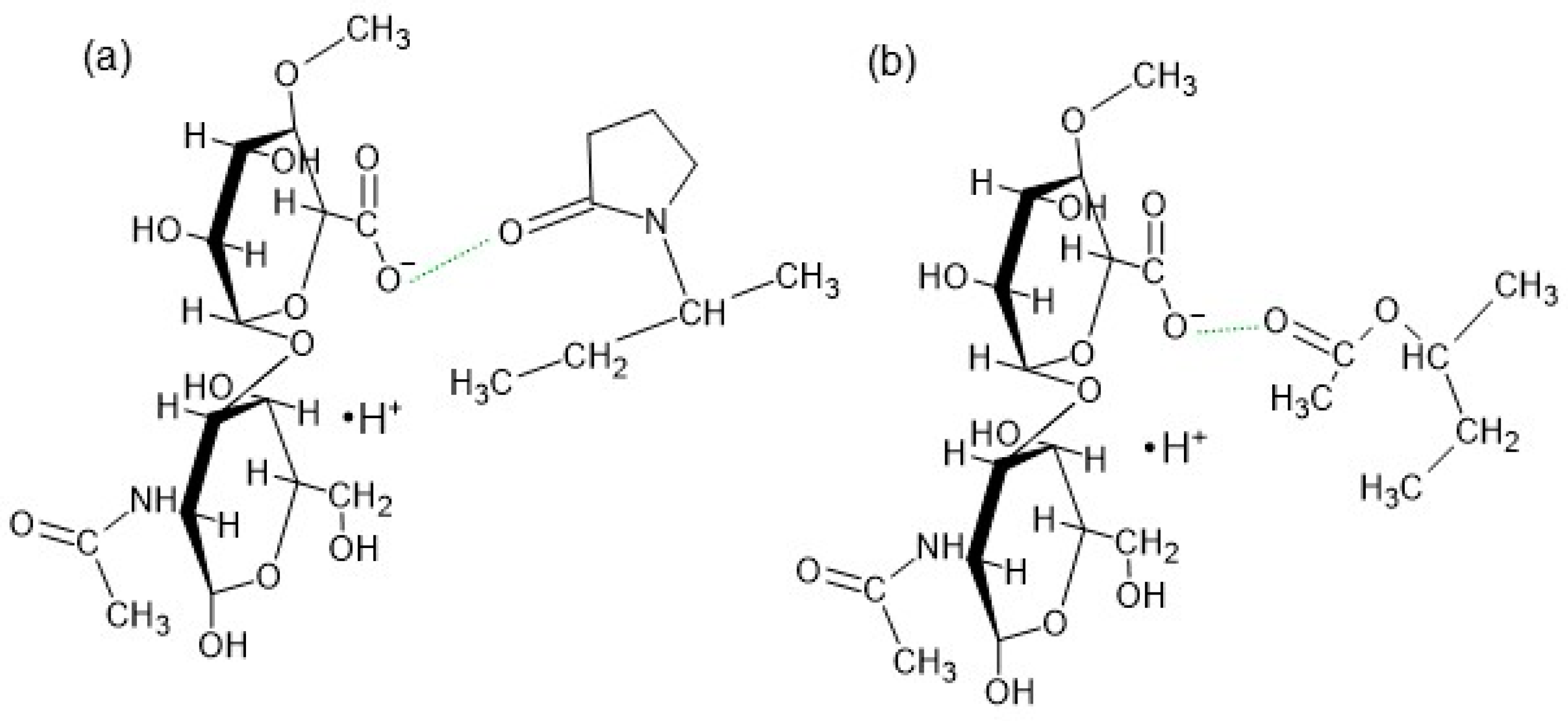
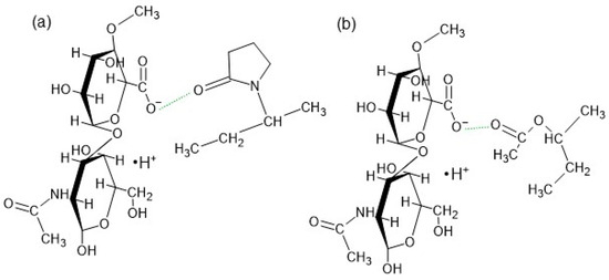
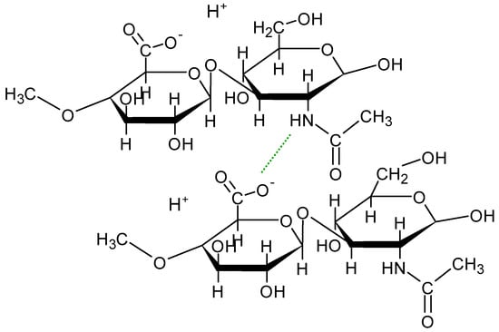
3.5. FTIR-ATR Study
3.6. DSC Investigation
4. Conclusions
Supplementary Materials
Author Contributions
Funding
Institutional Review Board Statement
Informed Consent Statement
Data Availability Statement
Acknowledgments
Conflicts of Interest
References
- Thang, N.H.; Chien, T.B.; Cuong, D.X. Polymer-Based Hydrogels Applied in Drug Delivery: An Overview. Gels 2023, 9, 523. [Google Scholar] [CrossRef] [PubMed]
- Mahmood, A.; Patel, D.; Hickson, B.; Desrochers, J.; Hu, X. Recent Progress in Biopolymer-Based Hydrogel Materials for Biomedical Applications. Int. J. Mol. Sci. 2022, 23, 1415–1435. [Google Scholar] [CrossRef] [PubMed]
- Vigata, M.; Meinert, C.; Hutmacher, D.W.; Bock, N. Hydrogels as drug delivery systems: A review of current characterization and evaluation techniques. Pharmaceutics 2020, 12, 1188–1233. [Google Scholar] [CrossRef]
- Valachová, K.; Hassan, M.E.; Šoltés, L. Hyaluronan: Sources, Structure, Features and Applications. Molecules 2024, 29, 739–754. [Google Scholar] [CrossRef]
- Fallacara, A.; Baldini, E.; Manfredini, S.; Vertuani, S. Hyaluronic acid in the third millennium. Polymers 2018, 10, 701–738. [Google Scholar] [CrossRef] [PubMed]
- Snetkov, P.; Zakharova, K.; Morozkina, S.; Olekhnovich, R. Hyaluronic Acid: The Influence of Molecular Weight and Degradable Properties of Biopolymer. Polymers 2020, 12, 1800–1833. [Google Scholar] [CrossRef]
- Budai, L.; Budai, M.; Fülöpné Pápay, Z.E.; Vilimi, Z.; Antal, I. Rheological Considerations of Pharmaceutical Formulations: Focus on Viscoelasticity. Gels 2023, 9, 469–489. [Google Scholar] [CrossRef]
- Jones, I.A.; Togashi, R.; Wilson, M.L.; Heckmann, N.; Vangsness, C.T. Intra-articular treatment options for knee osteoarthritis. Nat. Rev. Rheumatol. 2019, 15, 77–90. [Google Scholar] [CrossRef]
- Kotela, A.; Sarzynska, S.; Wozniak, M.; Łegosz, P.; Starczynska, M.; Kotela, I. Viscosupplementation in prevention and treatment of the degenerative joint disease. Med. Stud. 2015, 31, 300–306. [Google Scholar] [CrossRef]
- Abate, M.; Vanni, D.; Pantalone, A.; Salini, V. Hyaluronic acid in knee osteoarthritis: Preliminary results using a four months administration schedule. Int. J. Rheum. Dis. 2017, 20, 199–202. [Google Scholar] [CrossRef]
- Fan, Z.; Cheng, P.; Zhang, P.; Zhang, G.; Han, J. Rheological insight of polysaccharide/protein based hydrogels in recent food and biomedical fields: A review. Int. J. Biol. Macromol. 2022, 222, 1642–1664. [Google Scholar] [CrossRef]
