Pain Reduction in Patellofemoral Knee Patients During 3-Month Intervention with Biomechanical and Sensorimotor Foot Orthoses: A Randomized Controlled Clinical Study
Abstract
1. Introduction
2. Materials and Methods
2.1. Study Design
2.2. Sample
- Age between 15 and 60 years
- Discomfort in the knee joint area during at least two weight-bearing activities (walking stairs, squatting, standing up) for at least 3 weeks: pain during these activities on most days in the last month that is ≥30 mm on a 100 mm VAS
- Indication (at least one diagnosis from the following list):
- o
- Femoropatellar pain syndrome
- o
- Chondropathia patellae up to grade 3 with pathological alignment and femoral antetorsion
- o
- Runner’s knee, jumper’s knee
- o
- Osteochondral defects, inflammation, and impingement of the Hoffa fat body
- o
- Tendinopathies of the patellar or quadriceps tendon, patellofemoral osteoarthritis, plica syndrome
- Altered Q-angle [33] of the lower extremity/recognizable rotational abnormality of ankle joints, tibia, and femur during gait
- Foot deformity: pes planus, pes valgus, pes planovalgus, pes cavus, and pes transversoplanus
- Medical history of knee joint arthroplasty or osteotomy
- Previous (surgical) treatment (<12 months) in the ankle, knee, or hip joint
- X-ray evidence of fixed bone deformity or joint erosion
- Moderate or severe concomitant tibiofemoral OA (Kellgren and Lawrence grade ≥ 3 on anteroposterior radiograph [34])
- Underlying neurological pathology
- Known underlying rheumatic disease with drug treatment
- Previous treatment with orthopedic FO according to the above concepts while treating the given knee pain indication
- Acute muscle/ligament injury (<4 weeks) with associated restriction of the musculoskeletal system
2.3. Procedure
2.4. Intervention with Foot Orthoses
2.5. Knee Pain, Effectiveness, and Comfort Rating
2.6. Statistical Analysis
3. Results
3.1. Consort Flow Diagram
3.2. Perceived Knee Pain
3.2.1. Kujala Knee Pain Score
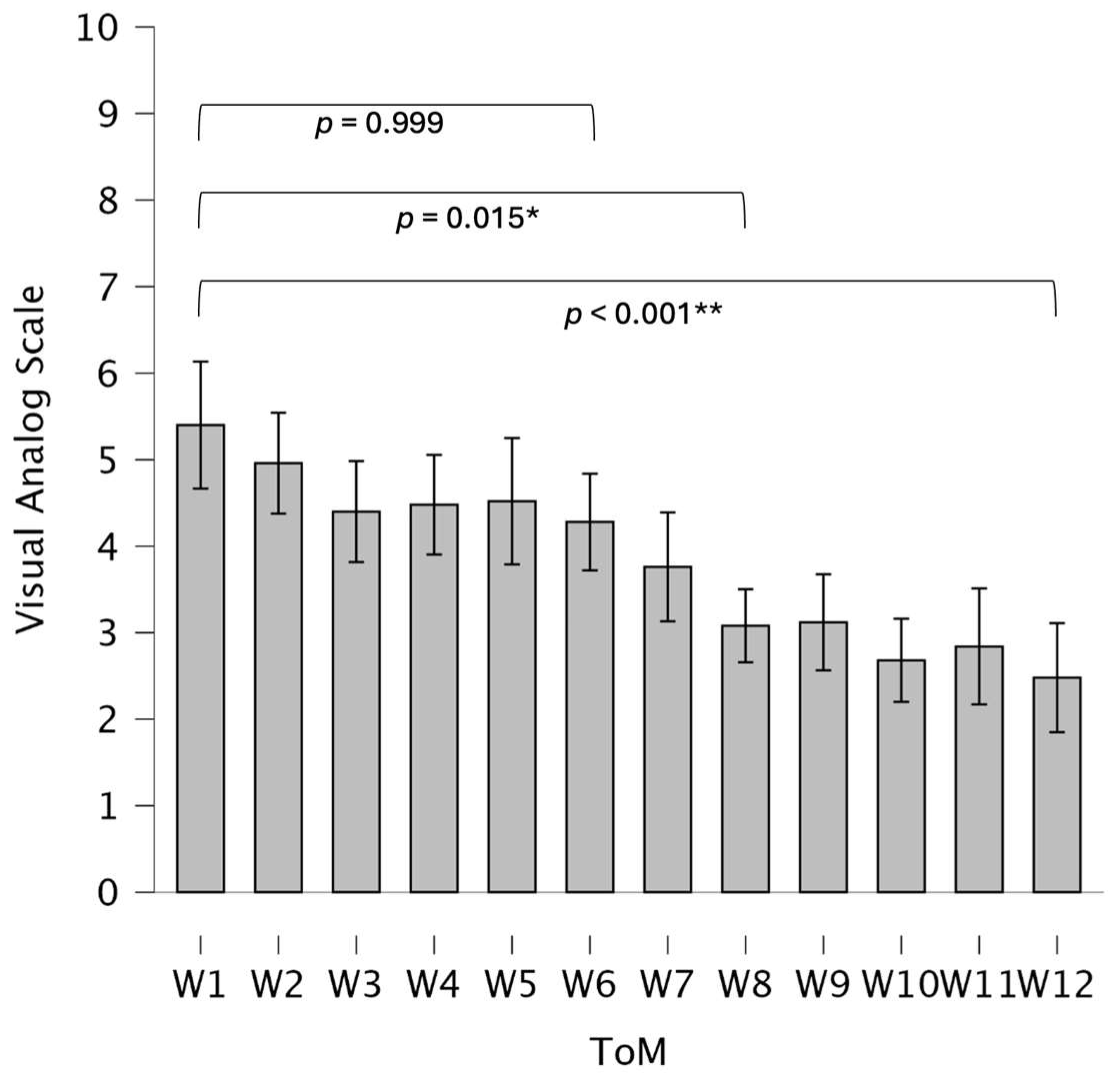
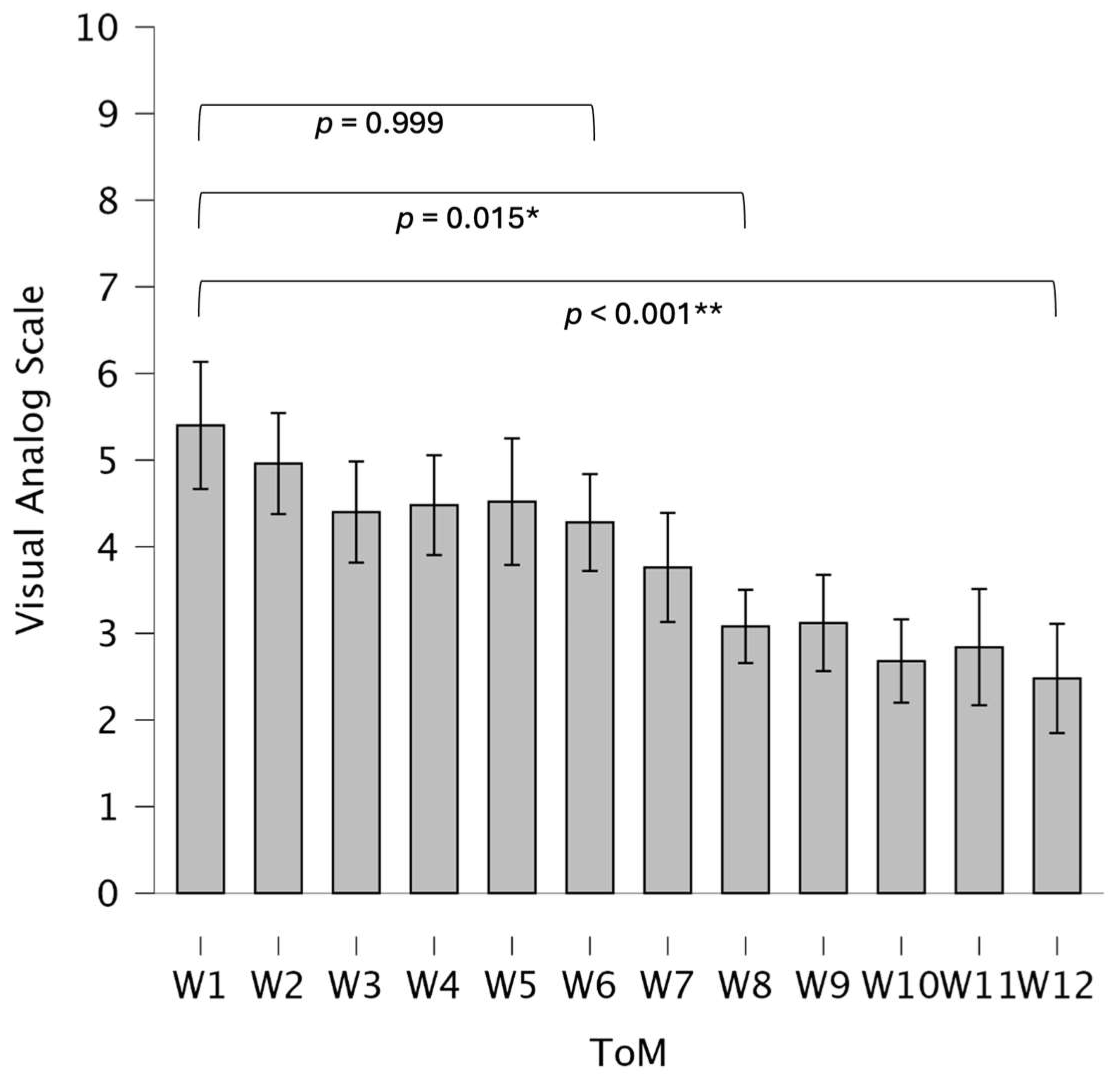
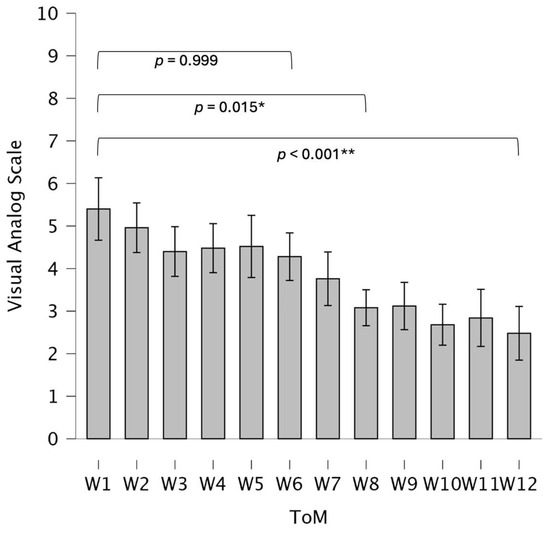
3.2.2. 12-Week Visual Analog Scales (VASs)
4. Discussion
5. Conclusions
Author Contributions
Funding
Institutional Review Board Statement
Informed Consent Statement
Data Availability Statement
Acknowledgments
Conflicts of Interest
References
- Bazett-Jones, D.M.; Neal, B.S.; Legg, C.; Hart, H.F.; Collins, N.J.; Barton, C.J. Kinematic and kinetic gait characteristics in people with Patellofemoral Pain: A systematic review and Meta-analysis. Sports Med. 2023, 53, 519–547. [Google Scholar] [CrossRef] [PubMed]
