Reference Intervals (RIs) of the Bone Turnover Markers (BTMs) in Children and Adolescents: A Proposal for Effective Use
Abstract
1. Introduction
2. Materials and Methods
2.1. Study Subjects
2.2. Inclusion Criteria
2.3. Sample Collection and Storage
2.4. Analyte Determination
2.5. Dosage of Bone Metabolism Biomarkers (BTM)
2.5.1. BALP Dosage
2.5.2. CTX Dosage
2.5.3. OC Dosage
2.5.4. PINP Dosage
2.5.5. TRAcP Dosage
2.6. Statistical Analyses
3. Results
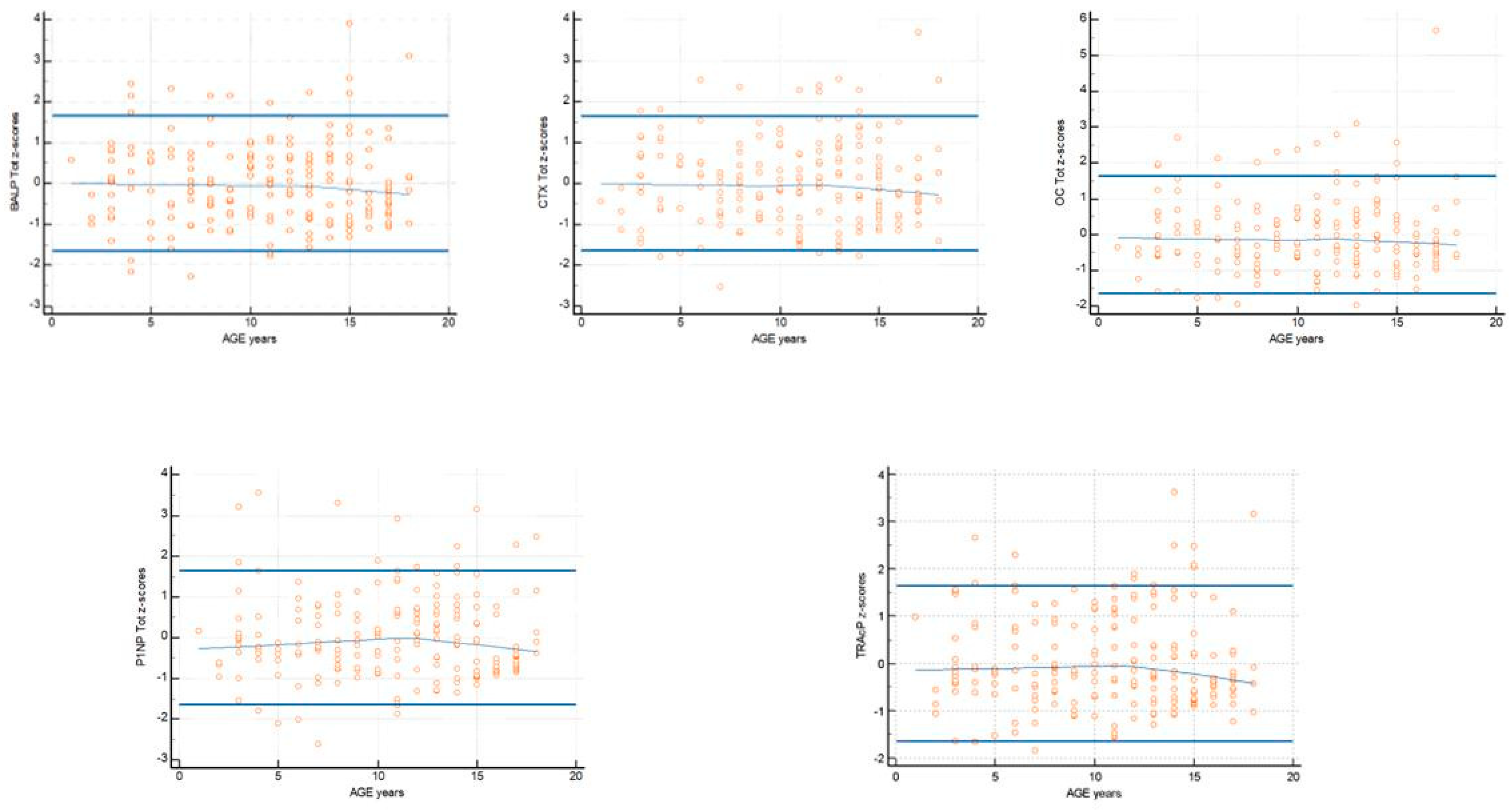
3.1. Calculation of Reference Limit
3.2. Stratification of Results According to Age and Gender
4. Discussion
Reference Intervals
5. Conclusions
Author Contributions
Funding
Institutional Review Board Statement
Informed Consent Statement
Data Availability Statement
Acknowledgments
Conflicts of Interest
References
- Orvalho, J.M.; Fernandes, J.C.H.; Moraes Castilho, R.; Fernandes, G.V.O. The macrophage’s role on bone remodeling and osteogenesis: A systematic review. Clin. Rev. Bone Miner. Metab. 2023, 21, 1–13. [Google Scholar] [CrossRef]
- Owen, R.; Reilly, G.C. In vitro Models of Bone Remodelling and Associated Disorders. Front. Bioeng. Biotechnol. 2018, 6, 134. [Google Scholar] [CrossRef] [PubMed] [PubMed Central]
- Ladang, A.; Rauch, F.; Delvin, E.; Cavalier, E. Bone Turnover Markers in Children: From Laboratory Challenges to Clinical Interpretation. Calcif. Tissue Int. 2023, 112, 218–232. [Google Scholar] [CrossRef] [PubMed]
- Matsuo, K.; Irie, N. Osteoclast-osteoblast communication. Arch. Biochem. Biophys. 2008, 473, 201–209. [Google Scholar] [CrossRef] [PubMed]
- Eastell, R.; Szulc, P. Use of bone turnover markers in postmenopausal osteoporosis. Lancet Diabetes Endocrinol. 2017, 5, 908–923. [Google Scholar] [CrossRef] [PubMed]
- Parfitt, A.M.; Travers, R.; Rauch, F.; Glorieux, F.H. Structural and cellular changes during bone growth in healthy children. Bone 2000, 27, 487–494. [Google Scholar] [CrossRef] [PubMed]
- Szulc, P. Bone turnover: Biology and assessment tools. Best Pract. Res. Clin. Endocrinol. Metab. 2018, 32, 725–738. [Google Scholar] [CrossRef] [PubMed]
- Rauch, F. Watching bone cells at work: What we can see from bone biopsies. Pediatr. Nephrol. 2006, 21, 457–462. [Google Scholar] [CrossRef] [PubMed]
- Diemar, S.S.; Lylloff, L.; Rønne, M.S.; Møllehave, L.T.; Heidemann, M.; Thuesen, B.H.; Johannesen, J.; Schou, A.J.; Husby, S.; Wedderkopp, N.; et al. Reference intervals in Danish children and adolescents for bone turnover markers carboxy-terminal cross-linked telopeptide of type I collagen (β-CTX), pro-collagen type I N-terminal propeptide (PINP), osteocalcin (OC) and bone-specific alkaline phosphatase (bone ALP). Bone 2021, 146, 115879. [Google Scholar] [CrossRef] [PubMed]
- Callegari, E.T.; Gorelik, A.; Garland, S.M.; Chiang, C.Y.; Wark, J.D. Bone turnover marker reference intervals in young Females. Ann. Clin. Biochem. 2017, 54, 438–447. [Google Scholar] [CrossRef] [PubMed]
- Glover, S.J.; Garnero, P.; Naylor, K.; Rogers, A.; Eastell, R. Establishing a reference range for bone turnover markers in young, healthy women. Bone 2008, 42, 623–630. [Google Scholar] [CrossRef] [PubMed]
- Zürcher, S.J.; Borter, N.; Kränzlin, M.; Neyer, P.; Meyer, U.; Rizzoli, R.; Kriemler, S. Relationship between bone mineral content and bone turnover markers, sex hormones and calciotropic hormones in pre- and early pubertal children. Osteoporos. Int. 2020, 31, 335–349. [Google Scholar] [CrossRef] [PubMed]
- Michou, L.; Orcel, P. The changing countenance of Paget’s Disease of bone. Jt. Bone Spine 2016, 83, 650–655. [Google Scholar] [CrossRef] [PubMed]
- Yavropoulou, M.P.; Tomos, K.; Tsekmekidou, X.; Anastasiou, O.; Zebekakis, P.; Karamouzis, M.; Gotzamani-Psarrakou, A.; Chassapopoulou, E.; Chalkia, P.; Yovos, J.G. Response of biochemical markers of bone turnover to oral glucose load in diseases that affect bone metabolism. Eur. J. Endocrinol. 2011, 164, 1035–1041. [Google Scholar] [CrossRef] [PubMed]
- Hu, T.; Yang, Q.; Xu, J.; Zhang, Z.; He, N.; Du, Y. Role of β-isomerized C-terminal telopeptides (β-CTx) and total procollagen type 1 amino-terminal propeptide (tP1NP) as osteosarcoma biomarkers. Int. J. Clin. Exp. Med. 2015, 8, 890–896. [Google Scholar] [PubMed] [PubMed Central]
- Garnero, P. New developments in biological markers of bone metabolism in osteoporosis. Bone 2014, 66, 46–55. [Google Scholar] [CrossRef] [PubMed]