- Priyanka, R.; Prabhu, R.S. Carbopol 71G-NF polymer-The next pillar of oral solid dosage form. Magna Sci. Adv. Res. Rev. 2020, 1, 10–17. [Google Scholar] [CrossRef]
- Li, Y.; Zhao, E.; Li, L.; Bai, L.; Zhang, W. Facile design of lidocaine-loaded polymeric hydrogel to persuade effects of local anesthesia drug delivery system: Complete in vitro and in vivo toxicity analyses. Drug Deliv. 2021, 28, 1080–1092. [Google Scholar] [CrossRef] [PubMed]
- Gandolfi, L.; Galleguillos, R. Rheology Modifiers and Consumer Perception. In Harry’s Cosmeticology, 9th ed.; Rosen, M.R., Ed.; Chemical Publishing Company: Gloucester, MA, USA, 2006; Volume 2, pp. 766–807. [Google Scholar]
- Lilleby, R.M.L.; Dai, Z.; Ansaloni, L.; Deng, L. PVA/PVP blend polymer matrix for hosting carriers in facilitated transport membranes: Synergistic enhancement of CO2 separation performance. Green Energy Environ. 2020, 5, 59–68. [Google Scholar] [CrossRef]
- Zhang, C.; Yang, D.; Wang, T.-B.; Nie, X.; Chen, G.; Wang, L.-H.; You, Y.-Z.; Wang, Q. Biodegradable hydrogels with photodynamic antibacterial activity promote wound healing and mitigate scar formation. Biomater. Sci. 2023, 11, 288–297. [Google Scholar] [CrossRef]
- Wójcik-Pastuszka, D.; Potempa, A.; Musiał, W. Bipolymeric pectin millibeads doped with functional polymers as matrices for the controlled and targeted release of mesalazine. Molecules 2020, 25, 5711–5737. [Google Scholar] [CrossRef]
- Wójcik-Pastuszka, D.; Barczyszyn, K.; Musiał, W. The influence of the hydrophobic polymeric coating on 5-asa release from the bipolymeric milibeads with amidated pectin. Materials 2021, 14, 3924–3941. [Google Scholar] [CrossRef] [PubMed]
- Wei, Y.; Fu, J.; Liu, E.; Gao, J.; Lv, Y.; Li, Z. Injectable hydrogels doped with PDA nanoparticles for photothermal bacterial inhibition and rapid wound healing in vitro. RSC Adv. 2024, 14, 2778–2791. [Google Scholar] [CrossRef] [PubMed]
- Lewandowska, K.; Szulc, M. Characterisation of hyaluronic acid blends modified by poly(N-vinylpyrrolidone). Molecules 2021, 26, 5233–5243. [Google Scholar] [CrossRef]
- Song, A.; Rane, A.A.; Christman, K.L. Antibacterial and Cell-adhesive Polypeptide and Poly(ethylene glycol) Hydrogel as a Potential Scaffold for Wound Healing. Acta Biomater. 2012, 8, 41–50. [Google Scholar] [CrossRef] [PubMed]