- Kellish, A.S.; Kellish, P.; Hakim, A.; Miskiel, S.; Shahi, A.; Kellish, A. What is the effect on kinesio taping on pain and gait in patients with patellofemoral pain syndrome? Cureus 2020, 12, e8982. [Google Scholar] [CrossRef]
- Crossley, K.M.; van Middelkoop, M.; Callaghan, M.J.; Collins, N.J.; Rathleff, M.S.; Barton, C.J. 2016 Patellofemoral pain consensus statement from the 4th International Patellofemoral Pain Research Retreat, Manchester. Part 2: Recommended physical interventions (exercise, taping, bracing, foot orthoses and combined interventions). Br. J. Sports Med. 2016, 50, 844–852. [Google Scholar] [CrossRef]
- Coburn, S.L.; Barton, C.J.; Filbay, S.R.; Hart, H.F.; Rathleff, M.S.; Crossley, K.M. Quality of life in individuals with patellofemoral pain: A systematic review including meta-analysis. Phys. Ther. Sport 2018, 33, 96–108. [Google Scholar] [CrossRef] [PubMed]
- Fulkerson, J.P. Diagnosis and treatment of patients with patellofemoral pain. Am. J. Sports Med. 2002, 30, 447–456. [Google Scholar] [CrossRef]
- Utting, M.; Davies, G.; Newman, J. Is anterior knee pain a predisposing factor to patellofemoral osteoarthritis? Knee 2005, 12, 362–365. [Google Scholar] [CrossRef]
- Afzali, T.; Fangel, M.V.; Vestergaard, A.S.; Rathleff, M.S.; Ehlers, L.H.; Jensen, M.B. Cost-effectiveness of treatments for non-osteoarthritic knee pain conditions: A systematic review. PLoS ONE 2018, 13, e0209240. [Google Scholar] [CrossRef] [PubMed]
- Glaviano, N.R.; Kew, M.; Hart, J.M.; Saliba, S. Demographic and epidemiological trends in patellofemoral pain. Int. J. Sports Phys. Ther. 2015, 10, 281. [Google Scholar] [PubMed]
- Aysin, I.K.; Askin, A.; Mete, B.D.; Guvendi, E.; Aysin, M.; Kocyigit, H. Investigation of the relationship between anterior knee pain and chondromalacia patellae and patellofemoral malalignment. Eurasian J. Med. 2018, 50, 28. [Google Scholar] [CrossRef] [PubMed]
- Powers, C.M.; Witvrouw, E.; Davis, I.S.; Crossley, K.M. Evidence-based framework for a pathomechanical model of patellofemoral pain: 2017 patellofemoral pain consensus statement from the 4th International Patellofemoral Pain Research Retreat, Manchester, UK: Part 3. Br. J. Sports Med. 2017, 51, 1713–1723. [Google Scholar] [CrossRef] [PubMed]
- Biz, C.; Stecco, C.; Crimì, A.; Pirri, C.; Fosser, M.; Fede, C.; Fan, C.; Ruggieri, P.; De Caro, R. Are Patellofemoral Ligaments and Retinacula Distinct Structures of the Knee Joint? An Anatomic, Histological and Magnetic Resonance Imaging Study. Int. J. Environ. Res. Public Health 2022, 19, 1110. [Google Scholar] [CrossRef]