- Gayretli Aydin, Z.G.; Bideci, A.; Emeksiz, H.C.; Çelik, N.; Döğer, E.; Bukan, N.; Yildiz, U.; Camurdan, O.M.; Cinaz, P. Assessment of bone turnover markers and bone mineral density in normal short boys. J. Pediatr. Endocrinol. Metab. 2015, 28, 1321–1326. [Google Scholar] [CrossRef] [PubMed]
- Barber, L.A.; Abbott, C.; Nakhate, V.; Do, A.N.D.; Blissett, A.R.; Marini, J.C. Longitudinal growth curves for children with classical osteogenesis imperfecta (types III and IV) caused by structural pathogenic variants in type I collagen. Genet. Med. 2019, 21, 1233–1239. [Google Scholar] [CrossRef] [PubMed] [PubMed Central]
- Khadka, B.; Tiwari, M.L.; Gautam, R.; Timalsina, B.; Pathak, N.P.; Kharel, K.; Sharma, S.; Acharya, D. Correlates of Biochemical Markers of Bone turnover among Post-Menopausal Women. JNMA J. Nepal. Med. Assoc. 2018, 56, 754–758. [Google Scholar] [CrossRef] [PubMed] [PubMed Central]
- Huang, Y.; Eapen, E.; Steele, S.; Grey, V. Establishment of reference intervals for bone markers in children and adolescents. Clin. Biochem. 2011, 44, 771–778. [Google Scholar] [CrossRef] [PubMed]
- Friedberg, R.C.; Souers, R.; Wagar, E.A.; Stankovic, A.K.; Valenstein, P.N.; College of American Pathologists. The origin of reference intervals. Arch. Pathol. Lab. Med. 2007, 131, 348–357. [Google Scholar] [CrossRef] [PubMed]
- Özçürümez, M.K.; Haeckel, R. Biological variables influencing the estimation of reference limits. Scand. J. Clin. Lab. Investig. 2018, 78, 337–345. [Google Scholar] [CrossRef] [PubMed]
- D’Amato, G.; Brescia, V.; Fontana, A.; Natale, M.P.; Lovero, R.; Varraso, L.; Di Serio, F.; Simonetti, S.; Muggeo, P.; Faienza, M.F. Biomarkers and Biochemical Indicators to Evaluate Bone Metabolism in Preterm Neonates. Biomedicines 2024, 12, 1271. [Google Scholar] [CrossRef]
- Nizet, A.; Cavalier, E.; Stenvinkel, P.; Haarhaus, M.; Magnusson, P. Bone alkaline phosphatase: An important biomarker in chronic kidney disease—Mineral and bone disorder. Clin. Chim. Acta 2020, 501, 198–206. [Google Scholar] [CrossRef] [PubMed]
- Van Hoof, V.O.; De Broe, M.E. Interpretation and clinical significance of alkaline phosphatase isoenzyme patterns. Crit. Rev. Clin. Lab. Sci. 1994, 31, 197–293. [Google Scholar] [CrossRef] [PubMed]
- Ahmed, F.; Gibbons, S.M. Bone-specific alkaline phosphatase by immunoassay or electrophoresis: Their use in clinical practice. J. Clin. Pathol. 2015, 68, 246–248, Erratum in J. Clin. Pathol. 2015, 68, e2. https://doi.org/10.1136/jclinpath-2014-202806corr1. [Google Scholar] [CrossRef] [PubMed]
- Rosalki, S.B.; Foo, A.Y. Two new methods for separating and quantifying bone and liver alkaline phosphatase isoenzymes in plasma. Clin. Chem. 1984, 30, 1182–1186. [Google Scholar] [CrossRef] [PubMed]
- Price, C.P.; Mitchell, C.A.; Moriarty, J.; Gray, M.; Noonan, K. Mass versus activity: Validation of an immunometric assay for bone alkaline phosphatase in serum. Ann. Clin. Biochem. 1995, 32 Pt. 4, 405–412. [Google Scholar] [CrossRef] [PubMed]
- Farley, J.R.; Hall, S.L.; Ilacas, D.; Orcutt, C.; Miller, B.E.; Hill, C.S.; Baylink, D.J. Quantification of skeletal alkaline phosphatase in osteoporotic serum by wheat germ agglutinin precipitation, heat inactivation, and a two-site immunoradiometric assay. Clin. Chem. 1994, 40, 1749–1756. [Google Scholar] [CrossRef] [PubMed]
- Moss, D.W.; Whitby, L.G. A simplified heat-inactivation method for investigating alkaline phosphatase isoenzymes in serum. Clin. Chim. Acta 1975, 61, 63–71. [Google Scholar] [CrossRef] [PubMed]
- Cavalier, E.; Souberbielle, J.C.; Gadisseur, R.; Dubois, B.; Krzesinski, J.M.; Delanaye, P. Inter-method variability in bone alkaline phosphatase measurement: Clinical impact on the management of dialysis patients. Clin. Biochem. 2014, 47, 1227–1230. [Google Scholar] [CrossRef] [PubMed]
- Milinković, N.; Sarić-Matutinović, M.; Pejanović, S.; Ignjatović, S. Comparison between bone alkaline phosphatase immunoassay and electrophoresis technique in hemodialysis patients. J. Med. Biochem. 2020, 39, 178–183. [Google Scholar] [CrossRef] [PubMed] [PubMed Central]
- Christensen, G.L.; Halgreen, J.R.; Milenkovski, M.; Köse, A.; Quardon, N.; Jørgensen, N.R. Bone turnover markers are differentially affected by pre-analytical handling. Osteoporos. Int. 2019, 30, 1137–1141. [Google Scholar] [CrossRef] [PubMed]