- He, Z.; Wang, B.; Hu, C.; Zhao, J. An overview of hydrogel-based intra-articular drug delivery for the treatment of osteoarthritis. Colloids Surf. B Biointerfaces 2017, 154, 33–39. [Google Scholar] [CrossRef]
- Zalecki, C.J.; Vishnubala, D.; Marino, K.; Nykjaer, C.; Sivan, M. The use of single dose intra-articular local anaesthetics in the United Kingdom: A cross-sectional survey of sport and exercise medicine and musculoskeletal professionals. Musculoskelet. Care 2022, 20, 681–685. [Google Scholar] [CrossRef]
- Caballero, M.; Kobayashi, Y.; Gottschalk, A.W. Local Anesthetic Use in Musculoskeletal Injections. Ochsner J. 2022, 22, 200–203. [Google Scholar] [CrossRef] [PubMed]
- Webster, A.; Pezzanite, L.; Hendrickson, D.; Griffenhagen, G. Review of intra-articular local anaesthetic administrationin horses: Clinical indications, cytotoxicity, and outcomes. Equine Vet. J. 2024, 56, 870–883. [Google Scholar] [CrossRef]
- Rogobete, A.F.; Bedreag, O.H.; Sărăndan, M.; Păpurică, M.; Preda, G.; Dumbuleu, M.C.; Vernic, C.; Stoicescu, E.R.; Săndesc, D. Liposomal bupivacaine—New trends in Anesthesia and Intensive Care Units. Egypt. J. Anaesth. 2015, 31, 89–95. [Google Scholar] [CrossRef][Green Version]
- Sykuła-Zając, A.; Łodyga-Chruścińska, E.; Pałecz, B.; Dinnebier, R.E.; Griesser, U.J.; Niederwanger, V. Thermal and X-ray analysis of racemic bupivacaine hydrochloride. J. Therm. Anal. Calorim. 2011, 105, 1031–1036. [Google Scholar] [CrossRef][Green Version]
- Santamaria, C.M.; Woodruff, A.; Yang, R.; Kohane, D.S. Drug delivery systems for prolonged duration local anesthesia. Mater. Today 2016, 20, 22–31. [Google Scholar] [CrossRef]
- Moser, L.B.; Bauer, C.; Jeyakumar, V.; Niculescu-Morzsa, E.P.; Nehrer, S. Hyaluronic acid as a carrier supports the effects of glucocorticoids and diminishes the cytotoxic effects of local anesthetics in human articular chondrocytes in vitro. Int. J. Mol. Sci. 2021, 22, 11503–11515. [Google Scholar] [CrossRef]
- Wójcik-Pastuszka, D.; Stawicka, K.; Dryś, A.; Musiał, W. Influence of HA on Release Process of Anionic and Cationic API Incorporated into Hydrophilic Gel. Int. J. Mol. Sci. 2023, 24, 5606–5628. [Google Scholar] [CrossRef] [PubMed]
- Wójcik-Pastuszka, D.; Stawicka, K.; Musiał, W. Biopolymer-Based Hydrogel Incorporated with Naproxen Sodium and Lidocaine Hydrochloride for Controlled Drug Delivery. Polymers 2024, 16, 1353–1369. [Google Scholar] [CrossRef] [PubMed]
- Available online: https://www.drugs.com/dosage/bupivacaine.html (accessed on 19 November 2024).