- Stefanyshyn, D.J.; Stergiou, P.; Lun, V.M.; Meeuwisse, W.H.; Worobets, J.T. Knee angular impulse as a predictor of patellofemoral pain in runners. Am. J. Sports Med. 2006, 34, 1844–1851. [Google Scholar] [CrossRef] [PubMed]
- Lankhorst, N.E.; Bierma-Zeinstra, S.M.; van Middelkoop, M. Risk factors for patellofemoral pain syndrome: A systematic review. J. Orthop. Sports Phys. Ther. 2012, 42, 81–94. [Google Scholar] [CrossRef] [PubMed]
- Powers, C.M. The influence of altered lower-extremity kinematics on patellofemoral joint dysfunction: A theoretical perspective. J. Orthop. Sports Phys. Ther. 2003, 33, 639–646. [Google Scholar] [CrossRef]
- Barton, C.J.; Bonanno, D.; Levinger, P.; Menz, H.B. Foot and ankle characteristics in patellofemoral pain syndrome: A case control and reliability study. J. Orthop. Sports Phys. Ther. 2010, 40, 286–296. [Google Scholar] [CrossRef] [PubMed]
- Hintermann, B.; Nigg, B.M. Pronation in runners: Implications for injuries. Sports Med. 1998, 26, 169–176. [Google Scholar] [CrossRef] [PubMed]
- Hoglund, L.T.; Hulcher, T.A.; Amabile, A.H. Males with patellofemoral pain have altered movements during step-down and single-leg squatting tasks compared to asymptomatic males: A cross-sectional study. Health Sci. Rep. 2024, 7, e2193. [Google Scholar] [CrossRef]
- Duval, K.; Lam, T.; Sanderson, D. The mechanical relationship between the rearfoot, pelvis and low-back. Gait Posture 2010, 32, 637–640. [Google Scholar] [CrossRef]
- Skou, S.T.; Hojgaard, L.; Simonsen, O.H. Customized foot insoles have a positive effect on pain, function, and quality of life in patients with medial knee osteoarthritis. J. Am. Podiatr. Med. Assoc. 2013, 103, 50–55. [Google Scholar] [PubMed]
- Collins, N.; Crossley, K.; Beller, E.; Darnell, R.; McPoil, T.; Vicenzino, B. Foot orthoses and physiotherapy in the treatment of patellofemoral pain syndrome: Randomised clinical trial. BMJ 2008, 337, a1735. [Google Scholar] [CrossRef] [PubMed]
- Mündermann, A.; Nigg, B.M.; Humble, R.N.; Stefanyshyn, D.J. Foot orthotics affect lower extremity kinematics and kinetics during running. Clin. Biomech. 2003, 18, 254–262. [Google Scholar] [CrossRef]
- Saxena, A.; Haddad, J. The effect of foot orthoses on patellofemoral pain syndrome. J. Am. Podiatr. Med. Assoc. 2003, 93, 264–271. [Google Scholar] [CrossRef] [PubMed]
- Gross, M.T.; Foxworth, J.L. The role of foot orthoses as an intervention for patellofemoral pain. J. Orthop. Sports Phys. Ther. 2003, 33, 661–670. [Google Scholar] [CrossRef] [PubMed]