- Cavalier, E.; Rozet, E.; Carlisi, A.; Bekaert, A.C.; Rousselle, O.; Hubert, P.; Chapelle, J.P.; Delanaye, P. Analytical validation of serum bone alkaline phosphatase (BAP OSTASE) on Liaison. Clin. Chem. Lab. Med. 2010, 48, 67–72. [Google Scholar] [CrossRef] [PubMed]
- Garnero, P.; Delmas, P.D. Assessment of the serum levels of bone alkaline phosphatase with a new immunoradiometric assay in patients with metabolic bone disease. J. Clin. Endocrinol. Metab. 1993, 77, 1046–1053. [Google Scholar] [CrossRef] [PubMed]
- Withold, W.; Rick, W. Evaluation of an immunoradiometric assay for bone alkaline phosphatase mass concentration in human sera. Eur. J. Clin. Chem. Clin. Biochem. 1994, 32, 91–95. [Google Scholar] [CrossRef] [PubMed][Green Version]
- Chubb, S.A.; Mandelt, C.D.; Vasikaran, S.D. Comparison of results from commercial assays for plasma CTX: The need for harmonization. Clin. Biochem. 2015, 48, 519–524. [Google Scholar] [CrossRef] [PubMed]
- Lee, A.J.; Hodges, S.; Eastell, R. Measurement of osteocalcin. Ann. Clin. Biochem. 2000, 37 Pt 4, 432–446. [Google Scholar] [CrossRef] [PubMed]
- Garnero, P.; Grimaux, M.; Demiaux, B.; Preaudat, C.; Seguin, P.; Delmas, P.D. Measurement of serum osteocalcin with a human-specific two-site immunoradiometric assay. J. Bone Miner. Res. 1992, 7, 1389–1398. [Google Scholar] [CrossRef] [PubMed]
- Schmidt-Gayk, H.; Spanuth, E.; Kötting, J.; Bartl, R.; Felsenberg, D.; Pfeilschifter, J.; Raue, F.; Roth, H.J. Performance evaluation of automated assays for beta-CrossLaps, N-MID-Osteocalcin and intact parathyroid hormone (BIOROSE Multicenter Study). Clin. Chem. Lab. Med. 2004, 42, 90–95. [Google Scholar] [CrossRef] [PubMed]
- Rosenquist, C.; Qvist, P.; Bjarnason, N.; Christiansen, C. Measurement of a more stable region of osteocalcin in serum by ELISA with two monoclonal antibodies. Clin. Chem. 1995, 41, 1439–1445. [Google Scholar] [CrossRef] [PubMed]
- Koivula, M.K.; Ruotsalainen, V.; Björkman, M.; Nurmenniemi, S.; Ikäheimo, R.; Savolainen, K.; Sorva, A.; Risteli, J. Difference between total and intact assays for N-terminal propeptide of type I procollagen reflects degradation of pN-collagen rather than denaturation of intact propeptide. Ann. Clin. Biochem. 2010, 47 Pt 1, 67–71. [Google Scholar] [CrossRef] [PubMed]
- Cavalier, E.; Lukas, P.; Carlisi, A.; Gadisseur, R.; Delanaye, P. Aminoterminal propeptide of type I procollagen (PINP) in chronic kidney disease patients: The assay matters. Clin. Chim. Acta 2013, 425, 117–118. [Google Scholar] [CrossRef] [PubMed]
- Schini, M.; Vilaca, T.; Gossiel, F.; Salam, S.; Eastell, R. Bone Turnover Markers: Basic Biology to Clinical Applications. Endocr. Rev. 2023, 44, 417–473. [Google Scholar] [CrossRef] [PubMed] [PubMed Central]
- Cavalier, E.; Lukas, P.; Delanaye, P. Analytical evaluation of the Nittobo Medical tartrate resistant acid phosphatase isoform 5b (TRACP-5b) EIA and comparison with IDS iSYS in different clinically defined populations. Clin. Chem. Lab. Med. 2021, 60, 394–400. [Google Scholar] [CrossRef] [PubMed]
- Brescia, V.; Fontana, A.; Lovero, R.; Capobianco, C.; Marsico, S.V.; De Chirico, T.; Pinto, C.; Varraso, L.; Cazzolla, A.P.; Di Serio, F. Determination of iFGF23 Upper Reference Limits (URL) in healthy pediatric population, for its better correct use. Front. Endocrinol. 2022, 13, 1018523. [Google Scholar] [CrossRef] [PubMed] [PubMed Central]
- Blumsohn, A.; Hannon, R.A.; Wrate, R.; Barton, J.; al-Dehaimi, A.W.; Colwell, A.; Eastell, R. Biochemical markers of bone turnover in girls during puberty. Clin. Endocrinol. 1994, 40, 663–670. [Google Scholar] [CrossRef] [PubMed]
- Rauchenzauner, M.; Schmid, A.; Heinz-Erian, P.; Kapelari, K.; Falkensammer, G.; Griesmacher, A.; Finkenstedt, G.; Högler, W. Sex- and age-specific reference curves for serum markers of bone turnover in healthy children from 2 months to 18 years. J. Clin. Endocrinol. Metab. 2007, 92, 443–449. [Google Scholar] [CrossRef] [PubMed]
- van der Sluis, I.M.; Hop, W.C.; van Leeuwen, J.P.; Pols, H.A.; de Muinck Keizer-Schrama, S.M. A cross-sectional study on biochemical parameters of bone turnover and vitamin d metabolites in healthy dutch children and young adults. Horm. Res. 2002, 57, 170–179. [Google Scholar] [CrossRef] [PubMed]
- Yang, L.; Grey, V. Pediatric reference intervals for bone markers. Clin. Biochem. 2006, 39, 561–568. [Google Scholar] [CrossRef] [PubMed]