- Available online: https://www.trbchemedica.ch/wp-content/uploads/2019/05/Ostenil-Arthrose-Injection-Hyaluronic-Acid-TRB-EN.pdf (accessed on 19 November 2024).
- Temple-Wong, M.M.; Ren, S.; Quach, P.; Hansen, B.C.; Chen, A.C.; Hasegawa, A.; D’Lima, D.D.; Koziol, J.; Masuda, K.; Lotz, M.K.; et al. Hyaluronan concentration and size distribution in human knee synovial fluid: Variations with age and cartilage degeneration. Arthritis Res. Ther. 2016, 18, 18. [Google Scholar] [CrossRef]
- Gupta, R.C.; Lall, R.; Srivastava, A.; Sinha, A. Hyaluronic acid: Molecular mechanisms and therapeutic trajectory. Front. Vet. Sci. 2019, 6, 458280. [Google Scholar] [CrossRef]
- Larrañeta, E.; Henry, M.; Irwin, N.J.; Trotter, J.; Perminova, A.A.; Donnelly, R.F. Synthesis and characterization of hyaluronic acid hydrogels crosslinked using a solvent-free process for potential biomedical applications. Carbohydr. Polym. 2018, 181, 1194–1205. [Google Scholar] [CrossRef]
- Kimura, S.; Ohtori, S.; Orita, S.; Inoue, G.; Eguchi, Y.; Takaso, M.; Ochiai, N.; Kuniyoshi, K.; Aoki, Y.; Ishikawa, T.; et al. Injection of bupivacaine into disc space to detect painful nonunion after anterior lumbar interbody fusion (ALIF) surgery in patients with discogenic low back pain. Yonsei Med. J. 2014, 55, 487–492. [Google Scholar] [CrossRef] [PubMed]
- Paganelli, M.A.; Popescu, G.K. Actions of bupivacaine, a widely used local anesthetic, on NMDA receptor responses. J. Neurosci. 2015, 35, 831–842. [Google Scholar] [CrossRef]
- Kavčič, H.; Jug, U.; Mavri, J.; Umek, N. Antioxidant activity of lidocaine, bupivacaine, and ropivacaine in aqueous and lipophilic environments: An experimental and computational study. Front. Chem. 2023, 11, 1208843. [Google Scholar] [CrossRef] [PubMed]
- Chavda, S.; Rabbani, S.A.; Wadhwa, T. Role and Effectiveness of Intra-articular Injection of Hyaluronic Acid in the Treatment of Knee Osteoarthritis: A Systematic Review. Cureus 2022, 14, e24503. [Google Scholar] [CrossRef]
- Ye, H.; Zhang, R.; Zhang, C.; Xia, Y.; Jin, L. Advances in hyaluronic acid: Bioactivity, complexed biomaterials and biological application: A review. Asian J. Surg. 2024. [Google Scholar] [CrossRef] [PubMed]
- Arkaban, H.; Barani, M.; Akbarizadeh, M.R.; Chauhan, N.P.S.; Jadoun, S.; Soltani, M.D.; Zarrintaj, P. Polyacrylic acid is a polymer with high permeability due to the carboxylic acid group’s greater flexibility. Polymers 2022, 14, 1259–1292. [Google Scholar] [CrossRef] [PubMed]
- Gouveia, T.H.N.; de Souza, D.F.S.; Aguiar, F.H.B.; Ambrosano, G.M.B.; Lima, D.A.N.L. Effect of ammonium acryloyldimethyltaurate copolymer on the physical and chemical properties of bleached dental enamel. Clin. Oral Investig. 2020, 24, 2701–2711. [Google Scholar] [CrossRef] [PubMed]
- Zeng, Z.; Li, P.; Lu, J.; Li, X.; Li, M.; Wu, Y.; Zheng, M.; Cao, Y.; Liao, Q.; Ge, Z.; et al. A non-antibiotic antimicrobial drug, a biological bacteriostatic agent, is useful for treating aerobic vaginitis, bacterial vaginosis, and vulvovaginal candidiasis. Front. Microbiol. 2024, 15, 1341878. [Google Scholar] [CrossRef]
- Jagtap, P.S.; Tagad, R.R.; Shendge, R.S. A brief review on Kollidon. J. Drug Deliv. Ther. 2019, 9, 493–500. [Google Scholar] [CrossRef]