- Barton, C.J.; Munteanu, S.E.; Menz, H.B.; Crossley, K.M. The efficacy of foot orthoses in the treatment of individuals with patellofemoral pain syndrome: A systematic review. Sports Med. 2010, 40, 377–395. [Google Scholar] [CrossRef] [PubMed]
- Lewinson, R.T.; Wiley, J.P.; Humble, R.N.; Worobets, J.T.; Stefanyshyn, D.J. Altering knee abduction angular impulse using wedged insoles for treatment of patellofemoral pain in runners: A six-week randomized controlled trial. PLoS ONE 2015, 10, e0134461. [Google Scholar] [CrossRef]
- Kayll, S.A.; Hinman, R.S.; Bryant, A.L.; Bennell, K.L.; Rowe, P.L.; Paterson, K.L. Do biomechanical foot-based interventions reduce patellofemoral joint loads in adults with and without patellofemoral pain or osteoarthritis? A systematic review and meta-analysis. Br. J. Sports Med. 2023, 57, 872–881. [Google Scholar] [CrossRef] [PubMed]
- Becker, S.; Simon, S.; Mühlen, J.; Dindorf, C.; Fröhlich, M. Assessing the Subjective Effectiveness of Sensorimotor Insoles (SMIs) in Reducing Pain: A Descriptive Multicenter Pilot Study. J. Funct. Morphol. Kinesiol. 2023, 8, 66. [Google Scholar] [CrossRef] [PubMed]
- Becker, S.; Ludwig, O.; Woltring, S.; Simon, S.; Fröhlich, M. Sensomotorische Einlagen: Grundlagen und Funktionen; Springer: Berlin/Heidelberg, Germany, 2024. [Google Scholar]
- Greitemann, B.; Franzen, M.; Stinus, H.; Walther, M.; Dierolf, W.; Schievink, F.; Perick, H.; Stief, T.; Stumpf, J. DGOOC-Beratungsausschuss Orthopädieschuhtechnik. Orthopädie Und Unfallchirurgie-Mitteilungen Und Nachrichten 2016, 5, 283–286. [Google Scholar] [CrossRef]
- Kerkhoff, A.; Wagner, H.; Nagel, A.; Möller, M.; Peikenkamp, K. Effects of two different foot orthoses on muscle activity in female during single-leg landing. Ger. J. Exerc. Sport Res. 2017, 4, 305–314. [Google Scholar] [CrossRef]
- Kerkhoff, A.; Wagner, H.; Peikenkamp, K. Different effects of sensorimotor and soft bedding foot orthoses on muscle activity during single-leg landing in sports. Footwear Sci. 2019, 11, S37–S38. [Google Scholar] [CrossRef]
- Faul, F.; Erdfelder, E.; Buchner, A.; Lang, A.-G. Statistical power analyses using G* Power 3.1: Tests for correlation and regression analyses. Behav. Res. Methods 2009, 41, 1149–1160. [Google Scholar] [CrossRef] [PubMed]
- Mizuno, Y.; Kumagai, M.; Mattessich, S.M.; Elias, J.J.; Ramrattan, N.; Cosgarea, A.J.; Chao, E.Y. Q-angle influences tibiofemoral and patellofemoral kinematics. J. Orthop. Res. 2001, 19, 834–840. [Google Scholar] [CrossRef] [PubMed]