- Jones, G.R.D.; Haeckel, R.; Loh, T.P.; Sikaris, K.; Streichert, T.; Katayev, A.; Barth, J.H.; Ozarda, Y.; IFCC Committee on Reference Intervals and Decision Limits. Indirect methods for reference interval determination—Review and recommendations. Clin. Chem. Lab. Med. 2018, 57, 20–29. [Google Scholar] [CrossRef] [PubMed]
- Finkelstein, J.S.; Sowers, M.; Greendale, G.A.; Lee, M.L.; Neer, R.M.; Cauley, J.A.; Ettinger, B. Ethnic variation in bone turnover in pre- and early perimenopausal women: Effects of anthropometric and lifestyle factors. J. Clin. Endocrinol. Metab. 2002, 87, 3051–3056. [Google Scholar] [CrossRef] [PubMed][Green Version]
- Gombos Császár, G.; Bajsz, V.; Sió, E.; Steinhausz Tóth, V.; Schmidt, B.; Szekeres, L.; Kránicz, J. The direct effect of specific training and walking on bone metabolic markers in young adults with peak bone mass. Acta Physiol. Hung. 2014, 101, 205–215. [Google Scholar] [CrossRef] [PubMed]
- Redmond, J.; Fulford, A.J.; Jarjou, L.; Zhou, B.; Prentice, A.; Schoenmakers, I. Diurnal Rhythms of Bone Turnover Markers in Three Ethnic Groups. J. Clin. Endocrinol. Metab. 2016, 101, 3222–3230. [Google Scholar] [CrossRef] [PubMed] [PubMed Central]
- Seibel, M.J. Biochemical markers of bone turnover: Part I: Biochemistry and variability. Clin. Biochem. Rev. 2005, 26, 97–122. [Google Scholar] [PubMed] [PubMed Central]
- Price, C.P. Multiple forms of human serum alkaline phosphatase: Detection and quantitation. Ann. Clin. Biochem. 1993, 30 Pt 4, 355–372. [Google Scholar] [CrossRef] [PubMed]
- Blumsohn, A.; Hannon, R.A.; Eastell, R. Apparent instability of osteocalcin in serum as measured with different commercially available immunoassays. Clin. Chem. 1995, 41, 318–319. [Google Scholar] [CrossRef] [PubMed]
- Halleen, J.M.; Tiitinen, S.L.; Ylipahkala, H.; Fagerlund, K.M.; Vaananen, H.K. Tartrate-resistant acid phosphatase 5b (TRACP 5b) as a marker of bone resorption. Clin. Lab. 2006, 52, 499–509. [Google Scholar]
- Garnero, P.; Vergnaud, P.; Hoyle, N. Evaluation of a fully automated serum assay for total N-terminal propeptide of type I collagen in postmenopausal osteoporosis. Clin. Chem. 2008, 54, 188–196. [Google Scholar] [CrossRef] [PubMed]
- Morovat, A.; Catchpole, A.; Meurisse, A.; Carlisi, A.; Bekaert, A.C.; Rousselle, O.; Paddon, M.; James, T.; Cavalier, E. IDS iSYS automated intact procollagen-1-N-terminus pro-peptide assay: Method evaluation and reference intervals in adults and children. Clin. Chem. Lab. Med. 2013, 51, 2009–2018. [Google Scholar] [CrossRef] [PubMed]
- Okabe, R.; Nakatsuka, K.; Inaba, M.; Miki, T.; Naka, H.; Masaki, H.; Moriguchi, A.; Nishizawa, Y. Clinical evaluation of the Elecsys beta-CrossLaps serum assay, a new assay for degradation products of type I collagen C-tlopeptides. Clin. Chem. 2001, 47, 1410–1414. [Google Scholar] [CrossRef] [PubMed][Green Version]
- Naylor, K.E.; Iqbal, P.; Fledelius, C.; Fraser, R.B.; Eastell, R. The effect of pregnancy on bone density and bone turnover. J. Bone Miner. Res. 2000, 15, 129–137. [Google Scholar] [CrossRef] [PubMed]
- Ivaska, K.K.; Gerdhem, P.; Akesson, K.; Garnero, P.; Obrant, K.J. Effect of fracture on bone turnover markers: A longitudinal study comparing marker levels before and after injury in 113 elderly women. J. Bone Miner. Res. 2007, 22, 1155–1164. [Google Scholar] [CrossRef] [PubMed]
- McAssey, K.L.; Grey, V. Disorders of calcium and phosphate metabolism in infants and children. In Biochemical and Molecular Basis of Pediatric Disease, 4th ed.; Dietzen, D.J., Bennett, M.J., Wong, E.C.C., Eds.; AACC Press: Washington, DC, USA, 2010; p. 195. [Google Scholar]
- Holick, M.F.; Binkley, N.C.; Bischoff-Ferrari, H.A.; Gordon, C.M.; Hanley, D.A.; Heaney, R.P.; Murad, M.H.; Weaver, C.M.; Endocrine Society. Evaluation, treatment, and prevention of vitamin D deficiency: An Endocrine Society clinical practice guideline. J. Clin. Endocrinol. Metab. 2011, 96, 1911–1930, Erratum in J. Clin. Endocrinol. Metab. 2011, 96, 3908. Erratum in J. Clin. Endocrinol. Metab. 2024, 109, e1991. https://doi.org/10.1210/clinem/dgae373. [Google Scholar] [CrossRef] [PubMed]
- Sempos, C.T.; Heijboer, A.C.; Bikle, D.D.; Bollerslev, J.; Bouillon, R.; Brannon, P.M.; DeLuca, H.F.; Jones, G.; Munns, C.F.; Bilezikian, J.P.; et al. Vitamin D assays and the definition of hypovitaminosis D: Results from the First International Conference on Controversies in Vitamin D. Br. J. Clin. Pharmacol. 2018, 84, 2194–2207. [Google Scholar] [CrossRef] [PubMed] [PubMed Central]