- Li, Y.; Zhou, L.; Zhang, M.; Li, R.; Di, G.; Liu, H.; Wu, X. Micelles based on polyvinylpyrrolidone VA64: A potential nanoplatform for the ocular delivery of apocynin. Int. J. Pharm. 2022, 615, 121451. [Google Scholar] [CrossRef] [PubMed]
- Lao, W.; Fan, L.; Zhang, Q.; Lou, C.; Li, H.; Li, Y.; Wu, S.; Li, X.; Luo, Q.; Zhu, W.; et al. Click-based injectable bioactive PEG-hydrogels guide rapid craniomaxillofacial bone regeneration by the spatiotemporal delivery of rhBMP-2. J. Mater. Chem. B 2023, 11, 3136–3150. [Google Scholar] [CrossRef] [PubMed]
- Johnson, W., Jr.; Bergfeld, W.F.; Belsito, D.V.; Hill, R.A.; Klaassen, C.D.; Liebler, D.C.; Marks, J.G., Jr.; Shank, R.C.; Slaga, T.J.; Snyder, P.W.; et al. Safety Assessment of Vinylpyrrolidone Polymers as Used in Cosmetics. Int. J. Toxicol. 2024, 43, S5–S41. [Google Scholar] [CrossRef] [PubMed]
- Council of Europe. European Pharmacopeia 10.2. Dissolution Test for Solid Dosage Forms; European Directorate for the Quality of Medicines & Health Care (EDQM): Strasbourg, France, 2020. [Google Scholar]
- Polska, F., XII. Wyrobów Medycznych i Produktów Biobójczych; Urząd Rejestracji Produktów Leczniczych: Warszawa, Poland, 2020. [Google Scholar]
- Rajamäki, K.; Nordström, T.; Nurmi, K.; Åkerman, K.E.O.; Kovanen, P.T.; Öörni, K.; Eklund, K.K. Extracellular acidosis is a novel danger signal alerting innate immunity via the NLRP3 inflammasome. J. Biol. Chem. 2013, 288, 13410–13419. [Google Scholar] [CrossRef]
- US Department of Health and Human Services Food and Drug Administration Center for Drug Evaluation and Research. Guidance for Industry Dissolution Testing of Immediate Release Solid Oral Dosage Forms; US Department of Health and Human Services Food and Drug Administration Center for Drug Evaluation and Research: Rockville, MD, USA, 1997; Volume 4, pp. 15–22. Available online: http://www.fda.gov/ (accessed on 19 November 2024).
- Babu, R.B.; Babu, N.K. Calculation of predominant drug release mechanism using Peppas-Sahlin model (substitution method): A linear regression approach. Int. J. Pharm. 2016, 6, 128–137. [Google Scholar] [CrossRef]
- Giubertoni, G.; Koenderink, G.H.; Bakker, H.J. Direct Observation of Intrachain Hydrogen Bonds in Aqueous Hyaluronan. J. Phys. Chem. A 2019, 123, 8220–8225. [Google Scholar] [CrossRef] [PubMed]
- Liu, D.; Zhang, J.; Liu, H.X.; Zhu, Y.G.; Qu, J.M. Intravenous combined with aerosolised polymyxin versus intravenous polymyxin alone in the treatment of pneumonia caused by multidrug-resistant pathogens: A systematic review and meta-analysis. Int. J. Antimicrob. Agents 2015, 46, 603–609. [Google Scholar] [CrossRef]
- Le-Deygen, I.M.; Musatova, O.E.; Orlov, V.N.; Melik-Nubarov, N.S.; Grozdova, I.D. Poly(Ethylene Glycol) Interacts with Hyaluronan in Aqueous Media. Biomacromolecules 2021, 22, 681–689. [Google Scholar] [CrossRef] [PubMed]
- Biswas, G.R.; Majee, S.B.; Roy, A. Combination of synthetic and natural polymers in hydrogel: An impact on drug permeation. J. Appl. Pharm. Sci. 2016, 6, 158–164. [Google Scholar] [CrossRef][Green Version]