- Schiphof, D.; Boers, M.; Bierma-Zeinstra, S.M. Differences in descriptions of Kellgren and Lawrence grades of knee osteoarthritis. Ann. Rheum. Dis. 2008, 67, 1034–1036. [Google Scholar] [CrossRef] [PubMed]
- Murley, G.S.; Menz, H.B.; Landorf, K.B. A protocol for classifying normal-and flat-arched foot posture for research studies using clinical and radiographic measurements. J. Foot Ankle Res. 2009, 2, 1–13. [Google Scholar] [CrossRef]
- Queen, R.M.; Mall, N.A.; Hardaker, W.M.; Nunley, J.A. Describing the medial longitudinal arch using footprint indices and a clinical grading system. Foot Ankle Int. 2007, 28, 456–462. [Google Scholar] [CrossRef]
- Cavanagh, P.R.; Rodgers, M.M. The arch index: A useful measure from footprints. J. Biomech. 1987, 20, 547–551. [Google Scholar] [CrossRef] [PubMed]
- Kujala, U.M.; Jaakkola, L.H.; Koskinen, S.K.; Taimela, S.; Hurme, M.; Nelimarkka, O. Scoring of patellofemoral disorders. Arthrosc. J. Arthrosc. Relat. Surg. 1993, 9, 159–163. [Google Scholar] [CrossRef] [PubMed]
- Dammerer, D.; Liebensteiner, M.; Kujala, U.; Emmanuel, K.; Kopf, S.; Dirisamer, F.; Giesinger, J. Validation of the German version of the Kujala score in patients with patellofemoral instability: A prospective multi-centre study. Arch. Orthop. Trauma Surg. 2018, 138, 527–535. [Google Scholar] [CrossRef] [PubMed]
- Crossley, K.M.; Bennell, K.L.; Cowan, S.M.; Green, S. Analysis of outcome measures for persons with patellofemoral pain: Which are reliable and valid? Arch. Phys. Med. Rehabil. 2004, 85, 815–822. [Google Scholar] [CrossRef]
- Bijur, P.E.; Silver, W.; Gallagher, E.J. Reliability of the visual analog scale for measurement of acute pain. Acad. Emerg. Med. 2001, 8, 1153–1157. [Google Scholar] [CrossRef] [PubMed]
- Murley, G.S.; Landorf, K.B.; Menz, H.B. Do foot orthoses change lower limb muscle activity in flat-arched feet towards a pattern observed in normal-arched feet? Clin. Biomech. 2010, 25, 728–736. [Google Scholar] [CrossRef] [PubMed]
- Cohen, J. Statistical Power Analysis for the Behavioral Sciences; Routledge: New York, NY, USA, 1988; Volume 2, p. 567. [Google Scholar]
- Vicenzino, B.; Collins, N.; Cleland, J.; McPoil, T. A clinical prediction rule for identifying patients with patellofemoral pain who are likely to benefit from foot orthoses: A preliminary determination. Br. J. Sports Med. 2010, 44, 862–866. [Google Scholar] [CrossRef]