- Vierucci, F.; Del Pistoia, M.; Fanos, M.; Gori, M.; Carlone, G.; Erba, P.; Massimetti, G.; Federico, G.; Saggese, G. Vitamin D status and predictors of hypovitaminosis D in Italian children and adolescents: A cross-sectional study. Eur. J. Pediatr. 2013, 172, 1607–1617. [Google Scholar] [CrossRef] [PubMed]
- Hansen, L.; Tjønneland, A.; Køster, B.; Brot, C.; Andersen, R.; Cohen, A.S.; Frederiksen, K.; Olsen, A. Vitamin D Status and Seasonal Variation among Danish Children and Adults: A Descriptive Study. Nutrients 2018, 10, 1801. [Google Scholar] [CrossRef] [PubMed] [PubMed Central]
- Vierucci, F.; Del Pistoia, M.; Fanos, M.; Erba, P.; Saggese, G. Prevalence of hypovitaminosis D and predictors of vitamin D status in Italian healthy adolescents. Ital. J. Pediatr. 2014, 40, 54. [Google Scholar] [CrossRef] [PubMed] [PubMed Central]
- Eloi, M.; Horvath, D.V.; Szejnfeld, V.L.; Ortega, J.C.; Rocha, D.A.; Szejnfeld, J.; Castro, C.H. Vitamin D deficiency and seasonal variation over the years in São Paulo, Brazil. Osteoporos. Int. 2016, 27, 3449–3456. [Google Scholar] [CrossRef] [PubMed]
- Sikaris, K.A. The Role of Mimicry in Defining Statistical Health. Clin. Chem. 2022, 68, 1356–1357. [Google Scholar] [CrossRef] [PubMed]
- Ladang, A.; Rousselle, O.; Huyghebaert, L.; Bekaert, A.C.; Kovacs, S.; Le Goff, C.; Cavalier, E. Parathormone, bone alkaline phosphatase and 25-hydroxyvitamin D status in a large cohort of 1200 children and teenagers. Acta Clin. Belg. 2022, 77, 4–9. [Google Scholar] [CrossRef] [PubMed]
- Fischer, D.C.; Mischek, A.; Wolf, S.; Rahn, A.; Salweski, B.; Kundt, G.; Haffner, D. Paediatric reference values for the C-terminal fragment of fibroblast-growth factor-23, sclerostin, bone-specific alkaline phosphatase and isoform 5b of tartrate-resistant acid phosphatase. Ann. Clin. Biochem. 2012, 49 Pt 6, 546–553. [Google Scholar] [CrossRef] [PubMed]
- Colantonio, D.A.; Kyriakopoulou, L.; Chan, M.K.; Daly, C.H.; Brinc, D.; Venner, A.A.; Pasic, M.D.; Armbruster, D.; Adeli, K. Closing the gaps in pediatric laboratory reference intervals: A CALIPER database of 40 biochemical markers in a healthy and multiethnic population of children. Clin. Chem. 2012, 58, 854–868. [Google Scholar] [CrossRef] [PubMed]
- Choi, J.S.; Park, I.; Lee, S.J.; Ju, H.J.; Lee, H.; Kim, J. Serum Procollagen Type I N-Terminal Propeptide and Osteocalcin Levels in Korean Children and Adolescents. Yonsei Med. J. 2019, 60, 1174–1180. [Google Scholar] [CrossRef] [PubMed] [PubMed Central]
- Cavalier, E.; Eastell, R.; Rye Jørgensen, N.; Makris, K.; Tournis, S.; Vasikaran, S.; Kanis, J.A.; Cooper, C.; Pottel, H.; Morris, H.A.; et al. A multicenter study to evaluate harmonization of assays for N-terminal propeptide of type I procollagen (PINP): A report from the IFCC-IOF Joint Committee for Bone Metabolism. Clin. Chem. Lab. Med. 2019, 57, 1546–1555. [Google Scholar] [CrossRef] [PubMed]
- Bayer, M. Reference values of osteocalcin and procollagen type I N-propeptide plasma levels in a healthy Central European population aged 0-18 years. Osteoporos. Int. 2014, 25, 729–736. [Google Scholar] [CrossRef] [PubMed]
- Wyness, S.P.; Roberts, W.L.; Straseski, J.A. Pediatric reference intervals for four serum bone markers using two automated immunoassays. Clin. Chim. Acta 2013, 415, 169–172. [Google Scholar] [CrossRef] [PubMed]
- Vasikaran, S.D.; Bhattoa, H.P.; Eastell, R.; Heijboer, A.C.; Jørgensen, N.R.; Makris, K.; Ulmer, C.; Kanis, J.A.; Cooper, C.; Silverman, S.; et al. Harmonization of commercial assays for PINP; the way forward. Osteoporos. Int. 2020, 31, 409–412. [Google Scholar] [CrossRef] [PubMed] [PubMed Central]
- Dioguardi, M.; Spirito, F.; Sovereto, D.; Alovisi, M.; Aiuto, R.; Garcovich, D.; Crincoli, V.; Laino, L.; Cazzolla, A.P.; Caloro, G.A.; et al. The Prognostic Role of miR-31 in Head and Neck Squamous Cell Carcinoma: Systematic Review and Meta-Analysis with Trial Sequential Analysis. Int. J. Environ. Res. Public Health 2022, 19, 5334. [Google Scholar] [CrossRef] [PubMed]
- Geserick, M.; Vogel, M.; Eckelt, F.; Schlingmann, M.; Hiemisch, A.; Baber, R.; Thiery, J.; Körner, A.; Kiess, W.; Kratzsch, J. Children and adolescents with obesity have reduced serum bone turnover markers and 25-hydroxyvitamin D but increased parathyroid hormone concentrations—Results derived from new pediatric reference ranges. Bone 2020, 132, 115124. [Google Scholar] [CrossRef] [PubMed]