- Patel, V.F.; Patel, N.M. Statistical evaluation of influence of viscosity of polymer and types of filler on dipyridamole release from floating matrix tablets. Indian J. Pharm. Sci. 2007, 69, 51–57. [Google Scholar] [CrossRef]
- Kottke, R. Impact of Viscosity and Drug Formulation on Pharmaceutical Development. J. Chem. Pharm. Res. 2023, 15, 7–8. [Google Scholar]
- Diaz, D.A.; Colgan, S.T.; Langer, C.S.; Bandi, N.T.; Likar, M.D.; Van Alstine, L. Dissolution Similarity Requirements: How Similar or Dissimilar Are the Global Regulatory Expectations? AAPS J. 2016, 18, 15–22. [Google Scholar] [CrossRef]
- Ekenna, I.C.; Abali, S.O. Comparison of the Use of Kinetic Model Plots and DD Solver Software to Evaluate the Drug Release from Griseofulvin Tablets. J. Drug Deliv. Ther. 2022, 12, 5–13. [Google Scholar] [CrossRef]
- Ahmed, L.; Atif, R.; Eldeen, S.T.; Yahya, I.; Omara, A.; Eltayeb, M. Study the Using of Nanoparticles as Drug Delivery System Based on Mathematical Models for Controlled Release. Int. J. Latest Technol. Eng. Manag. Appl. Sci. 2019, 8, 52–56. [Google Scholar]
- Salome, A.C.; Godswill, C.O.; Ikechukwu, I.O. Kinetics and mechanisms of drug release from swellable and non swellable matrices: A review. Res. J. Pharm. Biol. Chem. Sci. 2013, 4, 97–103. [Google Scholar]
- Liu, S.; Jing, Y.; Liu, G. A Systematic Investigation of the Kinetic Models Applied to the Transport Behaviors of Aromatic Solvents in Unfilled Hydrogenated Nitrile Rubber/Ethylene Propylene Diene Monomer Composites. Polymers 2024, 16, 892–903. [Google Scholar] [CrossRef]
- Andrade del Olmo, J.; Martínez, V.S.; González, R.P.; Alonso, J.M. Sustained Drug Release from Biopolymer-Based Hydrogels and Hydrogel Coatings’. In Hydrogels—From Tradition to Innovative Platforms with Multiple Applications; Ghica, M.V., Popa, L., Dinu-Pirvu, C.-E., Eds.; IntechOpen: London, UK, 2023; pp. 1–21. [Google Scholar] [CrossRef]
- Colpo, J.C.; Pigatto, C.; Brizuela, N.; Aragón, J.; dos Santos, L.A.L. Antibiotic and anesthetic drug release from double-setting α-TCP cements. J. Mater. Sci. 2018, 53, 7112–7124. [Google Scholar] [CrossRef]
- Bayer, I.S. Hyaluronic acid and controlled release: A review. Molecules 2020, 25, 2649–2687. [Google Scholar] [CrossRef]
- Wójcik-Pastuszka, D.; Frąk, A.; Musiał, W. Influence of the Acceptor Fluid on the Bupivacaine Release from the Prospective Intra-Articular Methylcellulose Hydrogel. Pharmaceutics 2024, 16, 867–883. [Google Scholar] [CrossRef] [PubMed]
- Wójcik-Pastuszka, D.; Skrzypczyk, A.; Musiał, W. The interactions and release kinetics of sodium hyaluronate implemented in nonionic and anionic polymeric hydrogels, studied by immunoenzymatic elisa test. Pharmaceutics 2022, 14, 58–74. [Google Scholar] [CrossRef] [PubMed]
- Niederwanger, V.; Gozzo, F.; Griesser, U.J. Characterization of four crystal polymorphs and a monohydrate of s-bupivacaine hydrochloride (levobupivacaine hydrochloride). J. Pharm. Sci. 2009, 98, 1064–1074. [Google Scholar] [CrossRef]
- de Castro, M.A.; Cunha, G.M.F.; Andrade, G.F.; Yoshida, M.I.; de Faria, A.L.; Silva-Cunha, A. Development and characterization of PLGA-Bupivacaine and PLGA-S75:R25 Bupivacaine (Novabupi®) biodegradable implants for postoperative pain. Braz. J. Pharm. Sci. 2022, 58, e21310. [Google Scholar] [CrossRef]