- Almeida, J.S.; Vanderlei, F.M.; Pastre, E.C.; Martins, R.A.; Padovani, C.R.; Guaracy Filho, C. Comparison of two types of insoles on Musculoskeletal symptoms and plantar pressure distribution in a work environment: A randomized clinical trial. Clin. Med. Res. 2016, 14, 67–74. [Google Scholar] [CrossRef] [PubMed][Green Version]
- Ludwig, O.; Kelm, J.; Fröhlich, M. The influence of insoles with a peroneal pressure point on the electromyographic activity of tibialis anterior and peroneus longus during gait. J. Foot Ankle Res. 2016, 9, 1–9. [Google Scholar] [CrossRef] [PubMed]
- Burnfield, M. Gait analysis: Normal and pathological function. J. Sports Sci. Med. 2010, 9, 353. [Google Scholar]
- Ohlendorf, D.; Natrup, J.; Niklas, A.; Kopp, S. Veränderung der Körperhaltung durch haltungsverbessernde, sensomotorische, Einlegesohlen. Man. Med. 2008, 46, 93–98. [Google Scholar] [CrossRef]
- Chen, A.T.; Shrestha, S.; Collins, J.E.; Sullivan, J.K.; Losina, E.; Katz, J.N. Estimating contextual effect in nonpharmacological therapies for pain in knee osteoarthritis: A systematic analytic review. Osteoarthr. Cartil. 2020, 28, 1154–1169. [Google Scholar] [CrossRef]
- Mabuchi, A.; Kitoh, H.; Inoue, M.; Hayashi, M.; Ishiguro, N.; Suzuki, N. The biomechanical effect of the sensomotor insole on a pediatric intoeing gait. Int. Sch. Res. Not. 2012, 2012, 396718. [Google Scholar] [CrossRef] [PubMed]
- Ferreira, L.A.B.; Cimolin, V.; Neto, H.P.; Grecco, L.A.C.; Lazzari, R.D.; Dumont, A.J.L.; Galli, M.; Oliveira, C.S. Effect of postural insoles on gait pattern in individuals with hemiparesis: A randomized controlled clinical trial. J. Bodyw. Mov. Ther. 2018, 22, 792–797. [Google Scholar] [CrossRef]
- Klein, T.; Lastovicka, O.; Janura, M.; Svoboda, Z.; Chapman, G.J.; Richards, J. The immediate effects of sensorimotor foot orthoses on foot kinematics in healthy adults. Gait Posture 2021, 84, 93–101. [Google Scholar] [CrossRef] [PubMed]
- MacFarlane, C.; Hing, W.; Orr, R. Using the Edinburgh visual gait score to compare ankle-foot orthoses, sensorimotor orthoses and barefoot gait pattern in children with cerebral palsy. Children 2020, 7, 54. [Google Scholar] [CrossRef] [PubMed]
- Maurer, L.K.; Maurer, H.; König, M.; van Munster, M.; Haen, S.; Pedrosa, D.J. Do sensorimotor insoles improve gait safety in patients with Parkinson’s disease on a short scale? Clin. Park. Relat. Disord. 2024, 11, 100290. [Google Scholar] [CrossRef]
- Salsich, G.B.; Perman, W.H. Tibiofemoral and patellofemoral mechanics are altered at small knee flexion angles in people with patellofemoral pain. J. Sci. Med. Sport 2013, 16, 13–17. [Google Scholar] [CrossRef] [PubMed]