- Herrmann, D.; Intemann, T.; Lauria, F.; Mårild, S.; Molnár, D.; Moreno, L.A.; Sioen, I.; Tornaritis, M.; Veidebaum, T.; Pigeot, I.; et al. Reference values of bone stiffness index and C-terminal telopeptide in healthy European children. Int. J. Obes. 2014, 38 (Suppl. S2), S76–S85. [Google Scholar] [CrossRef] [PubMed]
- de Melo, V.C.P.; Ferreira, P.R.S.; Ricardi, L.O.; Batista, M.C.; França, C.N.; Ferreira, C.E.D.S. Definition of reference ranges for β-isomerized carboxy-terminal telopeptide collagen type I for children and adolescents. J. Pediatr. Endocrinol. Metab. 2018, 31, 637–640. [Google Scholar] [CrossRef] [PubMed]
- Thiering, E.; Brüske, I.; Kratzsch, J.; Hofbauer, L.C.; Berdel, D.; von Berg, A.; Lehmann, I.; Hoffmann, B.; Bauer, C.P.; Koletzko, S.; et al. Associations between serum 25-hydroxyvitamin D and bone turnover markers in a population based sample of German children. Sci. Rep. 2015, 5, 18138. [Google Scholar] [CrossRef] [PubMed] [PubMed Central]
- Dimitri, P.; Wales, J.K.; Bishop, N. Adipokines, bone-derived factors and bone turnover in obese children; evidence for altered fat-bone signalling resulting in reduced bone mass. Bone 2011, 48, 189–196. [Google Scholar] [CrossRef] [PubMed]
- Crincoli, V.; Ballini, A.; Fatone, L.; Di Bisceglie, M.B.; Nardi, G.M.; Grassi, F.R. Cytokine genotype distribution in patients with periodontal disease and rheumatoid arthritis or diabetes mellitus. J. Biol. Regul. Homeost. Agents 2016, 30, 863–866. [Google Scholar] [PubMed]
- Chen, C.J.; Chao, T.Y.; Janckila, A.J.; Cheng, S.N.; Ku, C.H.; Chu, D.M. Evaluation of the activity of tartrate-resistant acid phosphatase isoform 5b in normal Chinese children—A novel marker for bone growth. J. Pediatr. Endocrinol. Metab. 2005, 18, 55–62. [Google Scholar] [CrossRef] [PubMed]
- Greenblatt, M.B.; Tsai, J.N.; Wein, M.N. Bone Turnover Markers in the Diagnosis and Monitoring of Metabolic Bone Disease. Clin. Chem. 2017, 63, 464–474. [Google Scholar] [CrossRef] [PubMed] [PubMed Central]
- Cavalier, E.; Huyghebaert, L.; Rousselle, O.; Bekaert, A.C.; Kovacs, S.; Vranken, L.; Peeters, S.; Le Goff, C.; Ladang, A. Simultaneous measurement of 25(OH)-vitamin D and 24,25(OH)2-vitamin D to define cut-offs for CYP24A1 mutation and vitamin D deficiency in a population of 1200 young subjects. Clin. Chem. Lab. Med. 2020, 58, 197–201. [Google Scholar] [CrossRef] [PubMed]
- CLSI. Defining, Establishing, and Verifying Reference Intervals in the Clinical Laboratory; Approved Guidelines, 3rd ed.; CLSI Document EP28-A3c; Clinical and Laboratory Standards Institute: Wayne, PA, USA, 2008. [Google Scholar]
- Henny, J.; Arnaud, J.; Giroud, C.; Vassault, A. Determination and verification of reference intervals. Ann. Biol. Clin. 2010, 68, 305–313. [Google Scholar] [CrossRef]





| BALP (μg/L) | BALP (μg/L) F | BALP (μg/L) M | CTX (ng/mL) Tot | CTX (ng/mL) F | CTX (ng/mL) M | OC | OC (ng/mL) F | OC (ng/mL) M | PINP (μg/L) | PINP (μg/L) | PINP (μg/L) M | TRAcP (U/L) | TRAcP (U/L) | TRAcP (U/L) M | |
|---|---|---|---|---|---|---|---|---|---|---|---|---|---|---|---|
| Tot | (ng/mL) Tot | Tot | F | Tot | F | ||||||||||
| N. subject | 202 | 98 | 104 | 202 | 98 | 104 | 202 | 98 | 104 | 202 | 98 | 104 | 202 | 98 | 104 |
| Minimum | 6.6 | 6.6 | 10.6 | 0.16 | 0.16 | 0.32 | 7.7 | 11.6 | 7.7 | 18.55 | 18.55 | 59.81 | 1.9 | 1.9 | 2.3 |
| Maximum | 186.7 | 163.1 | 186.7 | 2.95 | 2.95 | 2.93 | 193 | 193 | 192 | 1701 | 1344 | 1701 | 31 | 28 | 31 |
| Mean | 73.49 | 64.37 | 81.43 | 1.4 | 1.28 | 1.5 | 80.56 | 76.18 | 84.39 | 602.16 | 518.81 | 674.71 | 11.55 | 9.96 | 12.93 |
| 95% CI | 68.15 to 78.82 | 56.48 to 72.25 | 74.41 to 88.45 | 1.31 to 1.48 | 1.14 to 1.41 | 1.39 to 1.61 | 74.77 to 86.35 | 67.21 to 85.14 | 76.81 to 91.95 | 550.92 to 653.39 | 441.87 to 595.73 | 608.05 to 741.36 | 10.65 to 12.44 | 8.631 to 11.286 | 11.75 to 14.10 |
| Median | 72.75 | 56.3 | 81 | 1.4 | 1.27 | 1.45 | 74.75 | 70.3 | 75.75 | 614.86 | 492.65 | 666.74 | 10.65 | 8.35 | 12.2 |
| 95% CI | 66.60 to 81.62 | 43.20 to 70.98 | 72.73 to 86.86 | 1.25 to 1.50 | 0.92 to 1.48 | 1.28 to 1.60 | 69.75 to 81.84 | 54.42 to 86.49 | 70.53 to 84.75 | 557.55 to 666.57 | 275.85 to 604.37 | 626.96 to 714.16 | 9.65 to 11.68 | 6.70 to 10.00 | 10.90 to 13.19 |
| SD | 38.47 | 38.49 | 36.81 | 0.61 | 0.65 | 0.56 | 41.71 | 43.76 | 39.68 | 369.26 | 375.62 | 349.42 | 6.47 | 6.48 | 6.17 |