- Martins, M.L.; Eckert, J.; Jacobsen, H.; Santos, E.C.D.; Ignazzi, R.; de Araujo, D.R.; Bellissent-Funel, M.-C.; Natali, F.; Koza, M.M.; Matic, A.; et al. Raman and Infrared spectroscopies and X-ray diffraction data on bupivacaine and ropivacaine complexed with 2-hydroxypropyl−β–Cyclodextrin. Data Brief 2017, 15, 25–29. [Google Scholar] [CrossRef] [PubMed]
- Elkheshen, S.A. Interaction of verapamil hydrochloride with Carbopol 934P and its effect on the release rate of the drug and the water uptake of the polymer matrix. Drug Dev. Ind. Pharm. 2001, 27, 925–934. [Google Scholar] [CrossRef] [PubMed]
- Song, Y.J.; Wang, M.; Zhang, X.Y.; Wu, J.Y.; Zhang, T. Investigation on the role of the molecular weight of polyvinyl pyrrolidone in the shape control of highyield silver nanospheres and nanowires. Nanoscale Res. Lett. 2014, 9, 17–35. [Google Scholar] [CrossRef]
- Rahma, A.; Munir, M.M.; Khairurrijal, K.; Prasetyo, A.; Suendo, V.; Rachmawati, H. Intermolecular Interactions and the Release Pattern of Electrospun Curcumin-Polyvinyl(pyrrolidone) Fiber. Biol. Pharm. Bull. 2016, 39, 163–173. [Google Scholar] [CrossRef] [PubMed]
- Zidan, H.M.; Abdelrazek, E.M.; Abdelghany, A.M.; Tarabiah, A.E. Characterization and some physical studies of PVA/PVP filled with MWCNTs. J. Mater. Res. Technol. 2019, 8, 904–913. [Google Scholar] [CrossRef]
- Rahim, A.; Saha, P.; Jha, K.K.; Sukumar, N.; Sarma, B.K. Reciprocal carbonyl-carbonyl interactions in small molecules and proteins. Nat. Commun. 2017, 8, 78. [Google Scholar] [CrossRef]
- Zhang, S.; Zhang, Y.; Liu, J.; Zhang, C.; Gu, N.; Li, F. Preparation of anti-sperm protein 17 immunomagnetic nanoparticles for targeting cell. J. Nanosci. Nanotechnol. 2008, 8, 2341–2346. [Google Scholar] [CrossRef]
























| Formulation | F1 | F1′ | F2 | F2′ | F3 | F3′ | F4 | F4′ | F5 | F5′ |
|---|---|---|---|---|---|---|---|---|---|---|
| HA % (w/w) | 2 | 2 | 2 | 2 | 2 | 2 | 2 | 2 | 2 | 2 |
| Bu % (w/w) | 1.5 | — | 1.5 | — | 1.5 | — | 1.5 | — | 1.5 | — |
| Synthetic polymer % (w/w) | — | — | 0.5 PA | 0.5 PA | 0.5 AX | 0.5 AX | 0.5 PVA-PVP | 0.5 PVA-PVP | 0.5 PEG | 0.5 PEG |
| Formulation | η × 10−3 [cP] 37 °C | η × 10−3 [cP] RT | pH RT |
|---|---|---|---|
| F1 | 1.42 ± 0.01 | 2.11 ± 0.09 | 6.97 ± 0.04 |
| F1′ | 2.49 ± 0.04 | 2.73 ± 0.09 | 7.18 ± 0.10 |
| F2 | 3.25 ± 0.07 | 3.41 ± 0.08 | 4.36 ± 0.03 |
| F2′ | 7.30 ± 0.08 | 7.65 ± 0.07 | 4.26 ± 0.03 |
| F3 | 6.45 ± 0.16 | 6.89 ± 0.05 | 6.78 ± 0.03 |
| F3′ | 12.6 ± 0.4 | 13.1 ± 0.09 | 6.67 ± 0.01 |
| F4 | 6.57 ± 0.27 | 6.84 ± 0.06 | 6.86 ± 0.07 |
| F4′ | 3.24 ± 0.01 | 3.45 ± 0.07 | 6.82 ± 0.08 |
| F5 | 6.41 ± 0.35 | 6.78 ± 0.08 | 7.05 ± 0.03 |
| F5′ | 2.99 ± 0.06 | 3.13 ± 0.05 | 7.15 ± 0.02 |
| f1 | f2 | |||||||
|---|---|---|---|---|---|---|---|---|
| Formulation | F2 | F3 | F4 | F5 | F2 | F3 | F4 | F5 |
| F1 | 9.1 | 18.2 * | 10.1 | 3.3 | 62.6 | 47.2 * | 60.8 | 82.9 |
| Kinetic Model | Kinetic Parameters | F1 | F2 | F3 | F4 | F5 |
|---|---|---|---|---|---|---|
| Z-O | k0 × 101 [mg × min−1] | 3.0 ± 0.3 | 2.7 ± 0.3 | 2.4 ± 0.3 | 2.7 ± 0.3 | 2.9 ± 0.3 |
| t0.5 [min] | 206.1 ± 19.9 | 227.3 ± 23.1 | 253.0 ± 28.6 | 228.5 ± 22.6 | 210.8 ± 20.4 | |