- Herrero-Beaumont, G.; Roman-Blas, J.A.; Bruyère, O.; Cooper, C.; Kanis, J.; Maggi, S.; Rizzoli, R.; Reginster, J.-Y. Clinical settings in knee osteoarthritis: Pathophysiology guides treatment. Maturitas 2017, 96, 54–57. [Google Scholar] [CrossRef] [PubMed]
- Valdes, A.M.; Doherty, S.; Muir, K.R.; Zhang, W.; Maciewicz, R.A.; Wheeler, M.; Arden, N.; Cooper, C.; Doherty, M. Genetic contribution to radiographic severity in osteoarthritis of the knee. Ann. Rheum. Dis. 2012, 71, 1537–1540. [Google Scholar] [CrossRef]





| Age (y) | Height (m) | Weight (kg) | BMI | NI Links | NI Rechts | AI Links | AI Rechts | ||
|---|---|---|---|---|---|---|---|---|---|
| SMFO | Mean | 27.27 | 1.76 | 75.40 | 24.30 | 0.17 | 0.17 | 0.22 | 0.22 |
| SD | 9.19 | 0.10 | 18.24 | 4.64 | 0.04 | 0.04 | 0.07 | 0.06 | |
| Max | 42.00 | 1.92 | 115.00 | 33.24 | 0.25 | 0.24 | 0.31 | 0.31 | |
| Min | 15.00 | 1.56 | 47.00 | 17.26 | 0.11 | 0.11 | 0.09 | 0.09 | |
| BMFO | Mean | 29.67 | 1.75 | 77.58 | 25.32 | 0.20 | 0.21 | 0.24 | 0.24 |
| SD | 13.39 | 0.09 | 20.22 | 6.53 | 0.06 | 0.06 | 0.06 | 0.02 | |
| Max | 54 | 1.97 | 120 | 42.52 | 0.33 | 0.33 | 0.30 | 0.27 | |
| Min | 16 | 1.64 | 50 | 16.14 | 0.13 | 0.13 | 0.10 | 0.21 |
| FO Type | Manufacturer | Primary Medical Target | Elements | Materials |
|---|---|---|---|---|
| SMFO | Springer Aktiv AG, Berlin, Germany | Stimulating M. tibialis posterior and M. peroneus longus and brevis Stretching plantar fascia and toes | Medial spot (oriented toward M. tibialis posterior tendon at sustentaculum tali) Lateral spot (oriented toward M. peroneus longus and brevis tendon near os cuboideum) Retrocapital bar (supporting the transversal arch and stretching plantar fascia) Toe bar (placing and stretching of toes) | EVA material; sandwich construction consisting of 35 Shore (outsole), 25 Shore (midsole), 35 Shore (top layer) |
| BMFO | Hema Orthopädische Systeme GmbH, Sömmerda, Germany | Medial arch support Transversal arch support Pressure relief | Heel pad Supination wedge Metatarsal pad (pelotte) | Injection molded foam 25 Shore |
| F | η2p p | p | |
|---|---|---|---|
| ToM | 7.226 | 0.265 | 0.014 * |
| ToM x FO | 0.011 | 5.397 × 10−4 | 0.918 |
| ToM x Physio | 0.085 | 0.004 | 0.773 |
| ToM x FO x Physio | 0.098 | 0.005 | 0.757 |
| ToM | Group | Mean ± SD | CI 95% | rmANOVA |
|---|---|---|---|---|
| Pre | IG | 72.40 ± 11.86 | [66.40, 78.40] | Interaction effect: p = 0.92 Main effect: p = 0.01, η2p = 0.27 |
| CG | 70.27 ± 15.07 | [61.36, 79.18] | ||
| Post | IG | 83.87 ± 12.21 | [77.69, 90.04] | |
| CG | 79.18 ± 15.65 | [69.93, 88,43] |