| D’Agostino–Pearson test | reject Normality (p = 0.0005) | reject Normality (p = 0.009) | reject Normality (p < 0.0001) | reject Normality (p < 0.0001) | reject Normality (p < 0.0001) | ||||||||||
| Suspected outliers (Tukey test) | None | None | None | None | None | None | None | None | None | None | None | None | None | None | None |
| Variable | BALP | CTX (ng/mL) | OC | PINP | TRAcP | ||||||||||
|---|---|---|---|---|---|---|---|---|---|---|---|---|---|---|---|
| (μg/L) | (ng/mL) | (μg/L) | (U/L) | ||||||||||||
| AGE (Years) | Centiles | Mean | Centiles | Mean | Centiles | Mean | Centiles | Mean | Centiles | Mean | |||||
| 0.05 | 0.95 | 0.05 | 0.95 | 0.05 | 0.95 | 0.05 | 0.95 | 0.05 | 0.95 | ||||||
| 2 | 12.21 | 154.27 | 71.03 | 0.56 | 2.15 | 0.79 | 32.57 | 129.58 | 48.51 | 49.97 | 1267.89 | 608.96 | 1.26 | 23.82 | 11.28 |
| 4 | 28.78 | 145.08 | 58.15 | 0.74 | 2.31 | 0.79 | 35.23 | 151.37 | 58.07 | 254.41 | 1169.08 | 457.33 | 3.74 | 23.81 | 10.04 |
| 6 | 35.06 | 143.44 | 54.19 | 0.79 | 2.45 | 0.83 | 35.28 | 163.69 | 64.21 | 322.94 | 1168.82 | 422.94 | 4.55 | 24.13 | 9.79 |
| 8 | 33.65 | 145 | 55.68 | 0.76 | 2.54 | 0.89 | 33.06 | 167.08 | 67.01 | 291.63 | 1216.27 | 462.32 | 4.18 | 24.32 | 10.07 |
| 10 | 27.14 | 145.42 | 59.14 | 0.65 | 2.56 | 0.96 | 28.93 | 162.08 | 66.57 | 196.53 | 1260.54 | 532 | 3.09 | 23.93 | 10.42 |
| 12 | 18.14 | 140.37 | 61.12 | 0.51 | 2.49 | 0.99 | 23.26 | 149.24 | 62.99 | 73.71 | 1250.78 | 588.53 | 1.76 | 22.52 | 10.38 |
| 14 | 9.24 | 125.5 | 58.13 | 0.34 | 2.3 | 0.98 | 16.4 | 129.1 | 56.35 | 40.78 | 1136.12 | 547.67 | 0.67 | 19.64 | 9.48 |
| 16 | 3.03 | 96.48 | 46.72 | 0.18 | 1.97 | 0.89 | 8.72 | 102.2 | 46.74 | 40.87 | 865.69 | 377.41 | 0.28 | 14.83 | 7.28 |
| AGE years F | |||||||||||||||
| 2 | 40.34 | 203.1 | 81.38 | 0.53 | 3.29 | 1.53 | 34.55 | 204.01 | 84.73 | 268.34 | 2005.48 | 868.57 | 3.83 | 35.07 | 15.62 |
| 4 | 35.14 | 183.26 | 74.06 | 0.48 | 3.58 | 1.4 | 29.74 | 188.99 | 79.63 | 223.4 | 1784.74 | 780.67 | 3.49 | 31.33 | 13.92 |
| 6 | 29.93 | 163.41 | 66.74 | 0.43 | 2.99 | 1.28 | 24.93 | 173.98 | 74.52 | 178.46 | 1563.99 | 692.77 | 3.15 | 27.59 | 12.22 |
| 8 | 24.72 | 143.57 | 59.42 | 0.39 | 2.7 | 1.16 | 20.13 | 158.96 | 69.42 | 133.52 | 1343.25 | 604.87 | 2.81 | 23.85 | 10.52 |
| 10 | 19.52 | 123.73 | 52.1 | 0.34 | 2.4 | 1.03 | 15.32 | 143.95 | 64.32 | 88.58 | 1122.51 | 516.96 | 2.46 | 20.11 | 8.82 |
| 12 | 14.31 | 103.88 | 44.79 | 0.29 | 2.11 | 0.91 | 10.51 | 128.94 | 59.21 | 43.64 | 901.76 | 429.06 | 2.12 | 16.37 | 7.12 |
| 14 | 9.1 | 84.04 | 37.47 | 0.25 | 1.81 | 0.78 | 5.7 | 113.92 | 54.11 | 42.3 | 681.02 | 319.36 | 1.78 | 12.63 | 5.42 |
| 16 | 3.9 | 64.19 | 30.15 | 0.2 | 1.52 | 0.66 | 0.9 | 98.91 | 49 | 46.24 | 460.27 | 207.01 | 1.44 | 8.89 | 3.72 |
| AGE years M | |||||||||||||||
| 2 | 58.03 | 132.7 | 67.34 | 1.15 | 2.12 | 1.48 | 49.21 | 129.82 | 60.3 | 596.9 | 1166.68 | 684.89 | 8.2 | 26.47 | 9.13 |
| 4 | 50.02 | 134.08 | 62.03 | 1.02 | 2.18 | 1.58 | 43.31 | 133.74 | 65.22 | 506.79 | 1151.3 | 622.26 | 7.09 | 25.33 | 9.12 |
| 6 | 42.02 | 135.46 | 46.72 | 0.89 | 2.25 | 1.68 | 37.41 | 137.67 | 50.13 | 416.68 | 1135.93 | 659.63 | 5.97 | 24.19 | 9.11 |
| 8 | 34.02 | 136.84 | 51.41 | 0.76 | 2.31 | 0.78 | 31.51 | 141.6 | 55.05 | 326.56 | 1120.55 | 696.99 | 4.86 | 23.06 | 9.1 |
| 10 | 26.01 | 138.22 | 56.1 | 0.63 | 2.38 | 0.87 | 25.61 | 145.53 | 59.96 | 236.45 | 1105.17 | 434.36 | 3.75 | 21.92 | 9.08 |
| 12 | 18.01 | 139.59 | 60.79 | 0.5 | 2.45 | 0.97 | 19.71 | 149.46 | 64.87 | 146.34 | 1089.79 | 471.72 | 2.64 | 20.78 | 9.07 |
| 14 | 10 | 140.97 | 65.48 | 0.37 | 2.51 | 1.07 | 13.81 | 133.39 | 60.79 | 56.22 | 1074.41 | 509.09 | 1.53 | 19.65 | 9.06 |
| 16 | 2 | 132.35 | 70.18 | 0.24 | 2.58 | 1.17 | 7.91 | 137.32 | 64.7 | 33.89 | 1059.03 | 546.46 | 0.41 | 18.51 | 9.05 |
| Variable | BALP (μg/L) | CTX (ng/mL) | OC (ng/mL) | PINP (μg/L) | TRAcP (U/L) | ||||||||||
|---|---|---|---|---|---|---|---|---|---|---|---|---|---|---|---|
| Tot | Females | Males | Tot | Females | Males | Tot | Females | Males | Tot | Females | Males | Tot | Females | Males | |
| Age Range | 1–18 y | 1–18 y | 1–18 y | 1–18 y | 1–18 y | 1–18 y | 1–18 y | 1–18 y | 1–18 y | 1–18 y | 1–18 y | 1–18 y | 1–18 y | 1–18 y | 1–18 y |
| Lower limit | 14.59 | 12.69 | 15.84 | 0.41 | 0.32 | 0.52 | 17.81 | 14.01 | 22.74 | 63.6 | 57.76 | 86.93 | 2.81 | 2.45 | 3.17 |
| Upper limit | 162.28 | 150.71 | 167.64 | 2.9 | 2.9 | 2.91 | 191.92 | 189.68 | 192.63 | 1517.03 | 1316.31 | 1696.1 | 24.1 | 24.35 | 25.72 |