| R2 | 0.94 ± 0.02 | 0.93 ± 0.05 | 0.91 ± 0.6 | 0.94 ± 0.01 | 0.94 ± 0.01 | |
| F-O | k1 × 103 [min−1] | 6.4 ± 0.4 | 4.1 ± 0.3 | 3.0 ± 0.1 | 3.6 ± 0.1 | 4.6 ± 0.9 |
| t0.5 [min] | 133.5 ± 4.2 | 184.5 ± 9.4 | 231.4 ± 9.0 | 192.5 ± 6.7 | 151.5 ± 2.8 | |
| R2 | 0.98 ± 0.04 | 0.97 ± 0.04 | 0.98 ± 0.2 | 0.99 ± 0.01 | 0.99 ± 0.01 | |
| S-O | k2 × 104 [mg−1 × min−1] | 2.6 ± 0.7 | 1.6 ± 0.5 | 0.54 ± 0.05 | 0.80 ± 0.06 | 1.3 ± 0.2 |
| t0.5 [min] | 53.1 ± 8.9 | 97.7 ± 9.1 | 153.6 ± 16.0 | 105.5 ± 7.4 | 62.5 ± 7.5 | |
| R2 | 0.81 ± 0.10 | 0.86 ± 0.19 | 0.92 ± 0.13 | 0.96 ± 0.02 | 0.91 ± 0.02 | |
| H | kH [mg × min−1/2] | 5.3 ± 0.1 | 4.9 ± 0.2 | 4.4 ± 0.2 | 4.8 ± 0.1 | 5.2 ± 0.1 |
| t0.5 [min] | 134 ± 7.0 | 160.5 ± 9.6 | 199.5 ± 17.6 | 164.4 ± 8.2 | 139.4 ± 5.5 | |
| R2 | 0.99 ± 0.01 | 0.99 ± 0.02 | 0.96 ± 0.05 | 0.99 ± 0.01 | 0.99 ± 0.01 | |
| K-P | kK-P × 102 [min–N] | 5.8 ± 0.1 | 3.9 ± 0.9 | 3.4 ± 0.2 | 3.5 ± 0.2 | 3.2 ± 0.1 |
| t0.5 [min] | 96.0 ± 20.3 | 128.1 ± 41.6 | 129.4 ± 11.1 | 118.7 ± 15.1 | 123.3 ± 9.1 | |
| R2 | 0.95 ± 0.05 | 0.85 ± 0.20 | 0.99 ± 0.01 | 0.98 ± 0.01 | 0.99 ± 0.01 | |
| n | 0.51 ± 0.02 | 0.55 ± 0.06 | 0.54 ± 0.02 | 0.56 ± 0.03 | 0.58 ± 0.02 | |
| P-S | k1P-S × 102 [min−m] | 0.2 ± 0.3 | 1.6 ± 2.4 | 0.5 ± 0.7 | 0.02 ± 0.05 | 0.8 ± 1.4 |
| k2P-S × 102 [min−m] | 2.3 ± 0.6 | 2.3 ± 1.8 | 2.9 ± 0.6 | 2.6 ± 1.1 | 2.5 ± 0.5 | |
| N′ | 0.31 ± 0.04 | 0.30 ± 0.07 | 0.30 ± 0.01 | 0.33 ± 0.04 | 0.30 ± 0.05 | |
| Best fit | H, K-P | H | K-P | F-O, H, K-P | F-O, H, K-P | |
Disclaimer/Publisher’s Note: The statements, opinions and data contained in all publications are solely those of the individual author(s) and contributor(s) and not of MDPI and/or the editor(s). MDPI and/or the editor(s) disclaim responsibility for any injury to people or property resulting from any ideas, methods, instructions or products referred to in the content. |
© 2024 by the authors. Licensee MDPI, Basel, Switzerland. This article is an open access article distributed under the terms and conditions of the Creative Commons Attribution (CC BY) license (https://creativecommons.org/licenses/by/4.0/).
Share and Cite
Wójcik-Pastuszka, D.; Iwaszkiewicz, R.; Musiał, W. The Effects of Synthetic Polymers on the Release Patterns of Bupivacaine Hydrochloride from Sodium Hyaluronate Hydrogels. Biomedicines 2025, 13, 39. https://doi.org/10.3390/biomedicines13010039
Wójcik-Pastuszka D, Iwaszkiewicz R, Musiał W. The Effects of Synthetic Polymers on the Release Patterns of Bupivacaine Hydrochloride from Sodium Hyaluronate Hydrogels. Biomedicines. 2025; 13(1):39. https://doi.org/10.3390/biomedicines13010039
Chicago/Turabian StyleWójcik-Pastuszka, Dorota, Roksana Iwaszkiewicz, and Witold Musiał. 2025. "The Effects of Synthetic Polymers on the Release Patterns of Bupivacaine Hydrochloride from Sodium Hyaluronate Hydrogels" Biomedicines 13, no. 1: 39. https://doi.org/10.3390/biomedicines13010039
APA StyleWójcik-Pastuszka, D., Iwaszkiewicz, R., & Musiał, W. (2025). The Effects of Synthetic Polymers on the Release Patterns of Bupivacaine Hydrochloride from Sodium Hyaluronate Hydrogels. Biomedicines, 13(1), 39. https://doi.org/10.3390/biomedicines13010039