| F | η2p | p | |
|---|---|---|---|
| ToM | 12.035 | 0.364 | <0.001 |
| ToM x Physio | 1.465 | 0.065 | 0.146 |
| ToM x FO | 1.395 | 0.062 | 0.176 |
| ToM x Physio x FO | 1.043 | 0.047 | 0.410 |
| Effectiveness Rating | Welch t-Test (Effectiveness) | Wearing Comfort Rating | Welch t-Test (Comfort) | Daily Steps in FOs | Wearing Time/ Day (h) | |
|---|---|---|---|---|---|---|
| IG | 7.87 ± 2.23 | t(17.93) = 1.33, p = 0.20 | 8.27 ± 1.10 | t(15.03) = 0.57 p = 0.58 | 8360 ± 6464 | 9.68 ± 4.10 |
| CG | 6.45 ± 2.94 | 7.91 ± 1.87 | 8947 ± 4842 | 10.00 ± 2.67 |
Disclaimer/Publisher’s Note: The statements, opinions and data contained in all publications are solely those of the individual author(s) and contributor(s) and not of MDPI and/or the editor(s). MDPI and/or the editor(s) disclaim responsibility for any injury to people or property resulting from any ideas, methods, instructions or products referred to in the content. |
© 2024 by the authors. Licensee MDPI, Basel, Switzerland. This article is an open access article distributed under the terms and conditions of the Creative Commons Attribution (CC BY) license (https://creativecommons.org/licenses/by/4.0/).
Share and Cite
Simon, S.; Heine, A.; Dully, J.; Dindorf, C.; Ludwig, O.; Fröhlich, M.; Becker, S. Pain Reduction in Patellofemoral Knee Patients During 3-Month Intervention with Biomechanical and Sensorimotor Foot Orthoses: A Randomized Controlled Clinical Study. Biomedicines 2025, 13, 38. https://doi.org/10.3390/biomedicines13010038
Simon S, Heine A, Dully J, Dindorf C, Ludwig O, Fröhlich M, Becker S. Pain Reduction in Patellofemoral Knee Patients During 3-Month Intervention with Biomechanical and Sensorimotor Foot Orthoses: A Randomized Controlled Clinical Study. Biomedicines. 2025; 13(1):38. https://doi.org/10.3390/biomedicines13010038
Chicago/Turabian StyleSimon, Steven, Andreas Heine, Jonas Dully, Carlo Dindorf, Oliver Ludwig, Michael Fröhlich, and Stephan Becker. 2025. "Pain Reduction in Patellofemoral Knee Patients During 3-Month Intervention with Biomechanical and Sensorimotor Foot Orthoses: A Randomized Controlled Clinical Study" Biomedicines 13, no. 1: 38. https://doi.org/10.3390/biomedicines13010038
APA StyleSimon, S., Heine, A., Dully, J., Dindorf, C., Ludwig, O., Fröhlich, M., & Becker, S. (2025). Pain Reduction in Patellofemoral Knee Patients During 3-Month Intervention with Biomechanical and Sensorimotor Foot Orthoses: A Randomized Controlled Clinical Study. Biomedicines, 13(1), 38. https://doi.org/10.3390/biomedicines13010038