| Age range | 1–14 y | 1–14 y | 1–14 y | 1–14 y | 1–14 y | 1–14 y | 1–13 y | 1–13 y | 1–13 y | 1–13 y | 1–13 y | 1–13 y | 1–12 y | 1–12 y | 1–12 y |
| Lower limit | 22.32 | 20.56 | 24.55 | 0.48 | 0.43 | 0.6 | 25.33 | 15.21 | 24.08 | 144.48 | 143.63 | 167.09 | 5.38 | 4.6 | 6.72 |
| Upper limit | 163.54 | 155.53 | 169.49 | 2.86 | 2.96 | 2.85 | 190.07 | 191.83 | 187.07 | 1617.07 | 1327.29 | 1693.04 | 24.11 | 24 | 23.4 |
| Age range | 15–18 y | 15–18 y | 15–18 y | 15–18 y | 15–18 y | 15–18 y | 14–18 y | 14–18 y | 14–18 y | 14–18 y | 14–18 y | 14–18 y | 13–18 y | 13–18 y | 13–18 y |
| Lower limit | 7.49 | 6.6 | 16.5 | 0.18 | 0.16 | 0.54 | 14.8 | 12.7 | 23.1 | 37.38 | 48.55 | 83.3 | 2.3 | 2.34 | 1.9 |
| Upper limit | 123 | 60.6 | 130.9 | 2.33 | 1.44 | 2.36 | 153.14 | 109 | 187.1 | 959.22 | 1025 | 1040 | 23.98 | 21.28 | 30 |
| Variable | BALP | CTX | OC | PINP | TRAcP |
|---|---|---|---|---|---|
| 1–6 years vs. 7–12 years | p = 0.8598 | p = 0.1124 | p = 0.0047 | p = 0.0032 | p = 0.3461 |
| 1–6 years vs. 13–18 years | p < 0.0001 | p < 0.0001 | p < 0.0001 | p = 0.2279 | p < 0.0001 |
| 7–12 years vs. 13–18 years | p < 0.0001 | p < 0.0001 | p < 0.0001 | p < 0.0001 | p < 0.0001 |
| Tot males vs. tot females | p = 0.0016 | p = 0.0070 | p = 0.1190 | p = 0.0025 | p = 0.0001 |
| 1–6 years females vs. 1–6 years males | p = 0.9673 | p = 0.1780 | p = 0.9026 | p = 0.8383 | p = 0.8171 |
| 7–12 years females vs. 7–12 years males | p = 0.6269 | p = 0.8801 | p = 0.6468 | p = 0.9066 | p = 0.1138 |
| 13–18 years females vs. 13–18 years males | p = 0.0002 | p = 0.0009 | p = 0.0032 | p = 0.0004 | p = 0.0017 |
| Variable | Mean Rank | Different (p < 0.05) from Variable |
|---|---|---|
| BALP 1–6 y | 2.0238 | BALP 13–18 y |
| BALP 7–12 y | 2.4048 | BALP 13–18 y |
| BALP 13–18 y | 1.5714 | BALP 1–6 y and BALP 7–12 y |
| CTX 1–6 y | 1.9048 | |
| CTX 7–12 y | 2.3095 | CTX 13–18 y |
| CTX 13–18 y | 1.7857 | CTX 7–12 y |
| OC 1–6 y | 1.9048 | OC 7–12 y |
| OC 7–12 y | 2.3333 | OC 1–6 y and OC 13–18 y |
| OC 13–18 y | 1.7619 | OC 7–12 y |
| PINP 1–6 y | 2.2143 | PINP 13–18 y |
| PINP 7–12 y | 2.3571 | PINP 13–18 y |
| PINP 13–18 y | 1.4286 | PINP 1–6 y and PINP 7–12 y |
| TRAcP 1–6 y | 2.1667 | TRAcP 13–18 y |
| TRAcP 7–12 y | 2.4286 | TRAcP 13–18 y |
| TRAcP 13–18 y | 1.4048 | TRAcP 1–6 y and TRAcP 7–12 y |
Disclaimer/Publisher’s Note: The statements, opinions and data contained in all publications are solely those of the individual author(s) and contributor(s) and not of MDPI and/or the editor(s). MDPI and/or the editor(s) disclaim responsibility for any injury to people or property resulting from any ideas, methods, instructions or products referred to in the content. |
© 2024 by the authors. Licensee MDPI, Basel, Switzerland. This article is an open access article distributed under the terms and conditions of the Creative Commons Attribution (CC BY) license (https://creativecommons.org/licenses/by/4.0/).
Share and Cite
Brescia, V.; Lovero, R.; Fontana, A.; Zerlotin, R.; Colucci, S.C.; Grano, M.; Cazzolla, A.P.; Di Serio, F.; Crincoli, V.; Faienza, M.F. Reference Intervals (RIs) of the Bone Turnover Markers (BTMs) in Children and Adolescents: A Proposal for Effective Use. Biomedicines 2025, 13, 34. https://doi.org/10.3390/biomedicines13010034
Brescia V, Lovero R, Fontana A, Zerlotin R, Colucci SC, Grano M, Cazzolla AP, Di Serio F, Crincoli V, Faienza MF. Reference Intervals (RIs) of the Bone Turnover Markers (BTMs) in Children and Adolescents: A Proposal for Effective Use. Biomedicines. 2025; 13(1):34. https://doi.org/10.3390/biomedicines13010034
Chicago/Turabian StyleBrescia, Vincenzo, Roberto Lovero, Antonietta Fontana, Roberta Zerlotin, Silvia Concetta Colucci, Maria Grano, Angela Pia Cazzolla, Francesca Di Serio, Vito Crincoli, and Maria Felicia Faienza. 2025. "Reference Intervals (RIs) of the Bone Turnover Markers (BTMs) in Children and Adolescents: A Proposal for Effective Use" Biomedicines 13, no. 1: 34. https://doi.org/10.3390/biomedicines13010034
APA StyleBrescia, V., Lovero, R., Fontana, A., Zerlotin, R., Colucci, S. C., Grano, M., Cazzolla, A. P., Di Serio, F., Crincoli, V., & Faienza, M. F. (2025). Reference Intervals (RIs) of the Bone Turnover Markers (BTMs) in Children and Adolescents: A Proposal for Effective Use. Biomedicines, 13(1), 34. https://doi.org/10.3390/biomedicines13010034

